Recent Developments to Cope the Antibacterial Resistance via β-Lactamase Inhibition
Abstract
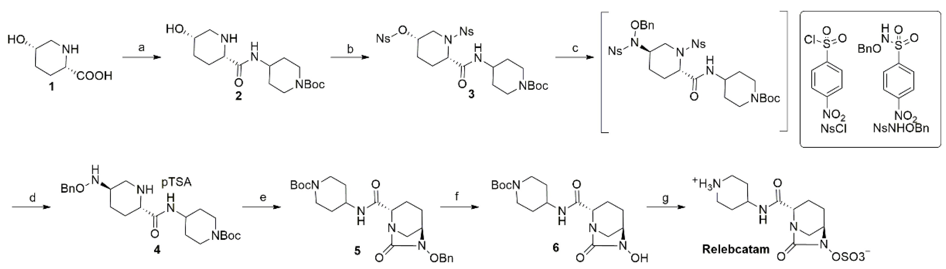
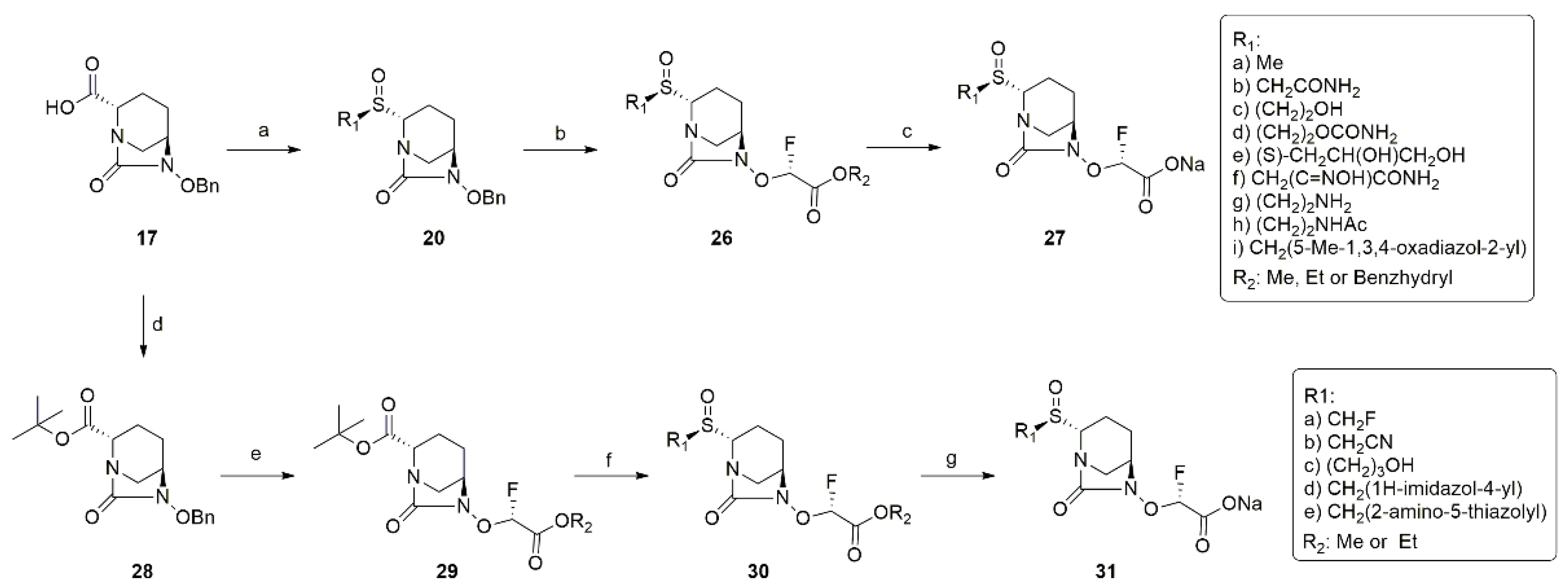
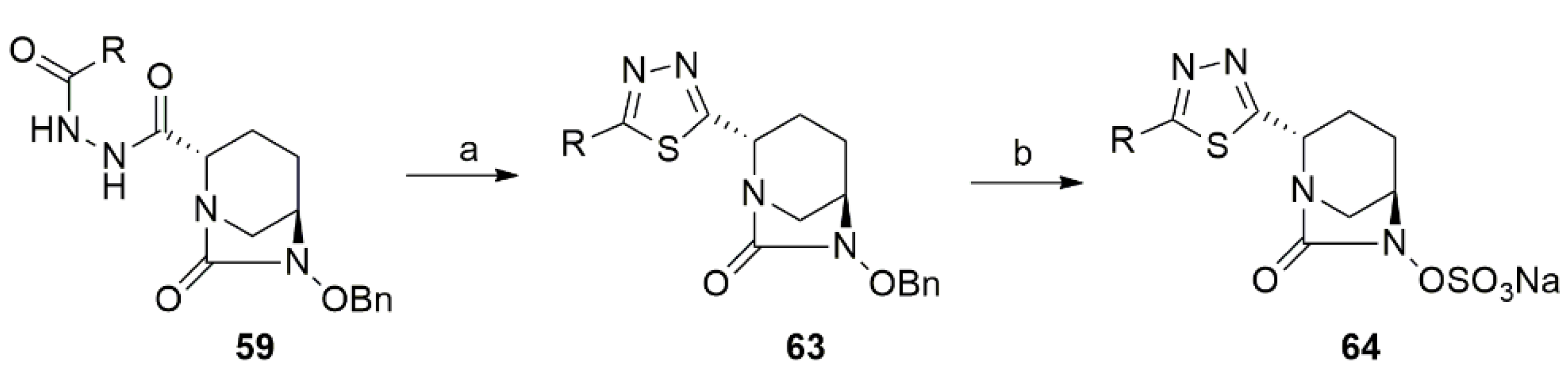
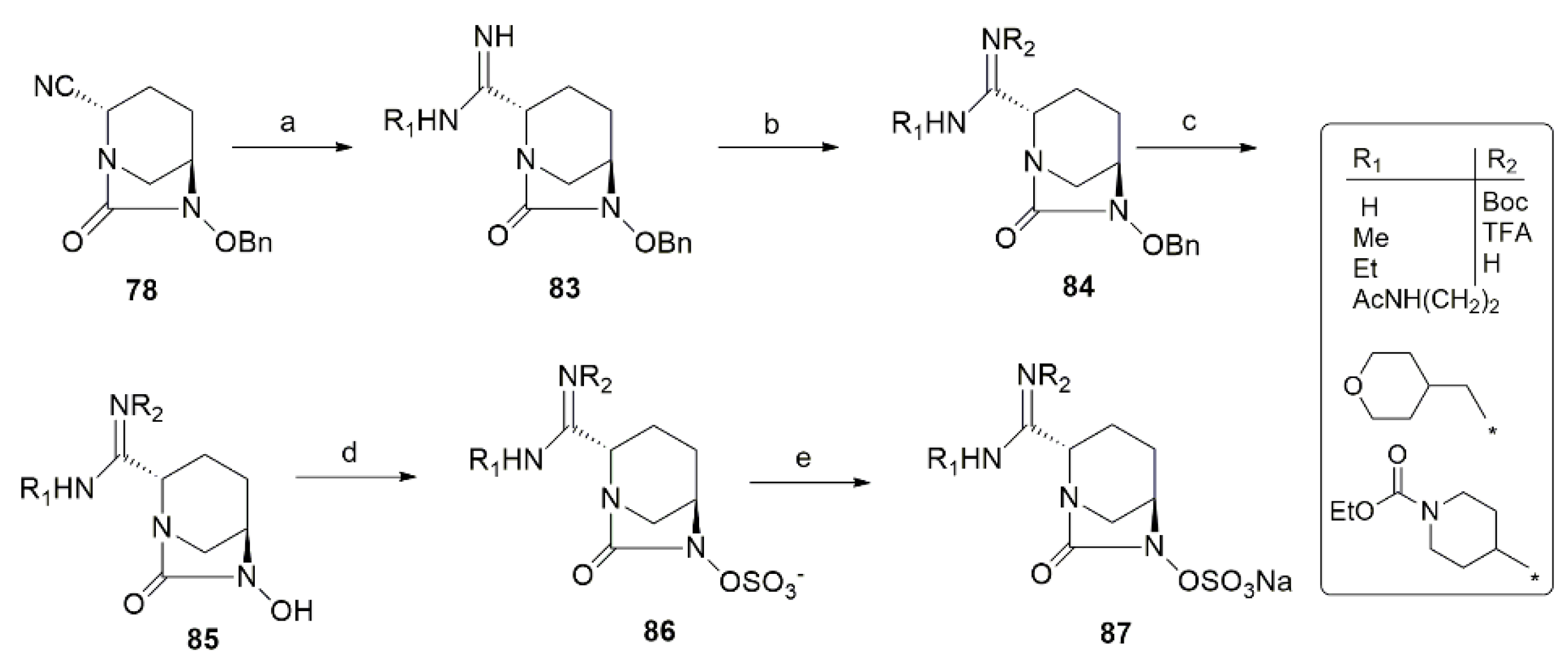
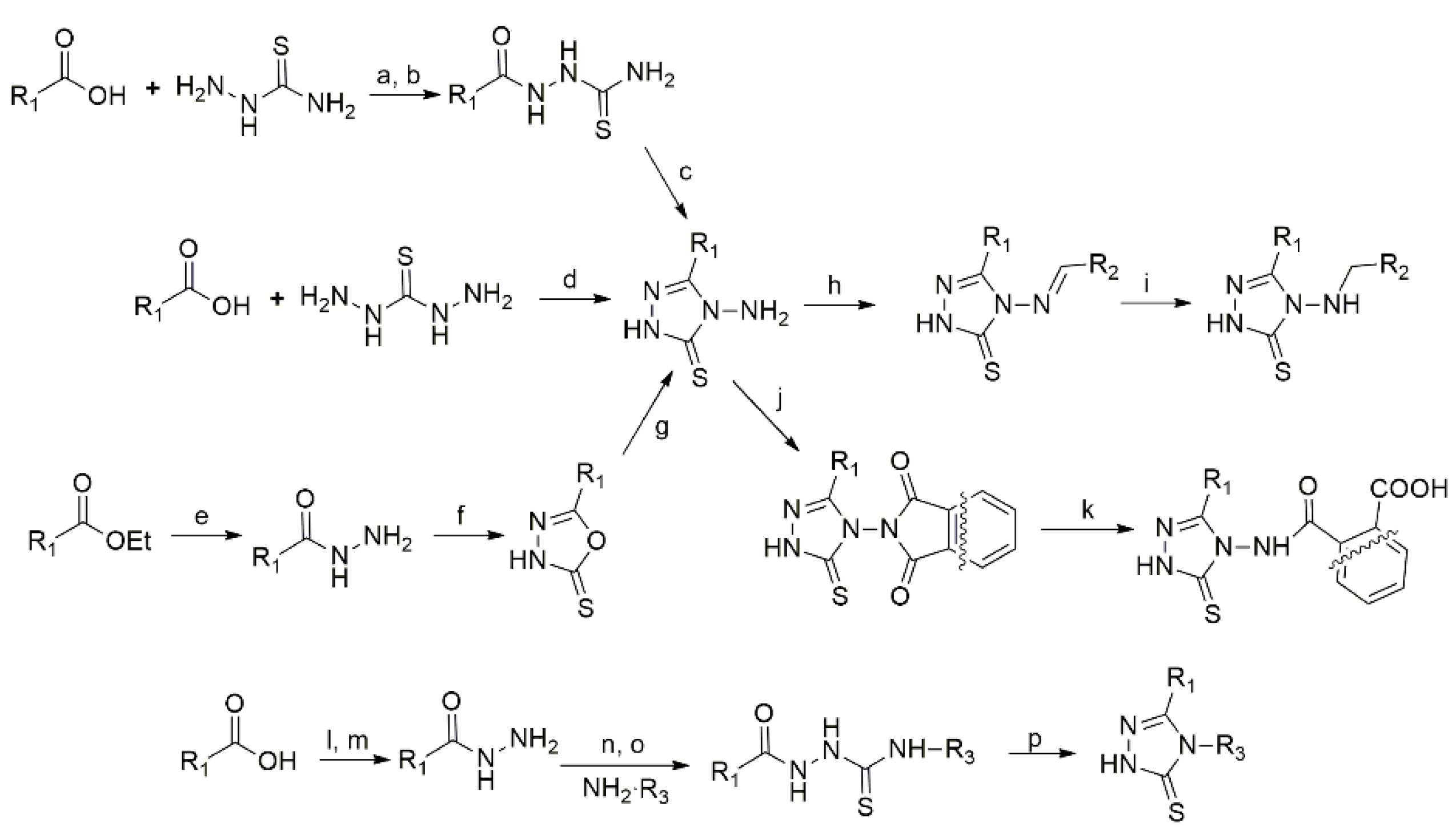
:1. Introduction
2. Conclusions and Future Perspective
Author Contributions
Funding
Institutional Review Board Statement
Informed Consent Statement
Data Availability Statement
Acknowledgments
Conflicts of Interest
Sample Availability
References
- Liu, W.; Jacquiod, S.; Brejnrod, A.; Russel, J.; Burmølle, M.; Sørensen, S.J. Deciphering links between bacterial interactions and spatial organization in multispecies biofilms. ISME J. 2019, 13, 3054–3066. [Google Scholar] [CrossRef] [PubMed]
- Reygaert, W.C. An overview of the antimicrobial resistance mechanisms of bacteria. AIMS Microbiol. 2018, 4, 482–501. [Google Scholar] [CrossRef] [PubMed]
- Aminov, R.I. A brief history of the antibiotic era: Lessons learned and challenges for the future. Front. Microbiol. 2010, 1, 134. [Google Scholar] [CrossRef] [PubMed] [Green Version]
- Spagnolo, F.; Trujillo, M.; Dennehy, J.J. Why Do Antibiotics Exist? mBio 2021, 12, e0196621. [Google Scholar] [CrossRef]
- Rehman, K.; Niaz, S.; Tahir, A.; Akash, M.S.H. Chapter 1—Microorganisms and antibiotic production. In Antibiotics and Antimicrobial Resistance Genes in the Environment; Hashmi, M.Z., Ed.; Elsevier: Amsterdam, The Netherlands, 2020; Volume 1, pp. 1–6. [Google Scholar]
- Chandra, N.; Kumar, S. Antibiotics producing soil microorganisms. In Antibiotics and Antibiotics Resistance Genes in Soils: Monitoring, Toxicity, Risk Assessment and Management; Hashmi, M.Z., Strezov, V., Varma, A., Eds.; Springer International Publishing: Cham, Switzerland, 2017; pp. 1–18. [Google Scholar]
- Hutchings, M.I.; Truman, A.W.; Wilkinson, B. Antibiotics: Past, present and future. Curr. Opin. Microbiol. 2019, 51, 72–80. [Google Scholar] [CrossRef]
- Davies, J.; Davies, D. Origins and Evolution of Antibiotic Resistance. Microbiol. Mol. Biol. Rev. 2010, 74, 417–433. [Google Scholar] [CrossRef] [Green Version]
- Chellat, M.F.; Raguz, L.; Riedl, R. Targeting Antibiotic Resistance. Angew. Chem. Int. Ed. 2016, 55, 6600–6626. [Google Scholar] [CrossRef]
- Poole, K. Resistance to beta-lactam antibiotics. Cell. Mol. Life Sci. CMLS 2004, 61, 2200–2223. [Google Scholar] [CrossRef]
- Peterson, E.; Kaur, P. Antibiotic Resistance Mechanisms in Bacteria: Relationships Between Resistance Determinants of Antibiotic Producers, Environmental Bacteria, and Clinical Pathogens. Front. Microbiol. 2018, 9, 2928. [Google Scholar] [CrossRef]
- Munita, J.M.; Arias, C.A. Mechanisms of Antibiotic Resistance. Microbiol. Spectr. 2016, 4, 37. [Google Scholar] [CrossRef] [Green Version]
- Spížek, J. Fight against antimicrobial resistance. Epidemiol. Mikrobiol. Imunol. Cas. Spol. Pro Epidemiol. A Mikrobiol. Ceske Lek. Spol. J.E. Purkyne 2018, 67, 74–80. [Google Scholar]
- Gaynes, R. The Discovery of Penicillin—New Insights After More Than 75 Years of Clinical Use. Emerg. Infect. Dis. 2017, 23, 849–853. [Google Scholar] [CrossRef]
- Strebhardt, K.; Ullrich, A. Paul Ehrlich’s magic bullet concept: 100 years of progress. Nat. Rev. Cancer 2008, 8, 473–480. [Google Scholar] [CrossRef] [PubMed]
- Lloyd, N.C.; Morgan, H.W.; Nicholson, B.K.; Ronimus, R.S. The Composition of Ehrlich’s Salvarsan: Resolution of a Century-Old Debate. Angew. Chem. Int. Ed. 2005, 44, 941–944. [Google Scholar] [CrossRef] [PubMed] [Green Version]
- Bentley, R. Different roads to discovery; Prontosil (hence sulfa drugs) and penicillin (hence beta-lactams). J. Ind. Microbiol. Biotechnol. 2009, 36, 775–786. [Google Scholar] [CrossRef] [PubMed]
- National Institute of Diabetes and Digestive and Kidney Diseases. Aminoglycosides. In LiverTox: Clinical and Research Information on Drug-Induced Liver Injury; National Institute of Diabetes and Digestive and Kidney Diseases: Bethesda, MD, USA, 2012. [Google Scholar]
- Seiple, I.B.; Zhang, Z.; Jakubec, P.; Langlois-Mercier, A.; Wright, P.M.; Hog, D.T.; Yabu, K.; Allu, S.R.; Fukuzaki, T.; Carlsen, P.N.; et al. A platform for the discovery of new macrolide antibiotics. Nature 2016, 533, 338–345. [Google Scholar] [CrossRef] [PubMed]
- Acharya, Y.; Dhanda, G.; Sarkar, P.; Haldar, J. Pursuit of next-generation glycopeptides: A journey with vancomycin. Chem. Commun. 2022, 58, 1881–1897. [Google Scholar] [CrossRef]
