An Integrated Study on the Fading Mechanism of Malachite Green Industrial Dye for the Marquisette Curtain in the Studio of Cleansing Fragrance, the Palace Museum (Beijing)
Abstract
:1. Introduction
2. Materials and Methods
2.1. Analyzed Object Description
2.2. Chemicals and Reagents
2.3. Microscopic Observation
2.4. FTIR Spectroscopy
2.5. Color Measurements
2.6. Solvent Kinetic Accelerated Photoageing Conditions
2.7. Sample Production and Aging Procedure
2.8. Sample Preparation
2.9. Characterization of Colorant and Degradation Products
2.10. Multivariate Analysis
3. Results and Discussion
3.1. Weaving Structure and Fiber Examination
3.2. FTIR Analysis
3.3. LC-MS Identification
3.4. Colorimetric Analysis
3.5. Kinetics Investigation of the Photoageing Process
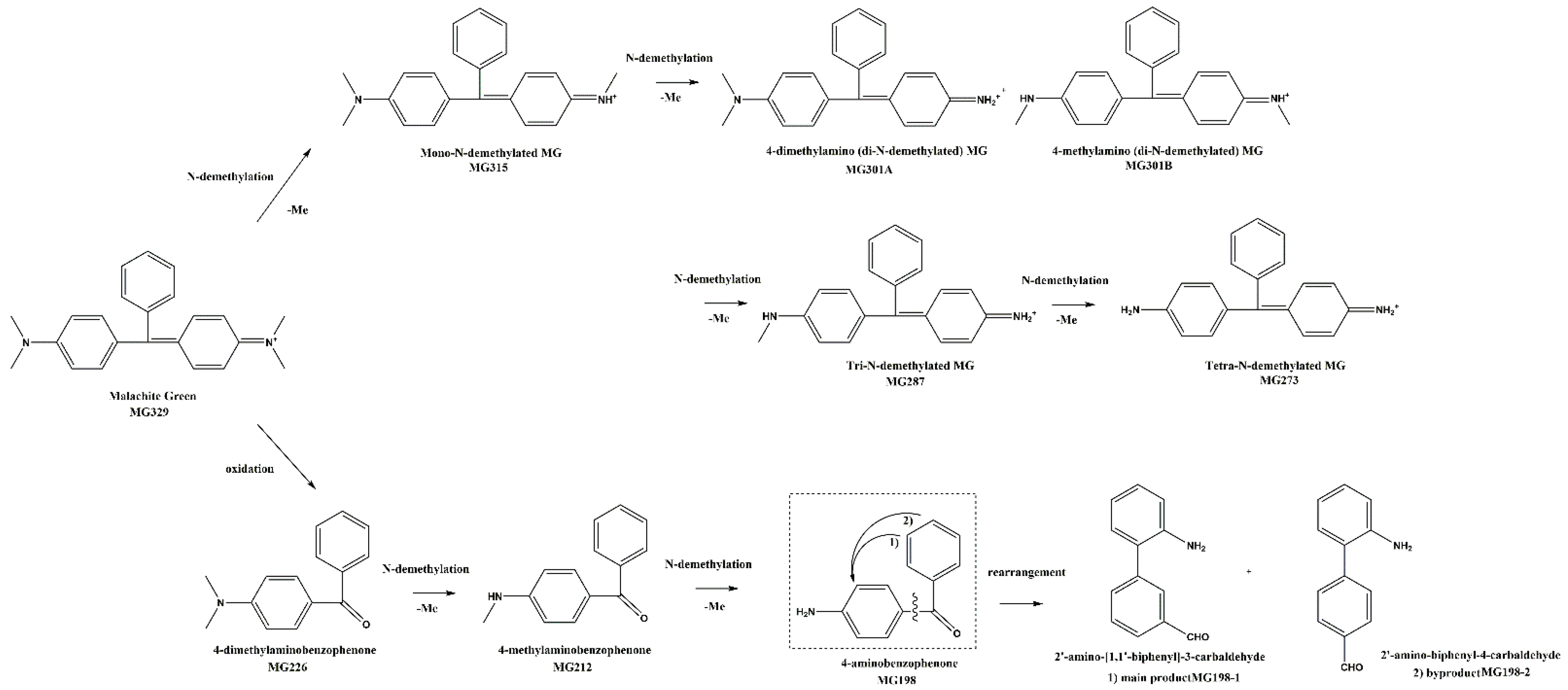
3.6. Discussion of the Fading Mechanism of MG Industrial Dye in Textile Objects
3.7. Metabolomics Analysis for Small Molecules
4. Conclusions
Supplementary Materials
Author Contributions
Funding
Institutional Review Board Statement
Informed Consent Statement
Data Availability Statement
Acknowledgments
Conflicts of Interest
References
- Schaeffer, T.T. Effects of Light on Materials in Collections: Data on Photoflash and Related Sources, 1st ed.; Getty Conservation Institute: Los Angeles, CA, USA, 2001. [Google Scholar]
- Liu, J.; Li, W.Y.; Kang, X.J.; Zhao, F.; He, M.Y.; She, Y.B.; Zhou, Y. Profling by HPLC-DAD-MSD reveals a 2500-year history of the use of natural dyes in Northwest China. Dye. Pigment. 2021, 187, 109143. [Google Scholar] [CrossRef]
- Travis, A.S. The Rainbow Makers: The Origins of the Synthetic Dyestuffs Industry in Western Europe; Lehigh University Press: Bethlehem, Palestinian, 1993. [Google Scholar]
- Bradford. Color Index; Society of Dyers and Colourists: Yorkshire, UK, 1971. [Google Scholar]
- Hagan, E.; Poulin, J. Statistics of the early synthetic dye industry. Herit. Sci. 2021, 9, 33. [Google Scholar] [CrossRef]
- Bowes, A.; Collins, S.; Elliott, S.; Harris, L.T.; Hazlett, L.; Methe, E.; Razak, M.; Subagiyo, P.Y. Important Early Synthetic Dyes: Chemistry, Constitution, Date, Properties; Ballard, M.W., Ed.; Conservation Analytical Laboratory, Smithsonian Institution: Suitland, MD, USA, 1991. [Google Scholar]
- Tamburini, D.; Breitung, E.; Mori, C.; Kotajima, T.; Clarke, M.L.; McCarthy, B. Exploring the transition from natural to synthetic dyes in the production of 19th-century Central Asian ikat textiles. Herit. Sci. 2020, 8, 114. [Google Scholar] [CrossRef]
- Liu, J.; Zhou, Y.; Zhao, F.; Peng, Z.Q.; Wang, S.J. Identification of early synthetic dyes in historical Chinese textiles of the late nineteenth century by high-performance liquid chromatography coupled with diode array detection and mass spectrometry. Color. Technol. 2016, 132, 177–185. [Google Scholar] [CrossRef]
