Identification and Inhibition of the Druggable Allosteric Site of SARS-CoV-2 NSP10/NSP16 Methyltransferase through Computational Approaches
Abstract
1. Introduction
2. Materials and Methods
2.1. Allosteric Site Identification
2.2. Allosteric Drug-like Compound Identification
2.3. Molecular Dynamics Simulation and MM-GBSA Studies
3. Results and Discussions
3.1. SARS-CoV-2 NSP10/NSP16 MTase Prospective Allosteric Inhibitors, Identified from the ZINC Diversity Chemical Library
3.2. SARS-CoV-2 NSP10/NSP16 MTase Prospective Allosteric Inhibitors Identified from the CHEMBL Diversity Chemical Library
3.3. SARS-CoV-2 NSP10/NSP16 MTase Prospective Allosteric Inhibitors Identified from the SPECS Diversity Chemical Library
3.4. SARS-CoV-2 NSP10/NSP16 MTase Prospective Allosteric Inhibitors Identified from the NCI Diversity Chemical Library
4. Molecular Dynamics (MD) Stability Analysis Studies
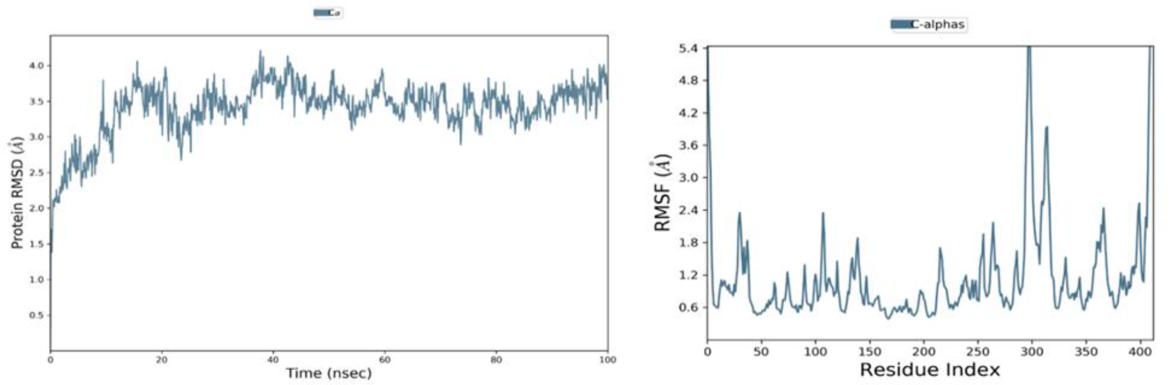
4.1. MD Analysis of the SARS-CoV-2 MTase Holo-Form
4.2. MD Analysis of the SARS-CoV-2 NSP10/NSP16 MTase and CHEMBL2229121 Complex
4.3. MD Analysis of the SARS-CoV-2 NSP10/NSP16 MTase and SPECS_AK-918_11684151 Complex
4.4. MD Analysis of the SARS-CoV-2 NSP10/NSP16 MTase and ZINC000009464451 Complex
4.5. MD Analysis of the SARS-CoV-2 NSP10/NSP16 MTase and NCI-ID = 715319 Complex
5. MM-GBSA Binding Energy Studies
6. ADMET and Drug-Likeness Properties
7. Sources and Data for the Identified Compounds
8. Conclusions
Author Contributions
Funding
Institutional Review Board Statement
Informed Consent Statement
Data Availability Statement
Conflicts of Interest
References
- Nussinov, R.; Tsai, C.J. Allostery in disease and in drug discovery. Cell 2013, 153, 293–305. [Google Scholar] [CrossRef] [PubMed]
- Liu, J.; Nussinov, R. Allostery: An Overview of Its History, Concepts, Methods, and Applications. PLoS Comput. Biol. 2016, 12, e1004966. [Google Scholar] [CrossRef]
- Nussinov, R.; Tsai, C.J.; Xin, F.; Radivojac, P. Allosteric post-translational modification codes. Trends Biochem. Sci. 2012, 37, 447–455. [Google Scholar] [CrossRef] [PubMed]
- Goodey, N.M.; Benkovic, S.J. Allosteric regulation and catalysis emerge via a common route. Nat. Chem. Biol. 2008, 4, 474–482. [Google Scholar] [CrossRef] [PubMed]
- Panicker, R.C.; Chattopadhaya, S.; Coyne, A.G.; Srinivasan, R. Allosteric small-molecule serine/threonine kinase inhibitors. Adv. Exp. Med. Biol. 2019, 1163, 253–278. [Google Scholar]
- Wu, P.; Clausen, M.H.; Nielsen, T.E. Allosteric small-molecule kinase inhibitors. Pharmacol. Ther. 2015, 156, 59–68. [Google Scholar] [CrossRef]
- Yang, J.S.; Seo, S.W.; Jang, S.; Jung, G.Y.; Kim, S. Rational engineering of enzyme allosteric regulation through sequence evolution analysis. PLoS Comput. Biol. 2012, 8, e1002612. [Google Scholar] [CrossRef]
