Determination of Inorganic Ions in Parenteral Nutrition Solutions by Ion Chromatography
Abstract
:1. Introduction
2. Results and Discussion
2.1. Method Development and Optimization for Cation Analysis
2.1.1. IC Separation Issues
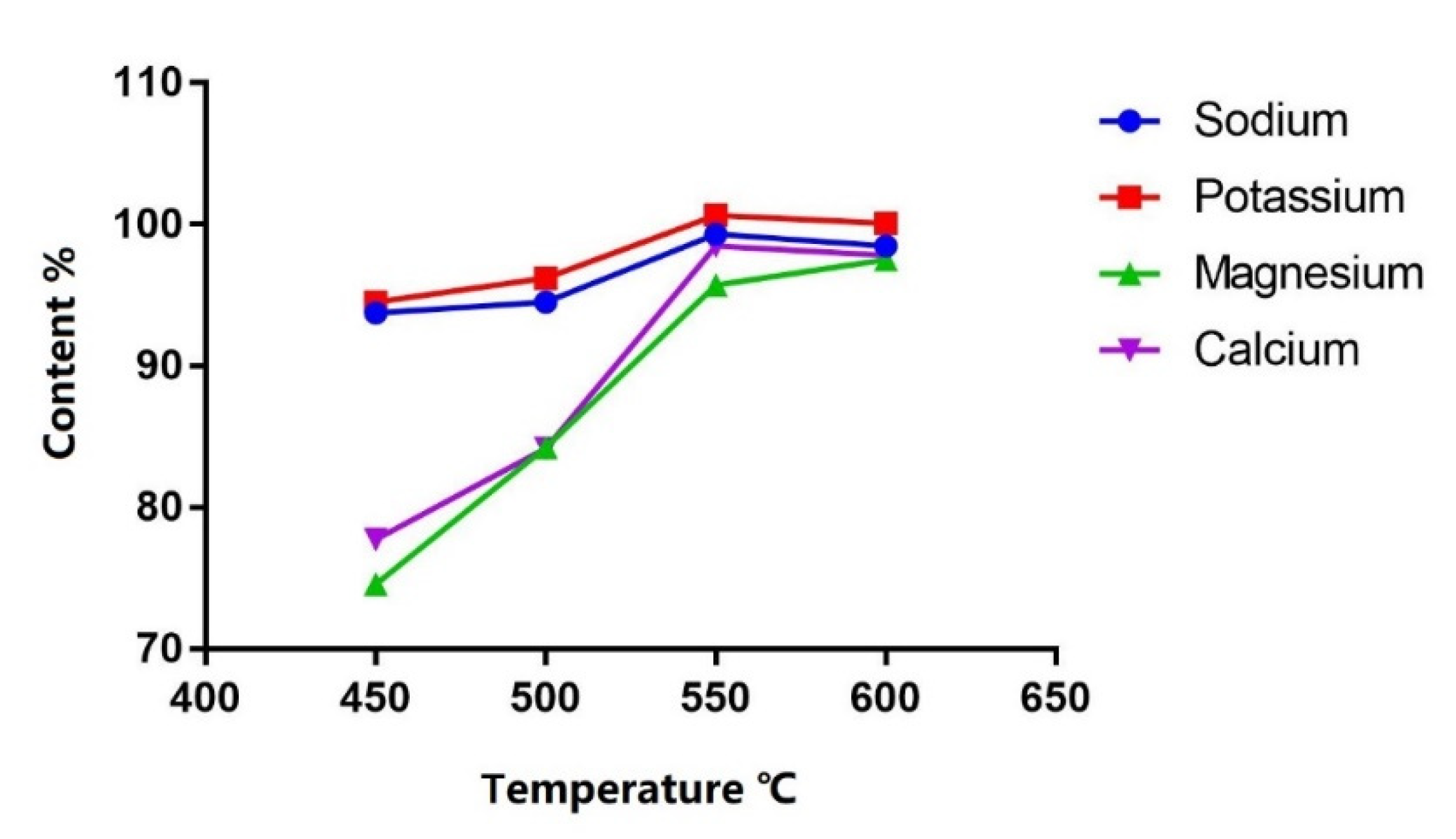
2.1.2. Cleanup Procedure
2.2. Method Development and Optimization for Anion Analysis
2.2.1. Anion Analysis Method Optimization
2.2.2. Sample Pretreatment for Anion Analysis
2.3. Comparing the Suppressed and Non-Suppressed System
2.4. Method Validation
2.4.1. Selectivity
2.4.2. Sensitivity
2.4.3. Linearity
2.4.4. Precision
2.4.5. Recovery
2.4.6. Robustness
2.5. PN Solution Analysis
3. Materials and Methods
3.1. Reagents and Materials
3.2. Preparation of Standards and Samples
3.2.1. Preparation of Standards
3.2.2. Preparation and Quantification of Inorganic Ions in PN Solution
3.3. Instrumentation and Chromatography Conditions
3.4. Validation Test
3.4.1. Selectivity
3.4.2. Sensitivity
3.4.3. Linearity
3.4.4. Precision
3.4.5. Recovery
3.4.6. Robustness
4. Conclusions
Supplementary Materials
Author Contributions
Funding
Institutional Review Board Statement
Informed Consent Statement
Data Availability Statement
Acknowledgments
Conflicts of Interest
Sample Availability
References
- Dudrick, S.J. History of Parenteral Nutrition. J. Am. Coll. Nutr. 2009, 28, 243–251. [Google Scholar] [CrossRef] [PubMed]
- Van Gossum, A.; Cabre, E.; Hébuterne, X.; Jeppesen, P.; Krznaric, Z.; Messing, B.; Powell-Tuck, J.; Staun, M.; Nightingale, J. ESPEN Guidelines on Parenteral Nutrition: Gastroenterology. Clin. Nutr. 2009, 28, 415–427. [Google Scholar] [CrossRef] [PubMed]
- Sobotka, L.; Schneider, S.M.; Berner, Y.N.; Cederholm, T.; Krznaric, Z.; Shenkin, A.; Stanga, Z.; Toigo, G.; Vandewoude, M.; Volkert, D. ESPEN Guidelines on Parenteral Nutrition: Geriatrics. Clin. Nutr. 2009, 28, 461–466. [Google Scholar] [CrossRef] [PubMed]
