Active Pharmaceutical Ingredient-Ionic Liquids (API-ILs): Nanostructure of the Glassy State Studied by Electron Paramagnetic Resonance Spectroscopy
Abstract
1. Introduction
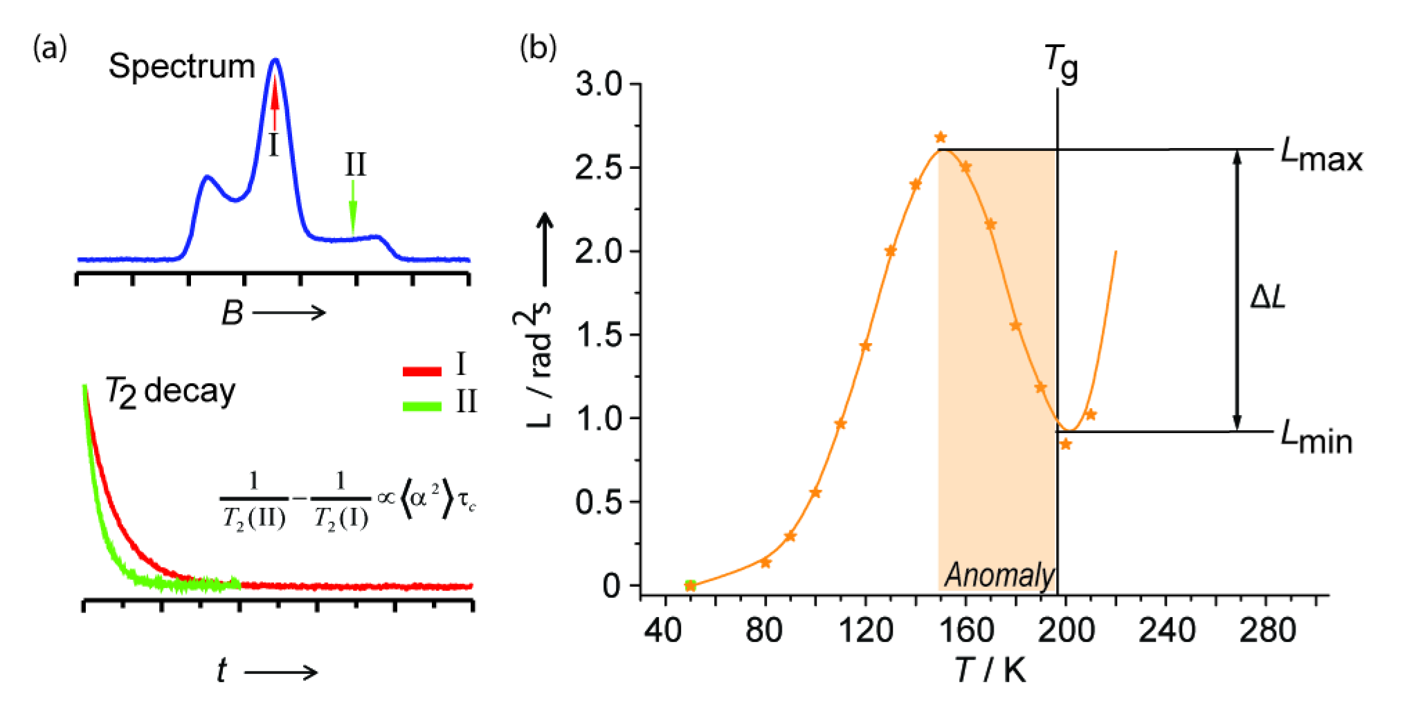
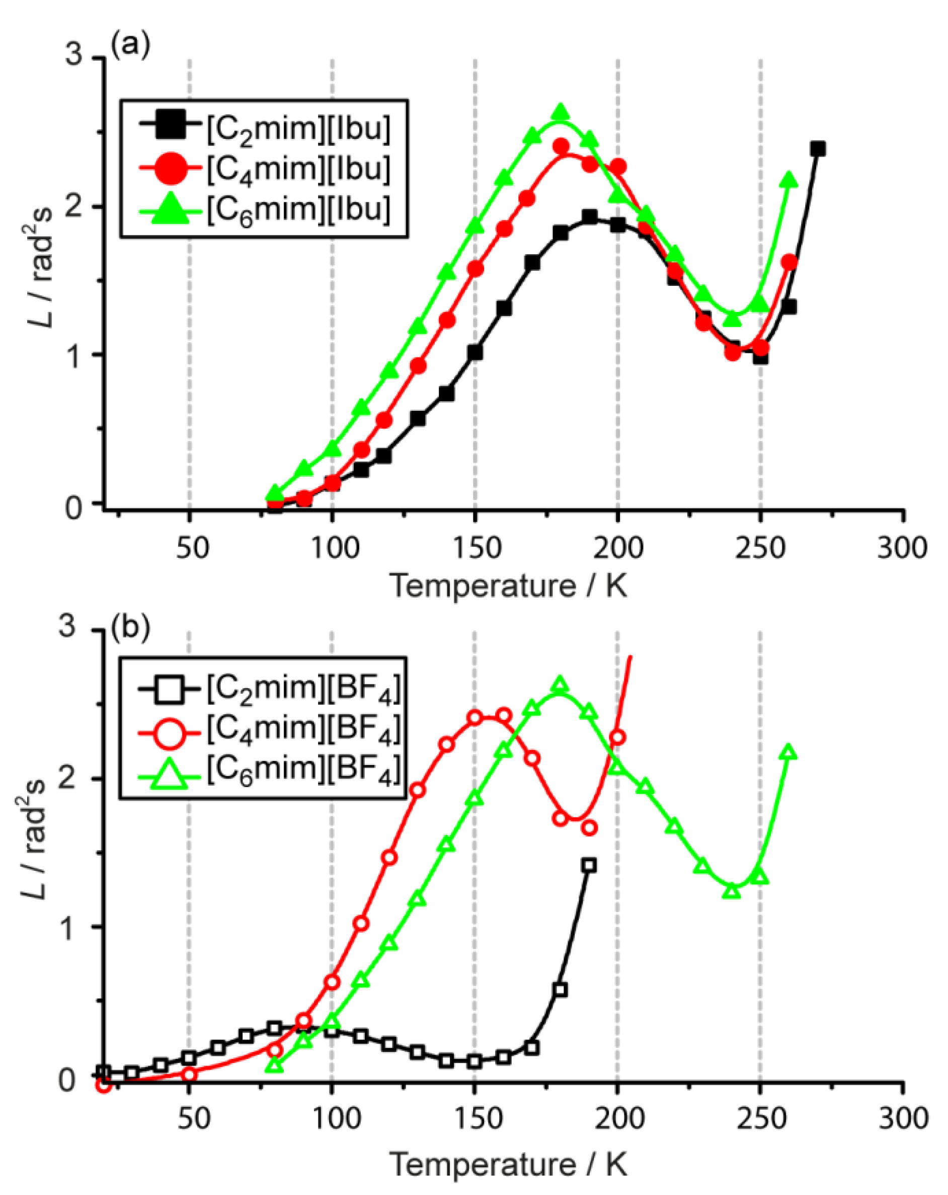
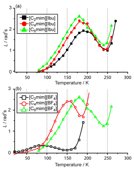
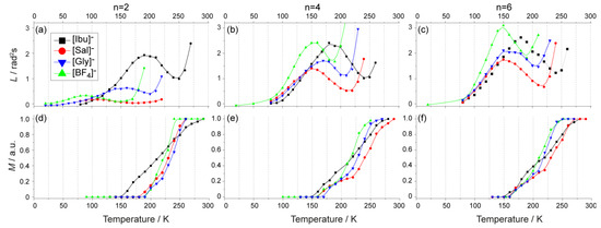
2. Results and Discussion
3. Materials and Methods
4. Conclusions
Supplementary Materials
Author Contributions
Funding
Institutional Review Board Statement
Informed Consent Statement
Data Availability Statement
Acknowledgments
Conflicts of Interest
Sample Availability
References
- Weingärtner, H. Understanding Ionic Liquids at the Molecular Level: Facts, Problems, and Controversies. Angew. Chem. Int. Ed. 2008, 47, 654–670. [Google Scholar] [CrossRef]
- Ediger, M.D. Spatially heterogeneous dynamics in supercooled liquids. Annu. Rev. Phys. Chem. 2000, 51, 99–128. [Google Scholar] [CrossRef]
- Bardak, F.; Rajian, J.R.; Son, P.; Quitevis, E.L. Heterogeneous dynamics in ionic liquids at the glass transition: Fluorescence recovery after photobleaching measurements of probe rotational motion from Tg-6K to Tg+4K. J. Non. Cryst. Solids 2014, 407, 324–332. [Google Scholar] [CrossRef]
- Khudozhitkov, A.E.; Stange, P.; Bonsa, A.M.; Overbeck, V.; Appelhagen, A.; Stepanov, A.G.; Kolokolov, D.I.; Paschek, D.; Ludwig, R. Dynamical heterogeneities in ionic liquids as revealed from deuteron NMR. Chem. Commun. 2018, 54, 3098–3101. [Google Scholar] [CrossRef]
- Wang, Y.; Voth, G.A. Unique spatial heterogeneity in ionic liquids. J. Am. Chem. Soc. 2005, 127, 12192–12193. [Google Scholar] [CrossRef] [PubMed]
- Grzybowska, K.; Grzybowski, A.; Wojnarowska, Z.; Knapik, J.; Paluch, M. Ionic liquids and their bases: Striking differences in the dynamic heterogeneity near the glass transition. Sci. Rep. 2015, 5, 16876. [Google Scholar] [CrossRef] [PubMed]
- Claus, J.; Sommer, F.O.; Kragl, U. Ionic liquids in biotechnology and beyond. Solid State Ion. 2018, 314, 119–128. [Google Scholar] [CrossRef]
- Egorova, K.S.; Gordeev, E.G.; Ananikov, V.P. Biological Activity of Ionic Liquids and Their Application in Pharmaceutics and Medicine. Chem. Rev. 2017, 117, 7132–7189. [Google Scholar] [CrossRef] [PubMed]
- Zhao, D.; Wu, M.; Kou, Y.; Min, E. Ionic liquids: Applications in catalysis. Catal. Today 2002, 74, 157–189. [Google Scholar] [CrossRef]
