Chemical Analysis and Investigation of Biological Effects of Salvia officinalis Essential Oils at Three Phenological Stages
Abstract
:1. Introduction
2. Results
2.1. Chemical Composition
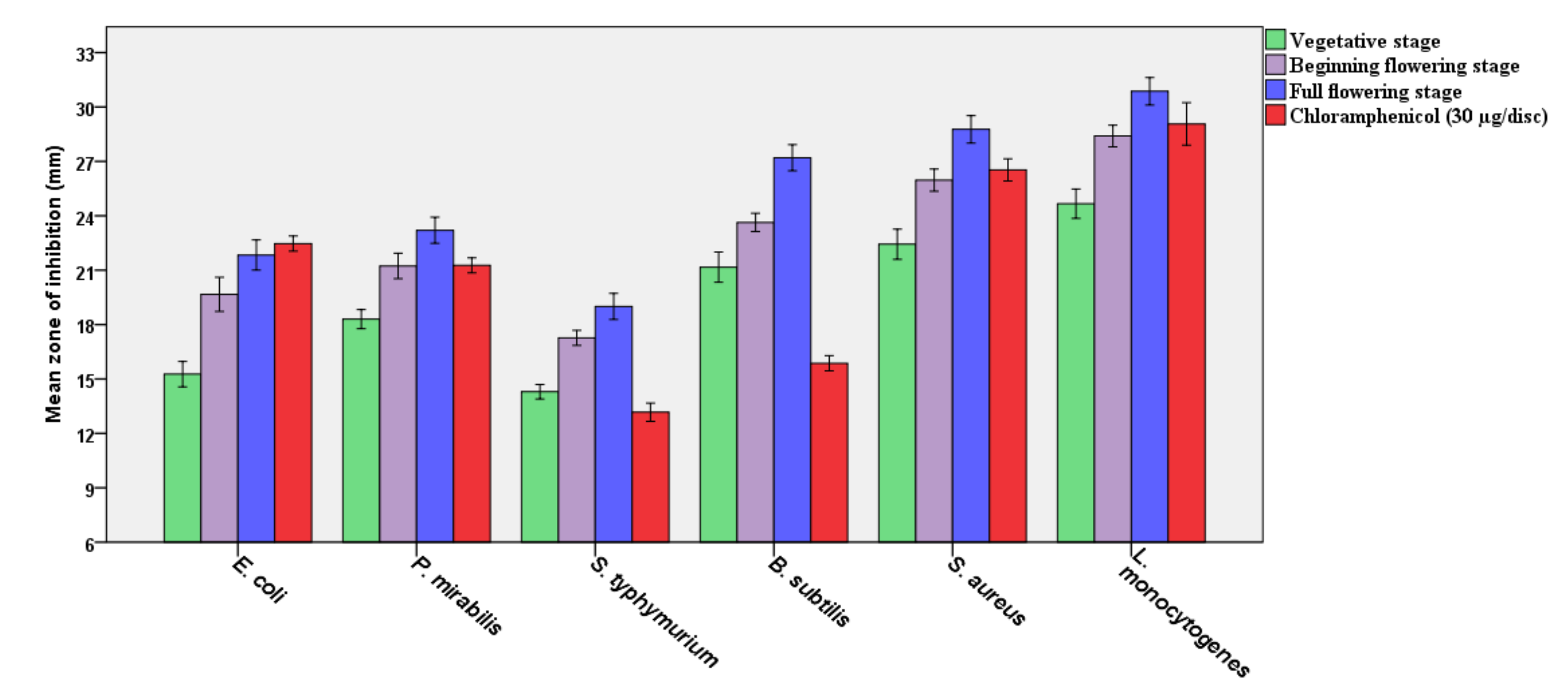
2.2. Antibacterial Effect
2.3. Antioxidant Activity
2.4. Antidiabetic Activity
2.5. Anti-Inflammatory Effects
3. Discussion
4. Materials and Methods
4.1. Reagents
4.2. Plant Collection and Extraction
4.3. GC-MS Analysis of Essential Oils
4.4. Antibacterial Activity
4.4.1. Bacterial Strains
4.4.2. Disc Diffusion Assay
4.4.3. Determination of MIC and MBC
4.5. Antioxidant Activity
4.6. In Vitro Anti-Diabetic Assay
4.7. Lipoxygenase (5-LOX) Inhibition Assay
4.8. Statistical Analysis
5. Conclusions
Author Contributions
Funding
Institutional Review Board Statement
Informed Consent Statement
Data Availability Statement
Conflicts of Interest
References
- Khouchlaa, A.; Talbaoui, A.; El Idrissi, A.E.Y.; Bouyahya, A.; Ait Lahsen, S.; Kahouadji, A.; Tijane, M. Determination of Phenol Content and Evaluation of In Vitro Litholytic Effects on Urolithiasis of Moroccan Zizyphus Lotus L. Extract. Phytothérapie 2017, 16, 14–19. [Google Scholar] [CrossRef]
- Bouyahya, A.; Chamkhi, I.; Benali, T.; Guaouguaou, F.-E.; Balahbib, A.; El Omari, N.; Taha, D.; Belmehdi, O.; Ghokhan, Z.; El Menyiy, N. Traditional Use, Phytochemistry, Toxicology, and Pharmacology of Origanum Majorana L. J. Ethnopharmacol. 2021, 265, 113318. [Google Scholar] [CrossRef] [PubMed]
- Sharifi-Rad, J.; Dey, A.; Koirala, N.; Shaheen, S.; El Omari, N.; Salehi, B.; Goloshvili, T.; Cirone Silva, N.C.; Bouyahya, A.; Vitalini, S. Cinnamomum Species: Bridging Phytochemistry Knowledge, Pharmacological Properties and Toxicological Safety for Health Benefits. Front. Pharmacol. 2021, 12, 600139. [Google Scholar] [CrossRef] [PubMed]
- Jahani, R.; Behzad, S.; Saffariha, M.; Tabrizi, N.T.; Faizi, M. Sedative-Hypnotic, Anxiolytic and Possible Side Effects of Salvia Limbata CA Mey. Extracts and the Effects of Phenological Stage and Altitude on the Rosmarinic Acid Content. J. Ethnopharmacol. 2022, 282, 114630. [Google Scholar] [CrossRef]
- Farhat, M.B.; Landoulsi, A.; Chaouch-Hamada, R.; Sotomayor, J.A.; Jordán, M.J. Characterization and Quantification of Phenolic Compounds and Antioxidant Properties of Salvia Species Growing in Different Habitats. Ind. Crops Prod. 2013, 49, 904–914. [Google Scholar] [CrossRef]
- Loizzo, M.R.; Abouali, M.; Salehi, P.; Sonboli, A.; Kanani, M.; Menichini, F.; Tundis, R. In Vitro Antioxidant and Antiproliferative Activities of Nine Salvia Species. Nat. Prod. Res. 2014, 28, 2278–2285. [Google Scholar] [CrossRef]
- Tundis, R.; Iacopetta, D.; Sinicropi, M.S.; Bonesi, M.; Leporini, M.; Passalacqua, N.G.; Ceramella, J.; Menichini, F.; Loizzo, M.R. Assessment of Antioxidant, Antitumor and pro-Apoptotic Effects of Salvia Fruticosa Mill. Subsp. Thomasii (Lacaita) Brullo, Guglielmo, Pavone & Terrasi (Lamiaceae). Food Chem. Toxicol. 2017, 106, 155–164. [Google Scholar]
- Kolac, U.K.; Ustuner, M.C.; Tekin, N.; Ustuner, D.; Colak, E.; Entok, E. The Anti-Inflammatory and Antioxidant Effects of Salvia Officinalis on Lipopolysaccharide-Induced Inflammation in Rats. J. Med. Food 2017, 20, 1193–1200. [Google Scholar] [CrossRef]
- Özcan, M.; Tzakou, O.; Couladis, M. Essential Oil Composition of Turkish Herbal Tea (Salvia Aucheri Bentham Var. Canescens Boiss. & Heldr.) . Flavour Fragr. J. 2003, 18, 325–327. [Google Scholar]
- Lu, Y.; Foo, L.Y. Polyphenolics of Salvia—A Review. Phytochemistry 2002, 59, 117–140. [Google Scholar] [CrossRef]