- Lu, S.; Huang, W.; Wang, Q.; Shen, Q.; Li, S.; Nussinov, R.; Zhang, J. The Structural Basis of ATP as an Allosteric Modulator. PLoS Comput. Biol. 2014, 10, e1003831. [Google Scholar] [CrossRef]
- Liu, X.; Lu, S.; Song, K.; Shen, Q.; Ni, D.; Li, Q.; He, X.; Zhang, H.; Wang, Q.; Chen, Y.; et al. Unraveling allosteric landscapes of allosterome with ASD. Nucleic Acids Res. 2020, 48, D394–D401. [Google Scholar] [CrossRef]
- Shen, Q.; Wang, G.; Li, S.; Liu, X.; Lu, S.; Chen, Z.; Song, K.; Yan, J.; Geng, L.; Huang, Z.; et al. ASD v3.0: Unraveling Allosteric regulation with structural mechanisms and biological networks. Nucleic Acids Res. 2016, 44, D527–D535. [Google Scholar] [CrossRef]
- Kaniskan, H.Ü.; Eram, M.S.; Zhao, K.; Szewczyk, M.M.; Yang, X.; Schmidt, K.; Luo, X.; Xiao, S.; Dai, M.; He, F.; et al. Discovery of Potent and Selective Allosteric Inhibitors of Protein Arginine Methyltransferase 3 (PRMT3). J. Med. Chem. 2018, 61, 1204–1217. [Google Scholar] [CrossRef] [PubMed]
- Bagal, S.K.; Andrews, M.; Bechle, B.M.; Bian, J.; Bilsland, J.; Blakemore, D.C.; Braganza, J.F.; Bungay, P.J.; Corbett, M.S.; Cronin, C.N.; et al. Discovery of Potent, Selective, and Peripherally Restricted Pan-Trk Kinase Inhibitors for the Treatment of Pain. J. Med. Chem. 2018, 61, 6779–6800. [Google Scholar] [CrossRef] [PubMed]
- Badshah, S.L.; Ullah, A.; Al-Showiman, S.S.; Mabkhot, Y.N. Better Agonist for the Opioid Receptors. Chem. Cent. J. 2018, 12, 13. [Google Scholar] [CrossRef] [PubMed]
- Anastassiadis, T.; Deacon, S.W.; Devarajan, K.; Ma, H.; Peterson, J.R. Comprehensive assay of kinase catalytic activity reveals features of kinase inhibitor selectivity. Nat. Biotechnol. 2011, 29, 1039–1045. [Google Scholar] [CrossRef] [PubMed]
- Davis, M.I.; Hunt, J.P.; Herrgard, S.; Ciceri, P.; Wodicka, L.M.; Pallares, G.; Hocker, M.; Treiber, D.K.; Zarrinkar, P.P. Comprehensive analysis of kinase inhibitor selectivity. Nat. Biotechnol. 2011, 29, 1046–1051. [Google Scholar] [CrossRef] [PubMed]
- Comess, K.M.; Sun, C.; Abad-Zapatero, C.; Goedken, E.R.; Gum, R.J.; Borhani, D.W.; Argiriadi, M.; Groebe, D.R.; Jia, Y.; Clampit, J.E.; et al. Discovery and characterization of Non-ATP site inhibitors of the mitogen activated protein (MAP) kinases. ACS Chem. Biol. 2011, 6, 234–244. [Google Scholar] [CrossRef]
- Krafcikova, P.; Silhan, J.; Nencka, R.; Boura, E. Structural analysis of the SARS-CoV-2 methyltransferase complex involved in RNA cap creation bound to sinefungin. Nat. Commun. 2020, 11, 3717. [Google Scholar] [CrossRef]
- Chen, Y.; Guo, D. Molecular mechanisms of coronavirus RNA capping and methylation. Virol. Sin. 2016, 31, 3–11. [Google Scholar] [CrossRef]
