Uptake of Pharmaceutical Pollutants and Their Metabolites from Soil Fertilized with Manure to Parsley Tissues
Abstract
:1. Introduction
2. Materials and Methods
2.1. Chemicals
2.2. Preparation of Standard Solutions
2.3. Sample Collection
2.4. Selection of Conditions for FCs’ Extraction from Plant Tissues
2.4.1. Extraction of FCs from Parsley Leaves
- (a)
- Examination of Solid-Liquid Extraction (SLE) Procedure
- (b)
- Examination of Solid-Liquid Extraction Combined with Liquid-Liquid Extraction (SLE-LLE) Procedure
- (c)
- Examination of Solid-Liquid Extraction Combined with Solid-Phase Extraction (SLE-SPE) Procedure
2.4.2. Extraction of FCs from Parsley Root
2.5. Sample Preparation
2.5.1. Parsley Leaf–Developed Procedure I (Extraction of TC, OTC, DOX, CIP, ENF, LVF, CLD, VAN)
2.5.2. Parsley Leaf–Developed Procedure II (Extraction of MET, SMX, SFD, TRI, TYL, CLR)
2.5.3. Parsley Root–Developed Procedure (Extraction of 14 FCs)
2.6. Instrumental and Analytical Conditions
2.7. Method Validation
2.8. Identification of Transformation Products of Selected FCs in Plant Tissues
3. Results and Discussion
3.1. Development of the Extraction Procedure for the Isolation of FCs from Plant Tissues
3.1.1. Parsley Leaves–Development of SLE Procedure
3.1.2. Parsley Leaves–Combining SLE-LLE Procedures
3.1.3. Parsley Leaves–Combining SLE-SPE Procedures
3.1.4. Parsley Root–Development of SLE-SPE Procedure
3.2. Method Validation
3.3. Investigation of FCs Accumulation in Plant Tissues
3.4. Identification of Transformation Products of Selected FCs in Plant Tissues
4. Conclusions
Supplementary Materials
Author Contributions
Funding
Institutional Review Board Statement
Informed Consent Statement
Data Availability Statement
Conflicts of Interest
Sample Availability
References
- Perkasa, A.Y.; Gunawan, E.; Dewi, S.A.; Zulfa, U. The Testing of Chicken Manure Fertilizer Doses to Plant Physiology Components and Bioactive Compound of Dewa Leaf. Procedia Environ. Sci. 2016, 33, 54–62. [Google Scholar] [CrossRef] [Green Version]
- Sarker, Y.A.; Rashid, S.Z.; Sachi, S.; Ferdous, J.; das Chowdhury, B.L.; Tarannum, S.S.; Sikder, M.H. Exposure Pathways and Ecological Risk Assessment of Common Veterinary Antibiotics in the Environment through Poultry Litter in Bangladesh. J. Environ. Sci. Health Part B Pestic. Food Contam. Agric. Wastes 2020, 55, 1061–1068. [Google Scholar] [CrossRef] [PubMed]
- Kang, D.H.; Gupta, S.; Rosen, C.; Fritz, V.; Singh, A.; Chander, Y.; Murray, H.; Rohwer, C. Antibiotic Uptake by Vegetable Crops from Manure-Applied Soils. J. Agric. Food Chem. 2013, 61, 9992–10001. [Google Scholar] [CrossRef] [PubMed]
- Chen, Z.; Jiang, X. Microbiological Safety of Chicken Litter or Chicken Litter-Based Organic Fertilizers: A Review. Agriculture 2014, 4, 1–29. [Google Scholar] [CrossRef] [Green Version]
- Bochkareva, I.; Maymanova, E. Poultry Farms As a Source of Environmental Pollution. Interexpo GEO-Sib. 2019, 4, 106–111. [Google Scholar] [CrossRef]
- Pan, M.; Wong, C.K.C.; Chu, L.M. Distribution of Antibiotics in Wastewater-Irrigated Soils and Their Accumulation in Vegetable Crops in the Pearl River Delta, Southern China. J. Agric. Food Chem. 2014, 62, 11062–11069. [Google Scholar] [CrossRef]
- Brundrett, M.C.; Ferguson, B.J.; Gressshoff, P.M.; Mathesius, U.; Munns, R.; Rasmussen, A.; Ryan, M.H.; Schmidt, S.; Watt, M. Plants in Action. Available online: https://rseco.org/index.html (accessed on 5 July 2022).