- Wu, Y.-B.; Ni, Z.-Y.; Shi, Q.-W.; Dong, M.; Kiyota, H.; Gu, Y.-C.; Cong, B. Constituents from Salvia Species and Their Biological Activities. Chem. Rev. 2012, 112, 5967–6026. [Google Scholar] [CrossRef]
- Rauter, A.P.; Dias, C.; Martins, A.; Branco, I.; Neng, N.R.; Nogueira, J.M.; Goulart, M.; Silva, F.V.; Justino, J.; Trevitt, C. Non-Toxic Salvia Sclareoides Brot. Extracts as a Source of Functional Food Ingredients: Phenolic Profile, Antioxidant Activity and Prion Binding Properties. Food Chem. 2012, 132, 1930–1935. [Google Scholar] [CrossRef]
- Kontogianni, V.G.; Tomic, G.; Nikolic, I.; Nerantzaki, A.A.; Sayyad, N.; Stosic-Grujicic, S.; Stojanovic, I.; Gerothanassis, I.P.; Tzakos, A.G. Phytochemical Profile of Rosmarinus Officinalis and Salvia Officinalis Extracts and Correlation to Their Antioxidant and Anti-Proliferative Activity. Food Chem. 2013, 136, 120–129. [Google Scholar] [CrossRef]
- Khouchlaa, A.; Et-Touys, A.; Lakhdar, F.; Laasri, F.E.; El Idrissi, A.E.Y.; Zaakour, F. Ethnomedicinal Use, Phytochemistry, Pharmacology, and Toxicology of Salvia Verbenaca L.: A Review. Biointerface Res. Appl. Chem. 2021, 12, 1437–1469. [Google Scholar]
- El Baaboua, A.; El Maadoudi, M.; Bouyahya, A.; Belmehdi, O.; Kounnoun, A.; Zahli, R.; Abrini, J. Evaluation of Antimicrobial Activity of Four Organic Acids Used in Chicks Feed to Control Salmonella Typhimurium: Suggestion of Amendment in the Search Standard. Int. J. Microbiol. 2018, 2018, 7352593. [Google Scholar] [CrossRef]
- Saffariha, M.; Azarnivand, H.; Zare Chahouki, M.A.; Tavili, A.; Nejad Ebrahimi, S.; Jahani, R.; Potter, D. Changes in the Essential Oil Content and Composition of Salvia Limbata CA Mey at Different Growth Stages and Altitudes. Biomed. Chromatogr. 2021, 35, e5127. [Google Scholar] [CrossRef]
- Farhat, M.B.; Jordán, M.J.; Chaouch-Hamada, R.; Landoulsi, A.; Sotomayor, J.A. Phenophase Effects on Sage (Salvia officinalis L.) Yield and Composition of Essential Oil. J. Appl. Res. Med. Aromat. Plants 2016, 3, 87–93. [Google Scholar] [CrossRef]
- Hossein Mirjalili, M.; Salehi, P.; Sonboli, A.; Mohammadi Vala, M. Essential Oil Variation of Salvia Officinalis Aerial Parts during Its Phenological Cycle. Chem. Nat. Compd. 2006, 42, 19–23. [Google Scholar] [CrossRef]
- Miraj, S.; Kiani, S. A Review Study of Therapeutic Effects of Salvia officinalis L. Pharm. Lett. 2016, 8, 299–303. [Google Scholar]
- Grdiša, M.; Jug-Dujaković, M.; Lončarić, M.; Carović-Stanko, K.; Ninčević, T.; Liber, Z.; Radosavljević, I.; Šatović, Z. Dalmatian Sage (Salvia officinalis L.): A Review of Biochemical Contents, Medical Properties and Genetic Diversity. Agric. Conspec. Sci. 2015, 80, 69–78. [Google Scholar]
- Sharma, Y.; Fagan, J.; Schaefer, J.; Yashaswini Sharma, C. Ethnobotany, Phytochemistry, Cultivation and Medicinal Properties of Garden Sage (Salvia officinalis L.). J. Pharmacogn. Phytochem. 2019, 8, 3139–3148. [Google Scholar]
- Lopresti, A.L. Salvia (Sage): A Review of Its Potential Cognitive-Enhancing and Protective Effects. Drugs RD 2017, 17, 53–64. [Google Scholar] [CrossRef]
- Kamatou, G.P.; Makunga, N.P.; Ramogola, W.P.N.; Viljoen, A.M. South African Salvia Species: A Review of Biological Activities and Phytochemistry. J. Ethnopharmacol. 2008, 119, 664–672. [Google Scholar] [CrossRef]
- Tundis, R.; Leporini, M.; Bonesi, M.; Rovito, S.; Passalacqua, N.G. Salvia officinalis L. from Italy: A Comparative Chemical and Biological Study of Its Essential Oil in the Mediterranean Context. Molecules 2020, 25, 5826. [Google Scholar] [CrossRef]
