Study on Metronidazole Acid-Base Behavior and Speciation with Ca2+ for Potential Applications in Natural Waters
Abstract
1. Introduction
2. Results and Discussion
2.1. Dependence of Protonation and Formation Constants on Ionic Strength
2.2. Dependence of Protonation and Formation Constants on Temperature
2.3. Sequestering Ability
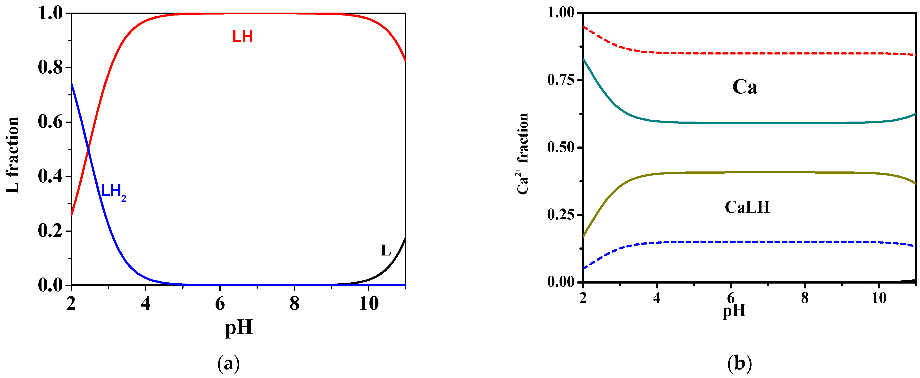
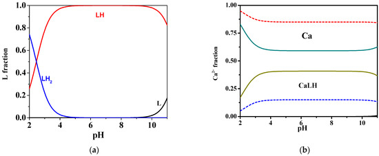
2.4. Speciation in Natural Waters
2.5. Comparison with Literature Data
3. Materials and Methods
3.1. Materials
3.2. Potentiometric Apparatus and Procedure
3.3. NMR Apparatus and Procedure
3.4. UV-Vis Apparatus and Procedure
3.5. Calculations
4. Conclusions
Supplementary Materials
Author Contributions
Funding
Data Availability Statement
Conflicts of Interest
Sample Availability
References
- Bharti, N.; Shailendra; Coles, S.J.; Hursthouse, M.B.; Mayer, T.A.; Gonzalez Garza, M.T.; Cruz-Vega, D.E.; Mata-Cardenas, B.D.; Naqvi, F.; Maurya, M.R.; et al. Synthesis, Crystal Structure, and Enhancement of the Efficacy of Metronidazole Against Entamoeba histolytica by Complexation with Palladium(II), Platinum(II), or Copper(II). Helv. Chim. Acta 2002, 85, 2704–2712. [Google Scholar] [CrossRef]
- Wang, X.; Lin, Y.; Zheng, Y.; Meng, F. Antibiotics in mariculture systems: A review of occurrence, environmental behavior, and ecological effects. Environ. Pollut. 2022, 293, 118541. [Google Scholar] [CrossRef] [PubMed]
- Kumar, L.; Jain, A.; Lal, N.; Sarswat, A.; Jangir, S.; Kumar, L.; Singh, V.; Shah, P.; Jain, S.K.; Maikhuri, J.P.; et al. Potentiating metronidazole scaffold against resistant trichomonas: Design, synthesis, biology and 3d-QSAR analysis. ACS Med. Chem. Lett. 2012, 3, 83–87. [Google Scholar] [CrossRef]
- Wei, H.; Cai, R.; Yue, H.; Tian, Y.; Zhou, N. Screening and application of a truncated aptamer for high-sensitive fluorescent detection of metronidazole. Anal. Chim. Acta 2020, 1128, 203–210. [Google Scholar] [CrossRef]
- Freeman, C.D.; Klutman, N.E.; Lamp, K.C. Metronidazole. Drugs 1997, 54, 679–708. [Google Scholar] [CrossRef]
- Lapworth, D.J.; Baran, N.; Stuart, M.E.; Ward, R.S. Emerging organic contaminants in groundwater: A review of sources, fate and occurrence. Environ. Pollut. 2012, 163, 287–303. [Google Scholar] [CrossRef]
- Faradkia, M.; Bazrafshan, E.; Esrafili, A.; Yang, J.-K.; Shirzad-Siboni, M. Photocatalytic degradation of Metronidazole with illuminated TiO2 nanoparticles. J. Environ. Health Sci. Eng. 2015, 13, 35. [Google Scholar] [CrossRef]
- Bendesky, A.; Menéndez, D.; Ostrosky-Wegman, P. Is metronidazole carcinogenic? Mutat. Res./Rev. Mutat. Res. 2002, 511, 133–144. [Google Scholar] [CrossRef]
- Yalikun, N.; Mamat, X.; Li, Y.; Hu, X.; Wang, P.; Hu, G. N, S, P-Triple Doped Porous Carbon as an Improved Electrochemical Sensor for Metronidazole Determination. J. Electrochem. Soc. 2019, 166, B1131. [Google Scholar] [CrossRef]