- Kodešová, R.; Klement, A.; Golovko, O.; Fér, M.; Nikodem, A.; Kočárek, M.; Grabic, R. Root Uptake of Atenolol, Sulfamethoxazole and Carbamazepine, and Their Transformation in Three Soils and Four Plants. Environ. Sci. Pollut. Res. 2019, 26, 9876–9891. [Google Scholar] [CrossRef]
- Tian, R.; Zhang, R.; Uddin, M.; Qiao, X.; Chen, J.; Gu, G. Uptake and Metabolism of Clarithromycin and Sulfadiazine in Lettuce. Environ. Pollut. 2019, 247, 1134–1142. [Google Scholar] [CrossRef]
- Pan, M.; Chu, L.M. Fate of Antibiotics in Soil and Their Uptake by Edible Crops. Sci. Total Environ. 2017, 599–600, 500–512. [Google Scholar] [CrossRef]
- Chung, H.S.; Lee, Y.J.; Rahman, M.M.; Abd El-Aty, A.M.; Lee, H.S.; Kabir, M.H.; Kim, S.W.; Park, B.J.; Kim, J.E.; Hacımüftüoğlu, F.; et al. Uptake of the Veterinary Antibiotics Chlortetracycline, Enrofloxacin, and Sulphathiazole from Soil by Radish. Sci. Total Environ. 2017, 605–606, 322–331. [Google Scholar] [CrossRef]
- Chen, H.R.; Rairat, T.; Loh, S.H.; Wu, Y.C.; Vickroy, T.W.; Chou, C.C. Assessment of Veterinary Drugs in Plants Using Pharmacokinetic Approaches: The Absorption, Distribution and Elimination of Tetracycline and Sulfamethoxazole in Ephemeral Vegetables. PLoS ONE 2017, 12, e0183087. [Google Scholar] [CrossRef] [PubMed] [Green Version]
- Minden, V.; Schnetger, B.; Pufal, G.; Leonhardt, S.D. Antibiotic-Induced Effects on Scaling Relationships and on Plant Element Contents in Herbs and Grasses. Ecol. Evol. 2018, 8, 6699–6713. [Google Scholar] [CrossRef] [PubMed]
- Kim, C.; Ryu, H.D.; Chung, E.G.; Kim, Y.; Lee, J.K. A Review of Analytical Procedures for the Simultaneous Determination of Medically Important Veterinary Antibiotics in Environmental Water: Sample Preparation, Liquid Chromatography, and Mass Spectrometry. J. Environ. Manag. 2018, 217, 629–645. [Google Scholar] [CrossRef] [PubMed]
- World Health Organization. WHO Report on Surveillance of Antibiotic Consumption 2016–2018 Early Implementation; World Health Organization: Switzerland, Geneva, 2018; ISBN 9789241514880. [Google Scholar]
- Patyra, E.; Kwiatek, K.; Nebot, C.; Gavilán, R.E. Quantification of Veterinary Antibiotics in Pig and Poultry Feces and Liquid Manure as a Non-Invasive Method to Monitor Antibiotic Usage in Livestock by Liquid Chromatography Mass-Spectrometry. Molecules 2020, 25, 3265. [Google Scholar] [CrossRef] [PubMed]
- Osiński, Z.; Patyra, E.; Kwiatek, K. HPLC-FLD-Based Method for the Detection of Sulfonamides in Organic Fertilizers Collected from Poland. Molecules 2022, 27, 2031. [Google Scholar] [CrossRef]
- Łukaszewicz, P.; Kumirska, J.; Białk-Bielińska, A.; Dołżonek, J.; Stepnowski, P. Assessment of Soils Contamination with Veterinary Antibiotic Residues in Northern Poland Using Developed MAE-SPE-LC/MS/MS Methods. Environ. Sci. Pollut. Res. 2017, 24, 21233–21247. [Google Scholar] [CrossRef]
- Barnekow, U.; Feseno, S.; Kashparov, V.; Kis-Bendek, G.; Matissof, G.; Onda, Y.; Sanzharova, N.; Tarjan, S.; Tyler, A.; Varga, B. Guidelines on Soil and Vegetation Sampling for Radiological Monitoring; International Atomic Energy Agency: Vienna, Austria, 2019. [Google Scholar]