- Ahmadi, L.; Mirza, M. A Study of Chemical Composition of Essential Oil from Salvia officinalis L. during Different Growth Stages. JWSS-Isfahan Univ. Technol. 1999, 3, 93–100. [Google Scholar]
- Baranauskiene, R.; Dambrauskiene, E.; Venskutonis, P.R.; Viskelis, P. Influence of Harvesting Time on the Yield and Chemical Composition of Sage (Salvia officinalis L.). In Proceedings of the 6th Baltic Conference on Food Science and Technology “Innovations for Food Science and Production” “FOODBALT-2011” Citeseer, Jelgava, Latvia, 5–6 May 2011; pp. 5–6. [Google Scholar]
- Bouyahya, A.; El Omari, N.; Elmenyiy, N.; Guaouguaou, F.E.; Balahbib, A.; Belmehdi, O.; Bakri, Y. Moroccan antidiabetic medicinal plants: Ethnobotanical studies, phytochemical bioactive compounds, preclinical investigations, toxicological validations and clinical evidences; challenges, guidance and perspectives for future management of diabetes worldwide. Trend. Food. Sci. Technol. 2021, 115, 147–254. [Google Scholar]
- Chalchat, J.C.; Michet, A.; Pasquier, B. Study of Clones of Salvia officinalis L. Yields and Chemical Composition of Essential Oil. Flavour Fragr. J. 1998, 13, 68–70. [Google Scholar] [CrossRef]
- Dob, T.; Berramdane, T.; Dahmane, D.; Benabdelkader, T.; Chelghoum, C. Chemical Composition of the Essential Oil of Salvia Officinalis from Algeria. Chem. Nat. Compd. 2007, 43, 491–494. [Google Scholar] [CrossRef]
- Lakhal, H.; Ghorab, H.; Chibani, S.; Kabouche, A.; Semra, Z.; Smati, F.; Abuhamdah, S.; Kabouche, Z. Chemical Composition and Biological Activities of the Essential Oil of Salvia Officinalis from Batna (Algeria). Pharm. Lett. 2013, 5, 310–314. [Google Scholar]
- Arraiza, M.P.; Arrabal, C.; López, J.V. Seasonal Variation of Essential Oil Yield and Composition of Sage (Salvia officinalis L.) Grown in Castilla-La Mancha (Central Spain). Not. Bot. Horti Agrobot. Cluj-Napoca 2012, 40, 106–108. [Google Scholar] [CrossRef]
- El Euch, S.K.; Hassine, D.B.; Cazaux, S.; Bouzouita, N.; Bouajila, J. Salvia Officinalis Essential Oil: Chemical Analysis and Evaluation of Anti-Enzymatic and Antioxidant Bioactivities. S. Afr. J. Bot. 2019, 120, 253–260. [Google Scholar] [CrossRef]
- Khedher, M.R.B.; Khedher, S.B.; Chaieb, I.; Tounsi, S.; Hammami, M. Chemical Composition and Biological Activities of Salvia Officinalis Essential Oil from Tunisia. EXCLI J. 2017, 16, 160. [Google Scholar] [PubMed]
- Porte, A.; Godoy, R.L.O.; Maia-Porte, L.H. Chemical Composition of Sage (Salvia officinalis L.) Essential Oil from the Rio de Janeiro State (Brazil). Rev. Bras. Plantas Med. 2013, 15, 438–441. [Google Scholar] [CrossRef]
- Sellami, I.H.; Rebey, I.B.; Sriti, J.; Rahali, F.Z.; Limam, F.; Marzouk, B. Drying Sage (Salvia officinalis L.) Plants and Its Effects on Content, Chemical Composition, and Radical Scavenging Activity of the Essential Oil. Food Bioprocess Technol. 2012, 5, 2978–2989. [Google Scholar] [CrossRef]
- Russo, A.; Formisano, C.; Rigano, D.; Senatore, F.; Delfine, S.; Cardile, V.; Rosselli, S.; Bruno, M. Chemical Composition and Anticancer Activity of Essential Oils of Mediterranean Sage (Salvia officinalis L.) Grown in Different Environmental Conditions. Food Chem. Toxicol. 2013, 55, 42–47. [Google Scholar] [CrossRef]
- Miguel, G.; Cruz, C.; Faleiro, M.L.; Simões, M.T.F.; Figueiredo, A.C.; Barroso, J.G.; Pedro, L.G. Salvia Officinalis L. Essential Oils: Effect of Hydrodistillation Time on the Chemical Composition, Antioxidant and Antimicrobial Activities. Nat. Prod. Res. 2011, 25, 526–541. [Google Scholar] [CrossRef]