- Welton, T. Room-Temperature Ionic Liquids. Solvents for Synthesis and Catalysis. Chem. Rev. 1999, 99, 2071–2084. [Google Scholar] [CrossRef]
- Macfarlane, D.R.; Forsyth, M.; Howlett, P.C.; Pringle, J.M.; Sun, J.; Annat, G.; Neil, W.; Izgorodina, E.I. Ionic liquids in electrochemical devices and processes: Managing interfacial electrochemistry. Acc. Chem. Res. 2007, 40, 1165–1173. [Google Scholar] [CrossRef] [PubMed]
- Hapiot, P.; Lagrost, C. Electrochemical reactivity in room-temperature ionic liquids. Chem. Rev. 2008, 108, 2238–2264. [Google Scholar] [CrossRef] [PubMed]
- Wasserscheid, P.; Keim, W. Ionic Liquids—New “Solutions” for Transition Metal Catalysis. Angew. Chem. Int. Ed. 2000, 39, 3772–3789. [Google Scholar] [CrossRef]
- Kazemiabnavi, S.; Zhang, Z.; Thornton, K.; Banerjee, S. Electrochemical Stability Window of Imidazolium-Based Ionic Liquids as Electrolytes for Lithium Batteries. J. Phys. Chem. B 2016, 120, 5691–5702. [Google Scholar] [CrossRef] [PubMed]
- Hough, W.L.; Smiglak, M.; Rodríguez, H.; Swatloski, R.P.; Spear, S.K.; Daly, D.T.; Pernak, J.; Grisel, J.E.; Carliss, R.D.; Soutullo, M.D.; et al. The third evolution of ionic liquids: Active pharmaceutical ingredients. New J. Chem. 2007, 31, 1429–1436. [Google Scholar] [CrossRef]
- Hough, W.L.; Rogers, R.D. Ionic liquids then and now: From solvents to materials to active pharmaceutical ingredients. Bull. Chem. Soc. Jpn. 2007, 80, 2262–2269. [Google Scholar] [CrossRef]
- Ferraz, R.; Branco, L.C.; Prudêncio, C.; Noronha, J.P.; Petrovski, Ž. Ionic liquids as active pharmaceutical ingredients. ChemMedChem 2011, 6, 975–985. [Google Scholar] [CrossRef]
- Moshikur, R.; Goto, M. Application of Ionic Liquids in Drug Delivery; Springer: Singapore, 2021; ISBN 9789811643651. [Google Scholar]
- Jain, M.; Marfatia, A.; Imam, N.; Ray, D.; Aswal, V.K.; Patel, N.Y.; Raval, V.H.; Kailasa, S.K.; Malek, N.I. Ionic liquid-based catanionic vesicles: A de novo system to judiciously improve the solubility, stability and antimicrobial activity of curcumin. J. Mol. Liq. 2021, 341, 117396. [Google Scholar] [CrossRef]
- Fernandez-Stefanuto, V.; Tojo, E. New Active Pharmaceutical Ingredient-Ionic Liquids (API-ILs) Derived from Indomethacin and Mebendazole. Multidiscip. Digit. Publ. Inst. Proc. 2018, 9, 48. [Google Scholar] [CrossRef]