- Arends, J.; Baracos, V.; Bertz, H.; Bozzetti, F.; Calder, P.C.; Deutz, N.E.P.; Erickson, N.; Laviano, A.; Lisanti, M.P.; Lobo, D.N.; et al. ESPEN Expert Group Recommendations for Action against Cancer-Related Malnutrition. Clin. Nutr. 2017, 36, 1187–1196. [Google Scholar] [CrossRef] [PubMed]
- Denne, S.C.; Poindexter, B.B. Evidence Supporting Early Nutritional Support with Parenteral Amino Acid Infusion. Semin. Perinatol. 2007, 31, 56–60. [Google Scholar] [CrossRef] [PubMed]
- Sommer, I.; Bouchoud, L.; Berger-Gryllaki, M.; Bonnabry, P.; Sadeghipour, F. Quality and Safety of Parenteral Nutrition for Newborn and Preterm Infants as an On-Ward Preparation. Eur. J. Hosp. Pharm. 2020, 27, 292. [Google Scholar] [CrossRef] [PubMed]
- Nussbaumer, S.; Fleury-Souverain, S.; Bouchoud, L.; Rudaz, S.; Bonnabry, P.; Veuthey, J.-L. Determination of Potassium, Sodium, Calcium and Magnesium in Total Parenteral Nutrition Formulations by Capillary Electrophoresis with Contactless Conductivity Detection. J. Pharm. Biomed. Anal. 2010, 53, 130–136. [Google Scholar] [CrossRef] [PubMed]
- Michalski, R. Ion Chromatography as a Reference Method for Determination of Inorganic Ions in Water and Wastewater. Crit. Rev. Anal. Chem. 2006, 36, 107–127. [Google Scholar] [CrossRef]
- Lewen, N. The Use of Atomic Spectroscopy in the Pharmaceutical Industry for the Determination of Trace Elements in Pharmaceuticals. J. Pharm. Biomed. Anal. 2011, 55, 653–661. [Google Scholar] [CrossRef] [PubMed]
- Ieggli, C.V.S.; Bohrer, D.; do Nascimento, P.C.; de Carvalho, L.M.; Garcia, S.C. Determination of Sodium, Potassium, Calcium, Magnesium, Zinc, and Iron in Emulsified Egg Samples by Flame Atomic Absorption Spectrometry. Talanta 2010, 80, 1282–1286. [Google Scholar] [CrossRef] [PubMed]
- Masár, M.; Sydes, D.; Luc, M.; Kaniansky, D.; Kuss, H.-M. Determination of Ammonium, Calcium, Magnesium, Potassium and Sodium in Drinking Waters by Capillary Zone Electrophoresis on a Column-Coupling Chip. J. Chromatogr. A 2009, 1216, 6252–6255. [Google Scholar] [CrossRef] [PubMed]
- Mittal, M.; Kumar, K.; Anghore, D.; Rawal, R.K. ICP-MS: Analytical Method for Identification and Detection of Elemental Impurities. Curr. Drug Discov. Technol. 2017, 14, 106–120. [Google Scholar] [CrossRef] [PubMed]
