Synthesis and Antimicrobial Activity Screening of Piperazines Bearing N,N′-Bis(1,3,4-thiadiazole) Moiety as Probable Enoyl-ACP Reductase Inhibitors
Abstract
:1. Introduction
2. Results and Discussion
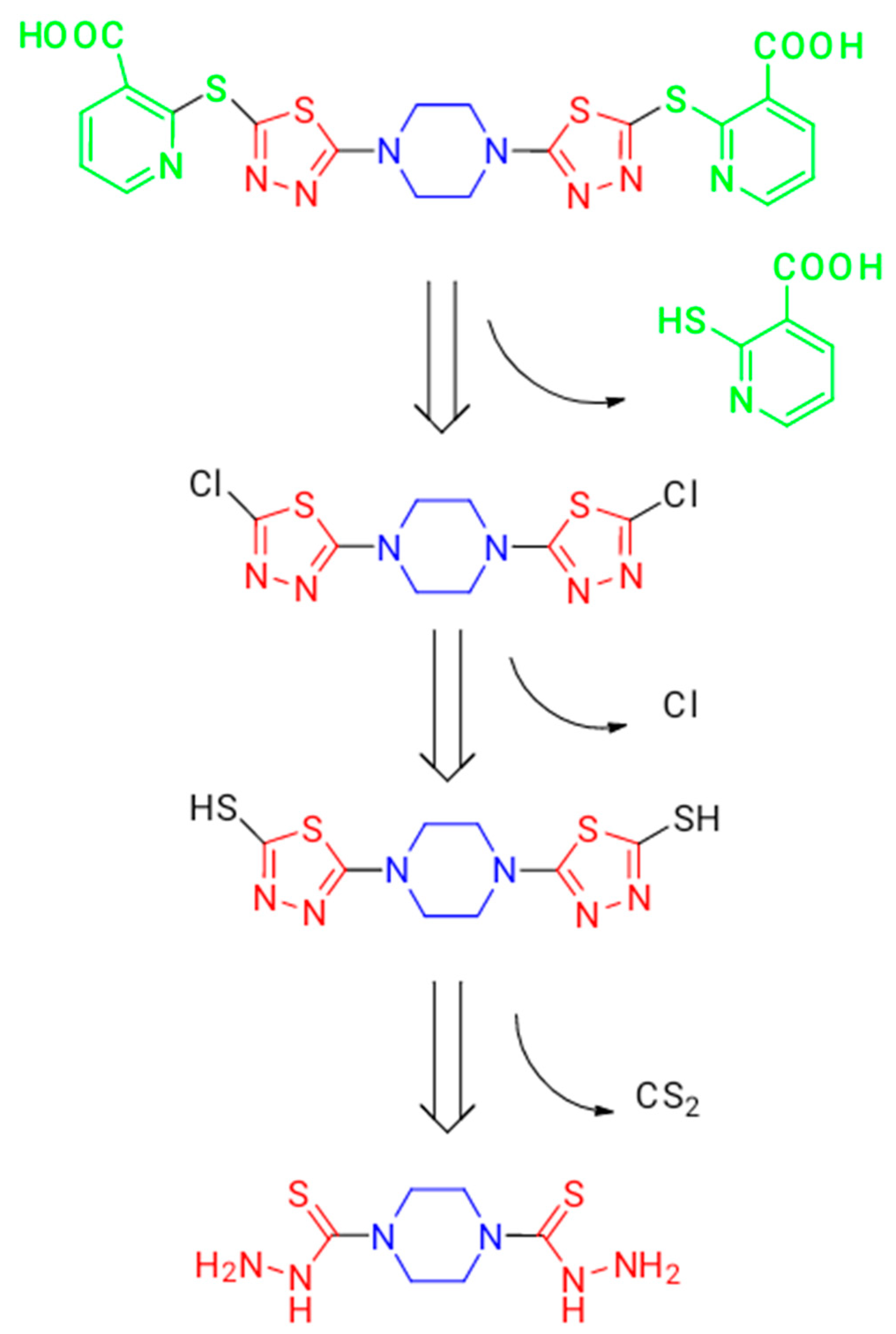
2.1. Chemistry
2.2. Antimicrobial Studies
2.3. Molecular Docking Studies
3. Experimental
3.1. Instruments and Apparatus
3.2. Agar Disk-Diffusion Method
3.3. Determination of MIC
3.4. Docking Program
3.5. Synthesis of Compounds 2–10
3.5.1. 1,4-Bis(5-hydrazinyl-1,3,4-thiadiazol-2-yl)piperazine 2
3.5.2. 1,4-Bis(5-chloro-1,3,4-thiadiazol-2-yl)piperazine 3
3.5.3. 1,4-Bis(3-methyl-1,2,4-triazolo[3,4-b]-1,3,4-thiadiazol-6-yl) piperazine 4
3.5.4. 6,6′-(Piperazin-1,4-diyl)bis(1,2,4-triazolo[3,4-b]-1,3,4-thiadiazole-3-thiol) 5
3.5.5. 1,4-Bis(5-(thioaryl)-1,3,4-thiadiazol-2-yl)piperazine 6a–d
General Procedure
3.5.6. 1,4-Bis(5-(phenylthio)-1,3,4-thiadiazol-2-yl)piperazine 6a
3.5.7. 1,4-Bis(5-(4-nitrophenylthio)-1,3,4-thiadiazol-2-yl)piperazine 6b
3.5.8. 1,4-Bis(5-(4-bromophenylthio)-1,3,4-thiadiazol-2-yl)piperazine 6c
3.5.9. 1,4-Bis(5-(4-methylphenylthio)-1,3,4-thiadiazol-2-yl)piperazine 6d
3.5.10. 2,2′-((Piperazin-1,4-diyl)bis(1,3,4-thiadiazol-5,2-diyl))bis acids 7a,b and 8
3.5.11. 2,2′-((Piperazin-1,4-diyl)bis(1,3,4-thiadiazol-5,2-diyl))bis(sulfanediyl)dibenzoic acid 7a
3.5.12. 2,2′-((Piperazin-1,4-diyl)bis(1,3,4-thiadiazol-5,2-diyl))bis(sulfanediyl)bis(1,2-dihydro-pyridine-3-carboxylic acid) 7b
3.5.13. 2,2′-((Piperazin-1,4-diyl)bis(1,3,4-thiadiazol-5,2-diyl))bisthioglycolic acid 8
3.5.14. 5,5′-(Piperazine-1,4-diyl)bis(N-phenyl-1,3,4-thiadiazol-2-amine) 9 and 1,4-bis(5-morpho-lino-1,3,4-thiadiazol-2-yl)piperazine 10
3.5.15. 5,5′-(Piperazine-1,4-diyl)bis(N-phenyl-1,3,4-thiadiazol-2-amine) 9
3.5.16. 1,4-Bis(5-morpholino-1,3,4-thiadiazol-2-yl)piperazine 10
4. Conclusions
Author Contributions
Funding
Institutional Review Board Statement
Informed Consent Statement
Data Availability Statement
Conflicts of Interest
Sample Availability
References
- Hooper, D.C. Mechanisms of Action of Antimicrobials: Focus on Fluoroquinolones. Clin. Infect. Dis. 2001, 32, S9–S15. [Google Scholar] [CrossRef] [PubMed]
- Kharb, R.; Sharma, P.C.; Bhandari, A.; Yar, M.S. Synthesis, spectral characterization and anthelmintic evaluation of some novel imidazole bearing triazole derivatives. Der. Pharm. Lett. 2012, 4, 652–657. [Google Scholar]
