Preparation and Characterization of Methyl Jasmonate Microcapsules and Their Preserving Effects on Postharvest Potato Tuber
Abstract
1. Introduction
2. Results and Discussion
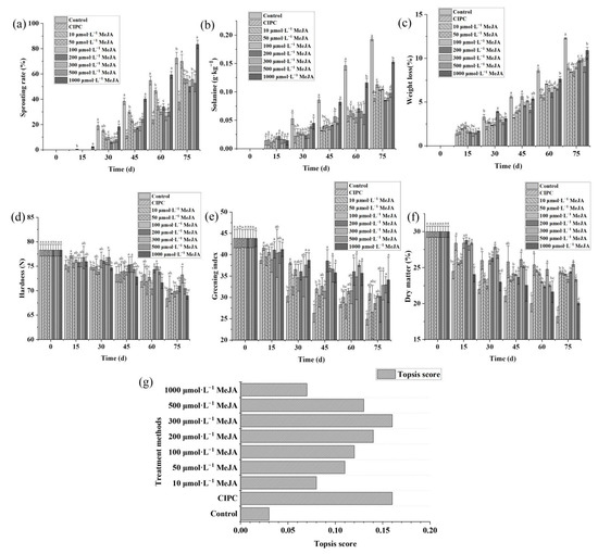
2.1. Effect of MeJA Solution on the Quality Attributes of Stored Potato
2.2. Formulations for the Preparation of MeJA Microcapsules
2.3. Characterization of MeJA Microcapsules
2.4. Release Capacity of MeJA Microcapsules
2.5. The Efficacy of MeJA Microcapsule on Quality Preservation of Stored Potatoes
3. Materials and Methods
3.1. Materials
3.2. Preparation of MeJA Microcapsules by the Two-Stage Piercing Method
3.2.1. Procedures for MeJA Microcapsules Preparation
3.2.2. Encapsulation Efficiency of Microcapsules
3.2.3. Single-Factor Optimization Experiment
3.2.4. Orthogonal Optimization Experiment
3.3. Characterization of MeJA Microcapsules
3.3.1. Microscopic Observations
3.3.2. FTIR
3.3.3. GC-MS Analysis of MeJA Release
3.3.4. Release Capacity of MeJA Microcapsules
3.4. Application of MeJA Solution and Microcapsules
3.5. Quality Parameters
3.5.1. Sprouting Rate
3.5.2. Solanine
3.5.3. Greening
3.5.4. Chlorophyll
3.5.5. Hardness
3.5.6. Weight Loss
3.5.7. Dry Matter Content
3.5.8. Reducing Sugar
3.5.9. Starch
3.5.10. Soluble Protein
3.5.11. Vitamin C
3.6. TOPSIS Analysis
4. Conclusions
Author Contributions
Funding
Institutional Review Board Statement
Informed Consent Statement
Data Availability Statement
Conflicts of Interest
Sample Availability
References
- Sarkar, P.; Kumar, S. Effect of Gamma Irradiation on Sprout Inhibition and Physical Properties of Kufri Jyoti Variety of Potato. Int. J. Curr. Microbiol. Appl. Sci. 2020, 9, 1066–1079. [Google Scholar] [CrossRef]
- Aml, A.E.-A.; Moghazy, A.M.; Gouda, A.E.A.; Elshatoury, R.S.A. Inhibition of Sprout Growth and Increase Storability of Processing Potato by Antisprouting Agent. Trends Hortic. Res. 2014, 4, 31–40. [Google Scholar] [CrossRef][Green Version]
- Sonnewald, S.; Sonnewald, U. Regulation of potato tuber sprouting. Planta 2014, 239, 27–38. [Google Scholar] [CrossRef] [PubMed]
- Zhang, L.; Li, M.; Zhang, G.; Wu, L.; Wu, Z. Inhibiting Sprouting and Decreasing α-Solanine Amount of Stored Potato Using Hydrophobic Nano Silica. ACS Sustain. Chem. Eng. 2018, 6, 10517–10525. [Google Scholar] [CrossRef]
- Etemadinasab, H.; Zahedi, M.; Ramin, A.A.; Kadivar, M.; Shirmardi, S.P. Effects of electron beam irradiation on physicochemical, nutritional properties and storage life of five potato cultivars. Radiat. Phys. Chem. 2020, 177, 109093. [Google Scholar] [CrossRef]
- Jia, B.; Xu, L.; Guan, W.; Lin, Q.; Brennan, C.; Yan, R.; Zhao, H. Effect of citronella essential oil fumigation on sprout suppression and quality of potato tubers during storage. Food Chem. 2019, 284, 254–258. [Google Scholar] [CrossRef]
- Paul, V.; Ezekiel, R.; Pandey, R. Use of CIPC as a potato sprout suppressant: Health and environmental concerns and future options. Qual. Assur. Saf. Crops Foods 2018, 10, 17–24. [Google Scholar] [CrossRef]