- Ford, L.; Tay, E.; Nguyen, T.H.; Williams, H.D.; Benameur, H.; Scammells, P.J.; Porter, C.J.H. API ionic liquids: Probing the effect of counterion structure on physical form and lipid solubility. RSC Adv. 2020, 10, 12788–12799. [Google Scholar] [CrossRef]
- Wojnarowska, Z.; Grzybowska, K.; Hawelek, L.; Swiety-Pospiech, A.; Masiewicz, E.; Paluch, M.; Sawicki, W.; Chmielewska, A.; Bujak, P.; Markowski, J. Molecular dynamics studies on the water mixtures of pharmaceutically important ionic liquid lidocaine HCl. Mol. Pharm. 2012, 9, 1250–1261. [Google Scholar] [CrossRef] [PubMed]
- Ivanov, M.Y.; Surovtsev, N.V.; Fedin, M.V. Ionic liquid glasses: Properties and applications. Russ. Chem. Rev. 2022, 91, RCR5031. [Google Scholar] [CrossRef]
- Wojnarowska, Z.; Roland, C.M.; Kolodziejczyk, K.; Swiety-Pospiech, A.; Grzybowska, K.; Paluch, M. Quantifying the structural dynamics of pharmaceuticals in the glassy state. J. Phys. Chem. Lett. 2012, 3, 1238–1241. [Google Scholar] [CrossRef]
- Frade, R.F.M.; Rosatella, A.A.; Marques, C.S.; Branco, L.C.; Kulkarni, P.S.; Mateus, N.M.M.; Afonso, C.A.M.; Duarte, C.M.M. Toxicological evaluation on human colon carcinoma cell line (CaCo-2) of ionic liquids based on imidazolium, guanidinium, ammonium, phosphonium, pyridinium and pyrrolidinium cations. Green Chem. 2009, 11, 1660–1665. [Google Scholar] [CrossRef]
- Viciosa, M.T.; Santos, G.; Costa, A.; Danède, F.; Branco, L.C.; Jordão, N.; Correia, N.T.; Dionísio, M. Dipolar motions and ionic conduction in an ibuprofen derived ionic liquid. Phys. Chem. Chem. Phys. 2015, 17, 24108–24120. [Google Scholar] [CrossRef]
- Diogo, H.P.; Moura Ramos, J.J. Slow molecular dynamics in three organic salts of active pharmaceutical ingredients. Soft Mater. 2014, 12, 125–137. [Google Scholar] [CrossRef]
- Ivanov, M.Y.; Krumkacheva, O.A.; Dzuba, S.A.; Fedin, M.V. Microscopic rigidity and heterogeneity of ionic liquids probed by stochastic molecular librations of the dissolved nitroxides. Phys. Chem. Chem. Phys. 2017, 19, 26158–26163. [Google Scholar] [CrossRef]
- Ivanov, M.Y.; Prikhod’ko, S.A.; Adonin, N.Y.; Kirilyuk, I.A.; Adichtchev, S.V.; Surovtsev, N.V.; Dzuba, S.A.; Fedin, M.V. Structural Anomalies in Ionic Liquids near the Glass Transition Revealed by Pulse EPR. J. Phys. Chem. Lett. 2018, 9, 4607–4612. [Google Scholar] [CrossRef]