- Bergler, H.; Wallner, P.; Ebeling, A.; Leitinger, B.; Fuchsbichler, S.; Aschauer, H.; Kollenz, G.; Högenauer, G.; Turnowsky, F. Protein EnvM is the NADH-dependent enoyl-ACP reductase (FabI) of Escherichia coli. J. Biol. Chem. 1994, 269, 5493–5496. [Google Scholar] [CrossRef]
- Heath, R.J.; Rock, C.O. Enoyl-Acyl Carrier Protein Reductase (fabI) Plays a Determinant Role in Completing Cycles of Fatty Acid Elongation in Escherichia coli. J. Biol. Chem. 1995, 270, 26538–26542. [Google Scholar] [CrossRef] [Green Version]
- Roujeinikova, A.; Levy, C.W.; Rowsell, S.; Sedelnikova, S.; Baker, P.; Minshull, C.A.; Mistry, A.; Colls, J.G.; Camble, R.; Stuitje, A.R.; et al. Crystallographic analysis of triclosan bound to enoyl reductase. J. Mol. Biol. 1999, 294, 527–535. [Google Scholar] [CrossRef]
- Sonia, G.; Ravi, T.K. Oxadiazolo pyrrolidine carboxamides as enoyl-ACP reductase inhibitors: Design, synthesis and antitubercular activity screening. Med. Chem. Res. 2012, 22, 3428–3433. [Google Scholar] [CrossRef]
- Sonia, G.; Ravi, T. Design, synthesis and antitubercular screening of certain novel thiadiazolyl pyrrolidine carboxamides as enoyl acp reductase inhibitors. Int. J. Pharm. Sci. 2011, 3, 280–284. [Google Scholar]
- Kuo, M.R.; Morbidoni, H.R.; Alland, D.; Sneddon, S.F.; Gourlie, B.B.; Staveski, M.M.; Leonard, M.; Gregory, J.S.; Janjigian, A.D.; Yee, C.; et al. Targeting tuberculosis and malaria through inhibition of enoyl reductase: Compound activity and structural data. J. Biol. Chem. 2003, 278, 20851–20859. [Google Scholar] [CrossRef] [Green Version]
- Kulig, K.; Sapa, J.; Maciag, D.; Filipek, B.; Malawska, B. Synthesis and Pharmacological Evaluation of New 1-[3-(4-Arylpiperazin-1-yl)-2-hydroxypropyl]-pyrrolidin-2-one Derivatives with Anti arrhy-thmic, Hypotensive, and α-Adrenolytic Activity. Int. J. Pharm. Med. Chem. 2007, 340, 466–475. [Google Scholar] [CrossRef]
- Pietrzycka, A.; Stepniewski, M.; Waszkielewicz, A.M.; Marona, H. Preliminary evaluation of antioxidant activity of some 1-(phenoxyethyl)-piperazine derivatives. Acta Pol. Pharm. 2007, 63, 19–24. [Google Scholar]
- Faist, J.; Seebacher, W.; Saf, R.; Brun, R.; Kaiser, M.; Weis, R. New N-methylpiperazinyl derivatives of bicyclic antiprotozoal compounds. Eur. J. Med. Chem. 2011, 47, 510–519. [Google Scholar] [CrossRef] [PubMed]
- Upadhayaya, R.S.; Sinha, N.; Jain, S.; Kishore, N.; Chandra, R.; Arora, S.K. Optically active antifungal azoles: Synthesis and antifungal activity of (2R, 3S)-2-(2, 4-difluorophenyl)-3-(5-{2-[4-aryl-piperazin-1-yl]-ethyl}-tetrazol-2-yl/1-yl)-1-[1,2,4]-triazol-1-yl-butan-2-ol. Bioorg. Med. Chem. 2004, 2, 2225–2238. [Google Scholar] [CrossRef]