- Boivin, M.; Bourdeau, N.; Barnabé, S.; Desgagné-Penix, I. Sprout Suppressive Molecules Effective on Potato (Solanum tuberosum) Tubers during Storage: A Review. Am. J. Potato Res. 2020, 97, 451–463. [Google Scholar] [CrossRef]
- Jang, G.; Shim, J.S.; Jung, C.; Song, J.T.; Lee, H.Y.; Chung, P.J.; Kim, J.K.; Choi, Y.D. Volatile methyl jasmonate is a transmissible form of jasmonate and its biosynthesis is involved in systemic jasmonate response in wounding. Plant Biotechnol. Rep. 2014, 8, 409–419. [Google Scholar] [CrossRef]
- Koda, Y.; Kikuta, Y.; Tazaki, H.; Tsujino, Y.; Sakamura, S.; Yoshihara, T. Potato tuber-inducing activities of jasmonic acid and related compounds. Phytochemistry 1991, 30, 1435–1438. [Google Scholar] [CrossRef]
- Takahashi, K.; Fujino, K.; Kikuta, Y.; Koda, Y. Expansion of potato cells in response to jasmonic acid. Plant Sci. 1994, 100, 3–8. [Google Scholar] [CrossRef]
- Wang, C.Y. Methyl jasmonate inhibits postharvest sprouting and improves storage quality of radishes. Postharvest Biol. Technol. 1998, 14, 179–183. [Google Scholar] [CrossRef]
- Kpczyska, E.; Pikna-Grochala, J.; Kpczyski, J. Hormonal regulation of tomato seed germination at a supraoptimal temperature. Acta Physiol. Plant. 2006, 28, 225–231. [Google Scholar] [CrossRef]
- Nguyen, T.N.; Tuan, P.A.; Ayele, B.T. Jasmonate regulates seed dormancy in wheat via modulating the balance between gibberellin and abscisic acid. J. Exp. Bot. 2022, 73, 2434–2453. [Google Scholar] [CrossRef]
- Yang, N.; Guo, X.; Wu, Y.; Hu, X.; Ma, Y.; Zhang, Y.; Wang, H.; Tang, Z. The inhibited seed germination by ABA and MeJA is associated with the disturbance of reserve utilizations in Astragalus membranaceus. J Plant Interact 2018, 13, 388–397. [Google Scholar] [CrossRef]
- Marjorie, R.D.; Tomas, L.; Liliana, C.; Adriano, N.N.; Jorge, R.; Laura, J.; Miren, A.; Alejandra, R.F. Methyl Jasmonate: An Alternative for Improving the Quality and Health Properties of Fresh Fruits. Molecules 2016, 21, 567. [Google Scholar] [CrossRef]
- Wang, S.; Shi, X.; Liu, F.; Laborda, P. Effects of exogenous methyl jasmonate on quality and preservation of postharvest fruits: A review. Food Chem. 2021, 353, 129482. [Google Scholar] [CrossRef]
- Misal, R.; Waghmare, A.; Aqueel, S. Recent advances in microencapsulation: A review. Int. J. Pharm. Technol. 2014, 5, 2520–2535. [Google Scholar]
- Suganya, V.; Anuradha, V. Microencapsulation and Nanoencapsulation: A Review. Int. J. Pharm. Clin. Res. 2017, 9, 233–239. [Google Scholar] [CrossRef]
- Mehta, N.; Kumar, P.; Verma, A.K.; Umaraw, P.; Lorenzo, J.M. Microencapsulation as a Noble Technique for the Application of Bioactive Compounds in the Food Industry: A Comprehensive Review. Appl. Sci. 2022, 12, 1424. [Google Scholar] [CrossRef]
- Kuang, S.S.; Oliveira, J.C.; Crean, A.M. Microencapsulation as a Tool for Incorporating Bioactive Ingredients into Food. Crit. Rev. Food Sci. Nutr. 2010, 50, 951–968. [Google Scholar] [CrossRef] [PubMed]