- El Hassab, M.A.; Ibrahim, T.M.; Al-Rashood, S.T.; Alharbi, A.; Eskandrani, R.O.; Eldehna, W.M. In silico identification of novel SARS-CoV-2 2′-O-methyltransferase (nsp16) inhibitors: Structure-based virtual screening, molecular dynamics simulation and MM-PBSA approaches. J. Enzyme Inhib. Med. Chem. 2021, 36, 727–736. [Google Scholar] [CrossRef]
- Ramanathan, A.; Robb, G.B.; Chan, S.H. mRNA capping: Biological functions and applications. Nucleic Acids Res. 2016, 44, 7511–7526. [Google Scholar] [CrossRef]
- Badshah, S.L.; Ullah, A.; Syed, S. The Role of Zinc-Finger Antiviral Proteins in Immunity against Viruses. Mol. Genet. Microbiol. Virol. 2020, 35, 78–84. [Google Scholar] [CrossRef]
- Zheng, W.; Ibáñez, G.; Wu, H.; Blum, G.; Zeng, H.; Dong, A.; Li, F.; Hajian, T.; Allali-Hassani, A.; Amaya, M.F.; et al. Sinefungin derivatives as inhibitors and structure probes of protein lysine methyltransferase SETD2. J. Am. Chem. Soc. 2012, 134, 18004–18014. [Google Scholar] [CrossRef] [PubMed]
- Zeng, H.; Amaya, M.F.; Loppnau, P.; Bountra, C.; Weigelt, J.; Arrowsmith, C.H.; Edwards, A.M.; Botchkarev, A.; Min, J.; Plotnikov, A.N.; et al. 3EPP: Crystal Structure of mRNA Cap Guanine-N7 Methyltransferase (RNMT) in Complex with Sinefungin; RCSB PDB: Piscataway, NJ, USA, 2008. [Google Scholar]
- Devkota, K.; Lohse, B.; Liu, Q.; Wang, M.-W.; Berthelsen, J.; Clausen, R.P. Analogues of the natural product Sinefungin as potent inhibitors of EHMT1 and EHMT2. Epigenetics Chromatin 2013, 6, 293–297. [Google Scholar] [CrossRef][Green Version]
- Wylie, A.; Schoepfer, J.; Berellini, G.; Cai, H.; Caravatti, G.; Cotesta, S.; Dodd, S.; Donovan, J.; Erb, B.; Furet, P.; et al. ABL001, a Potent Allosteric Inhibitor of BCR-ABL, Prevents Emergence of Resistant Disease When Administered in Combination with Nilotinib in an In Vivo Murine Model of Chronic Myeloid Leukemia. Blood 2014, 124, 398. [Google Scholar] [CrossRef]
- Keedy, D.A.; Hill, Z.B.; Biel, J.T.; Kang, E.; Rettenmaier, T.J.; Brandão-Neto, J.; Pearce, N.M.; von Delft, F.; Wells, J.A.; Fraser, J.S. An expanded allosteric network in PTP1B by multitemperature crystallography, fragment screening, and covalent tethering. elife 2018, 7, e36307. [Google Scholar] [CrossRef] [PubMed]
- Grutsch, S.; Brüschweiler, S.; Tollinger, M. NMR Methods to Study Dynamic Allostery. PLoS Comput. Biol. 2016, 12, e1004620. [Google Scholar] [CrossRef] [PubMed]
- Plenge, P.; Yang, D.; Salomon, K.; Laursen, L.; Kalenderoglou, I.E.; Newman, A.H.; Gouaux, E.; Coleman, J.A.; Loland, C.J. The antidepressant drug vilazodone is an allosteric inhibitor of the serotonin transporter. Nat. Commun. 2021, 12, 5063. [Google Scholar] [CrossRef]
- Renaud, J.P.; Chung, C.W.; Danielson, U.H.; Egner, U.; Hennig, M.; Hubbard, R.E.; Nar, H. Biophysics in drug discovery: Impact, challenges and opportunities. Nat. Rev. Drug Discov. 2016, 15, 679–698. [Google Scholar] [CrossRef]