- Ivanov, M.Y.; Fedin, M.V. Nanoscale heterogeneities in ionic liquids: Insights from EPR of spin probes. Mendeleev Commun. 2018, 28, 565–573. [Google Scholar] [CrossRef]
- Ivanov, M.Y.; Prikhod’ko, S.A.; Adonin, N.Y.; Fedin, M.V. Structural Anomalies in Binary Mixtures of Ionic Liquid [Bmim]BF 4 with Water Studied by EPR. J. Phys. Chem. B 2019, 123, 9956–9962. [Google Scholar] [CrossRef]
- Bakulina, O.D.; Ivanov, M.Y.; Prikhod’ko, S.A.; Pylaeva, S.; Zaytseva, I.V.; Surovtsev, N.V.; Adonin, N.Y.; Fedin, M.V. Nanocage formation and structural anomalies in imidazolium ionic liquid glasses governed by alkyl chains of cations. Nanoscale 2020, 12, 19982–19991. [Google Scholar] [CrossRef] [PubMed]
- Ivanov, M.Y.; Poryvaev, A.; Polyukhov, D.; Prikhod’ko, S.A.; Adonin, N.Y.; Fedin, M.V. Nanoconfinement Effects on Structural Anomalies in Imidazolium Ionic Liquids. Nanoscale 2020, 12, 23480–23487. [Google Scholar] [CrossRef] [PubMed]
- Ivanov, M.Y.; Prikhod’ko, S.A.; Bakulina, O.D.; Kiryutin, A.S.; Adonin, N.Y.; Fedin, M.V. Validation of structural grounds for anomalous molecular mobility in ionic liquid glasses. Molecules 2021, 26, 5828. [Google Scholar] [CrossRef]
- Syryamina, V.N.; Dzuba, S.A. Dynamical Transitions at Low Temperatures in the Nearest Hydration Shell of Phospholipid Bilayers. J. Phys. Chem. B 2017, 121, 1026–1032. [Google Scholar] [CrossRef]
- Erilov, D.A.; Bartucci, R.; Guzzi, R.; Marsh, D.; Dzuba, S.A.; Sportelli, L. Echo-Detected Electron Paramagnetic Resonance Spectra of Spin-Labeled Lipids in Membrane Model Systems. J. Phys. Chem. B 2004, 108, 4501–4507. [Google Scholar] [CrossRef][Green Version]
- Erilov, D.A.; Bartucci, R.; Guzzi, R.; Marsh, D.; Dzuba, S.A.; Sportelli, L. Librational motion of spin-labeled lipids in high-cholesterol containing membranes from echo-detected EPR spectra. Biophys. J. 2004, 87, 3873–3881. [Google Scholar] [CrossRef][Green Version]
- Dzuba, S.A. Libration motion of guest spin probe molecules in organic glasses: CW EPR and electron spin echo study. Spectrochim. Acta—Part A Mol. Biomol. Spectrosc. 2000, 56, 227–234. [Google Scholar] [CrossRef]
- Isaev, N.P.; Dzuba, S.A. Fast Stochastic Librations and Slow Rotations of Spin Labeled Stearic Acids in a Model Phospholipid Bilayer at Cryogenic Temperatures. J. Phys. Chem. B 2008, 112, 13285–13291. [Google Scholar] [CrossRef]