- Kaur, P.; Anuradha; Chandra, A.; Tanwar, T.; Sahu, S.K.; Mittal, A. Emerging quinoline- and quinolone-based antibiotics in the light of epidemics. In Chememical Biology and Drug Design; Wiley: New York, NY, USA, 2022. [Google Scholar]
- Walsh, C.T.; Wencewicz, T.A. Prospects for new antibiotics: A molecule-centered perspective. J. Antibiot. 2014, 67, 16. [Google Scholar] [CrossRef]
- Bahr, G.; González, L.J.; Vila, A.J. Metallo-β-lactamases in the Age of Multidrug Resistance: From Structure and Mechanism to Evolution, Dissemination, and Inhibitor Design. Chem. Rev. 2021, 121, 7957–8094. [Google Scholar] [CrossRef]
- Barry, G.H.; Miriam, B. Revised Ambler classification of β-lactamases. J. Antimicrob. Chemother. 2005, 55, 1050–1051. [Google Scholar]
- Ambler, R.P.; Baddiley, J.; Abraham, E.P. The structure of β-lactamases. Philos. Trans. R. Soc. London. B Biol. Sci. 1980, 289, 321–331. [Google Scholar] [PubMed]
- Bush, K.; Jacoby, G.A. Updated functional classification of beta-lactamases. Antimicrob. Agents Chemother. 2010, 54, 969–976. [Google Scholar] [CrossRef] [PubMed] [Green Version]
- Ghafourian, S.; Sadeghifard, N.; Soheili, S.; Sekawi, Z. Extended Spectrum b-lactamases: Definition, Classification and Epidemiology. Curr. Issues Mol. Biol. 2015, 17, 11–21. [Google Scholar] [PubMed]
- Duin, D.; Bonomo, R.A. Ceftazidime/Avibactam and Ceftolozane/Tazobactam: Second-generationβ-Lactam/β-Lactamase Inhibitor Combinations. Clin. Infect. Dis. 2016, 63, 234–241. [Google Scholar] [CrossRef] [PubMed] [Green Version]
- Falcone, M.; Paterson, D. Spotlight on ceftazidime/avibactam: A new option for MDR Gram-negative infections. J. Antimicrob. Chemother. 2016, 71, 2713–2722. [Google Scholar] [CrossRef] [PubMed] [Green Version]
- Shirley, M. Ceftazidime-Avibactam: A Review in the Treatment of Serious Gram-Negative Bacterial Infections. Drugs 2018, 78, 675–692. [Google Scholar] [CrossRef] [PubMed]
- Tooke, C.L.; Hinchliffe, P.; Bragginton, E.C.; Colenso, C.K.; Hirvonen, V.H.A.; Takebayashi, Y.; Spencer, J. β-Lactamases and β-Lactamase Inhibitors in the 21st Century. J. Mol. Biol. 2019, 431, 3472–3500. [Google Scholar] [CrossRef]
- Hecker, S.J.; Reddy, K.R.; Totrov, M.; Hirst, G.C.; Lomovskaya, O.; Griffith, D.C.; King, P.; Tsivkovski, R.; Sun, D.; Sabet, M.; et al. Discovery of a Cyclic Boronic Acid β-Lactamase Inhibitor (RPX7009) with Utility vs Class A Serine Carbapenemases. J. Med. Chem. 2015, 58, 3682–3692. [Google Scholar] [CrossRef]
- Castanheira, M.; Simner, P.J.; Bradford, P.A. Extended-spectrum β-lactamases: An update on their characteristics, epidemiology and detection. JAC Antimicrob. Resist. 2021, 3, dlab092. [Google Scholar] [CrossRef]
- Nagshetty, K.; Shilpa, B.M.; Patil, S.A.; Shivannavar, C.T.; Manjula, N.G. An Overview of Extended Spectrum Beta Lactamases and Metallo Beta Lactamases. Adv. Microbiol. 2021, 11, 37–62. [Google Scholar] [CrossRef]
- Bush, K. Past and Present Perspectives on β-Lactamases. Antimicrob. Agents Chemother. 2018, 62, 10. [Google Scholar] [CrossRef] [PubMed] [Green Version]
- Eiamphungporn, W.; Schaduangrat, N.; Malik, A.A.; Nantasenamat, C. Tackling the Antibiotic Resistance Caused by Class A beta-Lactamases through the Use of beta-Lactamase Inhibitory Protein. Int. J. Mol. Sci. 2018, 19, 2222. [Google Scholar] [CrossRef] [PubMed] [Green Version]
- Fröhlich, C.; Gama, J.A.; Harms, K.; Hirvonen, V.H.A.; Lund, B.A.; Kamp, M.W.v.d.; Johnsen, P.J.; Samuelsen, Ø.; Leiros, H.-K.S.; Bradford, P.A. Cryptic β-Lactamase Evolution Is Driven by Low β-Lactam Concentrations. mSphere 2021, 6, e00108-21. [Google Scholar] [CrossRef] [PubMed]
- Saudagar, P.S.; Survase, S.A.; Singhal, R.S. Clavulanic acid: A review. Biotechnol. Adv. 2008, 26, 335–351. [Google Scholar] [CrossRef] [PubMed]
- Deja, E.N. Novel ß-Lactamase Inhibitors: New Weapons in the Arms Race against Antimicrobial Resistance. Clin. Microbiol. Newsl. 2021, 43, 119–125. [Google Scholar] [CrossRef]
- Uto, L.R.; Gerriets, V. Clavulanic acid. In StatPearls; StatPearls Publishing LLC.: Treasure Island, FL, USA, 2020. [Google Scholar]
- Akova, M. Sulbactam-containing β-lactamase inhibitor combinations. Clin. Microbiol. Infect. 2008, 14, 185–188. [Google Scholar] [CrossRef] [Green Version]
- Rodríguez-Guardado, A.; Blanco, A.; Cartón, J.A. Ampicillin/Sulbactam in Combination: A Review of its Use in the Treatment of Severe Bacterial Infections. Clin. Med. Rev. Ther. 2010, 2, 245–257. [Google Scholar]