- Clark, M. Handbook of Textile and Industrial Dyeing: Volume 2: Applications of Dyes; Woodhead Publishing: Sawston, Cambridgeshire, UK, 2011. [Google Scholar]
- Modirshahla, N.; Behnajady, M.A. Photooxidative degradation of Malachite Green (MG) by UV/H2O2: Influence of operational parameters and kinetic modeling. Dye. Pigment. 2006, 70, 54–59. [Google Scholar] [CrossRef]
- Shanmugam, S.; Ulaganathan, P.; Swaminathan, K.; Sadhasivam, S.; Wu, Y.R. Enhanced biodegradation and detoxification of malachite green by Trichoderma asperellum laccase: Degradation pathway and product analysis. Int. Biodeterior. Biodegrad. 2017, 125, 258–268. [Google Scholar] [CrossRef]
- Committee, A.M. Analysis of historical dyes in heritage objects. Anal. Methods 2021, 13, 558–562. [Google Scholar]
- Degano, I.; La Nasa, J. Trends in high performance liquid chromatography for cultural heritage. Top. Curr. Chem. 2016, 374, 20. [Google Scholar] [CrossRef] [PubMed]
- Molino, R.J.E.J.; Rellin, K.F.B.; Nellas, R.B.; Junio, H.A. Sustainable hues: Exploring the molecular palette of biowaste dyes through LC-MS metabolomics. Molecules 2021, 26, 6645. [Google Scholar] [CrossRef]
- Giorgi, M.R.d.; Cerniani, A.; Carpignano, R.; Savarino, P. Design of high fastness acid dyes for silk: A chemometric approach. Color. Technol. 1993, 109, 405–410. [Google Scholar] [CrossRef]
- Núñez, N.; Vidal-Casanella, O.; Sentellas, S.; Saurina, J.; Núñez, O. Characterization, classification and authentication of turmeric and curry samples by targeted LC-HRMS polyphenolic and curcuminoid profiling and chemometrics. Molecules 2020, 25, 2942. [Google Scholar] [CrossRef] [PubMed]
- Serrano, A.; Sousa, M.; Hallett, J.; Simmonds, M.S.J.; Nesbitt, M.; Lopes, J.A. Identification of Dactylopius cochineal species with high-performance liquid chromatography and multivariate data analysis. Analyst 2013, 138, 6081–6090. [Google Scholar] [CrossRef] [PubMed] [Green Version]
- Berbers, S.V.J.; Tamburini, D.; van Bommel, M.R.; Dyer, J. Historical formulations of lake pigments and dyes derived from lac: A study of compositional variability. Dye. Pigment. 2019, 170, 107579. [Google Scholar] [CrossRef]
- Saha, J.; Rahman, M.; Kabir, M.R.; Emtiaz, A.N.M.; Islam, M.R.; Jafor, A. Study on manufacturing process of leno weave by modification of hand loom. J. Sci. Technol. 2017, 7, 157–170. [Google Scholar]
- Yu, L. The history and conservation of the decorative paintings and calligraphy on the partition doors of the Yanxi Hall of the Forbidden City. Palace Mus. J. 2020, 12, 90–103. [Google Scholar]
- Peets, P.; Kaupmees, K.; Vahur, S.; Leito, I. Refectance FT-IR spectroscopy as a viable option for textile fiber identifcation. Herit. Sci. 2019, 7, 93. [Google Scholar] [CrossRef]