- Dzuba, S.A. Probing Small-Angle Molecular Motions with EPR Spectroscopy: Dynamical Transition and Molecular Packing in Disordered Solids. Magnetochemistry 2022, 8, 19. [Google Scholar] [CrossRef]
- Paschenko, S.V.; Toropov, Y.V.; Dzuba, S.A.; Tsvetkov, Y.D.; Vorobiev, A.K. Temperature dependence of amplitudes of libration motion of guest spin-probe molecules in organic glasses. J. Chem. Phys. 1999, 110, 8150–8154. [Google Scholar] [CrossRef]
- Ivanov, M.Y.; Bakulina, O.D.; Alimov, D.V.; Prikhod’ko, S.A.; Veber, S.L.; Pylaeva, S.; Adonin, N.Y.; Fedin, M.V. Inherent heterogeneities and nanostructural anomalies in organic glasses revealed by EPR. Nanoscale Adv. 2021, 3, 4973–4978. [Google Scholar] [CrossRef]
- Sillén, L.G.; Martell, A.E.; Bjerrum, J.; Schwarzenbach, G.K. Stability constants of metal-ion complexes. Lond. Chem. Soc. 1964, 754. [Google Scholar]
- Strehmel, V.; Laschewsky, A.; Stoesser, R.; Zehl, A.; Herrmann, W. Mobility of spin probes in ionic liquids. J. Phys. Org. Chem. 2006, 19, 318–325. [Google Scholar] [CrossRef]
- Stoesser, R.; Herrmann, W.; Zehl, A.; Strehmel, V.; Laschewsky, A. ESR spin probes in ionic liquids. ChemPhysChem 2006, 7, 1106–1111. [Google Scholar] [CrossRef]
- Strehmel, V.; Rexhausen, H.; Strauch, P.; Strehmel, B. Temperature Dependence of Interactions Between Stable Piperidine-1-yloxyl Derivatives and a Semicrystalline Ionic Liquid. ChemPhysChem 2010, 11, 2182–2190. [Google Scholar] [CrossRef]
- Strehmel, V. Radicals in Ionic Liquids. ChemPhysChem 2012, 13, 1649–1663. [Google Scholar] [CrossRef]
- Sato, T.; Masuda, G.; Takagi, K. Electrochemical properties of novel ionic liquids for electric double layer capacitor applications. Electrochim. Acta 2004, 49, 3603–3611. [Google Scholar] [CrossRef]
- Zhou, Z.B.; Matsumoto, H.; Tatsumi, K. Structure and properties of new ionic liquids based on alkyl- and alkenyltrifluoroborates. ChemPhysChem 2005, 6, 1324–1332. [Google Scholar] [CrossRef]
- Noda, A.; Hayamizu, K.; Watanabe, M. Pulsed-gradient spin-echo 1H and 19F NMR ionic diffusion coefficient, viscosity, and ionic conductivity of non-chloroaluminate room-temperature ionic liquids. J. Phys. Chem. B 2001, 105, 4603–4610. [Google Scholar] [CrossRef]
- Earle, M.J.; McCormac, P.B.; Seddon, K.R. Regioselective alkylation in ionic liquids. Chem. Commun. 1998, 2245–2246. [Google Scholar] [CrossRef]