- Kokoszka, K.; Zieliński, W.; Korzeniewska, E.; Felis, E.; Harnisz, M.; Bajkacz, S. Suspect Screening of Antimicrobial Agents Transformation Products in Environmental Samples Development of LC-QTrap Method Running in Pseudo MRM Transitions. Sci. Total Environ. 2022, 808, 152114. [Google Scholar] [CrossRef]
- Kokoszka, K.; Wilk, J.; Felis, E.; Bajkacz, S. Application of UHPLC-MS/MS Method to Study Occurrence and Fate of Sulfonamide Antibiotics and Their Transformation Products in Surface Water in Highly Urbanized Areas. Chemosphere 2021, 283, 131189. [Google Scholar] [CrossRef]
- Pan, M.; Chu, L.M. Transfer of Antibiotics from Wastewater or Animal Manure to Soil and Edible Crops. Environ. Pollut. 2017, 231, 829–836. [Google Scholar] [CrossRef]
- Zhao, F.; Yang, L.; Chen, L.; Li, S.; Sun, L. Bioaccumulation of Antibiotics in Crops under Long-Term Manure Application: Occurrence, Biomass Response and Human Exposure. Chemosphere 2019, 219, 882–895. [Google Scholar] [CrossRef]
- ben Mordechay, E.; Mordehay, V.; Tarchitzky, J.; Chefetz, B. Pharmaceuticals in Edible Crops Irrigated with Reclaimed Wastewater: Evidence from a Large Survey in Israel. J. Hazard. Mater. 2021, 416, 126184. [Google Scholar] [CrossRef]
- Ho, Y.B.; Zakaria, M.P.; Latif, P.A.; Saari, N. Simultaneous Determination of Veterinary Antibiotics and Hormone in Broiler Manure, Soil and Manure Compost by Liquid Chromatography-Tandem Mass Spectrometry. J. Chromatogr. A 2012, 1262, 160–168. [Google Scholar] [CrossRef] [PubMed]
- Bian, K.; Liu, Y.H.; Wang, Z.N.; Zhou, T.; Song, X.Q.; Zhang, F.Y.; He, L.M. Determination of Multi-Class Antimicrobial Residues in Soil by Liquid Chromatography-Tandem Mass Spectrometry. RSC Adv. 2015, 5, 27584–27593. [Google Scholar] [CrossRef]
- Łukaszewicz, P.; Białk-Bielińska, A.; Dołżonek, J.; Kumirska, J.; Caban, M.; Stepnowski, P. A New Approach for the Extraction of Tetracyclines from Soil Matrices: Application of the Microwave-Extraction Technique. Anal. Bioanal. Chem. 2018, 410, 1697–1707. [Google Scholar] [CrossRef]
- Cui, Q.; Ni, x.; Zeng, L.; Tu, Z.; Li, J.; Sun, K.; Chen, X.; Li, X. Optimization of Protein Extraction and Decoloration Conditions for Tea Residues. Hortic. Plant J. 2017, 3, 172–176. [Google Scholar] [CrossRef]
- Sari, Y.W.; Mulder, W.J.; Sanders, J.P.M.; Bruins, M.E. Towards Plant Protein Refinery: Review on Protein Extraction Using Alkali and Potential Enzymatic Assistance. Biotechnol. J. 2015, 10, 1138–1157. [Google Scholar] [CrossRef] [PubMed]
- Bajkacz, S.; Rusin, K.; Wolny, A.; Adamek, J.; Erfurt, K.; Chrobok, A. Highly Efficient Extraction Procedures Based on Natural Deep Eutectic Solvents or Ionic Liquids for Determination of 20-Hydroxyecdysone in Spinach. Molecules 2020, 25, 4736. [Google Scholar] [CrossRef] [PubMed]