- Badillo-Sanchez, D.; Chelazzi, D.; Giorgi, R.; Cincinelli, A.; Baglioni, P. Understanding the structural degradation of South American historical silk: A Focal Plance Array (FPA) FTIR and multivariate analysis. Sci. Rep. 2019, 9, 17239. [Google Scholar] [CrossRef] [PubMed] [Green Version]
- Koohkesh, N.; Samanian, K.; Afsharpour, M. Eliminating color from Serish (Eremurus) Paste for paper conservation and restoration. J. Cult. Herit. 2020, 44, 53–62. [Google Scholar] [CrossRef]
- Kizil, R.; Irudayaraj, J.; Seetharaman, K. Characterization of Irradiated Starches by Using FT-Raman and FTIR Spectroscopy. J. Agric. Food Chem. 2002, 50, 3912–3918. [Google Scholar] [CrossRef]
- Albertson, G.; Krekeler, A.; van Loon, A.; Proaño Gaibor, A.; Noble, P. The blues of Jan de Bray’s Judith and Holofernes: A technical study of two blue pigments and its impact on treatment. J. Am. Inst. Conserv. 2019, 58, 217–232. [Google Scholar] [CrossRef]
- Chen, C.C.; Lu, C.S.; Chung, Y.C.; Jan, J.L. UV light induced photodegradation of malachite green on TiO2 nanoparticles. J. Hazard. Mater. 2007, 141, 520–528. [Google Scholar] [CrossRef] [PubMed]
- Marelli, E.; Casati, N.; Gozzo, F.; Macchi, P.; Simoncic, P.; Sironi, A. High pressure modification of organic NLO materials: Large conformational re-arrangement of 4-aminobenzophenone. CrystEngComm 2011, 13, 6845–6849. [Google Scholar] [CrossRef]
- Camacho, D.H.; Salo, E.V.; Guan, Z.B. Synthesis and structure of m-Terphenyl-based cyclophanes with nitrogen intra-annular functional groups. Org. Lett. 2004, 6, 865–868. [Google Scholar] [CrossRef] [PubMed]
- Grossman, R.B. The Art of Writing Reasonable Organic Reaction Mechanisms; Science Press: Beijing, China, 2012. [Google Scholar]
- Chen, B.; Hou, X.L.; Li, Y.X.; Wu, Y.D. Mechanistic understanding of the unexpected meta selectivity in copper-catalyzed anilide C-H bond arylation. J. Am. Chem. Soc. 2011, 133, 7668–7671. [Google Scholar] [CrossRef]
- Shinde, S.L.; Nanda, K.K. Photon-free degradation of dyes by Ge/GeO2 porous microstructures. ACS Sustain. Chem. Eng. 2019, 7, 6611–6618. [Google Scholar] [CrossRef]
- Wu, Z.Y.; Qin, M.F.; Liu, Y.; Fang, H.L. Prediction of major impurities during MeOH synthesis over a Cu/ZnO/Al2O3 catalyst. Ind. Eng. Chem. Res. 2017, 56, 14430–14436. [Google Scholar] [CrossRef]
- Ju, Y.; Yang, S.; Ding, Y.; Sun, C.; Zhang, A.; Wang, L. Microwave-assisted rapid photocatalytic degradation of malachite green in TiO2 suspensions: Mechanism and pathways. J. Phys. Chem. A 2008, 112, 11172–11177. [Google Scholar] [CrossRef] [PubMed]
- Zhou, L.; Terry, A.E.; Huang, Y.F.; Shao, Z.Z.; Chen, X. Metal element contents in silk gland and silk fiber of Bombyx mori silkworm. Acta Chim. Sin. 2005, 63, 1379–1382. [Google Scholar]