- Yang, M.; Guo, M.; Feng, Y.; Lei, Y.; Cao, Y.; Zhu, D.; Yu, Y.; Ding, L. Sensitive Voltammetric Detection of Metronidazole Based on Three-Dimensional Graphene-Like Carbon Architecture/Polythionine Modified Glassy Carbon Electrode. J. Electrochem. Soc. 2018, 165, B530. [Google Scholar] [CrossRef]
- Guoa, Y.; Wanga, J.; Haoa, L.; Wua, Q.; Wang, C.; Wang, Z. Triazine-triphenylphosphine based porous organic polymer as sorbent for solid phase extraction of nitroimidazoles from honey and water. J. Chrom. A 2021, 1649, 462238. [Google Scholar] [CrossRef] [PubMed]
- El-Naem, O.A.; El-Maraghy, C.M. A validated liquid chromatography-tandem mass spectrometric method for the determination of coadministered ranitidine and metronidazole in plasma of human volunteers. Anal. Methods. 2021, 13, 2586. [Google Scholar] [CrossRef] [PubMed]
- Shishavan, Y.H.; Amjadi, M.A. New enhanced chemiluminescence reaction based on polymer dots for the determination of metronidazole. Spectrochim. Acta A Mol. Biomol. 2021, 260, 119992. [Google Scholar] [CrossRef] [PubMed]
- Zhang, Z.; Liu, Y.; Huang, P.; Wu, F.Y.; Ma, L. Polydopamine molecularly imprinted polymer coated on a biomimetic iron-based metal–organic framework for highly selective fluorescence detection of metronidazole. Talanta 2021, 232, 122411. [Google Scholar] [CrossRef]
- Hatamie, A.; Marahel, F.; Sharifat, A. Green synthesis of graphitic carbon nitride nanosheet (g-C3N4) and using it as a label-free fluorosensor for detection of metronidazole via quenching of the fluorescence. Talanta 2018, 176, 518–525. [Google Scholar] [CrossRef] [PubMed]
- Sakira, A.K.; MeeS, C.; De Braekeleer, K.; Deòporte, C.; Yameogo, J.; Yabre, M.; Some, T.I.; Van Antwerpen, P.; Mertens, D.; Kauffmann, J.M. Determination of the quality of metronidazole formulations by near-infrared spectrophotometric analysis. Talanta Open 2021, 3, 100027. [Google Scholar] [CrossRef]
- Das, J.; Dhua, M. UV-Spectrophotometric Assay Method Development and Validation of Metronidazole in Bulk and Tablet Formulation. J. Pharm. Sci. Technol. 2014, 3, 106–109. [Google Scholar]
- Abdel-Kader, D.A.; Hashem, E.Y. Spectrophotometric determination of Metronidazole antibacterial drug via oxidation with alkaline potassium permanganate. Spectrochim. Acta A Mol. Biomol. 2021, 259, 119858. [Google Scholar] [CrossRef]
- Abd-Alrassol, K.S.; AL-Salman, H.N.K.; Jasim, E.Q.; Hussein, H.H. Determination and evaluation of doses of metronidazole in different quantities and formulations with multiple spectroscopic methods. Syst. Rev. Pharm. 2020, 11, 130–139. [Google Scholar]
- Baikeli, Y.; Mamat, X.; He, F.; Xin, X.; Li, Y.; Aisa, H.A.; Hu, G. Electrochemical determination of chloramphenicol and metronidazole by using a glassy carbon electrode modified with iron, nitrogen co-doped nanoporous carbon derived from a metal-organic framework (type Fe/ZIF-8). Ecotoxicol. Environ. Saf. 2020, 204, 111066. [Google Scholar] [CrossRef]
- Bitew, Z.; Amare, M. Recent reports on electrochemical determination of selected antibiotics in pharmaceutical formulations: A mini review. Electrochem. Commun. 2020, 121, 106863. [Google Scholar] [CrossRef]