- Kaiser, C.; Audia, V.H.; Carter, J.P.; McPherson, D.W.; Waid, P.P.; Lowe, V.C.; Noronha-Blob, L. Synthesis and antimuscarinic activity of some 1-cycloalkyl-1-hydroxy-1-phenyl-3-(4-substituted piperazinyl)-2-propanones and related compounds. J. Med. Chem. 1993, 36, 610–616. [Google Scholar] [CrossRef] [PubMed]
- Sah, P.; Bidawat, P.; Seth, M.; Gharu, C.P. Synthesis of formazans from Mannich base of 5-(4-chlorophenyl amino)-2-mercapto-1,3,4-thiadiazole as antimicrobial agents. Arab. J. Chem. 2014, 7, 181–187. [Google Scholar] [CrossRef] [Green Version]
- Almajan, G.L.; Barbuceanu, S.-F.; Bancescu, G.; Saramet, I.; Saramet, G.; Draghici, C. Synthesis and antimicrobial evaluation of some fused heterocyclic [1,2,4]triazolo[3,4-b][1,3,4]thiadiazole derivatives. Eur. J. Med. Chem. 2010, 45, 6139–6146. [Google Scholar] [CrossRef] [PubMed]
- Alagawadi, K.R.; Alegaon, S. Synthesis, characterization and antimicrobial activity evaluation of new 2,4-Thiazolidinediones bearing imidazo[2,1-b][1,3,4]thiadiazole moiety. Arab. J. Chem. 2011, 4, 465–472. [Google Scholar] [CrossRef] [Green Version]
- Swamy, S.N.; Basappa; Priya, B.S.; Prabhuswamy, B.; Doreswamy, B.H.; Prasad, J.S.; Rangappa, K.S. Synthesis of pharmaceutically important condensed heterocyclic 4,6-disubstituted-1,2,4-triazolo-1,3,4-thiadiazole derivatives as antimicrobials. Eur. J. Med. Chem. 2006, 41, 531–538. [Google Scholar] [CrossRef]
- Shen, X.-Q.; Zhong, H.-J.; Zheng, H.; Zhang, H.-Y.; Zhao, G.-H.; Wu, Q.-A.; Mao, H.-Y.; Wang, E.-B.; Zhu, Y. Crystal structure, thermal decomposition kinetics and antimicrobial activities of [Zn (eatz)2 (OAc)2](eatz= 5-ethyl-2-amino-1,3,4-thiadiazole). Polyhedron 2004, 23, 1851–1857. [Google Scholar] [CrossRef]
- Popiołek, Ł.; Kosikowska, U.; Mazur, L.; Dobosz, M.; Malm, A. Synthesis and antimicrobial evaluation of some novel 1, 2, 4-triazole and 1, 3, 4-thiadiazole derivatives. Med. Chem. Res. 2013, 22, 3134–3147. [Google Scholar] [CrossRef] [Green Version]
- Kadi, A.A.; Al-Abdullah, E.S.; Shehata, I.A.; Habib, E.E.; Ibrahim, T.M.; El-Emam, A.A. Synthesis, antimicrobial and anti-inflammatory activities of novel 5-(1-adamantyl)-1,3,4-thiadiazole derivatives. Eur. J. Med. Chem. 2010, 45, 5006–5011. [Google Scholar] [CrossRef]
- Fustero, S.; Sánchez-Roselló, M.; Barrio, P.; Simón-Fuentes, A. From 2000 to Mid-2010: A Fruitful Decade for the Synthesis of Pyrazoles. Chem. Rev. 2011, 111, 6984–7034. [Google Scholar] [CrossRef]