- Lu, S.; He, X.; Ni, D.; Zhang, J. Allosteric Modulator Discovery: From Serendipity to Structure-Based Design. J. Med. Chem. 2019, 62, 6405–6421. [Google Scholar] [CrossRef]
- Ni, D.; Chai, Z.; Wang, Y.; Li, M.; Yu, Z.; Liu, Y.; Lu, S.; Zhang, J. Along the allostery stream: Recent advances in computational methods for allosteric drug discovery. Wiley Interdiscip. Rev. Comput. Mol. Sci. 2021, 7, e1585. [Google Scholar] [CrossRef]
- Schueler-Furman, O.; Wodak, S.J. Computational approaches to investigating allostery. Curr. Opin. Struct. Biol. 2016, 41, 159–171. [Google Scholar] [CrossRef] [PubMed]
- Faisal, S.; Lal Badshah, S.; Kubra, B.; Sharaf, M.; Emwas, A.H.; Jaremko, M.; Abdalla, M. Computational study of SARS-CoV-2 rna dependent rna polymerase allosteric site inhibition. Molecules 2022, 27, 223. [Google Scholar] [CrossRef]
- Noreen; Ali, R.; Badshah, S.L.; Faheem, M.; Abbasi, S.W.; Ullah, R.; Bari, A.; Jamal, S.B.; Mahmood, H.M.; Haider, A.; et al. Identification of Potential Inhibitors of Zika Virus NS5 RNA-Dependent RNA Polymerase Through Virtual Screening and Molecular Dynamic Simulations. Saudi Pharm. J. 2020, 28, 1580–1591. [Google Scholar]
- Ahmad, N.; Badshah, S.L.; Junaid, M.; Rehman, A.U.; Muhammad, A.; Khan, K. Structural Insights Into the Zika Virus NS1 Protein Inhibition Using a Computational Approach. J Biomol Struct Dyn. 2021, 39, 3004–3011. [Google Scholar] [CrossRef] [PubMed]
- Huang, W.; Wang, G.; Shen, Q.; Liu, X.; Lu, S.; Geng, L.; Huang, Z.; Zhang, J. ASBench: Benchmarking sets for allosteric discovery. Bioinformatics 2015, 31, 2598–2600. [Google Scholar] [CrossRef] [PubMed]
- Huang, M.; Song, K.; Liu, X.; Lu, S.; Shen, Q.; Wang, R.; Gao, J.; Hong, Y.; Li, Q.; Ni, D.; et al. AlloFinder: A strategy for allosteric modulator discovery and allosterome analyses. Nucleic Acids Res. 2018, 46, W451–W458. [Google Scholar] [CrossRef]
- Song, K.; Liu, X.; Huang, W.; Lu, S.; Shen, Q.; Zhang, L.; Zhang, J. Improved Method for the Identification and Validation of Allosteric Sites. J. Chem. Inf. Model. 2017, 57, 2358–2363. [Google Scholar] [CrossRef]
- Huang, W.; Lu, S.; Huang, Z.; Liu, X.; Mou, L.; Luo, Y.; Zhao, Y.; Liu, Y.; Chen, Z.; Hou, T.; et al. Allosite: A method for predicting allosteric sites. Bioinformatics 2013, 29, 2357–2359. [Google Scholar] [CrossRef]
- Wilamowski, M.; Sherrell, D.A.; Minasov, G.; Kim, Y.; Shuvalova, L.; Lavens, A.; Chard, R.; Maltseva, N.; Jedrzejczak, R.; Rosas-Lemus, M.; et al. 2′-O methylation of RNA cap in SARS-CoV-2 captured by serial crystallography. Proc. Natl. Acad. Sci. USA 2021, 118, e2100170118. [Google Scholar] [CrossRef]