- Sariyildiz, T.; Anderson, J.M. Variation in the Chemical Composition of Green Leaves and Leaf Litters from Three Deciduous Tree Species Growing on Different Soil Types. For. Ecol. Manag. 2005, 210, 303–319. [Google Scholar] [CrossRef]
- Wood, L.W. Chloroform-Methano Extraction of Chlorophyll α. J. Fish. Aqunt. Sci 1985, 42, 2–7. [Google Scholar]
- Siek, T.J. Effective Use of Organic Solvents to Remove Drugs from Biologic Specimens. Clin. Toxicol. 1978, 13, 205–230. [Google Scholar] [CrossRef]
- Li, W.; Dai, X.; Pu, E.; Bian, H.; Chen, Z.; Zhang, X.; Guo, Z.; Li, P.; Li, H.; Yong, Y.; et al. HLB-MCX-Based Solid-Phase Extraction Combined with Liquid Chromatography-Tandem Mass Spectrometry for the Simultaneous Determination of Four Agricultural Antibiotics (Kasugamycin, Validamycin A, Ningnanmycin, and Polyoxin B) Residues in Plant-Origin Foods. J. Agric. Food Chem. 2020, 68, 14025–14037. [Google Scholar] [CrossRef] [PubMed]
- Wang, C.; Li, H.; Wang, N.; Li, H.; Fang, L.; Dong, Z.; Du, H.; Guan, S.; Zhu, Q.; Chen, Z.; et al. Simultaneous Analysis of Kasugamycin and Validamycin-A in Fruits and Vegetables Using Liquid Chromatography-Tandem Mass Spectrometry and Consecutive Solid-Phase Extraction. Anal. Methods 2017, 9, 634–642. [Google Scholar] [CrossRef]
- Albero, B.; Tadeo, J.L.; del Mar Delgado, M.; Miguel, E.; Pérez, R.A. Analysis of Multiclass Antibiotics in Lettuce by Liquid Chromatography-Tandem Mass Spectrometry to Monitor Their Plant Uptake. Molecules 2019, 24, 4066. [Google Scholar] [CrossRef] [PubMed] [Green Version]
- Wu, X.; Conkle, J.L.; Gan, J. Multi-Residue Determination of Pharmaceutical and Personal Care Products in Vegetables. J. Chromatogr. A 2012, 1254, 78–86. [Google Scholar] [CrossRef]
- Kokoszka, K.; Kobus, A.; Bajkacz, S. Optimization of a Method for Extraction and Determination of Residues of Selected Antimicrobials in Soil and Plant Samples Using HPLC-UV-MS/MS. Int. J. Environ. Res. Public Health 2021, 18, 1159. [Google Scholar] [CrossRef]
- Punoševac, M.; Radović, J.; Leković, A.; Kundaković-Vasović, T. A Review of Botanical Characteristics, Chemical Composition, Pharmacological Activity and Use of Parsley. Arh. Farm. 2021, 71, 177–196. [Google Scholar] [CrossRef]
- Hou, J.; Wan, W.; Mao, D.; Wang, C.; Mu, Q.; Qin, S.; Luo, Y. Occurrence and Distribution of Sulfonamides, Tetracyclines, Quinolones, Macrolides, and Nitrofurans in Livestock Manure and Amended Soils of Northern China. Environ. Sci. Pollut. Res. 2015, 22, 4545–4554. [Google Scholar] [CrossRef]
- Xie, Z.; Gan, Y.; Tang, J.; Fan, S.; Wu, X.; Li, X.; Cheng, H.; Tang, J. Combined Effects of Environmentally Relevant Concentrations of Diclofenac and Cadmium on Chironomus Riparius Larvae. Ecotoxicol. Environ. Saf. 2020, 202, 110906. [Google Scholar] [CrossRef]
- Zhou, W.; Yang, S.; Wang, P.G. Matrix Effects and Application of Matrix Effect Factor. Bioanalysis 2017, 9, 1839–1844. [Google Scholar] [CrossRef] [Green Version]