- Casanova, F.; Santos, L. Encapsulation of cosmetic active ingredients for topical application—A review. J. Microencapsul. 2016, 33, 1–17. [Google Scholar] [CrossRef] [PubMed]
- Yao, M.; Xie, J.; Du, H.; Mcclements, D.J.; Li, L. Progress in microencapsulation of probiotics: A review. Compr. Rev. Food Sci. Food Saf. 2020, 19, 857–874. [Google Scholar] [CrossRef]
- Murtaza, G. Alginate microparticles for biodelivery: A review. Afr. J. Pharm. Pharmacol. 2011, 5, 2726–2737. [Google Scholar] [CrossRef]
- Arora, S.; Budhiraja, R.D. Chitosan-alginate microcapsules of amoxicillin for gastric stability and mucoadhesion. J. Adv. Pharm. Technol. Res. 2012, 3, 68–74. [Google Scholar] [CrossRef]
- Deka, C.; Deka, D.; Bora, M.M.; Jha, D.K.; Kakati, D.K. Synthesis of peppermint oil-loaded chitosan/alginate polyelectrolyte complexes and study of their antibacterial activity. J. Drug Deliv. Sci. Technol. 2016, 35, 314–322. [Google Scholar] [CrossRef]
- Mani, F.; Bettaieb, T.; Doudech, N.; Hannachi, C. Physiological mechanisms for potato dormancy release and sprouting: A review. Afr. Crop Sci. J. 2014, 22, 155–174. [Google Scholar] [CrossRef]
- Wang, L.; Zou, Y.; Han, Y.K.; Wang, G.; Li, D. Recent developments and emerging trends of mass spectrometric methods in plant hormone analysis: A review. Plant Methods 2020, 16, 54–71. [Google Scholar] [CrossRef]
- Bazabakana, R.; Fauconnier, M.L.; Diallo, B.; Dupont, J.P.; Homes, J.; Jaziri, M. Control of Dioscorea alata microtubers dormancy and germination by jasmonic acid. Plant Growth Regul. 1999, 27, 113–117. [Google Scholar] [CrossRef]
- Teper-Bamnolker, P.; Dudai, N.; Fischer, R.; Belausov, E.; Zemach, H.; Shoseyov, O.; Eshel, D. Mint essential oil can induce or inhibit potato sprouting by differential alteration of apical meristem. Planta 2010, 232, 179–186. [Google Scholar] [CrossRef]
- Rowe, E.L. Effect of emulsifier concentration and type on the particle size distribution of emulsions. J. Pharm. Sci. 2010, 54, 260–264. [Google Scholar] [CrossRef] [PubMed]
- Mahalakshmi, L.; Leena, M.M.; Moses, J.A.; Anandharamakrishnan, C. Micro and nano encapsulation of β-Carotene in zein protein: Size dependent release and absorption behavior. Food Funct. 2020, 11, 1647–1660. [Google Scholar] [CrossRef] [PubMed]
- Wang, X.; Ding, Z.; Zhao, Y.; Prakash, S.; Wang, Z. Effects of lutein particle size in embedding emulsions on encapsulation efficiency, storage stability, and dissolution rate of microencapsules through spray drying. LWT Food Sci. Technol. 2021, 146, 111430. [Google Scholar] [CrossRef]
- Chandrasekar, V.; Coupland, J.N.; Anantheswaran, R.C. Characterization of nisin containing chitosan-alginate microparticles. Food Hydrocoll. 2017, 69, 301–307. [Google Scholar] [CrossRef]
- Danarto, Y.; Rochmadi; Budhijanto. Microencapsulation of riboflavin (vitamin B2) using alginate and chitosan: Effect of alginate and chitosan concentration upon encapsulation efficiency. IOP Conf. Ser. Mater. Sci. Eng. 2020, 858, 012030. [Google Scholar] [CrossRef]