- Coleman, K. Diazabicyclooctanes (DBOs): A potent new class of non-β-lactam β-lactamase inhibitors. Curr. Opin. Microbiol. 2011, 14, 550–555. [Google Scholar] [CrossRef]
- Gonzalez-Bello, C.; Rodriguez, D.; Pernas, M.; Rodriguez, A.; Colchon, E. β-Lactamase Inhibitors To Restore the Efficacy of Antibiotics against Superbugs. J. Med. Chem. 2020, 63, 1859–1881. [Google Scholar] [CrossRef]
- Maxime, L.; Jozsef, A.; Alan, R.D.; Claude, F. Azabicyclic Compounds, Preparation Thereof and Use as Medicines, in Particular as Antibacterial Agents. U.S. Patent US20030199541, 23 October 2003. [Google Scholar]
- Blizzard, T.A.; Chen, H.; Gude, C.; Hermes, J.D.; Imbriglio, J.E.; Kim, S.; Wu, J.Y.; Ha, S.; Mortko, C.J.; Mangion, I.; et al. Beta-Lactamase Inhibitors. WIPO Patent WO2009091856, 15 January 2009. [Google Scholar]
- Gonzalez-Bello, C. Recently developed synthetic compounds with anti-infective activity. Curr. Opin. Pharmacol. 2019, 48, 17–23. [Google Scholar] [CrossRef]
- Peilleron, L.; Cariou, K. Synthetic approaches towards avibactam and other diazabicyclooctane β-lactamase inhibitors. Org. Biomol. Chem. 2020, 18, 830–844. [Google Scholar] [CrossRef] [PubMed] [Green Version]
- Finlay, J.; Miller, L.; Poupard, J.A. A review of the antimicrobial activity of clavulanate. J. Antimicrob. Chemother. 2003, 52, 18–23. [Google Scholar] [CrossRef] [PubMed] [Green Version]
- Payne, D.J.; Cramp, R.; Winstanley, D.J.; Knowles, D.J. Comparative activities of clavulanic acid, sulbactam, and tazobactam against clinically important beta-lactamases. Antimicrob. Agents Chemother. 1994, 38, 767–772. [Google Scholar] [CrossRef] [PubMed] [Green Version]
- Jalde, S.S.; Choi, H.K. Recent advances in the development of β-lactamase inhibitors. J. Microbiol. 2020, 58, 633–647. [Google Scholar] [CrossRef] [PubMed]
- King, A.M.; King, D.T.; French, S.; Brouillette, E.; Asli, A.; Alexander, J.A.; Vuckovic, M.; Maiti, S.N.; Parr, T.R., Jr.; Brown, E.D.; et al. Structural and Kinetic Characterization of Diazabicyclooctanes as Dual Inhibitors of Both Serine-beta-Lactamases and Penicillin-Binding Proteins. ACS Chem. Biol. 2016, 11, 864–868. [Google Scholar] [CrossRef]
- Rajavel, M.; Kumar, V.; Nguyen, H.; Wyatt, J.; Marshall, S.H.; Papp-Wallace, K.M.; Deshpande, P.; Bhavsar, S.; Yeole, R.; Bhagwat, S.; et al. Structural Characterization of Diazabicyclooctane β-Lactam ”Enhancers” in Complex with Penicillin-Binding Proteins PBP2 and PBP3 of Pseudomonas aeruginosa. mBio 2021, 12, e03058-20. [Google Scholar] [CrossRef]
- Alfei, S.; Zuccari, G. Recommendations to Synthetize Old and New β-Lactamases Inhibitors: A Review to Encourage Further Production. Pharmaceuticals 2022, 15, 384. [Google Scholar] [CrossRef]
- Miller, S.P.; Zhong, Y.-L.; Liu, Z.; Simeone, M.; Yasuda, N.; Limanto, J.; Chen, Z.; Lynch, J.; Capodanno, V. Practical and Cost-Effective Manufacturing Route for the Synthesis of a β-Lactamase Inhibitor. Org. Lett. 2014, 16, 174–177. [Google Scholar] [CrossRef]
- Mangion, I.K.; Ruck, R.T.; Rivera, N.; Huffman, M.A.; Shevlin, M. A Concise Synthesis of a β-Lactamase Inhibitor. Org. Lett. 2011, 13, 5480–5483. [Google Scholar] [CrossRef]
- Chung, J.Y.L.; Meng, D.; Shevlin, M.; Gudipati, V.; Chen, Q.; Liu, Y.; Lam, Y.-H.; Dumas, A.; Scott, J.; Tu, Q.; et al. Diastereoselective FeCl3·6H2O/NaBH4 Reduction of Oxime Ether for the Synthesis of β-Lactamase Inhibitor Relebactam. J. Org. Chem. 2020, 85, 994–1000. [Google Scholar] [CrossRef]
- Yin, J.; Weisel, M.; Ji, Y.; Liu, Z.; Liu, J.; Wallace, D.J.; Xu, F.; Sherry, B.D.; Yasuda, N. Improved Preparation of a Key Hydroxylamine Intermediate for Relebactam: Rate Enhancement of Benzyl Ether Hydrogenolysis with DABCO. Org. Process Res. Dev. 2018, 22, 273–277. [Google Scholar] [CrossRef]
- Liu, Z.; Yasuda, N.; Simeone, M.; Reamer, R.A. N-Boc Deprotection and Isolation Method for Water-Soluble Zwitterionic Compounds. J. Org. Chem. 2014, 79, 11792–11796. [Google Scholar] [CrossRef] [PubMed]
- Kim, J.; Itoh, T.; Xu, F.; Dance, Z.E.X.; Waldman, J.H.; Wallace, D.J.; Wu, F.; Kats-Kagan, R.; Ekkati, A.R.; Brunskill, A.P.J.; et al. Development of a Practical Manufacturing Process to Relebactam via Thorough Understanding of the Origin and Control of Oligomeric Impurities. Org. Process Res. Dev. 2021, 25, 2249–2259. [Google Scholar] [CrossRef]
- Augmentin reconsidered. Drug Ther. Bull. 1996, 2020, 76–79.