- Ghorbanpour, M. Major Essential Oil Constituents, Total Phenolics and Flavonoids Content and Antioxidant Activity of Salvia Officinalis Plant in Response to Nano-Titanium Dioxide. Indian J. Plant Physiol. 2015, 20, 249–256. [Google Scholar] [CrossRef]
- Delamare, A.P.L.; Moschen-Pistorello, I.T.; Artico, L.; Atti-Serafini, L.; Echeverrigaray, S. Antibacterial Activity of the Essential Oils of Salvia Officinalis L. and Salvia Triloba L. Cultivated in South Brazil. Food Chem. 2007, 100, 603–608. [Google Scholar] [CrossRef]
- Sokovic, M.; Marin, P.D.; Brkic, D.; van Griensven, L.J. Chemical Composition and Antibacterial Activity of Essential Oils against Human Pathogenic Bacteria. Food 2008, 1, 220–226. [Google Scholar]
- Pereira, R.S.; Sumita, T.C.; Furlan, M.R.; Jorge, A.O.C.; Ueno, M. Antibacterial Activity of Essential Oils on Microorganisms Isolated from Urinary Tract Infection. Rev. Saude Publica 2004, 38, 326–328. [Google Scholar] [CrossRef]
- Viuda-Martos, M.; Ruiz-Navajas, Y.; Fernández-López, J.; Pérez-Álvarez, J.A. Antibacterial Activity of Different Essential Oils Obtained from Spices Widely Used in Mediterranean Diet. Int. J. Food Sci. Technol. 2008, 43, 526–531. [Google Scholar] [CrossRef]
- Wijesundara, N.M.; Rupasinghe, H.V. Essential Oils from Origanum Vulgare and Salvia Officinalis Exhibit Antibacterial and Anti-Biofilm Activities against Streptococcus Pyogenes. Microb. Pathog. 2018, 117, 118–127. [Google Scholar] [CrossRef]
- Roldán, L.P.; Díaz, G.J.; Duringer, J.M. Composition and Antibacterial Activity of Essential Oils Obtained from Plants of the Lamiaceae Family against Pathogenic and Beneficial Bacteria. Rev. Colomb. Cienc. Pecu. 2010, 23, 451–461. [Google Scholar]
- Soković, M.; Glamočlija, J.; Marin, P.D.; Brkić, D.; Van Griensven, L.J. Antibacterial Effects of the Essential Oils of Commonly Consumed Medicinal Herbs Using an In Vitro Model. Molecules 2010, 15, 7532–7546. [Google Scholar] [CrossRef]
- Lodhia, M.H.; Bhatt, K.R.; Thaker, V.S. Antibacterial Activity of Essential Oils from Palmarosa, Evening Primrose, Lavender and Tuberose. Indian J. Pharm. Sci. 2009, 71, 134. [Google Scholar]
- Mann, C.M.; Cox, S.D.; Markham, J.L. The Outer Membrane of Pseudomonas Aeruginosa NCTC 6749 Contributes to Its Tolerance to the Essential Oil of Melaleuca Alternifolia (Tea Tree Oil). Lett. Appl. Microbiol. 2000, 30, 294–297. [Google Scholar] [CrossRef]
- Nazzaro, F.; Fratianni, F.; De Martino, L.; Coppola, R.; De Feo, V. Effect of Essential Oils on Pathogenic Bacteria. Pharmaceuticals 2013, 6, 1451–1474. [Google Scholar] [CrossRef]
- Farhat, M.B.; Chaouch-Hamada, R.; Sotomayor, J.A.; Landoulsi, A.; Jordán, M.J. Antioxidant Potential of Salvia officinalis L. Residues as Affected by the Harvesting Time. Ind. Crops Prod. 2014, 54, 78–85. [Google Scholar] [CrossRef]
- Belkhodja, H.; Meddah, B.; Sidelarbi, K.; Bouhadi, D.; Medjadel, B.; Brakna, A. In Vitro and In Vivo Anti-Inflammatory Potential of Eucalyptus Globulus Essential Oil. Eur. J. Biol. Res. 2022, 11, 315–324. [Google Scholar] [CrossRef]
- Bozin, B.; Mimica-Dukic, N.; Samojlik, I.; Jovin, E. Antimicrobial and Antioxidant Properties of Rosemary and Sage (Rosmarinus Officinalis L. and Salvia officinalis L., Lamiaceae) Essential Oils. J. Agric. Food Chem. 2007, 55, 7879–7885. [Google Scholar] [CrossRef]