- Nishida, T.; Tashiro, Y.; Yamamoto, M. Physical and electrochemical properties of 1-alkyl-3-methylimidazolium tetrafluoroborate for electrolyte. J. Fluor. Chem. 2003, 120, 135–141. [Google Scholar] [CrossRef]
- McEwen, A.B. Electrochemical Properties of Imidazolium Salt Electrolytes for Electrochemical Capacitor Applications. J. Electrochem. Soc. 1999, 146, 1687. [Google Scholar] [CrossRef]
- Holbrey, J.D.; Seddon, K.R. Tetrafluoroborates. Ion. Liq. Ion. Liq. Cryst. 1999, 2133–2139. [Google Scholar]
- Huddleston, J.G.; Visser, A.E.; Reichert, W.M.; Willauer, H.D.; Broker, G.A.; Rogers, R.D. Characterization and comparison of hydrophilic and hydrophobic room temperature ionic liquids incorporating the imidazolium cation. Green Chem. 2001, 3, 156–164. [Google Scholar] [CrossRef]
- Xu, W.; Wang, L.-M.; Nieman, R.A.; Angell, C.A. Ionic Liquids of Chelated Orthoborates as Model Ionic Glassformers. J. Phys. Chem. B 2003, 107, 11749–11756. [Google Scholar] [CrossRef]
- Strehmel, V.; Laschewsky, A.; Krudelt, H.; Wetzel, H.; Görnitz, E. Free Radical Polymerization of Methacrylates in Ionic Liquids. Polym. Prepr. 2004, 45, 323–324. [Google Scholar] [CrossRef]
- Crosthwaite, J.M.; Muldoon, M.J.; Dixon, J.K.; Anderson, J.L.; Brennecke, J.F. Phase transition and decomposition temperatures, heat capacities and viscosities of pyridinium ionic liquids. J. Chem. Thermodyn. 2005, 37, 559–568. [Google Scholar] [CrossRef]
- Nelyubina, Y.V.; Shaplov, A.S.; Lozinskaya, E.I.; Buzin, M.I.; Vygodskii, Y.S. A New Volume-Based Approach for Predicting Thermophysical Behavior of Ionic Liquids and Ionic Liquid Crystals. J. Am. Chem. Soc. 2016, 138, 10076–10079. [Google Scholar] [CrossRef]
- Neese, F. The ORCA program system. Wiley Interdiscip. Rev. Comput. Mol. Sci. 2012, 2, 73–78. [Google Scholar] [CrossRef]
- Lu, T.; Chen, F. Multiwfn: A multifunctional wavefunction analyzer. J. Comput. Chem. 2012, 33, 580–592. [Google Scholar] [CrossRef]
- Stoll, S.; Schweiger, A. EasySpin: Simulating CW ESR Spectra. Biol. Magn. Reson. 2007, 27, 299–321. [Google Scholar]
- Dupont, J.; Consorti, C.S.; Suarez, P.A.Z.; de Souza, R.F. Preparation of 1-Butyl-3-Methyl Imidazolium-Based Room Temperature Ionic Liquids. Org. Synth. 2003, 79, 236. [Google Scholar] [CrossRef]
- Fukumoto, K.; Yoshizawa, M.; Ohno, H. Room Temperature Ionic Liquids from 20 Natural Amino Acids. J. Am. Chem. Soc. 2005, 127, 2398–2399. [Google Scholar] [CrossRef]