- Zhang, T.; Luo, Y.; Wang, M.; Chen, F.; Zhao, H. Double-Layered Microcapsules Significantly Improve the Long-Term Effectiveness of Essential Oil. Polymers 2020, 12, 1651. [Google Scholar] [CrossRef] [PubMed]
- Pasparakis, G.; Bouropoulos, N. Swelling studies and in vitro release of verapamil from calcium alginate and calcium alginate-chitosan beads. Int. J. Pharm. 2006, 323, 34–42. [Google Scholar] [CrossRef]
- Zhang, Y.; Wei, W.; Lv, P.; Wang, L.; Ma, G. Preparation and evaluation of alginate-chitosan microspheres for oral delivery of insulin. Eur. J. Pharm. Biopharm. 2011, 77, 11–19. [Google Scholar] [CrossRef]
- Shamekhi, F.; Tamjid, E.; Khajeh, K. Development of chitosan coated calcium-alginate nanocapsules for oral delivery of liraglutide to diabetic patients. Int. J. Biol. Macromol. 2018, 120, 460–467. [Google Scholar] [CrossRef]
- Ni, L.; Jie, X.; Wang, P.; Li, S.; Hu, S. Characterization of unsaturated fatty acid sustained-release microspheres for long-term algal inhibition. Chemosphere 2015, 120, 383–390. [Google Scholar] [CrossRef]
- Hui, P.C.L.; Wang, W.Y.; Kan, C.W.; Ng, F.S.F.; Wat, E.; Zhang, V.X.; Chan, C.L.; Lau, C.B.S.; Leung, P.C. Microencapsulation of Traditional Chinese Herbs—PentaHerbs extracts and potential application in healthcare textiles. Colloids Surf. B: Biointerfaces 2013, 111, 156–161. [Google Scholar] [CrossRef] [PubMed]
- Mohammadi, N.; Ehsani, M.R.; Bakhoda, H. Development of caffeine-encapsulated alginate-based matrix combined with different natural biopolymers, and evaluation of release in simulated mouth conditions. Flavour Fragr. J. 2018, 33, 357–366. [Google Scholar] [CrossRef]
- Ribeiro, A.J.; Silva, C.; Ferreira, D.; Veiga, F. Chitosan-reinforced alginate microspheres obtained through the emulsification/internal gelation technique. Eur. J. Pharm. Sci. 2005, 25, 31–40. [Google Scholar] [CrossRef] [PubMed]
- Baysal, K.; Aroguz, A.Z.; Adiguzel, Z.; Baysal, B.M. Chitosan/alginate crosslinked hydrogels: Preparation, characterization and application for cell growth purposes. Int. J. Biol. Macromol. 2013, 59, 342–348. [Google Scholar] [CrossRef]
- Liliana, C.; António, A.; Lídia, G. Effect of Experimental Parameters on Alginate/Chitosan Microparticles for BCG Encapsulation. Mar. Drugs 2016, 14, 90. [Google Scholar] [CrossRef]
- Liu, L.S.; Kost, J.; Yan, F.; Spiro, R.C. Hydrogels from Biopolymer Hybrid for Biomedical, Food, and Functional Food Applications. Polymers 2012, 4, 997–1011. [Google Scholar] [CrossRef]
- Ni, L.; Acharya, K.; Ren, G.; Li, S.; Li, Y.; Li, Y. Preparation and characterization of anti-algal sustained-release granules and their inhibitory effects on algae. Chemosphere 2013, 91, 608–615. [Google Scholar] [CrossRef]
- Ezzat, A.; Ammar, A.; Zoltán, S.; Nyéki, J.; Holb, I.J. Postharvest Treatments with Methyl Jasmonate and Salicylic Acid for Maintaining Physico-Chemical Characteristics and Sensory Quality Properties of Apricot Fruit during Cold Storage and Shelf-Life. Pol. J. Food Nutr. Sci. 2017, 67, 159–166. [Google Scholar] [CrossRef]