- Nakatani, N.; Kozaki, D.; Mori, M.; Tanaka, K. Recent Progress and Applications of Ion-Exclusion/Ion-Exchange Chromatography for Simultaneous Determination of Inorganic Anions and Cations. Anal. Sci. 2012, 28, 845–852. [Google Scholar] [CrossRef] [PubMed]
- Marie, N.; Verdier, C.; Bot, B.L.; Burgot, G. Analysis of Sodium and Potassium in Total Parenteral Nutrition Bags by ICP-MS and ICP-AES: Critical Influence of the Ingredients. Am. J. Anal. Chem. 2011, 2, 573–581. [Google Scholar] [CrossRef]
- Meng, H.-B.; Wang, T.-R.; Guo, B.-Y.; Hashi, Y.; Guo, C.-X.; Lin, J.-M. Simultaneous Determination of Inorganic Anions and Cations in Explosive Residues by Ion Chromatography. Talanta 2008, 76, 241–245. [Google Scholar] [CrossRef] [PubMed]
- Barron, L.; Gilchrist, E. Ion Chromatography-Mass Spectrometry: A Review of Recent Technologies and Applications in Forensic and Environmental Explosives Analysis. Anal. Chim. Acta 2014, 806, 27–54. [Google Scholar] [CrossRef] [PubMed]
- Michalski, R. Application of Ion Chromatography in Clinical Studies and Pharmaceutical Industry. Mini Rev. Med. Chem. 2014, 14, 862–872. [Google Scholar] [CrossRef] [PubMed]
- Dionex Doc No. 031688; Product Manual for Dionex IonPacTM CS16 and CG16 Columns. Thermo Fisher Scientific: Sunnyvale, CA, USA, 2010; p. 23.
- Tang, X.; Gu, Y.; Nie, J.; Fan, S.; Wang, C. Quantification of Amino Acids in Rat Urine by Solid-Phase Extraction and Liquid Chromatography/Electrospray Tandem Mass Spectrometry: Application to Radiation Injury Rat Model. J. Liq. Chromatogr. Relat. Technol. 2014, 37, 951–973. [Google Scholar] [CrossRef]
- Du, C.-X.; Huang, Z. Analysis of Amino Acids in Human Tears by Hydrophilic Interaction Liquid Chromatography and Quadrupole Orbitrap Mass Spectrometry. RSC Adv. 2019, 9, 36539–36545. [Google Scholar] [CrossRef] [PubMed]
- Dionex Doc No. 031747; Product Manual for Dionex OnGuard II Cartridges. Thermo Fisher Scientific: Sunnyvale, CA, USA, 2017; p. 12.