- Bouyahya, A.; El Menyiy, N.; Oumeslakht, L.; El Allam, A.; Balahbib, A.; Rauf, A.; El Omari, N. Preclinical and clinical antioxidant effects of natural compounds against oxidative stress-induced epigenetic instability in tumor cells. Antioxidants. 2021, 10, 1553. [Google Scholar] [CrossRef]
- Mechchate, H.; Es-safi, I.; Louba, A.; Alqahtani, A.S.; Nasr, F.A.; Noman, O.M.; Farooq, M.; Alharbi, M.S.; Alqahtani, A.; Bari, A.; et al. In Vitro Alpha-Amylase and Alpha-Glucosidase Inhibitory Activity and In Vivo Antidiabetic Activity of Withania Frutescens L. Foliar Extract. Molecules 2021, 26, 293. [Google Scholar] [CrossRef]
- Mahdi, S.; Azzi, R.; Lahfa, F.B. Evaluation of in Vitro α-Amylase and α-Glucosidase Inhibitory Potential and Hemolytic Effect of Phenolic Enriched Fractions of the Aerial Part of Salvia Officinalis L. Diabetes Metab. Syndr. Clin. Res. Rev. 2020, 14, 689–694. [Google Scholar] [CrossRef]
- Pereira, O.; Catarino, M.; Afonso, A.; Silva, A.; Cardoso, S. Salvia Elegans, Salvia Greggii and Salvia Officinalis Decoctions: Antioxidant Activities and Inhibition of Carbohydrate and Lipid Metabolic Enzymes. Molecules 2018, 23, 3169. [Google Scholar] [CrossRef] [PubMed]
- Ramirez, G.; Zamilpa, A.; Zavala, M.; Perez, J.; Morales, D. Chrysoeriol and Other Polyphenols from Tecoma Stans with Lipase Inhibitory Activity. J. Ethnopharmacol. 2016, 185, 1–8. [Google Scholar] [CrossRef] [PubMed]
- Eidi, A.; Eidi, M. Antidiabetic Effects of Sage (Salvia officinalis L.) Leaves in Normal and Streptozotocin-Induced Diabetic Rats. Diabetes Metab. Syndr. Clin. Res. Rev. 2009, 3, 40–44. [Google Scholar] [CrossRef]
- Alarcon-Aguilar, F.; Roman-Ramos, R.; Flores-Saenz, J.; Aguirre-Garcia, F. Investigation on the Hypoglycaemic Effects of Extracts of Four Mexican Medicinal Plants in Normal and Alloxan Diabetic Mice. Phytother. Res. 2002, 16, 383–386. [Google Scholar] [CrossRef] [PubMed]
- Baricevic, D.; Bartol, T. The Biological/Pharmacological Activity of the Salvia Genus; University of Ljubljana: Ljubljana, Slovenia, 2000; pp. 143–184. [Google Scholar]
- Kuranov, S.O.; Tsypysheva, I.P.; Khvostov, M.V.; Zainullina, L.F.; Borisevich, S.S.; Vakhitova, Y.V.; Luzina, O.A.; Salakhutdinov, N.F. Synthesis and Evaluation of Camphor and Cytisine-Based Cyanopyrrolidines as DPP-IV Inhibitors for the Treatment of Type 2 Diabetes Mellitus. Bioorganic Med. Chem. 2018, 26, 4402–4409. [Google Scholar] [CrossRef]
- Paul, K.; Bhattacharjee, P. Process Optimization of Supercritical Carbon Dioxide Extraction of 1,8-Cineole from Small Cardamom Seeds by Response Surface Methodology: In Vitro Antioxidant, Antidiabetic and Hypocholesterolemic Activities of Extracts. J. Essent. Oil Bear. Plants 2018, 21, 317–329. [Google Scholar] [CrossRef]
- Alkhateeb, H. Thujone Improves Glucose Homeostasis in Streptozotocin-Induced Diabetic Rats through Activation of Akt/GSK-3 Beta Signaling Pathway. J. Exp. Integr. Med. 2015, 5, 30. [Google Scholar] [CrossRef]
- Suijun, W.; Zhen, Y.; Ying, G.; Yanfang, W. A Role for Trans-Caryophyllene in the Moderation of Insulin Secretion. Biochem. Biophys. Res. Commun. 2014, 444, 451–454. [Google Scholar] [CrossRef]
- Basha, R.H.; Sankaranarayanan, C. β-Caryophyllene, a Natural Sesquiterpene Lactone Attenuates Hyperglycemia Mediated Oxidative and Inflammatory Stress in Experimental Diabetic Rats. Chem.-Biol. Interact. 2016, 245, 50–58. [Google Scholar] [CrossRef]
- Shehzad, A.; Shahzad, R.; Lee, Y.S. Curcumin. In The Enzymes; Elsevier: Amsterdam, The Netherlands, 2014; Volume 36, pp. 149–174. ISBN 978-0-12-802215-3. [Google Scholar]