- Tzortzakis, N.G.; Economakis, C.D. Maintaining postharvest quality of the tomato fruit by employing methyl jasmonate and ethanol vapor treatment. J. Food Qual. 2010, 30, 567–580. [Google Scholar] [CrossRef]
- Sayyari, M.; Salehi, F.; Valero, D. New Approaches to Modeling Methyl Jasmonate Effects on Pomegranate Quality during Postharvest Storage. Int. J. Fruit Sci. 2017, 17, 374–390. [Google Scholar] [CrossRef]
- Öztürk, B.; Altuntas, E.; Yildiz, K.; Ozkan, Y.; Saracoglu, O. Effect of methyl jasmonate treatments on the bioactive compounds and physicochemical quality of ‘Fuji’ apples. Cienc. E Investig. Agrar. 2013, 40, 201–211. [Google Scholar] [CrossRef]
- Ozturk, B.; Kucuker, E. The effects of Aminoethoxyvinylglycine and Methyl Jasmonate on bioactive compounds and fruit quality of ‘north wonder’ sweet cherry. Afr. J. Tradit. Complement. Altern. Med. 2015, 12, 114–119. [Google Scholar] [CrossRef][Green Version]
- Yu, L.; Liu, H.; Shao, X.; Yu, F.; Wei, Y.; Ni, Z.; Xu, F.; Wang, H. Effects of hot air and methyl jasmonate treatment on the metabolism of soluble sugars in peach fruit during cold storage. Postharvest Biol. Technol. 2016, 113, 8–16. [Google Scholar] [CrossRef]
- Peng, J.; Zheng, Y.; Tang, S.; Rui, H.; Wang, C.Y. A combination of hot air and methyl jasmonate vapor treatment alleviates chilling injury of peach fruit. Postharvest Biol. Technol. 2009, 52, 24–29. [Google Scholar] [CrossRef]
- Mohammadi, A.; Hashemi, M.; Husseini, S.M. Chitosan nanoparticles loaded with Cinnamomum zeylanicum essential oil enhance the shelf life of cucumber during cold storage. Postharvest Biol. Technol. 2015, 110, 203–213. [Google Scholar] [CrossRef]
- Taheri, A.; Behnamian, M.; Dezhsetan, S.; Karimirad, R. Shelf life extension of bell pepper by application of chitosan nanoparticles containing Heracleum persicum fruit essential oil. Postharvest Biol. Technol. 2020, 170, 111313. [Google Scholar] [CrossRef]
- Dong, T.; Meng, W.; Shi, J.; Jiang, C.Z.; Wang, Q. Ethanol fumigation combined with and without nitrogen gas delays potato greening and inhibits glycoalkaloids generation under light. Postharvest Biol. Technol. 2017, 134, 31–37. [Google Scholar] [CrossRef]
- Song, H.T.; Gao, Y.; Yang, Y.M.; Xiao, W.J.; Liu, S.H.; Xia, W.C.; Liu, Z.L.; Yi, L.; Jiang, Z.B. Synergistic effect of cellulase and xylanase during hydrolysis of natural lignocellulosic substrates. Bioresour Technol 2016, 219, 710–715. [Google Scholar] [CrossRef]
- Fernandes, B.; Dragone, G.; Abreu, A.P.; Geada, P.; Teixeira, J.; Vicente, A. Starch determination in Chlorella vulgaris—A comparison between acid and enzymatic methods. J. Appl. Phycol. 2012, 24, 1203–1208. [Google Scholar] [CrossRef]
- Mccleary, B.V.; Gibson, T.S.; Mugford, D.C.; Lukow, O.; De Palo, R. Measurement of Total Starch in Cereal Products by Amyloglucosidase-α-Amylase Method: Collaborative Study. J. AOAC Int. 1997, 80, 571–579. [Google Scholar] [CrossRef]