- Marques, R.Z.; Wistuba, N.; Brito, J.C.M.; Bernardoni, V.; Rocha, D.C.; Gomes, M.P. Crop Irrigation (Soybean, Bean, and Corn) with Enrofloxacin-Contaminated Water Leads to Yield Reductions and Antibiotic Accumulation. Ecotoxicol. Environ. Saf. 2021, 216, 112193. [Google Scholar] [CrossRef]
- Rocha, D.C.; da Silva Rocha, C.; Tavares, D.S.; de Morais Calado, S.L.; Gomes, M.P. Veterinary Antibiotics and Plant Physiology: An Overview. Sci. Total Environ. 2021, 767, 144902. [Google Scholar] [CrossRef] [PubMed]
- Malchi, T.; Maor, Y.; Tadmor, G.; Shenker, M.; Chefetz, B. Irrigation of Root Vegetables with Treated Wastewater: Evaluating Uptake of Pharmaceuticals and the Associated Human Health Risks. Environ. Sci. Technol. 2014, 48, 9325–9333. [Google Scholar] [CrossRef] [PubMed]
- Tasho, R.P.; Cho, J.Y. Veterinary Antibiotics in Animal Waste, Its Distribution in Soil and Uptake by Plants: A Review. Sci. Total Environ. 2016, 563–564, 366–376. [Google Scholar] [CrossRef] [PubMed]
- Walters, E.; McClellan, K.; Halden, R.U. Occurrence and Loss over Three Years of 72 Pharmaceuticals and Personal Care Products from Biosolids-Soil Mixtures in Outdoor Mesocosms. Water Res. 2010, 44, 6011–6020. [Google Scholar] [CrossRef] [Green Version]
- Fernández, C.; Alonso, C.; Babín, M.M.; Pro, J.; Carbonell, G.; Tarazona, J.v. Ecotoxicological Assessment of Doxycycline in Aged Pig Manure Using Multispecies Soil Systems. Sci. Total Environ. 2004, 323, 63–69. [Google Scholar] [CrossRef]
- Litskas, V.D.; Karamanlis, X.N.; Prousali, S.P.; Koveos, D.S. The Xenobiotic Doxycycline Affects Nitrogen Transformations in Soil and Impacts Earthworms and Cultivated Plants. J. Environ. Sci. Health Part A Toxic/Hazard. Subst. Environ. Eng. 2019, 54, 1441–1447. [Google Scholar] [CrossRef]
- Wang, J.; Lin, H.; Sun, W.; Xia, Y.; Ma, J.; Fu, J.; Zhang, Z.; Wu, H.; Qian, M. Variations in the Fate and Biological Effects of Sulfamethoxazole, Norfloxacin and Doxycycline in Different Vegetable-Soil Systems Following Manure Application. J. Hazard. Mater. 2016, 304, 49–57. [Google Scholar] [CrossRef]
- Srichamnong, W.; Kalambaheti, N.; Woskie, S.; Kongtip, P.; Sirivarasai, J.; Matthews, K.R. Occurrence of Antibiotic-Resistant Bacteria on Hydroponically Grown Butterhead Lettuce (Lactuca sativa Var. Capitata). Food Sci. Nutr. 2021, 9, 1460–1470. [Google Scholar] [CrossRef]
- Wang, H.; McEntire, J.C.; Zhang, L.; Li, X.; Doyle, M. The Transfer of Antibiotic Resistance from Food to Humans: Facts, Implications and Future Directions. Rev. Sci. Tech. Off. Int. Epiz. 2012, 31, 249–260. [Google Scholar] [CrossRef]
- Schwaiger, K.; Helmke, K.; Hölzel, C.S.; Bauer, J. Antibiotic Resistance in Bacteria Isolated from Vegetables with Regards to the Marketing Stage (Farm vs. Supermarket). Int. J. Food Microbiol. 2011, 148, 191–196. [Google Scholar] [CrossRef]
- Chen, J.; Ying, G.G.; Deng, W.J. Antibiotic Residues in Food: Extraction, Analysis, and Human Health Concerns. J. Agric. Food Chem. 2019, 67, 7569–7586. [Google Scholar] [CrossRef] [PubMed]