- Burley, S.K.; Berman, H.M.; Bhikadiya, C.; Bi, C.; Chen, L.; Di Costanzo, L.; Christie, C.; Dalenberg, K.; Duarte, J.M.; Dutta, S.; et al. RCSB Protein Data Bank: Biological macromolecular structures enabling research and education in fundamental biology, biomedicine, biotechnology and energy. Nucleic Acids Res. 2019, 47, D464–D474. [Google Scholar] [CrossRef]
- Tian, H.; Jiang, X.; Tao, P. PASSer: Prediction of allosteric sites server. Mach. Learn. Sci. Technol. 2021, 2, 035015. [Google Scholar] [CrossRef] [PubMed]
- Sterling, T.; Irwin, J.J. ZINC 15—Ligand Discovery for Everyone. J. Chem. Inf. Model. 2015, 55, 2324–2337. [Google Scholar] [CrossRef] [PubMed]
- Gaulton, A.; Hersey, A.; Nowotka, M.L.; Patricia Bento, A.; Chambers, J.; Mendez, D.; Mutowo, P.; Atkinson, F.; Bellis, L.J.; Cibrian-Uhalte, E.; et al. The ChEMBL database in 2017. Nucleic Acids Res. 2017, 45, D945–D954. [Google Scholar] [CrossRef] [PubMed]
- Ihlenfeldt, W.D.; Voigt, J.H.; Bienfait, B.; Oellien, F.; Nicklaus, M.C. Enhanced CACTVS browser of the open NCI database. J. Chem. Inf. Comput. Sci. 2002, 42, 46–57. [Google Scholar] [CrossRef]
- Li, X.; Chen, Y.; Lu, S.; Huang, Z.; Liu, X.; Wang, Q.; Shi, T.; Zhang, J. Toward an understanding of the sequence and structural basis of allosteric proteins. J. Mol. Graph. Model. 2013, 40, 30–39. [Google Scholar] [CrossRef]
- Wang, Q.; Zheng, M.; Huang, Z.; Liu, X.; Zhou, H.; Chen, Y.; Shi, T.; Zhang, J. Toward understanding the molecular basis for chemical allosteric modulator design. J. Mol. Graph. Model. 2012, 38, 324–333. [Google Scholar] [CrossRef]
- Chen, J.; Lai, L. Pocket v.2: Further developments on receptor-based pharmacophore modeling. J. Chem. Inf. Model. 2006, 46, 2684–2691. [Google Scholar] [CrossRef]
- Yuan, Y.; Pei, J.; Lai, L. LigBuilder 2: A practical de novo drug design approach. J. Chem. Inf. Model. 2011, 51, 1083–1091. [Google Scholar] [CrossRef]
- Ahn, Y.; Jun, Y. Measurement of pain-like response to various NICU stimulants for high-risk infants. Early Hum. Dev. 2007, 83, 255–262. [Google Scholar] [CrossRef]
- Li, S.; Shen, Q.; Su, M.; Liu, X.; Lu, S.; Chen, Z.; Wang, R.; Zhang, J. Alloscore: A method for predicting allosteric ligand-protein interactions. Bioinformatics 2016, 32, 1574–1576. [Google Scholar] [CrossRef]
- Miyamoto, S.; Kollman, P.A. Settle: An analytical version of the SHAKE and RATTLE algorithm for rigid water models. J. Comput. Chem. 1992, 13, 952–962. [Google Scholar] [CrossRef]
- Hou, T.; Wang, J.; Li, Y.; Wang, W. Assessing the performance of the MM/PBSA and MM/GBSA methods. 1. The accuracy of binding free energy calculations based on molecular dynamics simulations. J. Chem. Inf. Model. 2011, 51, 69–82. [Google Scholar] [CrossRef] [PubMed]
- Walters, W.P. Going further than Lipinski’s rule in drug design. Expert Opin. Drug Discov. 2012, 7, 99–107. [Google Scholar] [CrossRef] [PubMed]