- Gordon, E.M.; Duncton, M.A.J.; Gallop, M.A. Orally Absorbed Derivatives of the β-Lactamase Inhibitor Avibactam. Design of Novel Prodrugs of Sulfate Containing Drugs. J. Med. Chem. 2018, 61, 10340–10344. [Google Scholar] [CrossRef] [Green Version]
- Shapiro, A.B.; Moussa, S.H.; McLeod, S.M.; Durand-Réville, T.; Miller, A.A. Durlobactam, a New Diazabicyclooctane β-Lactamase Inhibitor for the Treatment of Acinetobacter Infections in Combination With Sulbactam. Front. Microbiol. 2021, 12, 709974. [Google Scholar] [CrossRef]
- Comita-Prevoir, J.; Durand-Reville, T.F.; Gauthier, L.; O’Donnell, J.; Romero, J.; Tommasi, R.; Verheijen, J.C.; Wu, F.; Wu, X.; Zhang, J.; et al. Beta-Lactamase Inhibitor Compounds. WIPO Patent WO2018053215, 22 March 2018. [Google Scholar]
- Shapiro, A.B.; Gao, N. Interactions of the Diazabicyclooctane Serine β-Lactamase Inhibitor ETX1317 with Target Enzymes. ACS Infect. Dis. 2021, 7, 114–122. [Google Scholar] [CrossRef]
- Shapiro, A.B.; Moussa, S.H.; Carter, N.M.; Gao, N.; Miller, A.A. Ceftazidime-Avibactam Resistance Mutations V240G, D179Y, and D179Y/T243M in KPC-3 beta-Lactamase Do Not Alter Cefpodoxime-ETX1317 Susceptibility. ACS Infect. Dis. 2021, 7, 79–87. [Google Scholar] [CrossRef]
- Durand-Reville, T.F.; Comita-Prevoir, J.; Zhang, J.; Wu, X.; May-Dracka, T.L.; Romero, J.A.C.; Wu, F.; Chen, A.; Shapiro, A.B.; Carter, N.M.; et al. Discovery of an Orally Available Diazabicyclooctane Inhibitor (ETX0282) of Class A, C, and D Serine beta-Lactamases. J. Med. Chem. 2020, 63, 12511–12525. [Google Scholar] [CrossRef]
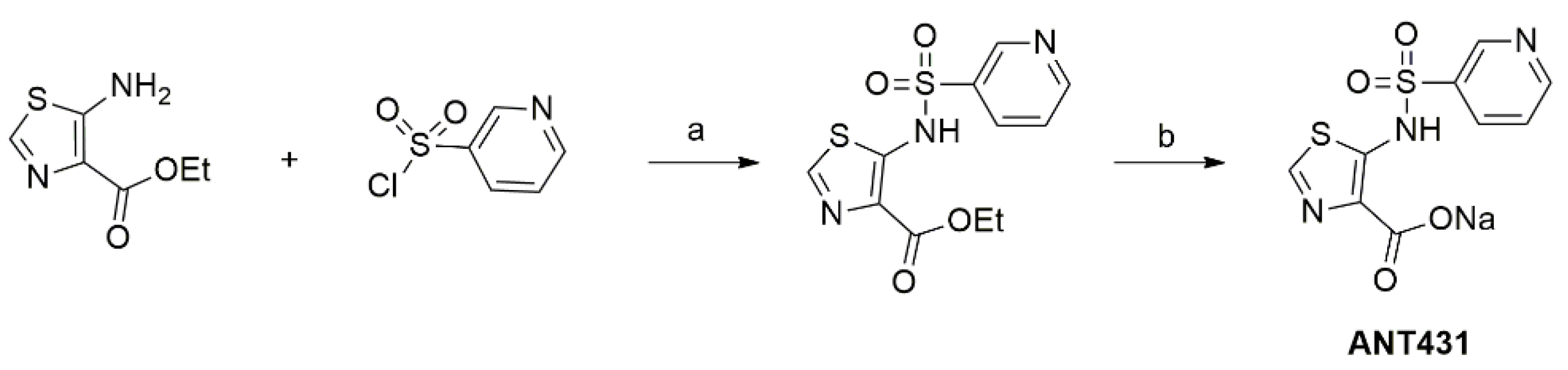
- Davies, D.T.; Leiris, S.; Zalacain, M.; Sprynski, N.; Castandet, J.; Bousquet, J.; Lozano, C.; Llanos, A.; Alibaud, L.; Vasa, S.; et al. Discovery of ANT3310, a Novel Broad-Spectrum Serine β-Lactamase Inhibitor of the Diazabicyclooctane Class, Which Strongly Potentiates Meropenem Activity against Carbapenem-Resistant Enterobacterales and Acinetobacter baumannii. J. Med. Chem. 2020, 63, 15802–15820. [Google Scholar] [CrossRef]
- Fujiu, M.; Yokoo, K.; Aoki, T.; Shibuya, S.; Sato, J.; Komano, K.; Kusano, H.; Sato, S.; Ogawa, M.; Yamawaki, K. Synthesis of 2-Thio-Substituted 1,6-Diazabicyclo[3.2.1]octane Derivatives, Potent β-Lactamase Inhibitors. J. Org. Chem. 2020, 85, 9650–9660. [Google Scholar] [CrossRef] [PubMed]
- Fujiu, M.; Yokoo, K.; Sato, J.; Shibuya, S.; Komano, K.; Kusano, H.; Sato, S.; Aoki, T.; Kohira, N.; Miyagawa, S.; et al. Introduction of a Thio Functional Group to Diazabicyclooctane: An Effective Modification to Potentiate the Activity of beta-Lactams against Gram-Negative Bacteria Producing Class A, C, and D Serine beta-Lactamases. ACS Infect. Dis. 2020, 6, 3034–3047. [Google Scholar] [CrossRef] [PubMed]
- Fujiu, M.; Yokoo, K.; Sato, J.; Shibuya, S.; Komano, K.; Kusano, H.; Sato, S.; Aoki, T.; Kohira, N.; Kanazawa, S.; et al. Discovery of 2-Sulfinyl-Diazabicyclooctane Derivatives, Potential Oral β-Lactamase Inhibitors for Infections Caused by Serine β-Lactamase-Producing Enterobacterales. J. Med. Chem. 2021, 64, 9496–9512. [Google Scholar] [CrossRef] [PubMed]
- Bouchet, F.; Atze, H.; Fonvielle, M.; Edoo, Z.; Arthur, M.; Ethève-Quelquejeu, M.; Iannazzo, L. Diazabicyclooctane Functionalization for Inhibition of β-Lactamases from Enterobacteria. J. Med. Chem. 2020, 63, 5257–5273. [Google Scholar] [CrossRef] [PubMed]
- Edoo, Z.; Iannazzo, L.; Compain, F.; Li de la Sierra Gallay, I.; van Tilbeurgh, H.; Fonvielle, M.; Bouchet, F.; Le Run, E.; Mainardi, J.L.; Arthur, M. Synthesis of Avibactam Derivatives and Activity on β-Lactamases and Peptidoglycan Biosynthesis Enzymes of Mycobacteria. Chem. Eur. J. 2018, 24, 8081–8086. [Google Scholar] [CrossRef] [PubMed]
- Reck, F.; Bermingham, A.; Blais, J.; Casarez, A.; Colvin, R.; Dean, C.R.; Furegati, M.; Gamboa, L.; Growcott, E.; Li, C.; et al. IID572: A New Potentially Best-In-Class β-Lactamase Inhibitor. ACS Infect. Dis. 2019, 5, 1045–1051. [Google Scholar] [CrossRef] [PubMed] [Green Version]
- Furegati, M.; Nocito, S.; Reck, F.; Casarez, A.; Simmons, R.; Schuetz, H.; Koch, G. Scale-Up Synthesis of IID572: A New β-Lactamase Inhibitor. Org. Process Res. Dev. 2020, 24, 1244–1253. [Google Scholar] [CrossRef]
- He, Y.; Lawrence, J.; Liu, C.; Yin, N. Chapter 16-Advances in Inhibitors of Penicillin-Binding Proteins and β-Lactamases as Antibacterial Agents. In Annual Reports in Medicinal Chemistry; Desai, M.C., Ed.; Academic Press: Cambridge, MA, USA, 2014; Volume 49, pp. 249–266. [Google Scholar]
- Gu, Y.G.; He, Y.; Yin, N.; Alexander, D.C.; Cross, J.B.; Metcalf, C.A.; Busch, R. Isoxazole Beta-Lactamase Inhibitors. US Patent US2015038482, 1 September 2015. [Google Scholar]
- Gu, Y.G.; He, Y.; Yin, N.; Alexander, D.C.; Cross, J.B.; Metcalf, C.A., III; Busch, R. 1,3,4-Oxadiazole And 1,3,4-Thiadiazole Β-Lactamase Inhibitors. WIPO Patent WO2013149121, 14 November 2013. [Google Scholar]
- Lampilas, M.; Rowlands, D.A.; Kebsi, A.; Ledoussal, B.; Pierres, C. Nitrogenous Heterocyclic Compounds, Preparation Thereof And Use Thereof As Antibacterial Medicaments. WIPO Patent WO2008142285, 11 April 2008. [Google Scholar]
- Comita-Prevoir, J.; Du-Rand-Reville, T.F.; Guler, S.; Romeo, J.; Sylvester, M.; Tomasi, R.; Velez-Vega, C.; Wu, X.; Zhang, J. Compounds and Methods for Treating Bacterial Infections. WIPO Patent WO2018208769, 15 November 2018. [Google Scholar]
- Durand-Reville, T.F.; Miller, A.A.; O’Donnell, J.P.; Wu, X.; Sylvester, M.A.; Guler, S.; Iyer, R.; Shapiro, A.B.; Carter, N.M.; Velez-Vega, C.; et al. Rational design of a new antibiotic class for drug-resistant infections. Nature 2021, 597, 698–702. [Google Scholar] [CrossRef]
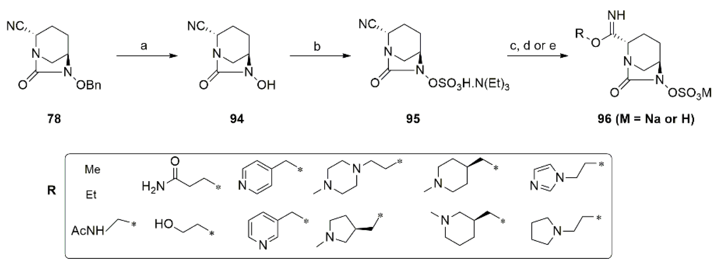
- Iqbal, Z.; Zhai, L.; Gao, Y.; Tang, D.; Ma, X.; Ji, J.; Sun, J.; Ji, J.; Liu, Y.; Jiang, R.; et al. β-Lactamase inhibition profile of new amidine-substituted diazabicyclooctanes. Beilstein J. Org. Chem. 2021, 17, 711–718. [Google Scholar] [CrossRef]
- Gao, Y.; Liu, Y.; Iqbal, Z.; Sun, J.; Ji, J.; Zhai, L.; Tang, D.; Ji, J.; He, L.; Mu, Y.; et al. Amidine Derivatives of Avibactam: Synthesis and In Vitro β-Lactamase Inhibition Activity. ChemistrySelect 2021, 6, 1174–1778. [Google Scholar] [CrossRef]