- Sturini, M.; Speltini, A.; Maraschi, F.; Profumo, A.; Pretali, L.; Fasani, E.; Albini, A. Sunlight-Induced Degradation of Soil-Adsorbed Veterinary Antimicrobials Marbofloxacin and Enrofloxacin. Chemosphere 2012, 86, 130–137. [Google Scholar] [CrossRef] [PubMed]
- Zhang, Y.; Xu, J.; Zhong, Z.; Guo, C.; Li, L.; He, Y.; Fan, W.; Chen, Y. Degradation of Sulfonamides Antibiotics in Lake Water and Sediment. Environ. Sci. Pollut. Res. 2013, 20, 2372–2380. [Google Scholar] [CrossRef]
- Rusch, M.; Spielmeyer, A.; Zorn, H.; Hamscher, G. Degradation and Transformation of Fluoroquinolones by Microorganisms with Special Emphasis on Ciprofloxacin. Appl. Microbiol. Biotechnol. 2019, 103, 6933–6948. [Google Scholar] [CrossRef] [PubMed]
- Parshikov, I.A.; Sutherland, J.B. Microbial Transformations of Antimicrobial Quinolones and Related Drugs. J. Ind. Microbiol. Biotechnol. 2012, 39, 1731–1740. [Google Scholar] [CrossRef] [PubMed]
- Karl, W.; Schneider, J.; Wetzstein, H.G. Outlines of an “Exploding” Network of Metabolites Generated from the Fluoroquinolone Enrofloxacin by the Brown Rot Fungus Gloeophyllum Striatum. Appl. Microbiol. Biotechnol. 2006, 71, 101–113. [Google Scholar] [CrossRef]
- Morales-Gutiérrez, F.J.; Barbosa, J.; Barrón, D. Metabolic Study of Enrofloxacin and Metabolic Profile Modifications in Broiler Chicken Tissues after Drug Administration. Food Chem. 2015, 172, 30–39. [Google Scholar] [CrossRef]
- Guo, H.; Ke, T.; Gao, N.; Liu, Y.; Cheng, X. Enhanced Degradation of Aqueous Norfloxacin and Enrofloxacin by UV-Activated Persulfate: Kinetics, Pathways and Deactivation. Chem. Eng. J. 2017, 316, 471–480. [Google Scholar] [CrossRef]
- Li, Y.; Zhang, F.; Liang, X.; Yediler, A. Chemical and Toxicological Evaluation of an Emerging Pollutant (Enrofloxacin) by Catalytic Wet Air Oxidation and Ozonation in Aqueous Solution. Chemosphere 2013, 90, 284–291. [Google Scholar] [CrossRef]
- Paul, T.; Dodd, M.C.; Strathmann, T.J. Photolytic and Photocatalytic Decomposition of Aqueous Ciprofloxacin: Transformation Products and Residual Antibacterial Activity. Water Res. 2010, 44, 3121–3132. [Google Scholar] [CrossRef]
- Pan, L.; Li, J.; Li, C.; Tang, X.; Yu, G.; Wang, Y. Study of Ciprofloxacin Biodegradation by a Thermus Sp. Isolated from Pharmaceutical Sludge. J. Hazard. Mater. 2018, 343, 59–67. [Google Scholar] [CrossRef] [PubMed]
- Hong, P.; Li, Y.; He, J.; Saeed, A.; Zhang, K.; Wang, C.; Kong, L.; Liu, J. Rapid Degradation of Aqueous Doxycycline by Surface CoFe2O4/H2O2 System: Behaviors, Mechanisms, Pathways and DFT Calculation. Appl. Surf. Sci. 2020, 526, 146557. [Google Scholar] [CrossRef]
- Kim, H.Y.; Kim, T.H.; Cha, S.M.; Yu, S. Degradation of Sulfamethoxazole by Ionizing Radiation: Identification and Characterization of Radiolytic Products. Chem. Eng. J. 2017, 313, 556–566. [Google Scholar] [CrossRef]
- Wang, L.; Wu, Y.; Zheng, Y.; Liu, L.; Zhao, F. Efficient Degradation of Sulfamethoxazole and the Response of Microbial Communities in Microbial Fuel Cells. RSC Adv. 2015, 5, 56430–56437. [Google Scholar] [CrossRef]