- Sridharan, V.; Suryavanshi, P.A.; Menéndez, J.C. Advances in the Chemistry of Tetrahydroquinolines. Chem. Rev. 2011, 111, 7157–7259. [Google Scholar] [CrossRef] [PubMed]
- Katritzky, A.R.; Rachwal, S. Synthesis of Heterocycles Mediated by Benzotriazole. 1. Monocyclic Systems. Chem. Rev. 2009, 110, 1564–1610. [Google Scholar] [CrossRef] [PubMed]
- Katritzky, A.R.; Rachwal, S. Synthesis of Heterocycles Mediated by Benzotriazole. 2. Bicyclic Systems. Chem. Rev. 2011, 111, 7063–7120. [Google Scholar] [CrossRef] [PubMed]
- Churakov, A.M.; Tartakovsky, V.A. Progress in 1, 2, 3, 4-Tetrazine Chemistry. Chem. Rev. 2004, 104, 2601–2616. [Google Scholar] [CrossRef]
- Dondoni, A.; Marra, A. Thiazole-Mediated Synthetic Methodology. Chem. Rev. 2004, 104, 2557–2600. [Google Scholar] [CrossRef]
- Talath, S.; Gadad, A. Synthesis, antibacterial and antitubercular activities of some 7-[4-(5-amino-[1,3,4]thiadiazole-2-sulfonyl)-piperazin-1-yl]fluoroquinolonic derivatives. Eur. J. Med. Chem. 2006, 41, 918–924. [Google Scholar] [CrossRef]
- Kolavi, G.; Hegde, V.; Khazi, I.; Gadadb, P. Synthesis and evaluation of antitubercular activity of imidazo [2,1-b][1,3,4]thiadiazole derivatives. Bioorg. Med. Chem. 2006, 14, 3069–3080. [Google Scholar] [CrossRef]
- Sunil, D.; Isloor, A.M.; Shetty, P.; Satyamoorthy, K.; Prasad, A.B. 6-[3-(4-Fluorophenyl)-1H-pyrazol-4-yl]-3-[(2-naphthyloxy)methyl][1,2,4]triazolo[3,4-b][1,3,4]thiadiazole as a potent antioxidant and an anticancer agent induces growth inhibition followed by apoptosis in HepG2 cells. Arab. J. Chem. 2010, 3, 211–217. [Google Scholar] [CrossRef] [Green Version]
- Khan, I.; Ali, S.; Hameed, S.; Rama, N.H.; Hussain, M.T.; Wadood, A.; Uddin, R.; Ul-Haq, Z.; Khan, A.; Ali, S.; et al. Synthesis, antioxidant activities and urease inhibition of some new 1,2,4-triazole and 1,3,4-thiadiazole derivatives. Eur. J. Med. Chem. 2010, 45, 5200–5207. [Google Scholar] [CrossRef]
- Schenone, S.; Brullo, C.; Bruno, O.; Bondavalli, F.; Ranise, A.; Filippelli, W.; Rinaldi, B.; Capuano, A.; Falcone, G. New 1,3,4-thiadiazole derivatives endowed with analgesic and anti-inflammatory activities. Bioorg. Med. Chem. 2006, 14, 1698–1705. [Google Scholar] [CrossRef] [PubMed]
- Hafez, H.; Hegab, M.; Ahmed-Farag, I.; el-Gazzar, A.B.A. A facile regioselective synthesis of novel spiro-thioxanthene and spiro-xanthene-9′, 2-[1,3,4] thiadiazole derivatives as potential analgesic and anti-inflammatory agents. Bioorg. Med. Chem. Lett. 2008, 18, 4538–4543. [Google Scholar] [CrossRef] [PubMed]