- Chinnaraj, S.; Palani, V.; Yadav, S.; Arumugam, M.; Sivakumar, M.; Maluventhen, V.; Singh, M. Green synthesis of silver nanoparticle using goniothalamus wightii on graphene oxide nanocomposite for effective voltammetric determination of metronidazole. Sens. Bio-Sens. Res. 2021, 32, 100425. [Google Scholar] [CrossRef]
- Dawit, M.; Turbale, M.; Moges, A.; Amare, M. Poly(alizarin red S) modified glassy carbon electrode for square wave adsorptive stripping voltammetric determination of metronidazole in tablet formulation. PLoS ONE 2020, 15, e0244115. [Google Scholar] [CrossRef] [PubMed]
- Kesavan, G.; Vinothkumar, V.; Chen, S.-M.; Thangadurai, T.D. Construction of metal-free oxygen-doped graphitic carbon nitride as an electrochemical sensing platform for determination of antimicrobial drug metronidazole. Appl. Surf. Sci. 2021, 556, 149814. [Google Scholar] [CrossRef]
- Muthukutty, B.; Arumugam, B.; Chen, S.-M.; Ramaraj, S.K. Low potential detection of antiprotozoal drug metronidazole with aid of novel dysprosium vanadate incorporated oxidized carbon nanofiber modified disposable screen-printed electrode. J. Hazard. Mater. 2021, 407, 124745. [Google Scholar] [CrossRef]
- Viliana, A.T.E.; Ranjitha, K.S.; Lee, S.J.; Umapathi, R.; Hwang, S.-K.; Oh, C.W.; Huh, Y.S.; Han, Y.-K. Hierarchical dense Ni−Co layered double hydroxide supported carbon nanofibers for the electrochemical determination of metronidazole in biological samples. Electrochim. Acta 2020, 354, 136723. [Google Scholar] [CrossRef]
- Xia, Y.-M.; Ou, X.; Zhao, Y.; Xia, M.; Chen, D.; Gao, W.-W. Facile Synthesis of Reduced Graphene Oxide-octahedral Mn3O4 Nanocomposites as a Platform for the Electrochemical Determination of Metronidazole and Sulfamonomethoxine. Electroanalysis 2021, 33, 1646–1656. [Google Scholar] [CrossRef]
- Baikeli, Y.; Mamat, X.; Wumaer, M.; Muhetaer, M.; Aisa, H.A.; Hu, G. Electrochemical Determination of Metronidazole Using a Glassy Carbon Electrode Modified with Nanoporous Bimetallic Carbon Derived from a ZnCo-Based Metal-Organic Framework. J. Electrochem. Soc. 2020, 167, 116513. [Google Scholar] [CrossRef]
- Meenakshi, S.; Rama, R.; Pandian, K.; Gopinath, S.C.B. Modified electrodes for electrochemical determination of metronidazole in drug formulations and biological samples: An overview. Microchemical Journal 2021, 165, 106151. [Google Scholar] [CrossRef]
- Hena, S.; Gutierrez, L.; Croué, J.-P. Removal of metronidazole from aqueous media by C. vulgaris. J. Hazard. Mater. 2020, 384, 121400. [Google Scholar] [CrossRef]
- Santos, L.H.M.L.M.; Araújo, A.N.; Fachini, A.; Pena, A.; Delerue-Matos, C.; Montenegro, M.C.B.S.M. Ecotoxicological aspects related to the presence of pharmaceuticals in the aquatic environment. J. Hazard. Mater. 2010, 175, 45–95. [Google Scholar] [CrossRef] [PubMed]
- Carrales-Alvarado, D.H.; Rodríguez-Ramos, I.; Leyva-Ramos, R.; Mendoza-Mendoza, E.; Villela-Martínez, D.E. Effect of surface area and physical–chemical properties of graphite and graphene-based materials on their adsorption capacity towards metronidazole and trimethoprim antibiotics in aqueous solution. Chem. Eng. J. 2020, 402, 126155. [Google Scholar] [CrossRef]