- Liu, Y.; Ji, J.; Sun, J.; He, L.; Gao, Y.; Zhai, L.; Ji, J.; Ma, X.; Mu, Y.; Tang, D.; et al. Substituted-amidine derivatives of diazabicyclooctane as prospective β-lactamase inhibitors. Mon. Chem. Chem. Mon. 2022, 153, 301–309. [Google Scholar] [CrossRef]
- Sun, J.; He, L.; Gao, Y.; Zhai, L.; Ji, J.; Liu, Y.; Ji, J.; Ma, X.; Mu, Y.; Tang, D.; et al. Synthesis of substituted-amidine derivatives of avibactam and synergistic antibacterial activity with meropenem. Mendeleev Commun. 2021, 31, 498–500. [Google Scholar] [CrossRef]
- Ji, J.; Zhai, L.; Sun, J.; He, L.; Ji, J.; Ma, X.; Liu, Y.; Tang, D.; Mu, Y.; Gao, Y.; et al. Sulfonylamidine-substituted derivatives of avibactam: Synthesis and antibacterial activity. J. Heterocycl. Chem. 2021, 58, 5. [Google Scholar] [CrossRef]
- Zhai, L.; Sun, J.; Ji, J.; He, L.; Gao, Y.; Ji, J.; Liu, Y.; Mu, Y.; Ma, X.; Tang, D.; et al. Synthesis and β-lactamase inhibition activity of imidates of diazabicyclooctane. Russ. J. Bioorganic Chem. 2022; in press. [Google Scholar]
- Papp-Wallace, K.M.; Nguyen, N.Q.; Jacobs, M.R.; Bethel, C.R.; Barnes, M.D.; Kumar, V.; Bajaksouzian, S.; Rudin, S.D.; Rather, P.N.; Bhavsar, S.; et al. Strategic Approaches to Overcome Resistance against Gram-Negative Pathogens Using β-Lactamase Inhibitors and β-Lactam Enhancers: Activity of Three Novel Diazabicyclooctanes WCK 5153, Zidebactam (WCK 5107), and WCK 4234. J. Med. Chem. 2018, 61, 4067–4086. [Google Scholar] [CrossRef] [PubMed]
- Garigipati, R.S. An efficient conversion of nitriles to amidines. Tetrahedron Lett. 1990, 31, 1969–1972. [Google Scholar] [CrossRef]
- Moss, R.A.; Ma, W.; Merrer, D.C.; Xue, S. Conversion of ‘obstinate’ nitriles to amidines by Garigipati’s reaction. Tetrahedron Lett. 1995, 36, 8761–8764. [Google Scholar] [CrossRef]
- Smoum, R.; Rubinstein, A.; Dembitsky, V.M.; Srebnik, M. Boron Containing Compounds as Protease Inhibitors. Chem. Rev. 2012, 112, 4156–4220. [Google Scholar] [CrossRef]
- Messner, K.; Vuong, B.; Tranmer, G.K. The Boron Advantage: The Evolution and Diversification of Boron’s Applications in Medicinal Chemistry. Pharmaceuticals 2022, 15, 264. [Google Scholar] [CrossRef]
- Kiener, P.A.; Waley, S.G. Reversible inhibitors of penicillinases. Biochem. J. 1978, 169, 197–204. [Google Scholar] [CrossRef] [Green Version]
- Bush, K. A resurgence of β-lactamase inhibitor combinations effective against multidrug-resistant Gram-negative pathogens. Int. J. Antimicrob. Agents 2015, 46, 483–493. [Google Scholar] [CrossRef] [PubMed]
- Matteo, S.; Francesca, S.; Simon, C.; Antonio, Q.; Davide, F.; Donatella, T.; Filomena, D.L.; Jean-Denis, D.; Ana, I.P.; Claudia, I.; et al. Computational and biological profile of boronic acids for the detection of bacterial serine- and metallo-β-lactamases. Sci. Rep. 2017, 7, 1–15. [Google Scholar]
- Reddy, N.; Shungube, M.; Arvidsson, P.I.; Baijnath, S.; Kruger, H.G.; Govender, T.; Naicker, T. A 2018–2019 patent review of metallo beta-lactamase inhibitors. Expert Opin. Ther. Pat. 2020, 30, 541–555. [Google Scholar] [CrossRef]
- Falagas, M.E.; Mavroudis, A.D.; Vardakas, K.Z. The antibiotic pipeline for multi-drug resistant gram negative bacteria: What can we expect? Expert Rev. Anti-Infect. Ther. 2016, 14, 747–763. [Google Scholar] [CrossRef] [PubMed]
- Lomovskaya, O.; Sun, D.; Rubio-Aparicio, D.; Nelson, K.; Tsivkovski, R.; Griffith, D.C.; Dudley, M.N. Vaborbactam: Spectrum of Beta-Lactamase Inhibition and Impact of Resistance Mechanisms on Activity in Enterobacteriaceae. Antimicrob. Agents Chemother. 2017, 61, e01443-17. [Google Scholar] [CrossRef] [PubMed] [Green Version]
- Lapuebla, A.; Abdallah, M.; Olafisoye, O.; Cortes, C.; Urban, C.; Quale, J.; Landman, D. Activity of Meropenem Combined with RPX7009, a Novel β-Lactamase Inhibitor, against Gram-Negative Clinical Isolates in New York City. Antimicrob. Agents Chemother. 2015, 59, 4856–4860. [Google Scholar] [CrossRef] [Green Version]
- Tsivkovski, R.; Lomovskaya, O. Biochemical Activity of Vaborbactam. Antimicrob. Agents Chemother. 2020, 64, e01935-19. [Google Scholar] [CrossRef] [Green Version]
- Langley, G.W.; Cain, R.; Tyrrell, J.M.; Hinchliffe, P.; Calvopiña, K.; Tooke, C.L.; Widlake, E.; Dowson, C.G.; Spencer, J.; Walsh, T.R.; et al. Profiling interactions of vaborbactam with metallo-β-lactamases. Bioorganic Med. Chem. Lett. 2019, 29, 1981–1984. [Google Scholar] [CrossRef]
- Ness, S.; Martin, R.; Kindler, A.M.; Paetzel, M.; Gold, M.; Jensen, S.E.; Jones, J.B.; Strynadka, N.C.J. Structure-Based Design Guides the Improved Efficacy of Deacylation Transition State Analogue Inhibitors of TEM-1 β-Lactamase. Biochemistry 2000, 39, 5312–5321. [Google Scholar] [CrossRef]
- Burns, C.J.; Goswami, R.; Jackson, R.W.; Lessen, T.; Li, W.; Pevear, D.; Tirunahari, P.K.; Xu, H. Beta-Lactamase Inhibitors. WIPO Patent WO2010130708, 18 November 2010. [Google Scholar]
- Brem, J.; Cain, R.; Cahill, S.; McDonough, M.A.; Clifton, I.J.; Jiménez-Castellanos, J.-C.; Avison, M.B.; Spencer, J.; Fishwick, C.W.G.; Schofield, C.J. Structural basis of metallo-β-lactamase, serine-β-lactamase and penicillin-binding protein inhibition by cyclic boronates. Nat. Commun. 2016, 7, 12406. [Google Scholar] [CrossRef] [Green Version]
- Lence, E.; González-Bello, C. Bicyclic Boronate b-Lactamase Inhibitors: The Present Hope against Deadly Bacterial Pathogens. Adv. Ther. 2021, 21, 2000246. [Google Scholar] [CrossRef]
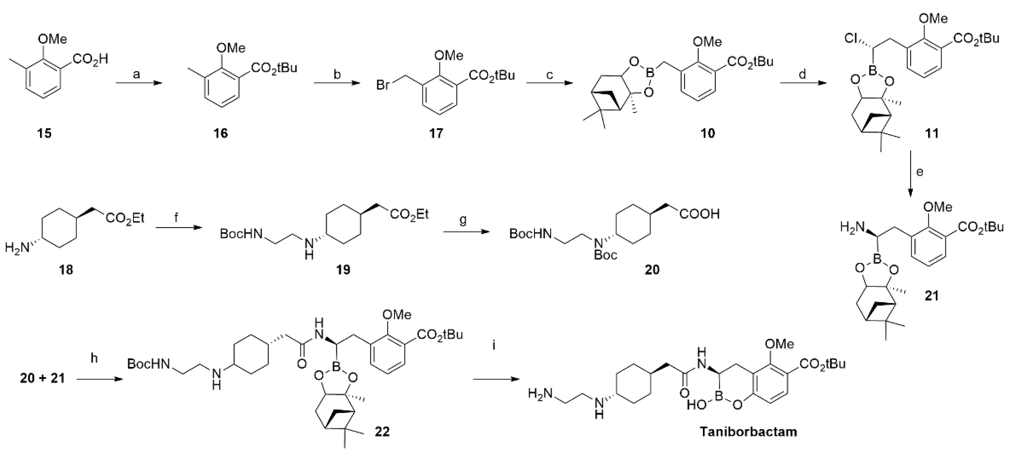
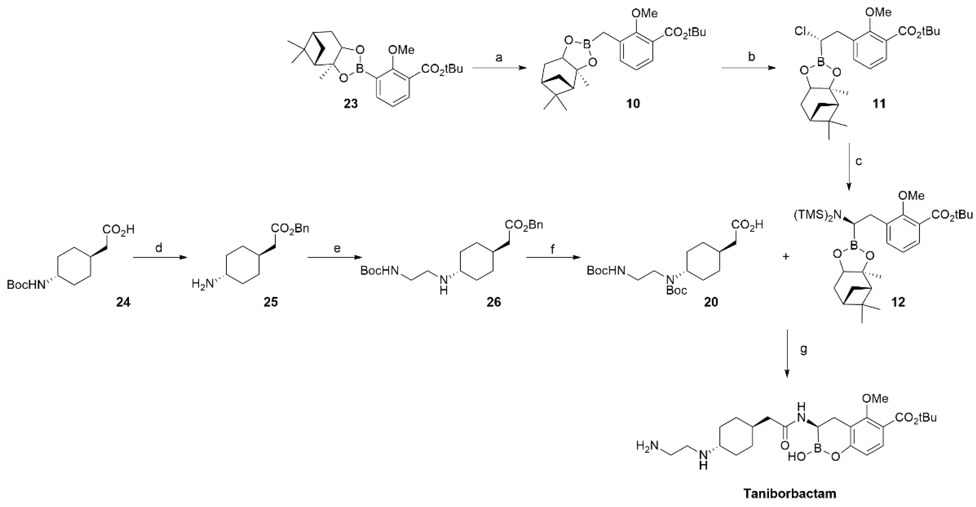
- Liu, B.; Trout, R.E.L.; Chu, G.-H.; McGarry, D.; Jackson, R.W.; Hamrick, J.C.; Daigle, D.M.; Cusick, S.M.; Pozzi, C.; De Luca, F.; et al. Discovery of Taniborbactam (VNRX-5133): A Broad-Spectrum Serine- and Metallo-β-lactamase Inhibitor for Carbapenem-Resistant Bacterial Infections. J. Med. Chem. 2020, 63, 2789–2801. [Google Scholar] [CrossRef] [PubMed] [Green Version]
- Tooke, C.L.; Hinchliffe, P.; Krajnc, A.; Mulholland, A.J.; Brem, J.; Schofield, C.J.; Spencer, J. Cyclic boronates as versatile scaffolds for KPC-2 β-lactamase inhibition. RSC Med. Chem. 2020, 11, 491–496. [Google Scholar] [CrossRef] [PubMed] [Green Version]
- Cahill, S.T.; Cain, R.; Wang, D.Y.; Lohans, C.T.; Wareham, D.W.; Oswin, H.P.; Mohammed, J.; Spencer, J.; Fishwick, C.W.G.; McDonough, M.A.; et al. Cyclic Boronates Inhibit All Classes of β-Lactamases. Antimicrob. Agents Chemother. 2017, 61, e02260-16. [Google Scholar] [CrossRef] [PubMed] [Green Version]