- Salgın-Gökşen, U.; Gökhan-Kelekçi, N.; Göktaş, Ö.; Köysal, Y.; Kılıç, E.; Işık, A.; Aktay, G.; Özalp, M. 1-Acylthiosemicarbazides, 1,2,4-triazole-5(4H)-thiones, 1,3,4-thiadiazoles and hydrazones containing 5-methyl-2-benzoxazolinones: Synthesis, analgesic-anti-inflammatory and antimicrobial activities. Bioorg. Med. Chem. 2007, 15, 5738–5751. [Google Scholar] [CrossRef] [PubMed]
- Jatav, V.; Mishra, P.; Kashaw, S.K.; Stables, J.P. CNS depressant and anticonvulsant activities of some novel 3-[5-substituted 1,3,4-thiadiazole-2-yl]-2-styryl quinazoline-4(3H)-ones. Eur. J. Med. Chem. 2008, 43, 1945–1954. [Google Scholar] [CrossRef]
- Clerici, F.; Pocar, D.; Guido, M.; Loche, A.; Perlini, V.; Brufani, M. Synthesis of 2-Amino-5-sulfanyl-1,3,4-thiadiazole Derivatives and Evaluation of Their Antidepressant and Anxiolytic Activity. J. Med. Chem. 2001, 44, 931–936. [Google Scholar] [CrossRef]
- Hasui, T.; Matsunaga, N.; Ora, T.; Ohyabu, N.; Nishigaki, N.; Imura, Y.; Igata, Y.; Matsui, H.; Motoyaji, T.; Tanaka, T.; et al. Identification of Benzoxazin-3-one Derivatives as Novel, Potent, and Selective Nonsteroidal Mineralocorticoid Receptor Antagonists. J. Med. Chem. 2011, 54, 8616–8631. [Google Scholar] [CrossRef]
- Rzeski, W.; Matysiak, J.; Kandefer-Szerszeń, M. Anticancer, neuroprotective activities and computational studies of 2-amino-1,3,4-thiadiazole based compound. Bioorg. Med. Chem. 2007, 15, 3201–3207. [Google Scholar] [CrossRef]
- Noolvi, M.N.; Patel, H.M.; Singh, N.; Gadad, A.K.; Cameotra, S.S.; Badiger, A. Synthesis and anticancer evaluation of novel 2-cyclopropylimidazo[2,1-b][1,3,4]-thiadiazole derivatives. Eur. J. Med. Chem. 2011, 46, 4411–4418. [Google Scholar] [CrossRef]
- Terzioglu, N.; Gürsoy, A. Synthesis and anticancer evaluation of some new hydrazone derivatives of 2,6-dimethylimidazo[2,1-b][1,3,4]thiadiazole-5-carbohydrazide. Eur. J. Med. Chem. 2003, 38, 781–786. [Google Scholar] [CrossRef]
- Karki, S.S.; Panjamurthy, K.; Kumar, S.; Nambiar, M.; Ramareddy, S.A.; Chiruvella, K.K.; Raghavan, S.C. Synthesis and biological evaluation of novel 2-aralkyl-5-substituted-6-(4′-fluorophenyl)-imidazo[2,1-b][1,3,4]thiadiazole derivatives as potent anticancer agents. Eur. J. Med. Chem. 2011, 46, 2109–2116. [Google Scholar] [CrossRef]
- Yang, X.-H.; Wen, Q.; Zhao, T.-T.; Sun, J.; Li, X.; Xing, M.; Lu, X.; Zhu, H.-L. Synthesis, biological evaluation, and molecular docking studies of cinnamic acyl 1,3,4-thiadiazole amide derivatives as novel antitubulin agents. Bioorg. Med. Chem. 2012, 20, 1181–1187. [Google Scholar] [CrossRef] [PubMed]