- Eniola, J.O.; Kumar, R.; Barakat, M.A. Adsorptive removal of antibiotics from water over natural and modified adsorbents. Environ. Sci. Pollut. Res. 2019, 26, 34775–34788. [Google Scholar] [CrossRef]
- Forouzesh, M.; Ebadi, A.; Abedini, F. Thermocatalytic persulfate activation for metronidazole removal in the continuous operation. Sep. Purif. Technol. 2021, 258, 118055. [Google Scholar] [CrossRef]
- Xu, M.; Wang, J.; Zhang, L.; Wang, Q.; Liu, W.; An, Y.; Hao, L.; Wang, C.; Wang, Z.; Wu, Q. Construction of hydrophilic hypercrosslinked polymer based on natural kaempferol for highly effective extraction of 5-nitroimidazoles in environmental water, honey and fish samples. J. Hazard. Mater. 2022, 429, 128288. [Google Scholar] [CrossRef] [PubMed]
- Bonyadi, Z.; Noghani, F.-A.; Dehghan, A.; van der Hoek, J.P.; Giannakoudakis, D.A.; Ghadiri, S.K.; Anastopoulos, I.; Sarkhosh, M.; Colmenares, J.C.; Shams, M. Biomass-derived porous aminated graphitic nanosheets for removal of the pharmaceutical metronidazole: Optimization of physicochemical features and exploration of process mechanisms. Colloids Surf. A: Physicochem. Eng. Asp. 2021, 611, 125791. [Google Scholar] [CrossRef]
- Sadegh, H.; Ali, G. Potential Applications of Nanomaterials in Wastewater Treatment: Nanoadsorbents Performance. In Advanced Treatment Techniques for Industrial Wastewater; IGI Global: Hershey, PA, USA, 2018. [Google Scholar]
- Tran, M.L.; Fu, C.-C.; Juang, R.-S. Effects of water matrix components on degradation efficiency and pathways of antibiotic metronidazole by UV/TiO2 photocatalysis. J. Mol. Liq. 2019, 276, 32–38. [Google Scholar] [CrossRef]
- Merian, E.; Anke, M.; Ihnat, M.; Stoeppler, M. Elements and Their Compounds in the Environment; Wiley-VCH Verlag GmbH & Co.: Weinheim, Germany, 2004. [Google Scholar]
- Rivera-Utrilla, J.; Prados-Joya, J.; Sánchez-Polo, M.; Ferro-García, M.A.; López-Peñalver, J.J.; Bautista-Toledo, M.I. Removal of nitroimidazole antibiotics from water by adsorption/bioadsortion on activated carbon and advanced oxidation processes. Trends Chem. Eng. 2009, 12, 51–69. [Google Scholar]
- Filella, M.; May, P.M. Reflections on the calculation and publication of potentiometrically-determined formation constants. Talanta 2005, 65, 1221–1225. [Google Scholar] [CrossRef]
- Dantas, R.F.; Rossiter, O.; Kardec, A.; Teixeira, R.; Simões, A.S.M.; Lins da Silva, V. Direct UV photolysis of propranolol and metronidazole in aqueous solution. Chem. Eng. J. 2010, 158, 143–147. [Google Scholar] [CrossRef]
- Völgyi, G.; Ruiz, R.; Box, K.; Comer, J.; Bosch, E.; Takacs-Novak, K. Potentiometric and spectrophotometric pKa determination of water-insoluble compounds: Validation study in a new cosolvent system. Anal. Chim. Acta 2007, 583, 418–428. [Google Scholar] [CrossRef] [PubMed]
- Cardiano, P.; De Stefano, C.; Giuffrè, O.; Sammartano, S. Thermodynamic and spectroscopic study for the interaction of dimethyltin(IV) with L-cysteine in aqueous solution. Biophys. Chem. 2008, 133, 19–27. [Google Scholar] [CrossRef][Green Version]