- Cheng, F.; Li, W.; Zhou, Y.; Shen, J.; Wu, Z.; Liu, G.; Lee, P.W.; Tang, Y. AdmetSAR: A comprehensive source and free tool for assessment of chemical ADMET properties. J. Chem. Inf. Model. 2012, 52, 3099–3105. [Google Scholar] [CrossRef]
- Huang, Z.; Zhao, J.; Deng, W.; Chen, Y.; Shang, J.; Song, K.; Zhang, L.; Wang, C.; Lu, S.; Yang, X.; et al. Identification of a cellularly active SIRT6 allosteric activator. Nat. Chem. Biol. 2018, 14, 1118–1126. [Google Scholar] [CrossRef]
- Novinec, M.; Korenč, M.; Caflisch, A.; Ranganathan, R.; Lenarčič, B.; Baici, A. A novel allosteric mechanism in the cysteine peptidase cathepsin K discovered by computational methods. Nat. Commun. 2014, 5, 3287. [Google Scholar] [CrossRef]
- Sun, Q.; Ramaswamy, V.S.K.; Levy, R.; Deng, N. Computational design of small molecular modulators of protein–protein interactions with a novel thermodynamic cycle: Allosteric inhibitors of HIV-1 integrase. Protein Sci. 2021, 30, 438–447. [Google Scholar] [CrossRef]
- Vithani, N.; Ward, M.D.; Zimmerman, M.I.; Novak, B.; Borowsky, J.H.; Singh, S.; Bowman, G.R. SARS-CoV-2 Nsp16 activation mechanism and a cryptic pocket with pan-coronavirus antiviral potential. Biophys. J. 2021, 120, 2880–2889. [Google Scholar] [CrossRef]
- Chatzigoulas, A.; Cournia, Z. Rational design of allosteric modulators: Challenges and successes. Wiley Interdiscip. Rev. Comput. Mol. Sci. 2021, 27, 2226–2234. [Google Scholar] [CrossRef]















| SN | Parameters | Score/Value |
|---|---|---|
| 1 | Allosite Score | 0.580 |
| 2 | Pocket Volume | 517.96 (Å3) |
| 3 | SASA | 323.947 |
| 4 | Perturbation Score | 0.295 |
| S.N | Chemical Structure | Compound ID | Alloscore-Score | M.Wt |
|---|---|---|---|---|
| 1 | ![]() | ZINC000009464451 | 7.49 | 477.3 |
| 2 | ![]() | ZINC000002781694 | 7.29 | 469.3 |
| 3 | ![]() | ZINC000004940454 | 7.19 | 387.3 |
| S.N | Chemical Structure | Compound ID | Alloscore-Score | M.Wt |
|---|---|---|---|---|
| 1 | ![]() | CHEMBL2229121 | 7.50 | 443.3 |
| 2 | ![]() | CHEMBL209655 | 7.35 | 473.3 |
| 3 | ![]() | CHEMBL319290 | 7.23 | 472.2 |
| S.N | Chemical Structure | Compound ID | Alloscore-Score | M.Wt |
|---|---|---|---|---|
| 1 | ![]() | Specs_AK-918_11684151 | 7.50 | 588.1 |
| 2 | ![]() | Specs_AJ-292_40706685 | 7.09 | 498.4 |
| 3 | ![]() | Specs_AO-476_15578865 | 7.02 | 396.7 |
| S.N | Chemical Structure | Compound ID | Alloscore-Score | M.Wt |
|---|---|---|---|---|
| 1 | ![]() | NCI-ID = 715319 | 7.36 | 430.3 |
| 2 | ![]() | NCI-ID = 718571 | 7.20 | 447.3 |
| 3 | ![]() | NCI-ID = 715313 | 7.04 | 494 |
| S.No | Compound IDs | MMGBSA dG Bind | MMGBSA dG Bind Coulomb | MMGBSA dG Bind Hbond | MMGBSA dG Bind Lipo | MMGBSA dG Bind vdW |
|---|---|---|---|---|---|---|
| 1 | CHEMBL2229121 | −63.35 | −14.56 | −2.72 | −19.17 | −56.28 |
| 2 | ZINC000009464451 | −38.27 | 33.50 | −2.02 | −15.10 | −42.48 |