- Albano, S.M.; Lima, A.S.; Miguel, M.G.; Pedro, L.G.; Barroso, J.G.; Figueiredo, A.C. Antioxidant, Anti-5-Lipoxygenase and Antiacetylcholinesterase Activities of Essential Oils and Decoction Waters of Some Aromatic Plants. Rec. Nat. Prod. 2012, 6, 35–48. [Google Scholar]
- Chehade, S.; Kobeissy, M.; Kanaan, H.; Haddad, M. Comparison between the Chemical Compositions and the In-Vitro Antidiabetic and Anti-Inflammatory Activities of Salvia Libanotica’ and Salvia Officinalis’ Leaves Essential Oils. Eur. J. Pharm. Med. Res. 2022, 93, 34–43. [Google Scholar]
- de Melo, G.A.N.; Fonseca, J.P.; Farinha, T.O.; do Pinho, R.J.; Damião, M.J.; Grespan, R.; da Silva, E.L.; Bersani-Amado, C.A.; Cuman, R.K.N. Anti-Inflammatory Activity of Salvia officinalis L. J. Med. Plants Res. 2012, 635, 4934–4939. [Google Scholar]
- Chen, B.W.; Wang, H.H.; Liu, J.X. Zinc Sulphate Solution Enema Decreases Inflammation in Experimental Colitis in Rats. J. Gastroenterol. Hepatol. 1999, 14, 1088–1092. [Google Scholar] [CrossRef]
- Ghori, S.S.; Ahmed, M.I.; Mohammed, A. Evaluation of Analgesic and Anti-Inflammatory Activities of Formulation Containing Camphor, Menthol and Thymol. Int. J. Pharm. Pharm. Sci. 2016, 8, 271–274. [Google Scholar]
- Ehrnhöfer-Ressler, M.M.; Fricke, K.; Pignitter, M.; Walker, J.M.; Walker, J.; Rychlik, M.; Somoza, V. Identification of 1,8-Cineole, Borneol, Camphor, and Thujone as Anti-Inflammatory Compounds in a Salvia off Icinalis L. Infusion Using Human Gingival Fibroblasts. J. Agric. Food Chem. 2013, 61, 3451–3459. [Google Scholar] [CrossRef]
- Ed-Dra, A.; Filali, F.R.; Lo Presti, V.; Zekkori, B.; Nalbone, L.; Bouymajane, A.; Trabelsi, N.; Lamberta, F.; Bentayeb, A.; Giuffrida, A.; et al. Chemical Composition, Antioxidant Capacity and Antibacterial Action of Five Moroccan Essential Oils against Listeria Monocytogenes and Different Serotypes of Salmonella Enterica. Microb. Pathog. 2020, 149, 104510. [Google Scholar] [CrossRef]
- Bouyahya, A.; Belmehdi, O.; El Jemli, M.; Marmouzi, I.; Bourais, I.; Abrini, J.; Faouzi, M.E.A.; Dakka, N.; Bakri, Y. Chemical Variability of Centaurium Erythraea Essential Oils at Three Developmental Stages and Investigation of Their in Vitro Antioxidant, Antidiabetic, Dermatoprotective and Antibacterial Activities. Ind. Crops Prod. 2019, 132, 111–117. [Google Scholar] [CrossRef]
- Ed-Dra, A.; Nalbone, L.; Filali, F.R.; Trabelsi, N.; El Majdoub, Y.O.; Bouchrif, B.; Giarratana, F.; Giuffrida, A. Comprehensive Evaluation on the Use of Thymus Vulgaris Essential Oil as Natural Additive against Different Serotypes of Salmonella Enterica. Sustain. Switz. 2021, 13, 4594. [Google Scholar] [CrossRef]
- Bouyahya, A.; Bakri, Y.; Khay, E.O.; Edaoudi, F.; Talbaoui, A.; Et-Touys, A.; Dakka, N. Antibacterial, antioxidant and antitumor properties of Moroccan medicinal plants: A review. Asian Pac J Trop Dis. 2017, 7, 57–64. [Google Scholar] [CrossRef]
- Bouyahya, A.; Abrini, J.; Bakri, Y.; Dakka, N. Essential Oils as Anticancer Agents: News on Mode of Action. Phytoth. 2018, 16, 254–267. [Google Scholar] [CrossRef]
- Naceiri Mrabti, H.; Doudach, L.; Kachmar, M.R.; Ed-Dra, A.; Khalil, Z.; Naceiri Mrabti, N.; Benrahou, K.; Harraqui, K.; Zengİn, G.; Bouyahya, A.; et al. Phenolic Content, Antibacterial, Antioxidant, and Toxicological Investigations of Erodium Guttatum (Geraniaceae) Collected from the Northeast of Morocco. Turk. J. Bot. 2021, 45, 739–749. [Google Scholar] [CrossRef]