- Boyd, S.E.; Livermore, D.M.; Hooper, D.C.; Hope, W.W. Metallo-β-Lactamases: Structure, Function, Epidemiology, Treatment Options, and the Development Pipeline. Antimicrob. Agents Chemother. 2020, 64, e00397-20. [Google Scholar] [CrossRef] [PubMed]
- Krajnc, A.; Brem, J.; Hinchliffe, P.; Calvopiña, K.; Panduwawala, T.D.; Lang, P.A.; Kamps, J.J.A.G.; Tyrrell, J.M.; Widlake, E.; Saward, B.G.; et al. Bicyclic Boronate VNRX-5133 Inhibits Metallo- and Serine-β-Lactamases. J. Med. Chem. 2019, 62, 8544–8556. [Google Scholar] [CrossRef] [Green Version]
- Dowell, J.A.; Dickerson, D.; Henkel, T. Safety and Pharmacokinetics in Human Volunteers of Taniborbactam (VNRX-5133), a Novel Intravenous β-Lactamase Inhibitor. Antimicrob. Agents Chemother. 2021, 65, e01053-21. [Google Scholar] [CrossRef]
- Burns, C.J.; Daigle, D.; Liu, B.; Mcgarry, D.; Pevear, D.C.; Trout, R.E.L. Beta-Lactamase Inhibitors. WIPO Patent WO2014089365, 12 June 2014. [Google Scholar]
- Tsivkovski, R.; Totrov, M.; Lomovskaya, O. Biochemical Characterization of QPX7728, a New Ultrabroad-Spectrum Beta-Lactamase Inhibitor of Serine and Metallo-Beta-Lactamases. Antimicrob. Agents Chemother. 2020, 64, e00130-20. [Google Scholar] [CrossRef] [Green Version]
- Hecker, S.J.; Reddy, K.R.; Lomovskaya, O.; Griffith, D.C.; Rubio-Aparicio, D.; Nelson, K.; Tsivkovski, R.; Sun, D.; Sabet, M.; Tarazi, Z.; et al. Discovery of Cyclic Boronic Acid QPX7728, an Ultrabroad-Spectrum Inhibitor of Serine and Metallo-β-lactamases. J. Med. Chem. 2020, 63, 7491–7507. [Google Scholar] [CrossRef] [Green Version]
- Wang, Y.-L.; Liu, S.; Yu, Z.-J.; Lei, Y.; Huang, M.-Y.; Yan, Y.-H.; Ma, Q.; Zheng, Y.; Deng, H.; Sun, Y.; et al. Structure-Based Development of (1-(3′-Mercaptopropanamido)methyl)boronic Acid Derived Broad-Spectrum, Dual-Action Inhibitors of Metallo- and Serine-β-lactamases. J. Med. Chem. 2019, 62, 7160–7184. [Google Scholar] [CrossRef]
- Muhammad, Z.; Skagseth, S.; Boomgaren, M.; Akhter, S.; Fröhlich, C.; Ismael, A.; Christopeit, T.; Bayer, A.; Leiros, H.-K.S. Structural studies of triazole inhibitors with promising inhibitor effects against antibiotic resistance metallo-β-lactamases. Bioorganic Med. Chem. 2020, 28, 115598. [Google Scholar] [CrossRef] [PubMed]
- Wang, P.; Cheng, J.; Liu, C.C.; Tang, K.; Xu, F.; Yu, Z.; Yu, B.; Chang, J. The Development of New Small-Molecule Inhibitors Targeting Bacterial Metallo-β-lactamases. Curr. Top. Med. Chem. 2018, 18, 834–843. [Google Scholar] [CrossRef] [PubMed]
- Mojica, M.F.; Mahler, S.G.; Bethel, C.R.; Taracila, M.A.; Kosmopoulou, M.; Papp-Wallace, K.M.; Llarrull, L.I.; Wilson, B.M.; Marshall, S.H.; Wallace, C.J.; et al. Exploring the Role of Residue 228 in Substrate and Inhibitor Recognition by VIM Metallo-β-lactamases. Biochemistry 2015, 54, 3183–3196. [Google Scholar] [CrossRef] [PubMed] [Green Version]
- González, M.M.; Kosmopoulou, M.; Mojica, M.F.; Castillo, V.; Hinchliffe, P.; Pettinati, I.; Brem, J.; Schofield, C.J.; Mahler, G.; Bonomo, R.A.; et al. Bisthiazolidines: A Substrate-Mimicking Scaffold as an Inhibitor of the NDM-1 Carbapenemase. ACS Infect. Dis. 2015, 1, 544–554. [Google Scholar] [CrossRef] [Green Version]
- Hinchliffe, P.; González, M.M.; Mojica, M.F.; González, J.M.; Castillo, V.; Saiz, C.; Kosmopoulou, M.; Tooke, C.L.; Llarrull, L.I.; Mahler, G.; et al. Cross-class metallo-β-lactamase inhibition by bisthiazolidines reveals multiple binding modes. Proc. Natl. Acad. Sci. USA 2016, 113, E3745–E3754. [Google Scholar] [CrossRef] [Green Version]
- Hinchliffe, P.; Moreno, D.M.; Rossi, M.-A.; Mojica, M.F.; Martinez, V.; Villamil, V.; Spellberg, B.; Drusano, G.L.; Banchio, C.; Mahler, G.; et al. 2-Mercaptomethyl Thiazolidines (MMTZs) Inhibit All Metallo-β-Lactamase Classes by Maintaining a Conserved Binding Mode. ACS Infect. Dis. 2021, 7, 2697–2706. [Google Scholar] [CrossRef]
- Rossi, M.-A.; Martinez, V.; Hinchliffe, P.; Mojica, M.F.; Castillo, V.; Moreno, D.M.; Smith, R.; Spellberg, B.; Drusano, G.L.; Banchio, C.; et al. 2-Mercaptomethyl-thiazolidines use conserved aromatic–S interactions to achieve broad-range inhibition of metallo-β-lactamases. Chem. Sci. 2021, 12, 2898–2908. [Google Scholar] [CrossRef]
- Wachino, J.-I.; Jin, W.; Kimura, K.; Kurosaki, H.; Sato, A.; Arakawa, Y.; Bonomo, R.A. Sulfamoyl Heteroarylcarboxylic Acids as Promising Metallo-β-Lactamase Inhibitors for Controlling Bacterial Carbapenem Resistance. mBio 2020, 11, e03144-19. [Google Scholar] [CrossRef] [Green Version]
- Everett, M.; Sprynski, N.; Coelho, A.; Castandet, J.; Bayet, M.; Bougnon, J.; Lozano, C.; Davies, D.T.; Leiris, S.; Zalacain, M.; et al. Discovery of a Novel Metallo-β-Lactamase Inhibitor That Potentiates Meropenem Activity against Carbapenem-Resistant Enterobacteriaceae. Antimicrob. Agents Chemother. 2018, 62, 5. [Google Scholar] [CrossRef] [Green Version]
- Leiris, S.; Coelho, A.; Castandet, J.; Bayet, M.; Lozano, C.; Bougnon, J.; Bousquet, J.; Everett, M.; Lemonnier, M.; Sprynski, N.; et al. SAR Studies Leading to the Identification of a Novel Series of Metallo-β-lactamase Inhibitors for the Treatment of Carbapenem-Resistant Enterobacteriaceae Infections That Display Efficacy in an Animal Infection Model. ACS Infect. Dis. 2019, 5, 131–140. [Google Scholar] [CrossRef] [Green Version]
- Davies, D.T.; Leiris, S.; Sprynski, N.; Castandet, J.; Lozano, C.; Bousquet, J.; Zalacain, M.; Vasa, S.; Dasari, P.K.; Pattipati, R.; et al. ANT2681: SAR Studies Leading to the Identification of a Metallo-β-lactamase Inhibitor with Potential for Clinical Use in Combination with Meropenem for the Treatment of Infections Caused by NDM-Producing Enterobacteriaceae. ACS Infect. Dis. 2020, 6, 2419–2430. [Google Scholar] [CrossRef] [PubMed]
- Zalacain, M.; Lozano, C.; Llanos, A.; Sprynski, N.; Valmont, T.; De Piano, C.; Davies, D.; Leiris, S.; Sable, C.; Ledoux, A.; et al. Novel Specific Metallo-β-Lactamase Inhibitor ANT2681 Restores Meropenem Activity to Clinically Effective Levels against NDM-Positive Enterobacterales. Am. Soc. Microbiol. 2021, 65, 6. [Google Scholar] [CrossRef] [PubMed]