- Folin, O.; Peck, E.C. A revision of the copper phosphate method for the titration of sugar. J. Biol. Chem. 1919, 38, 287–291. [Google Scholar] [CrossRef]
- Bradford, M.M. A rapid and sensitive method for the quantitation of microgram quantities of proteins utilizing the principle of protein-dye-binding. Anal. Biochem 1976, 72, 248–254. [Google Scholar] [CrossRef]
- Ojukwu, U.P.; Nwobi, S.C. Determination of Ascorbic Acid Content of Some Local Fruits in Nigeria. Anal. Chem. Indian J. 2017, 17, 118. [Google Scholar]
- Hwang, C.L.; Lai, Y.J. Multiple Attribute Decision Making: Methods and Applications; Springer: Berlin/Heidelberg, Germany, 1994; Volume 404. [Google Scholar]
- Kouhanestani, Z.M.; Ghorbani, R.; Fazel, A. Evaluation of water quality using TOPSIS method in the Zaringol Stream (Golestan province, Iran). Int. J. Aquat. Biol. 2013, 1, 202–208. [Google Scholar] [CrossRef]
- Cheng, G.; Chang, P.; Shen, Y.; Wu, L.; Liang, Y. Comparing the Flavor Characteristics of 71 Tomato (Solanum lycopersicum) Accessions in Central Shaanxi. Front. Plant Sci. 2020, 11, 586834. [Google Scholar] [CrossRef]





| Number | Sodium Alginate (%) | CaCl2(%) | Chitosan (%) | Embedding Rate (%) |
|---|---|---|---|---|
| 1 | 1.5 | 2.5 | 0.1 | 67.3 |
| 2 | 1.5 | 3 | 0.3 | 64.5 |
| 3 | 1.5 | 3.5 | 0.5 | 70.3 |
| 4 | 2 | 2.5 | 0.3 | 75.6 |
| 5 | 2 | 3 | 0.5 | 79.3 |
| 6 | 2 | 3.5 | 0.1 | 81.3 |
| 7 | 2.5 | 2.5 | 0.5 | 72.1 |
| 8 | 2.5 | 3 | 0.3 | 83.9 |
| 9 | 2.5 | 3.5 | 0.1 | 80.2 |
| K1 | 202.1 | 215 | 228.8 | |
| K2 | 236.2 | 227.7 | 224 | |
| K3 | 236.2 | 231.8 | 221.7 | |
| k1 | 67.37 | 71.67 | 76.27 | |
| k2 | 78.73 | 75.90 | 74.67 | |
| k3 | 78.73 | 77.27 | 73.90 | |
| R | 11.36 | 5.60 | 2.37 |
Publisher’s Note: MDPI stays neutral with regard to jurisdictional claims in published maps and institutional affiliations. |
© 2022 by the authors. Licensee MDPI, Basel, Switzerland. This article is an open access article distributed under the terms and conditions of the Creative Commons Attribution (CC BY) license (https://creativecommons.org/licenses/by/4.0/).
Share and Cite
Han, X.; Shao, S.; Han, X.; Zhang, Y. Preparation and Characterization of Methyl Jasmonate Microcapsules and Their Preserving Effects on Postharvest Potato Tuber. Molecules 2022, 27, 4728. https://doi.org/10.3390/molecules27154728
Han X, Shao S, Han X, Zhang Y. Preparation and Characterization of Methyl Jasmonate Microcapsules and Their Preserving Effects on Postharvest Potato Tuber. Molecules. 2022; 27(15):4728. https://doi.org/10.3390/molecules27154728
Chicago/Turabian StyleHan, Xiaozhen, Shuai Shao, Xiaocui Han, and Yurong Zhang. 2022. "Preparation and Characterization of Methyl Jasmonate Microcapsules and Their Preserving Effects on Postharvest Potato Tuber" Molecules 27, no. 15: 4728. https://doi.org/10.3390/molecules27154728
APA StyleHan, X., Shao, S., Han, X., & Zhang, Y. (2022). Preparation and Characterization of Methyl Jasmonate Microcapsules and Their Preserving Effects on Postharvest Potato Tuber. Molecules, 27(15), 4728. https://doi.org/10.3390/molecules27154728