- Mrabti, H.N.; Sayah, K.; Jaradat, N.; Kichou, F.; Ed-Dra, A.; Belarj, B.; Cherrah, Y.; Faouzi, M.E.A. Antidiabetic and Protective Effects of the Aqueous Extract of Arbutus Unedo L. in Streptozotocin-Nicotinamide-Induced Diabetic Mice. J. Complement. Integr. Med. 2018, 15, 20170165. [Google Scholar] [CrossRef]
- Hu, B.; Cui, F.; Yin, F.; Zeng, X.; Sun, Y.; Li, Y. Caffeoylquinic Acids Competitively Inhibit Pancreatic Lipase through Binding to the Catalytic Triad. Int. J. Biol. Macromol. 2015, 80, 529–535. [Google Scholar] [CrossRef] [PubMed]
- Andrade, C.; Ferreres, F.; Gomes, N.G.M.; Duangsrisai, S.; Srisombat, N.; Vajrodaya, S.; Pereira, D.M.; Gil-Izquierdo, A.; Andrade, P.B.; Valentão, P. Phenolic Profiling and Biological Potential of Ficus Curtipes Corner Leaves and Stem Bark: 5-Lipoxygenase Inhibition and Interference with NO Levels in LPS-Stimulated RAW264.7 Macrophages. Biomolecules 2019, 9, 400. [Google Scholar] [CrossRef]




| Peak Area% | ||||
|---|---|---|---|---|
| RT | VS | BFS | FFS | |
| Compounds | Monoterpenes | |||
| cis-sabinene | 10.52 | 0.9 | 0.97 | 1.24 |
| δ.3-carene | 13.57 | 1.43 | 0.83 | 1.13 |
| α-pinene | 14.11 | 3.2 | 2.26 | 2.66 |
| naphthalene | 24.50 | 0.23 | 0.15 | 0.2 |
| α-terpinene | 8.45 | - | 0.2 | 0.27 |
| l-phellandrene | 8.60 | 0.73 | - | 0.2 |
| β-pinene | 8.88 | - | 0.98 | 0.97 |
| ϒ-terpinene | 10.34 | 0.32 | 0.51 | 0.62 |
| terpinolene | 14.56 | 0.14 | 0.4 | 0.38 |
| cis-ocimene | 15.34 | 0.47 | 0.42 | 0.39 |
| β-carene | 16.21 | 0.55 | 0.95 | 0.36 |
| camphene | 9.49 | 2.74 | 1.65 | 1.87 |
| azulene | 28.45 | 0.35 | - | - |
| Total | 12.09 | 10.28 | 11 | |
| Oxygenated Monoterpenes | ||||
| 1.8-cineole | 12.68 | 12.51 | 8.61 | 10.75 |
| α-thujone | 15.56 | 4.46 | 3.32 | 2.94 |
| p-menthone | 17.71 | 0.25 | - | - |
| isoborneol | 17.99 | 2.21 | 2.27 | 1.57 |
| carveol | 19.69 | - | 0.14 | 0.15 |
| Z-citral | 20.18 | 0.78 | 0.1 | - |
| β-thujone | 14.83 | 0.84 | 1.08 | 0.61 |
| d-verbenone | 19.12 | 0.13 | 0.11 | - |
| cis-limonene oxide | 20.80 | 0.75 | 0.24 | 0.3 |
| naphthalenone | 16.15 | 22.9 | 22.39 | 20.81 |
| camphor | 20.36 | 16.29 | 15.98 | 14.35 |
| Total | 61.12 | 54.24 | 51.48 | |
| Sesquiterpenes | ||||
| α-bourbonene | 24.99 | 0.12 | 0.13 | - |
| trans-caryophyllene | 26.20 | 3.66 | 8.91 | 9.61 |
| germacrene D | 25.12 | 0.15 | 0.14 | 0.16 |
| aromadendrene | 26.80 | 0.15 | 0.37 | 0.45 |
| α-caryophyllene | 31.86 | 0.2 | 0.14 | 0.14 |
| α-humulene | 27.80 | 3.36 | 7.09 | 8.34 |
| Ledene | 28.45 | 0.12 | 0.2 | 0.23 |
| cis-Calamenene | 29.41 | 0.12 | 0.1 | 0.11 |
| eremophilene | 28.63 | 7.25 | 7.4 | 8.37 |
| cadinene | 29.27 | 0.22 | - | - |
| ë-cadinene | 29.41 | 0.27 | 0.24 | 0.3 |
| dehydroaromadendrene | 30.93 | 0.14 | 0.24 | 0.21 |
| junipene | 32.51 | - | - | - |
| valencene | 26.64 | 0.11 | 0.11 | 0.13 |
| ç-himachalene | 30.71 | 0.53 | 0.23 | 0.22 |
| Total | 16.4 | 25.3 | 28.27 | |
| Oxygenated Sesquiterpenes | ||||
| ledeneoxide | 32.36 | 0.36 | 0.19 | 0.18 |
| (−)-caryophyllene oxide | 31.36 | 1.71 | 1.09 | 1.1 |
| aromadendrene oxide | 31.90 | 2.23 | 1.53 | - |
| Total | 4.3 | 2.81 | 1.28 | |
| Other Molecules | ||||
| exobornyla cetate | 21.78 | 0.34 | 2.14 | 1.24 |
| sabinyla cetate | 21.95 | 0.15 | 0.23 | - |
| geraniol formate | 10.96 | 0.33 | 0.34 | 0.36 |
| myrtenyla cetate | 23.13 | - | 0.22 | - |
| linalyla cetate | 32.02 | 0.18 | - | - |
| Total | 1 | 2.93 | 1.6 | |
| Microorganisms | Gram | Salvia officinalis Essential Oils in% (v/v) | Chloramphenicol (µg/mL) | |||||
|---|---|---|---|---|---|---|---|---|
| Vegetative Stage | Beginning Flowering Stage | Full Flowering Stage | ||||||