- Tsvetkov, M.P.; Milanova, M.M.; Cherkezova-Zheleva, Z.P.; Tsoncheva, T.S.; Zaharieva, J.T.; Abrashev, M.V.; Mitov, I.G. Catalytic and photocatalytic properties of zinc-nickel ferrites. J. Chem. Sci. 2021, 133, 24. [Google Scholar] [CrossRef]
- Timar-Balazsy, A.; Eastop, D. Chemical Principles of Textile Conservation, 1st ed.; Routledge: New York, NY, USA, 2011; p. 227. [Google Scholar]
- Robertson, J.W.F.; Rodrigues, C.G.; Stanford, V.M.; Rubinson, K.A.; Krasilnikov, O.V.; Kasianowicz, J.J. Single-molecule mass spectrometry in solution using a solitary nanopore. Proc. Natl. Acad. Sci. USA 2007, 104, 8207–8211. [Google Scholar] [CrossRef] [PubMed] [Green Version]
- Lin, W.H.; Yin, L.; Sun, T.T.; Wang, T.T.; Xie, Z.G.; Gu, J.K.; Jing, X.B. The effect of molecular structure on cytotoxicity and antitumor activity of PEGylated nanomedicines. Biomacromolecules 2018, 19, 1625–1634. [Google Scholar] [CrossRef] [PubMed]
- Putseys, J.A.; Lamberts, L.; Delcour, J.A. Amylose-inclusion complexes: Formation, identity and physico-chemical properties. J. Cereal Sci. 2010, 51, 238–247. [Google Scholar] [CrossRef]
- Owen, J.S.; Thomas, M.J.; Wykle, R.L. Platelet-activating factor. In Methods in Enzymology; Colowick, S.P., Kaplan, N.O., Eds.; Elsevier: Amsterdam, The Netherlands, 2007; Volume 434. [Google Scholar]










Publisher’s Note: MDPI stays neutral with regard to jurisdictional claims in published maps and institutional affiliations. |
© 2022 by the authors. Licensee MDPI, Basel, Switzerland. This article is an open access article distributed under the terms and conditions of the Creative Commons Attribution (CC BY) license (https://creativecommons.org/licenses/by/4.0/).
Share and Cite
Wei, L.; Gu, A.; Guo, Z.; Ding, J.; Jin, G.; Lei, Y. An Integrated Study on the Fading Mechanism of Malachite Green Industrial Dye for the Marquisette Curtain in the Studio of Cleansing Fragrance, the Palace Museum (Beijing). Molecules 2022, 27, 4411. https://doi.org/10.3390/molecules27144411
Wei L, Gu A, Guo Z, Ding J, Jin G, Lei Y. An Integrated Study on the Fading Mechanism of Malachite Green Industrial Dye for the Marquisette Curtain in the Studio of Cleansing Fragrance, the Palace Museum (Beijing). Molecules. 2022; 27(14):4411. https://doi.org/10.3390/molecules27144411
Chicago/Turabian StyleWei, Le, An Gu, Zhimou Guo, Junjie Ding, Gaowa Jin, and Yong Lei. 2022. "An Integrated Study on the Fading Mechanism of Malachite Green Industrial Dye for the Marquisette Curtain in the Studio of Cleansing Fragrance, the Palace Museum (Beijing)" Molecules 27, no. 14: 4411. https://doi.org/10.3390/molecules27144411
APA StyleWei, L., Gu, A., Guo, Z., Ding, J., Jin, G., & Lei, Y. (2022). An Integrated Study on the Fading Mechanism of Malachite Green Industrial Dye for the Marquisette Curtain in the Studio of Cleansing Fragrance, the Palace Museum (Beijing). Molecules, 27(14), 4411. https://doi.org/10.3390/molecules27144411