- Falcone, G.; Giuffrè, O.; Sammartano, S. Acid-base and UV properties of some aminophenol ligands and their complexing ability towards Zn2+ in aqueous solution. J. Mol. Liquids. 2011, 159, 146–151. [Google Scholar] [CrossRef]
- Bouchoucha, A.; Terbouche, A.; Zaouani, M.; Derridj, F.; Djebbar, S. Iron and nickel complexes with heterocyclic ligands: Stability, synthesis, spectral characterization, antimicrobial activity, acute and subacute toxicity. J. Trace Elem. Med. Biol. 2013, 27, 191–202. [Google Scholar] [CrossRef] [PubMed]
- Aiello, D.; Cordaro, M.; Napoli, A.; Foti, C.; Giuffrè, O. Speciation study on O-phosphoryethanolamine and O-phosphorylcholine: Acid-base behavior and Mg2+ interaction. Front. Chem. 2022, 10, 864648. [Google Scholar] [CrossRef]
- Cardiano, P.; Foti, C.; Giacobello, F.; Giuffrè, O.; Sammartano, S. Study of Al3+ interaction with AMP, ADP and ATP in aqueous solution. Biophys Chem. 2018, 234, 42–50. [Google Scholar] [CrossRef] [PubMed]
- Aiello, D.; Carnamucio, F.; Cordaro, M.; Foti, C.; Napoli, A.; Giuffrè, O. Ca2+ complexation with relevant bioligands in aqueous solution: A speciation study with implications for biological fluids. Front. Chem. 2021, 9, 640219. [Google Scholar] [CrossRef]
- De Stefano, C.; Foti, C.; Giuffrè, O.; Sammartano, S. Acid-base and UV behaviour of 3-(3,4-dihydroxyphenyl)-propenoic acid (caffeic acid) and complexing ability towards different divalent metal cations in aqueous solution. J. Mol. Liquids 2014, 195, 9–16. [Google Scholar] [CrossRef]
- Foti, C.; Giuffrè, O. Interaction of Ampicillin and Amoxicillin with Mn2+: A Speciation Study in Aqueous Solution. Molecules 2020, 25, 3110. [Google Scholar] [CrossRef]
- Giuffrè, O.; Angowska, S.; Foti, C.; Sammartano, S. Thermodynamic Study on the Interaction of Ampicillin and Amoxicillin with Ca2+ in Aqueous Solution at Different Ionic Strengths and Temperatures. J. Chem. Eng. Data 2019, 64, 800–809. [Google Scholar] [CrossRef]
- Cordaro, M.; Foti, C.; Giacobello, F.; Giuffrè, O.; Sammartano, S. Phosphonic Derivatives of Nitrilotriacetic Acid as Sequestering Agents for Ca2+ in Aqueous Solution: A Speciation Study for Application in Natural Waters. ACS Earth Space Chem. 2019, 3, 1942–1954. [Google Scholar] [CrossRef]
- Giuffrè, O.; Aiello, D.; Chillè, D.; Napoli, A.; Foti, C. Binding ability of arsenate towards Cu2+ and Zn2+: Thermodynamic behavior and simulation under natural water conditions. Environ. Sci.: Process. Impacts 2020, 22, 1731–1742. [Google Scholar] [CrossRef]
- Wagil, M.; Maszkowska, J.; Bialk-Bielinska, A.; Caban, M.; Stepnowski, P.; Kumirska, J. Determination of metronidazole residues in water, sediment and fish tissues samples. Chemosphere 2015, 119, S28–S34. [Google Scholar] [CrossRef]
- Martell, A.E.; Smith, R.M.; Motekaitis, R.J. Critically Selected Stability Constants of Metal Complexes; National Institute of Standard and Technology, NIST: Gaithersburg, MD, USA, 2004.