- Jia, Y.; Khanal, S.K.; Zhang, H.; Chen, G.H.; Lu, H. Sulfamethoxazole Degradation in Anaerobic Sulfate-Reducing Bacteria Sludge System. Water Res. 2017, 119, 12–20. [Google Scholar] [CrossRef]
- Herklotz, P.A.; Gurung, P.; vanden Heuvel, B.; Kinney, C.A. Uptake of Human Pharmaceuticals by Plants Grown under Hydroponic Conditions. Chemosphere 2010, 78, 1416–1421. [Google Scholar] [CrossRef]
- Bewick, M.W.M. The Use of Antibiotic Fermentation Wastes as Fertilizers for Tomatoes. J. Agric. Sci. 1979, 92, 609–674. [Google Scholar] [CrossRef]
- Wang, J.; Wang, S. Microbial Degradation of Sulfamethoxazole in the Environment. Appl. Microbiol. Biotechnol. 2018, 102, 3573–3582. [Google Scholar] [CrossRef]
- Junza, A.; Barbosa, S.; Codony, M.R.; Jubert, A.; Barbosa, J.; Barrón, D. Identification of Metabolites and Thermal Transformation Products of Quinolones in Raw Cow’s Milk by Liquid Chromatography Coupled to High-Resolution Mass Spectrometry. J. Agric. Food Chem. 2014, 62, 2008–2021. [Google Scholar] [CrossRef] [Green Version]
- Sturini, M.; Speltini, A.; Maraschi, F.; Profumo, A.; Pretali, L.; Fasani, E.; Albini, A. Photochemical Degradation of Marbofloxacin and Enrofloxacin in Natural Waters. Environ. Sci. Technol. 2010, 44, 4564–4569. [Google Scholar] [CrossRef]
- Haddad, T.; Kümmerer, K. Characterization of Photo-Transformation Products of the Antibiotic Drug Ciprofloxacin with Liquid Chromatography-Tandem Mass Spectrometry in Combination with Accurate Mass Determination Using an LTQ-Orbitrap. Chemosphere 2014, 115, 40–46. [Google Scholar] [CrossRef] [PubMed]
- Borghi, A.A.; Silva, M.F.; al Arni, S.; Converti, A.; Palma, M.S.A. Doxycycline Degradation by the Oxidative Fenton Process. J. Chem. 2015, 2015, 492030. [Google Scholar] [CrossRef]


| Concentration (ng·g−1 Dry Weight) (SD) | ||||||
|---|---|---|---|---|---|---|
| PMPA | BMPA | CP | ||||
| Tissues | leaf | root | leaf | root | leaf | root |
| TC | nd | nd | nd | nd | nd | nd |
| OTC | nd | nd | nd | nd | nd | nd |
| DOX | 2.1 (0.7) | 14.0 (0.5) | 3.0 (0.1) | 13.6 (4.4) | nd | nd |
| CIP | nd | nd | nd | nd | nd | nd |
| ENF | 23.9 (3.0) | 13.4 (0.5) | 29.3 (3.9) | 25.3 (3.7) | nd | nd |
| LVF | nd | nd | nd | nd | nd | nd |
| MET | nd | nd | nd | nd | nd | nd |
| CLR | nd | nd | nd | nd | nd | nd |
| CLD | nd | nd | nd | nd | nd | nd |
| SMX | 2.3 (0.1) | <LOQ | 2.3 (0.2) | 6.8 (2.2) | nd | nd |
| SFD | nd | nd | nd | nd | nd | nd |
| TYL | <LOQ | nd | <LOQ | nd | nd | nd |
| TRI | nd | nd | nd | nd | nd | nd |
| VAN | nd | nd | nd | nd | nd | nd |
| Lp. | TPs | PMPA | BMPA | CP | |||
|---|---|---|---|---|---|---|---|
| Leaf | Root | Leaf | Root | Leaf | Root | ||
| 1 | ENF263 | + | + | + | + | − | − |
| 2 | ENF330 | − | + | − | + | − | − |
| 3 | ENF390 | − | + | − | + | − | − |
| 4 | ENF282 | + | − | + | − | − | − |
| 5 | ENF342 | + | − | − | + | − | − |
| 6 | ENF376 | + | − | + | − | − | − |
| 7 | ENF334 | + | − | + | − | − | − |
| 8 | ENF306 | + | − | + | − | − | − |
| 9 | ENF223 | − | + | − | + | − | − |
| 10 | ENF291 | − | + | − | + | − | − |