- Stoll, S.; Schweiger, A. EasySpin, a comprehensive software package for spectral simulation and analysis in EPR. J. Magn. Reson. 2006, 178, 42–55. [Google Scholar] [CrossRef]






| Ionic Liquid | Tg[a]/K | Tg[b]/K |
|---|---|---|
| [C2mim][Ibu] | 234.15 | |
| [C4mim][Ibu] | 228.35 | |
| [C6mim][Ibu] | 228.45 | |
| [C2mim][Sal] | 209.25 | |
| [C4mim][Sal] | 202.85 | |
| [C6mim][Sal] | 219.55 | |
| [C2mim][Gly] | 205.35 | |
| [C4mim][Gly] | 201.15 | |
| [C6mim][Gly] | 196.35 | |
| [C2mim][BF4] | 167.9 * | 186.15 [48] 180.15 [49] 184 [50] 183.75 [51] 181.15 [52] 178 [53] |
| [C4mim][BF4] | 187.7 * | 188.15 [52] 202 [54] 176.15 [55] 188.85 [56] 185.85 [57] |
| [C6mim][BF4] | 188 * | 190.75 [54] 187.55 [57] 194 [58] |
Publisher’s Note: MDPI stays neutral with regard to jurisdictional claims in published maps and institutional affiliations. |
© 2022 by the authors. Licensee MDPI, Basel, Switzerland. This article is an open access article distributed under the terms and conditions of the Creative Commons Attribution (CC BY) license (https://creativecommons.org/licenses/by/4.0/).
Share and Cite
Bakulina, O.D.; Ivanov, M.Y.; Alimov, D.V.; Prikhod’ko, S.A.; Adonin, N.Y.; Fedin, M.V. Active Pharmaceutical Ingredient-Ionic Liquids (API-ILs): Nanostructure of the Glassy State Studied by Electron Paramagnetic Resonance Spectroscopy. Molecules 2022, 27, 5117. https://doi.org/10.3390/molecules27165117
Bakulina OD, Ivanov MY, Alimov DV, Prikhod’ko SA, Adonin NY, Fedin MV. Active Pharmaceutical Ingredient-Ionic Liquids (API-ILs): Nanostructure of the Glassy State Studied by Electron Paramagnetic Resonance Spectroscopy. Molecules. 2022; 27(16):5117. https://doi.org/10.3390/molecules27165117
Chicago/Turabian StyleBakulina, Olga D., Mikhail Yu. Ivanov, Dmitriy V. Alimov, Sergey A. Prikhod’ko, Nicolay Yu. Adonin, and Matvey V. Fedin. 2022. "Active Pharmaceutical Ingredient-Ionic Liquids (API-ILs): Nanostructure of the Glassy State Studied by Electron Paramagnetic Resonance Spectroscopy" Molecules 27, no. 16: 5117. https://doi.org/10.3390/molecules27165117
APA StyleBakulina, O. D., Ivanov, M. Y., Alimov, D. V., Prikhod’ko, S. A., Adonin, N. Y., & Fedin, M. V. (2022). Active Pharmaceutical Ingredient-Ionic Liquids (API-ILs): Nanostructure of the Glassy State Studied by Electron Paramagnetic Resonance Spectroscopy. Molecules, 27(16), 5117. https://doi.org/10.3390/molecules27165117