- Council of Europe. Limit Tests. In European Pharmacopoeia (Ph. Eur.) 10.0.; European Directorate for the Quality of Medicines & HealthCare of the Council of Europe (EDQM): Strasbourg, France, 2020; Volume 1, pp. 137–143. [Google Scholar]
- Dionex Doc No. 065003-08; Product Manual for Dionex IonPacTM AS19. Thermo Fisher Scientific: Sunnyvale, CA, USA, 2013; p. 13.
- EMA. ICH, Validation of Analytical Procedures: Text and Methodology Q2 (R1); EMA: London, UK, 2006. [Google Scholar]






| Calcination | Pickup Solvent | Content % | |||
|---|---|---|---|---|---|
| Na+ | K+ | Mg2+ | Ca2+ | ||
| Total ash | water | 98 | 104 | 6 | 6 |
| Sulfated ash | water | 116 | 115 | 9 | 4 |
| Total ash | 30 mM MSA | 103 | 82 | 95 | 93 |
| Sulfated ash | 30 mM MSA | 115 | 113 | 97 | 100 |
| HNO3 | 30 mM MSA | 114 | 115 | 97 | 97 |
| MSA | 30 mM MSA | 107 | 98 | 102 | 103 |
| MSA 1 M | 30 mM MSA | 104 | 97 | 103 | 100 |
| Content mg/L | ||||
|---|---|---|---|---|
| Na+ | K+ | Mg2+ | Ca2+ | |
| Porcelain crucibles | 0.050 | <LOQ | <LOQ | 0.413 |
| Quartz crucibles | 0.005 | <LOQ | <LOQ | <LOQ |
| Content mg/L | ||||
|---|---|---|---|---|
| Na+ | K+ | Mg2+ | Ca2+ | |
| Glass vial + water | 0.918 | 0.052 | <LOQ | <LOQ |
| Plastic vial + water | <LOQ | <LOQ | <LOQ | <LOQ |
| Plastic vial + 30 mM MSA | <LOQ | <LOQ | <LOQ | <LOQ |
| Analyte | Suppressed System | Non-Suppressed System | ||
|---|---|---|---|---|
| LOD mg/L | LOQ mg/L | LOD mg/L | LOQ mg/L | |
| Na+ | 0.001 | 0.003 | 0.1 | 0.2 |
| K+ | 0.01 | 0.03 | 0.3 | 1.0 |
| Mg2+ | 0.02 | 0.06 | 0.2 | 0.5 |
| Ca2+ | 0.02 | 0.06 | 0.3 | 1.0 |
| Cl− | 0.0001 | 0.0002 | 0.005 | 0.01 |
| Analyte | Range (mg/L) | Regression Equation | Determination Coefficient |
|---|---|---|---|
| Na+ | 25.36–76.07 | y = 0.2863 x − 0.0726 | 0.9999 |
| K+ | 27.47–82.40 | y = 0.1804 x − 0.0484 | 0.9997 |
| Mg2+ | 2.10–6.29 | y = 0.4374 x − 0.0194 | 0.9997 |
| Ca2+ | 20.65–61.95 | y = 0.3249 x − 0.2192 | 0.9999 |
| Cl− | 40.56–121.68 | y = 0.1077 x − 0.1660 | 0.9992 |
| Analyte | Repeatability RSD% (n = 6) | Inter-Day Precision RSD% (n = 12) | ||
|---|---|---|---|---|
| 80% | 100% | 120% | 100% | |
| Na+ | 0.4 | 0.6 | 0.5 | 0.4 |
| K+ | 0.9 | 0.2 | 0.5 | 0.9 |
| Mg2+ | 0.9 | 0.6 | 0.3 | 0.8 |
| Ca2+ | 0.3 | 0.4 | 0.7 | 0.3 |
| Cl− | 0.8 | 0.8 | 0.9 | 1.0 |
| Analyte | Recovery (%) | ||
|---|---|---|---|
| 80% | 100% | 120% | |
| Na+ | 100.5 | 100.1 | 101.0 |
| K+ | 100.3 | 99.1 | 100.9 |
| Mg2+ | 99.4 | 101.1 | 99.5 |
| Ca2+ | 100.4 | 100.1 | 100.2 |
| Cl− | 100.5 | 99.7 | 99.9 |