| 11 | DOX274 | − | + | − | + | − | − |
| 12 | DOX399 | − | + | − | + | − | − |
| 13 | SMX158 | − | + | − | − | − | − |
| 14 | SMX216 | − | + | − | + | − | − |
| Analytes | Formula | [M + H]+ (m/z) | Fragmentation Ions (m/z) | Structure | Ref. |
|---|---|---|---|---|---|
| Pharmaceuticals | |||||
| DOX | C22H24N2O8 | 445.2 | 428.2 154.1 | ![]() | [20] |
| ENF | C19H22FN3O3 | 360.7 | 316.2 245.1 | ![]() | |
| TYL | C46H77NO17 | 916.1 | 174.2 775.5 | ![]() | |
| SMX | C10H11N3O3S | 253.9 | 92.0 108.0 | ![]() | |
| Transformation products | |||||
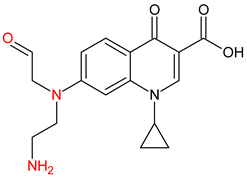
| ENF263 | C13H11FN2O3 | 263.0 | 245.0 204.0 | ![]() | [46,49,69,70,71] |
| ENF330 | C17H19N3O4 | 330.0 | 312.0 284.0 | ![]() | [62] |
| ENF390 | C19H20FN3O5 | 390.0 | 372.0 | ![]() | [61] |
| ENF328 | C17H17N3O4 | 328.0 | 310.0 300.0 | ![]() | [62] |
| ENF342 | C19H23N3O3 | 342.0 | 324.0 301.3 297.0 | ![]() | [62] |
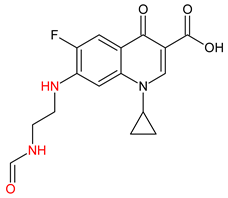
| ENF376 | C19H22FN3O4 | 376.1 | 358.1 340.1 | ![]() | [59,62,72] |
| ENF334 | C16H16FN3O4 | 334.0 | 316.0 217.0 | ![]() | [63,64] |
| ENF306 | C15H16FN3O3 | 306.9 | 288.0 271.0 145.0 | ![]() | [73,74] |
| ENF223 | C10H7FN2O3 | 223.0 | 207.0 190.0 | ![]() | [64] |
| ENF291 | C14H11FN2O4 | 291.0 | 273.0 245.0 217.0 | ![]() | [63] |
| DOX274 | C16H18O4 | 275.0 | 275.0 257.0 247.0 229.0 | ![]() | [65], this work |
| DOX399 | C21H21NO7 | 400.0 | 400.0 283.0 265.0 211.0 | ![]() | [75], this work |
| SMX158 | C6H7NO2S | 158.0 | 140.0 92.0 | ![]() | [66] |
| SMX216 | C7H9N3O3S | 216.0 | 156.0 202.2 | ![]() | [68] |
Publisher’s Note: MDPI stays neutral with regard to jurisdictional claims in published maps and institutional affiliations. |
© 2022 by the authors. Licensee MDPI, Basel, Switzerland. This article is an open access article distributed under the terms and conditions of the Creative Commons Attribution (CC BY) license (https://creativecommons.org/licenses/by/4.0/).
Share and Cite
Stando, K.; Korzeniewska, E.; Felis, E.; Harnisz, M.; Bajkacz, S. Uptake of Pharmaceutical Pollutants and Their Metabolites from Soil Fertilized with Manure to Parsley Tissues. Molecules 2022, 27, 4378. https://doi.org/10.3390/molecules27144378
Stando K, Korzeniewska E, Felis E, Harnisz M, Bajkacz S. Uptake of Pharmaceutical Pollutants and Their Metabolites from Soil Fertilized with Manure to Parsley Tissues. Molecules. 2022; 27(14):4378. https://doi.org/10.3390/molecules27144378
Chicago/Turabian StyleStando, Klaudia, Ewa Korzeniewska, Ewa Felis, Monika Harnisz, and Sylwia Bajkacz. 2022. "Uptake of Pharmaceutical Pollutants and Their Metabolites from Soil Fertilized with Manure to Parsley Tissues" Molecules 27, no. 14: 4378. https://doi.org/10.3390/molecules27144378
APA StyleStando, K., Korzeniewska, E., Felis, E., Harnisz, M., & Bajkacz, S. (2022). Uptake of Pharmaceutical Pollutants and Their Metabolites from Soil Fertilized with Manure to Parsley Tissues. Molecules, 27(14), 4378. https://doi.org/10.3390/molecules27144378



