| 3 | SPECS AK-91811684151 | −54.77 | −16.06 | −1.74 | −15.14 | −47.23 |
| 4 | NCI-ID = 715319 | −29.24 | 15.9 | −0.53 | −8.60 | −24.38 |
| S.No | Compound ID | MMGBSA dG Bind(NS) | MMGBSA dG Bind(NS) Coulomb | MMGBSA dG Bind(NS) Hbond | MMGBSA dG Bind(NS) Lipo | MMGBSA dG Bind(NS) vdW |
|---|---|---|---|---|---|---|
| 1 | CHEMBL2229121 | −68.68 | −17.04 | −2.72 | −19.38 | −56.56 |
| 2 | ZINC000009464451 | −40.32 | 32.75 | −2.02 | −15.11 | −44.01 |
| 3 | SPECS AK-91811684151 | −57.87 | −16.9 | −1.74 | −15.04 | −48.76 |
| 4 | NCI-ID = 715319 | −29.84 | 15.83 | −0.53 | −8.71 | −24.64 |
| SN | Compound Name | Log S (ESOL) | GI-Asorption | Lipinski Rule | Log Po/w (iLOGP) | Bioavailability Score | CYP1A2 Inhibitor |
|---|---|---|---|---|---|---|---|
| 1 | ZINC000009464451 | −4.16/Moderately soluble | High | No Violations | 2.67 | 0.55 | No |
| 2 | CHEMBL222912 | −2.98/Soluble | Low | No Violations | 2.75 | 0.55 | No |
| 3 | Specs_AK-918_11684151 | −5.87/Moderately soluble | Low | 1-Violation | 3.21 | 0.55 | No |
| 4 | NCI-ID = 715319 | −4.10/Moderately soluble | High | No Violations | 3.25 | 0.55 | No |
Publisher’s Note: MDPI stays neutral with regard to jurisdictional claims in published maps and institutional affiliations. |
© 2022 by the authors. Licensee MDPI, Basel, Switzerland. This article is an open access article distributed under the terms and conditions of the Creative Commons Attribution (CC BY) license (https://creativecommons.org/licenses/by/4.0/).
Share and Cite
Faisal, S.; Badshah, S.L.; Kubra, B.; Sharaf, M.; Emwas, A.-H.; Jaremko, M.; Abdalla, M. Identification and Inhibition of the Druggable Allosteric Site of SARS-CoV-2 NSP10/NSP16 Methyltransferase through Computational Approaches. Molecules 2022, 27, 5241. https://doi.org/10.3390/molecules27165241
Faisal S, Badshah SL, Kubra B, Sharaf M, Emwas A-H, Jaremko M, Abdalla M. Identification and Inhibition of the Druggable Allosteric Site of SARS-CoV-2 NSP10/NSP16 Methyltransferase through Computational Approaches. Molecules. 2022; 27(16):5241. https://doi.org/10.3390/molecules27165241
Chicago/Turabian StyleFaisal, Shah, Syed Lal Badshah, Bibi Kubra, Mohamed Sharaf, Abdul-Hamid Emwas, Mariusz Jaremko, and Mohnad Abdalla. 2022. "Identification and Inhibition of the Druggable Allosteric Site of SARS-CoV-2 NSP10/NSP16 Methyltransferase through Computational Approaches" Molecules 27, no. 16: 5241. https://doi.org/10.3390/molecules27165241
APA StyleFaisal, S., Badshah, S. L., Kubra, B., Sharaf, M., Emwas, A.-H., Jaremko, M., & Abdalla, M. (2022). Identification and Inhibition of the Druggable Allosteric Site of SARS-CoV-2 NSP10/NSP16 Methyltransferase through Computational Approaches. Molecules, 27(16), 5241. https://doi.org/10.3390/molecules27165241