- May, P.M.; Murray, K. Database of chemical reactions designed to achieve thermodynamic consistency automatically. J. Chem. Eng. Data 2001, 46, 1035–1040. [Google Scholar] [CrossRef]
- Pettit, L.D.; Powell, K.J. The IUPAC Stability Constants Database. 2001. Available online: https://www.google.com.hk/url?sa=t&rct=j&q=&esrc=s&source=web&cd=&ved=2ahUKEwju4o_b6eD5AhVAUGwGHQ_FB1QQFnoECBAQAQ&url=http%3A%2F%2Fold.iupac.org%2Fprojects%2Fposters01%2Fpettit01.pdf&usg=AOvVaw2s4jSW1Tof7TVky2_ZtBny (accessed on 1 July 2022).
- De Stefano, C.; Sammartano, S.; Mineo, P.; Rigano, C. Computer Tools for the Speciation of Natural Fluids. In Marine Chemistry—An Environmental Analytical Chemistry Approach; Gianguzza, A., Pelizzetti, E., Sammartano, S., Eds.; Kluwer Academic Publishers: Amsterdam, The Netherlands, 1997; pp. 71–83. [Google Scholar]
- Frassineti, C.; Alderighi, L.; Gans, P.; Sabatini, A.; Vacca, A.; Ghelli, S. Determination of protonation constants of some fluorinated polyamines by means of 13C NMR data processed by the new computer program Hypnmr2000. Protonation sequence in polyamines. Anal. Bioanal. Chem. 2003, 376, 1041–1052. [Google Scholar] [PubMed]
- Alderighi, L.; Gans, P.; Ienco, A.; Peters, D.; Sabatini, A.; Vacca, A. Hyperquad simulation and speciation (HySS): A utility program for the investigation of equilibria involving soluble and partially soluble species. Coord. Chem. Rev. 1999, 184, 311–318. [Google Scholar] [CrossRef]








| t/°C | I/mol L−1 | logβHL 1 | logβH2L 2 | logβCaLH 3 |
|---|---|---|---|---|
| 15 | 0.15 | 12.00(1) 4 | 14.559(5) 4 | 14.06(11) 4, 5 |
| 0.5 | 12.180(8) | 14.833(4) | ||
| 0.97 | 12.12(1) | 14.877(7) | ||
| 25 | 0.15 | 11.674(7) | 14.130(4) | 14.16(7) 5 |
| 0.5 | 12.51(4) | 15.18(4) | 15.00(2) | |
| 0.96 | 12.22(6) | 15.05(6) | 14.60(5) 6 | |
| 37 | 0.14 | 11.88(7) | 14.27(8) | 13.56(8) 7 |
| 0.5 | 12.14(8) | 14.75(8) | ||
| 0.96 | 12.000(6) | 14.601(8) | ||
| t/°C | I/mol L−1 | logKH2L 8 | logKCaLH 9 | |
| 15 | 0.15 | 2.56 | 2.06 5 | |
| 0.5 | 2.653 | |||
| 0.97 | 2.76 | |||
| 25 | 0.15 | 2.46 | 2.49 5 | |
| 0.5 | 2.67 | 2.49 | ||
| 0.96 | 2.83 | 2.38 6 | ||
| 37 | 0.14 | 2.39 | 1.68 7 | |
| 0.5 | 2.61 | |||
| 0.96 | 2.601 |
| Reaction | logβH-NMR | logβUV | logβpotentiometry | logβaverage value |
|---|---|---|---|---|