- Yahiaoui, S.; Voos, K.; Haupenthal, J.; Wichelhaus, T.A.; Frank, D.; Weizel, L.; Rotter, M.; Brunst, S.; Kramer, J.S.; Proschak, E.; et al. N-Aryl mercaptoacetamides as potential multi-target inhibitors of metallo-β-lactamases (MBLs) and the virulence factor LasB from Pseudomonas aeruginosa. RSC Med. Chem. 2021, 12, 1698–1708. [Google Scholar] [CrossRef] [PubMed]
- Kaya, C.; Konstantinović, J.; Kany, A.M.; Andreas, A.; Kramer, J.S.; Brunst, S.; Weizel, L.; Rotter, M.J.; Frank, D.; Yahiaoui, S.; et al. N-Aryl Mercaptopropionamides as Broad-Spectrum Inhibitors of Metallo-β-Lactamases. J. Med. Chem. 2022, 65, 3913–3922. [Google Scholar] [CrossRef]
- Yan, Y.H.; Li, W.; Chen, W.; Li, C.; Zhu, K.R.; Deng, J.; Dai, Q.Q.; Yang, L.L.; Wang, Z.; Li, G.B. Structure-guided optimization of 1H-imidazole-2-carboxylic acid derivatives affording potent VIM-Type metallo-beta-lactamase inhibitors. Eur. J. Med. Chem. 2022, 228, 113965. [Google Scholar] [CrossRef]
- Brem, J.; Panduwawala, T.; Hansen, J.U.; Hewitt, J.; Liepins, E.; Donets, P.; Espina, L.; Farley, A.J.M.; Shubin, K.; Campillos, G.G.; et al. Imitation of beta-lactam binding enables broad-spectrum metallo-beta-lactamase inhibitors. Nat. Chem. 2022, 14, 15–24. [Google Scholar] [CrossRef]
- Olsen, L.; Jost, S.; Adolph, H.-W.; Pettersson, I.; Hemmingsen, L.; Jørgensen, F.S. New leads of metallo-β-lactamase inhibitors from structure-based pharmacophore design. Bioorganic Med. Chem. 2006, 14, 2627–2635. [Google Scholar] [CrossRef]
- Yankin, A.N.; Nosova, N.V.; Novikova, V.V.; Gein, V.L. Synthesis and Antimicrobial Activity of Novel Hydrazone and 1,2,4-Triazole-3-thione Derivatives. Russ. J. Gen. Chem. 2022, 92, 166–173. [Google Scholar] [CrossRef]
- Sevaille, L.; Gavara, L.; Bebrone, C.; De Luca, F.; Nauton, L.; Achard, M.; Mercuri, P.; Tanfoni, S.; Borgianni, L.; Guyon, C.; et al. 1,2,4-Triazole-3-thione Compounds as Inhibitors of Dizinc Metallo-β-lactamases. ChemMedChem 2017, 12, 972–985. [Google Scholar] [CrossRef]
- Gavara, L.; Verdirosa, F.; Legru, A.; Mercuri, P.S.; Nauton, L.; Sevaille, L.; Feller, G.; Berthomieu, D.; Sannio, F.; Marcoccia, F.; et al. 4-(N-Alkyl- and -Acyl-amino)-1,2,4-triazole-3-thione Analogs as Metallo-β-Lactamase Inhibitors: Impact of 4-Linker on Potency and Spectrum of Inhibition. Biomolecules 2020, 10, 1094. [Google Scholar] [CrossRef]
- Gavara, L.; Legru, A.; Verdirosa, F.; Sevaille, L.; Nauton, L.; Corsica, G.; Mercuri, P.S.; Sannio, F.; Feller, G.; Coulon, R.; et al. 4-Alkyl-1,2,4-triazole-3-thione analogues as metallo-β-lactamase inhibitors. Bioorganic Chem. 2021, 113, 105024. [Google Scholar] [CrossRef] [PubMed]
- Gavara, L.; Sevaille, L.; De Luca, F.; Mercuri, P.; Bebrone, C.; Feller, G.; Legru, A.; Cerboni, G.; Tanfoni, S.; Baud, D.; et al. 4-Amino-1,2,4-triazole-3-thione-derived Schiff bases as metallo-β-lactamase inhibitors. Eur. J. Med. Chem. 2020, 208, 112720. [Google Scholar] [CrossRef] [PubMed]
- Linciano, P.; Gianquinto, E.; Montanari, M.; Maso, L.; Bellio, P.; Cebrián-Sastre, E.; Celenza, G.; Blázquez, J.; Cendron, L.; Spyrakis, F.; et al. 4-Amino-1,2,4-triazole-3-thione as a Promising Scaffold for the Inhibition of Serine and Metallo-β-Lactamases. Pharmaceuticals 2020, 13, 52. [Google Scholar] [CrossRef] [PubMed] [Green Version]
- Legru, A.; Verdirosa, F.; Hernandez, J.F.; Tassone, G.; Sannio, F.; Benvenuti, M.; Conde, P.A.; Bossis, G.; Thomas, C.A.; Crowder, M.W.; et al. 1,2,4-Triazole-3-thione compounds with a 4-ethyl alkyl/aryl sulfide substituent are broad-spectrum metallo-β-lactamase inhibitors with re-sensitization activity. Eur. J. Med. Chem. 2021, 226, 113873. [Google Scholar] [CrossRef] [PubMed]
- Verdirosa, F.; Gavara, L.; Sevaille, L.; Tassone, G.; Corsica, G.; Legru, A.; Feller, G.; Chelini, G.; Mercuri, P.S.; Tanfoni, S.; et al. 1,2,4-Triazole-3-Thione Analogues with a 2-Ethylbenzoic Acid at Position 4 as VIM-type Metallo-β-Lactamase Inhibitors. ChemMedChem 2022, 17, e202100699. [Google Scholar] [CrossRef]
- Concha, N.O.; Janson, C.A.; Rowling, P.; Pearson, S.; Cheever, C.A.; Clarke, B.P.; Lewis, C.; Galleni, M.; Frère, J.-M.; Payne, D.J.; et al. Crystal Structure of the IMP-1 Metallo β-Lactamase from Pseudomonas aeruginosa and Its Complex with a Mercaptocarboxylate Inhibitor: Binding Determinants of a Potent, Broad-Spectrum Inhibitor. Biochemistry 2000, 39, 4288–4298. [Google Scholar] [CrossRef]
- Lisa, M.-N.; Palacios, A.R.; Aitha, M.; González, M.M.; Moreno, D.M.; Crowder, M.W.; Bonomo, R.A.; Spencer, J.; Tierney, D.L.; Llarrull, L.I.; et al. A general reaction mechanism for carbapenem hydrolysis by mononuclear and binuclear metallo-β-lactamases. Nat. Commun. 2017, 8, 538. [Google Scholar] [CrossRef]
- Meini, M.-R.; Llarrull, L.I.; Vila, A.J. Overcoming differences: The catalytic mechanism of metallo-β-lactamases. FEBS Lett. 2015, 589, 3419–3432. [Google Scholar] [CrossRef] [Green Version]
- Ju, L.-C.; Cheng, Z.; Fast, W.; Bonomo, R.A.; Crowder, M.W. The Continuing Challenge of Metallo-β-Lactamase Inhibition: Mechanism Matters. Trends Pharmacol. Sci. 2018, 39, 635–647. [Google Scholar] [CrossRef]
- Pemberton, O.A.; Tsivkovski, R.; Totrov, M.; Lomovskaya, O.; Chen, Y. Structural Basis and Binding Kinetics of Vaborbactam in Class A β-Lactamase Inhibition. Antimicrob. Agents Chemother. 2020, 64, e00398-20. [Google Scholar] [CrossRef]
- Lang, P.A.; Parkova, A.; Leissing, T.M.; Calvopiña, K.; Cain, R.; Krajnc, A.; Panduwawala, T.D.; Philippe, J.; Fishwick, C.W.G.; Trapencieris, P.; et al. Bicyclic Boronates as Potent Inhibitors of AmpC, the Class C β-Lactamase from Escherichia coli. Biomolecules 2020, 10, 899. [Google Scholar] [CrossRef] [PubMed]
- Farley, A.J.M.; Ermolovich, Y.; Calvopiña, K.; Rabe, P.; Panduwawala, T.; Brem, J.; Björkling, F.; Schofield, C.J. Structural Basis of Metallo-β-lactamase Inhibition by N-Sulfamoylpyrrole-2-carboxylates. ACS Infect. Dis. 2021, 7, 1809–1817. [Google Scholar] [CrossRef] [PubMed]
- Nauton, L.; Kahn, R.; Garau, G.; Hernandez, J.F.; Dideberg, O. Structural Insights into the Design of Inhibitors for the L1 Metallo-β-lactamase from Stenotrophomonas maltophilia. J. Mol. Biol. 2008, 375, 257–269. [Google Scholar] [CrossRef] [PubMed]
- Bush, K.; Bradford, P.A. β-Lactams and β-Lactamase Inhibitors: An Overview. Cold Spring Harb. Perspect. Med. 2016, 6, a025247. [Google Scholar] [CrossRef]