| PN Solution | Na+ (%) | K+ (%) | Mg2+ (%) | Ca2+ (%) | Cl− (%) |
|---|---|---|---|---|---|
| 1 | 102.4 (0.7) | 99.4 (0.7) | 101.2 (0.5) | 101.3 (0.8) | 99.1 (0.8) |
| 2 | 100.4 (0.6) | 98.9 (0.7) | 100.8 (0.9) | 100.1 (0.5) | 100.5 (0.9) |
| Ingredients | Contents |
|---|---|
| Sodium glycerophosphate | Sodium 23.8 mM |
| K2HPO4 anhydrous | Potassium 8.6 mM |
| KH2PO4 anhydrous | Potassium 1.0 mM |
| Ca gluconate 10% | Calcium 20.65 mM |
| KCl | Potassium 18.5 mM, chloride 18.5 mM |
| NaCl | Sodium 20.3 mM, chloride 20.3 mM |
| MgCl2 6 aqua | Magnesium 3.45 mM, chloride 6.9 mM |
| Vaminolact | Alanine 6.3 g/L, arginine 4.1 g/L, aspartic acid 4.1 g/L, cysteine/cystine 1.0 g/L, glutamic acid 7.1 g/L, glycine 2.1 g/L, histidine 2.1 g/L, isoleucine 3.1 g/L, leucine 7.0 g/L, lysine 5.6 g/L, methionine 1.3 g/L, phenylalanine 2.7 g/L, proline 5.6 g/L, serine 3.8 g/L, taurine 0.3 g/L, threonine 3.6 g/L, tryptophan 1.4 g/L, tyrosine 0.5 g/L, valine 3.6 g/L |
| Glucose 70% Water for injection | Glucose 70% 240 mL/L |
| Parameter | Low Value (−) | Central Value (0) | High Value (+) |
|---|---|---|---|
| Suppressor current (mA) | 30 | 32 | 34 |
| Concentration of MSA (mM) | 29 | 30 | 31 |
| Column temperature (°C) | 34 | 36 | 38 |
Publisher’s Note: MDPI stays neutral with regard to jurisdictional claims in published maps and institutional affiliations. |
© 2022 by the authors. Licensee MDPI, Basel, Switzerland. This article is an open access article distributed under the terms and conditions of the Creative Commons Attribution (CC BY) license (https://creativecommons.org/licenses/by/4.0/).
Share and Cite
Wen, Z.; Wolfs, K.; Van Schepdael, A.; Adams, E. Determination of Inorganic Ions in Parenteral Nutrition Solutions by Ion Chromatography. Molecules 2022, 27, 5266. https://doi.org/10.3390/molecules27165266
Wen Z, Wolfs K, Van Schepdael A, Adams E. Determination of Inorganic Ions in Parenteral Nutrition Solutions by Ion Chromatography. Molecules. 2022; 27(16):5266. https://doi.org/10.3390/molecules27165266
Chicago/Turabian StyleWen, Zhiqi, Kris Wolfs, Ann Van Schepdael, and Erwin Adams. 2022. "Determination of Inorganic Ions in Parenteral Nutrition Solutions by Ion Chromatography" Molecules 27, no. 16: 5266. https://doi.org/10.3390/molecules27165266
APA StyleWen, Z., Wolfs, K., Van Schepdael, A., & Adams, E. (2022). Determination of Inorganic Ions in Parenteral Nutrition Solutions by Ion Chromatography. Molecules, 27(16), 5266. https://doi.org/10.3390/molecules27165266