| L + H = LH | 11.81(1) 1 | 11.73(2) 1 | 11.674(7) 1 | 11.74(2) 1 |
| L + 2H = LH2 | 14.13(1) | 14.20(6) | 14.130(4) | 14.15(6) |
| Ca + L + H = CaLH | - | 14.17(2) | 14.16(7) | 14.16(7) |
| Reaction | logTβ | C |
|---|---|---|
| L + H = LH | 12.0(3) 1 | 0.7(2) 1 |
| L + 2H = LH2 | 14.4(1) | 1.16(6) |
| Ca + L + H = CaLH | 15.0(2) | 1.0(2) |
| Reaction | ΔG 1 | ΔH 1 | TΔS1 |
|---|---|---|---|
| L + H = LH | −66.6 | −8(7) | 59 |
| LH + H = LH2 | −14.0 | −13(3) | 1 |
| Ca + LH = CaLH | −14.2 | −34(8) | −20 |
| Technique | t/°C | I/mol L−1 | CM/mmol L−1 | CL/mmol L−1 | M/L | pH Range |
|---|---|---|---|---|---|---|
| Potentiometry | 15–37 | 0.15–1 | − | 1–4 | − | 2–11 |
| 15–37 | 0.15–1 | 1–2 | 1–4 | 0.33–2 | 2–11 | |
| 1H NMR | 25 | 0.15 | − | 5 | − | 2–11 |
| 25 | 0.15 | 6 | 5 | 0.5–0.6 | 2–11 | |
| UV-Vis | 25 | 0.15 | − | 0.05–0.08 | − | 2–11 |
| 25 | 0.15 | 0.04–0.1 | 0.05–0.08 | 0.75–1.5 | 2–11 |
Publisher’s Note: MDPI stays neutral with regard to jurisdictional claims in published maps and institutional affiliations. |
© 2022 by the authors. Licensee MDPI, Basel, Switzerland. This article is an open access article distributed under the terms and conditions of the Creative Commons Attribution (CC BY) license (https://creativecommons.org/licenses/by/4.0/).
Share and Cite
Carnamucio, F.; Foti, C.; Cordaro, M.; Giuffrè, O. Study on Metronidazole Acid-Base Behavior and Speciation with Ca2+ for Potential Applications in Natural Waters. Molecules 2022, 27, 5394. https://doi.org/10.3390/molecules27175394
Carnamucio F, Foti C, Cordaro M, Giuffrè O. Study on Metronidazole Acid-Base Behavior and Speciation with Ca2+ for Potential Applications in Natural Waters. Molecules. 2022; 27(17):5394. https://doi.org/10.3390/molecules27175394
Chicago/Turabian StyleCarnamucio, Federica, Claudia Foti, Massimiliano Cordaro, and Ottavia Giuffrè. 2022. "Study on Metronidazole Acid-Base Behavior and Speciation with Ca2+ for Potential Applications in Natural Waters" Molecules 27, no. 17: 5394. https://doi.org/10.3390/molecules27175394
APA StyleCarnamucio, F., Foti, C., Cordaro, M., & Giuffrè, O. (2022). Study on Metronidazole Acid-Base Behavior and Speciation with Ca2+ for Potential Applications in Natural Waters. Molecules, 27(17), 5394. https://doi.org/10.3390/molecules27175394