- Bloom, D.E.; Cadarette, D. Infectious Disease Threats in the Twenty-First Century: Strengthening the Global Response. Front. Immunol. 2019, 10, 549. [Google Scholar] [CrossRef] [Green Version]
- Alfei, S.; Schito, A.M. β-Lactam Antibiotics and β-Lactamase Enzymes Inhibitors, Part 2: Our Limited Resources. Pharmaceuticals 2022, 15, 476. [Google Scholar] [CrossRef]
- Vázquez-Ucha, J.C.; Arca-Suárez, J.; Bou, G.; Beceiro, A. New Carbapenemase Inhibitors: Clearing the Way for the β-Lactams. Int. J. Mol. Sci. 2020, 21, 9308. [Google Scholar] [CrossRef]
- Mojica, M.F.; Rossi, M.-A.; Vila, A.J.; Bonomo, R.A. The urgent need for metallo-β-lactamase inhibitors: An unattended global threat. Lancet Infect. Dis. 2022, 22, e28–e34. [Google Scholar] [CrossRef]
- Chalhoub, H.; Sáenz, Y.; Nichols, W.W.; Tulkens, P.M.; Van Bambeke, F. Loss of activity of ceftazidime-avibactam due to MexAB-OprM efflux and overproduction of AmpC cephalosporinase in Pseudomonas aeruginosa isolated from patients suffering from cystic fibrosis. Int. J. Antimicrob. Agents 2018, 52, 697–701. [Google Scholar] [CrossRef]
- Ortiz de la Rosa, J.M.; Nordmann, P.; Poirel, L. ESBLs and resistance to ceftazidime/avibactam and ceftolozane/tazobactam combinations in Escherichia coli and Pseudomonas aeruginosa. J. Antimicrob. Chemother. 2019, 74, 1934–1939. [Google Scholar] [CrossRef]














































| Mechanism of Action | Antimicrobial Groups (Antibiotic/s) | Mode(s) of Resistance |
|---|---|---|
| Inhibit Cell Wall Synthesis | β-Lactams | Hydrolysis, efflux, altered target |
| Carbapenems (meropenem) Cephalosporins (cephamycin) Monobactams (aztreonam) Penicillins (ampicillin) | ||
| Glycopeptides (vancomycin, teicoplanin) | Reprogramming peptidoglycan biosynthesis | |
| Depolarize Cell Membrane | Lipopeptides (daptomycin) | Altered target |
| Inhibit Protein Synthesis | Bind to 30S Ribosomal Subunit | Phosphorylation, acetylation, nucleotidylation, efflux, altered target |
| Aminoglycosides (gentamicin, streptomycin) | ||
| Tetracyclines (minocycline, tigecycline) | Monooxygenation, efflux, altered target | |
| Bind to 50S Ribosomal Subunit | ||
| Phenicols (Chloramphenicol) | Acetylation, efflux, altered target | |
| Lincosamides (clindamycin) | Nucleotidylation, efflux, altered target | |
| Macrolides (erythromycin, azithromicin) | Hydrolysis, glycosylation, phosphorylation, efflux, altered target | |
| Oxazolidinones (linezolid) | Efflux, altered target | |
| Streptogramins (synercid) | C-O lyase (type B streptogramins), acetylation (type A streptogramins), efflux, altered target | |
| Inhibit Nucleic Acid Synthesis | Quinolones (ciprofloxacin) | Acetylation, efflux, altered target |
| Fluoroquinolones | ||
| Inhibit Metabolic Pathways | Sulfonamides (sulfamethoxazole) | Efflux, altered target |
| Pyrimidines (Trimethoprim) | Efflux, altered target |
| Ambler | Bush | Substrate β-Lactam | Common Enzymes | Common Pathogens | Effective BLI |
|---|---|---|---|---|---|
| A | 2a | Penicillins | PC1 | S. aureus | Clavulanic acid, sulbactam, tazobactam |
| A | 2b | Penicillins and early cephalosporins | TEM-1, TEM-2, SHV-1 | E. coli, K. pneumoniae | Clavulanic acid, sulbactam, tazobactam, avibactam |
| A | 2be | Extended-spectrum cephalosporins, monobactams | TEM-2, SHV-2, CTX-M-15, PER-1, VEB-1, | E. coli, Klebsiella spp., Proteus spp. | Clavulanic acid |
| A | 2br | Penicillins | TEM-30, SHV-10 | E. coli, Klebsiella spp., Proteus spp. | Avibactam |
| A | 2ber | Extended-spectrum cephalosporins, monobactams | TEM-50 | Avibactam | |
| A | 2c | Carbenicillin | PSE-1, CARB-3 | Clavulanic acid | |
| A | 2ce | Carbenicillin, cefepime | RTG-4 | Clavulanic acid | |
| A | 2e | Extended-spectrum cephalosporins | CepA | E. coli, B. fragilis, E. cloacae | Clavulanic acid |
| A | 2f | Carbapenems | KPC-2, IMI-1, SME-1 | K. pneumoniae, Serratia spp. | |
| B | 3a | Carbapenems | IMP-1, VIM-1, IND-1, CerA, NDM-1 | P. aeruginosa, K. pneumoniae, A. baumannii, S. maltophilia | |
| B | 3b | Carbapenems | CphA, Sfh-1 | ||
| C | 1 | Cephalosporins | AmpC, P99, ACT-1, CMY-2, FOX-1, MIR-1 | Enterobacter spp., E. coli, P. aeruginosa, Serratia spp., C. freundii | |
| C | 1e | Cephalosporins | GC-1, CMY-37 | Tazobactam | |
| D | 2d | Cloxacillin | OXA-1, OXA-10 | K. pneumoniae, E. coli, A. baumannii | |
| D | 2de | Extended-spectrum cephalosporins | OXA-11, OXA-15 | Avibactam | |
| D | 2df | Carbapenems | OXA-23, OXA-48 | Avibactam |
| Carbapenemases [31,32] | Extended Spectrum β-Lactamases [27,33,34] | ||||
|---|---|---|---|---|---|
| Serine Carbapenemases | Metallo-Carbapenemases | Serine β-Lactamases | |||
| Class A | Class D | B1 | B2 | B3 | Class A |
| KPC, SME, NMC-A, IML, GES-2 | OXA-23, OXA-24/40, OXA-48 | IMP, VIM, NDM | CphA | L1C | TEM, SHV, CTX-M, VEB, PER, IRT, CMT, GES, BEL, TLA, SFO |
| Class D | |||||
| OXA-11, OXA-14, OXA-15, OXA-17 | |||||
Publisher’s Note: MDPI stays neutral with regard to jurisdictional claims in published maps and institutional affiliations. |
© 2022 by the authors. Licensee MDPI, Basel, Switzerland. This article is an open access article distributed under the terms and conditions of the Creative Commons Attribution (CC BY) license (https://creativecommons.org/licenses/by/4.0/).
Share and Cite
Iqbal, Z.; Sun, J.; Yang, H.; Ji, J.; He, L.; Zhai, L.; Ji, J.; Zhou, P.; Tang, D.; Mu, Y.; et al. Recent Developments to Cope the Antibacterial Resistance via β-Lactamase Inhibition. Molecules 2022, 27, 3832. https://doi.org/10.3390/molecules27123832
Iqbal Z, Sun J, Yang H, Ji J, He L, Zhai L, Ji J, Zhou P, Tang D, Mu Y, et al. Recent Developments to Cope the Antibacterial Resistance via β-Lactamase Inhibition. Molecules. 2022; 27(12):3832. https://doi.org/10.3390/molecules27123832
Chicago/Turabian StyleIqbal, Zafar, Jian Sun, Haikang Yang, Jingwen Ji, Lili He, Lijuan Zhai, Jinbo Ji, Pengjuan Zhou, Dong Tang, Yangxiu Mu, and et al. 2022. "Recent Developments to Cope the Antibacterial Resistance via β-Lactamase Inhibition" Molecules 27, no. 12: 3832. https://doi.org/10.3390/molecules27123832
APA StyleIqbal, Z., Sun, J., Yang, H., Ji, J., He, L., Zhai, L., Ji, J., Zhou, P., Tang, D., Mu, Y., Wang, L., & Yang, Z. (2022). Recent Developments to Cope the Antibacterial Resistance via β-Lactamase Inhibition. Molecules, 27(12), 3832. https://doi.org/10.3390/molecules27123832