| MIC | MBC | MIC | MBC | MIC | MBC | |||
| E. coli ATCC 25922 | Gram − | 1 | 2 | 0.5 | 1 | 0.5 | 0.5 | 4 |
| P. mirabilis ATCC 25933 | Gram − | 1 | 1 | 0.5 | 1 | 0.5 | 0.5 | 4 |
| S. typhimurium ATCC 700408 | Gram − | 2 | 2 | 1 | 2 | 1 | 1 | 64 |
| B. subtilis ATCC 6633 | Gram + | 0.25 | 0.5 | 0.25 | 0.25 | 0.12 | 0.25 | 32 |
| S. aureus ATCC 29213 | Gram + | 0.5 | 0.5 | 0.25 | 0.25 | 0.12 | 0.25 | 4 |
| L. monocytogenes ATCC 13932 | Gram + | 0.25 | 0.5 | 0.12 | 0.25 | 0.12 | 0.12 | 2 |
| Controls | Essential Oils | ||||
|---|---|---|---|---|---|
| Ascorbic Acid | Trolox | Vegetative Stage | Beginning Flowering Stage | Full Flowering Stage | |
| DPPH | 17.73 ± 0.74 a | 28.19 ± 1.12 b | 188.43 ± 2.46 c | 149.19 ± 5.31 d | 113.56 ± 3.29 e |
| FRAP | 42.91 ± 1.17 a | 69.55 ± 1.75 b | 212.91 ± 3.88 c | 188.45 ± 3.17 d | 126.85 ± 2.17 e |
| ABTS | 56.84 ± 2.05 a | 71.48 ± 1.72 b | 244.65 ± 1.74 c | 198.05 ± 2.15 d | 141.55 ± 1.81 e |
| Assays | Essential Oils | Controls | |||
|---|---|---|---|---|---|
| Vegetative Stage | Beginning Flowering Stage | Full Flowering Stage | Acarbose | Orlistat | |
| α-amylase IC50 (µg/mL) | 121.54 ± 0.02 a | 81.91 ± 0.03 b | 69.23 ± 0.1 c | 40.71 ± 0.50 d | - |
| α-glucosidase IC50 (µg/mL) | 59.11 ± 0.03 a | 46.57 ± 0.01 b | 22.24 ± 0.07 c | 12.31 ± 0.05 d | - |
| Lipase IC50 (µg/mL) | 83.47 ± 0.11 a | 71.42 ± 1.13 b | 37.3 ± 0.03 c | - | 21.37 ± 0.05 d |
| Assays | Essential Oils | Control | ||
|---|---|---|---|---|
| Vegetative Stage | Beginning of the Flowering Stage | Full Flowering Stage | Quercetin | |
| 5-lipoxygenase | 54.39 ± 0.01 a | 31.51 ± 0.02 b | 9.24 ± 0.03 c | 4.89 ± 0.02 d |
Publisher’s Note: MDPI stays neutral with regard to jurisdictional claims in published maps and institutional affiliations. |
© 2022 by the authors. Licensee MDPI, Basel, Switzerland. This article is an open access article distributed under the terms and conditions of the Creative Commons Attribution (CC BY) license (https://creativecommons.org/licenses/by/4.0/).
Share and Cite
Assaggaf, H.M.; Naceiri Mrabti, H.; Rajab, B.S.; Attar, A.A.; Alyamani, R.A.; Hamed, M.; El Omari, N.; El Menyiy, N.; Hazzoumi, Z.; Benali, T.; et al. Chemical Analysis and Investigation of Biological Effects of Salvia officinalis Essential Oils at Three Phenological Stages. Molecules 2022, 27, 5157. https://doi.org/10.3390/molecules27165157
Assaggaf HM, Naceiri Mrabti H, Rajab BS, Attar AA, Alyamani RA, Hamed M, El Omari N, El Menyiy N, Hazzoumi Z, Benali T, et al. Chemical Analysis and Investigation of Biological Effects of Salvia officinalis Essential Oils at Three Phenological Stages. Molecules. 2022; 27(16):5157. https://doi.org/10.3390/molecules27165157
Chicago/Turabian StyleAssaggaf, Hamza M., Hanae Naceiri Mrabti, Bodour S. Rajab, Ammar A. Attar, Reema A. Alyamani, Munerah Hamed, Nasreddine El Omari, Naoual El Menyiy, Zakaria Hazzoumi, Taoufiq Benali, and et al. 2022. "Chemical Analysis and Investigation of Biological Effects of Salvia officinalis Essential Oils at Three Phenological Stages" Molecules 27, no. 16: 5157. https://doi.org/10.3390/molecules27165157
APA StyleAssaggaf, H. M., Naceiri Mrabti, H., Rajab, B. S., Attar, A. A., Alyamani, R. A., Hamed, M., El Omari, N., El Menyiy, N., Hazzoumi, Z., Benali, T., Al-Mijalli, S. H., Zengin, G., AlDhaheri, Y., Eid, A. H., & Bouyahya, A. (2022). Chemical Analysis and Investigation of Biological Effects of Salvia officinalis Essential Oils at Three Phenological Stages. Molecules, 27(16), 5157. https://doi.org/10.3390/molecules27165157