- Rajak, H.; Agarawal, A.; Parmar, P.; Thakur, B.S.; Veerasamy, R.; Sharma, P.C.; Kharya, M.D. 2,5-Disubstituted-1,3,4-oxadiazoles/thiadiazole as surface recognition moiety: Design and synthesis of novel hydroxamic acid based histone deacetylase inhibitors. Bioorg. Med. Chem. Lett. 2011, 21, 5735–5738. [Google Scholar] [CrossRef] [PubMed]
- Ibrahim, D. Synthesis and biological evaluation of 3,6-disubstituted [1,2,4]triazolo[3,4-b][1,3,4]thiadiazole derivatives as a novel class of potential anti-tumor agents. Eur. J. Med. Chem. 2009, 44, 2776–2781. [Google Scholar] [CrossRef] [PubMed]
- Chen, C.-J.; Song, B.-A.; Yang, S.; Xu, G.; Bhadury, P.S.; Jin, L.-H.; Hu, D.-Y.; Li, Q.; Liu, F.; Xue, W.; et al. Synthesis and antifungal activities of 5-(3,4,5-trimethoxyphenyl)-2-sulfonyl-1,3,4-thiadiazole and 5-(3,4,5-trimethoxyphenyl)-2-sulfonyl-1,3,4-oxadiazole derivatives. Bioorg. Med. Chem. 2007, 15, 3981–3989. [Google Scholar] [CrossRef] [PubMed]
- Liu, F.; Luo, X.-Q.; Song, B.-A.; Bhadury, P.S.; Yang, S.; Jin, L.-H.; Xue, W.; Hu, D.-Y. Synthesis and antifungal activity of novel sulfoxide derivatives containing trimethoxyphenyl substituted 1,3,4-thiadiazole and 1,3,4-oxadiazole moiety. Bioorg. Med. Chem. 2008, 16, 3632–3640. [Google Scholar] [CrossRef] [PubMed]
- Liu, X.-H.; Shi, Y.-X.; Ma, Y.; Zhang, C.-Y.; Dong, W.-L.; Pan, L.; Wang, B.-L.; Li, B.-J.; Li, Z.-M. Synthesis, antifungal activities and 3D-QSAR study of N-(5-substituted-1,3,4-thiadiazol-2-yl)cyclopropanecarboxamides. Eur. J. Med. Chem. 2009, 44, 2782–2786. [Google Scholar] [CrossRef]
- Zoumpoulakis, P.; Camoutsis, C.; Pairas, G.; Soković, M.; Glamočlija, J.; Potamitis, C.; Pitsas, A. Synthesis of novel sulfonamide-1,2,4-triazoles, 1,3,4-thiadiazoles and 1,3,4-oxadiazoles, as potential antibacterial and antifungal agents. Biological evaluation and conformational analysis studies. Bioorg. Med. Chem. 2012, 20, 1569–1583. [Google Scholar] [CrossRef]
- Khalaj, A.; Nakhjiri, M.; Negahbani, A.S.; Samadizadeh, M.; Firoozpour, L.; Rajabalian, S.; Samadi, N.; Faramarzi, M.A.; Adibpour, N.; Shafiee, A.; et al. Discovery of a novel nitroimidazolyl–oxazolidinone hybrid with potent anti Gram-positive activity: Synthesis and antibacterial evaluation. Eur. J. Med. Chem. 2011, 46, 65–70. [Google Scholar] [CrossRef]
- Foroumadi, A.; Emami, S.; Hassanzadeh, A.; Rajaee, M.; Sokhanvar, K.; Moshafi, M.H.; Shafiee, A. Synthesis and antibacterial activity of N-(5-benzylthio-1,3,4-thiadiazol-2-yl) and N-(5-benzylsulfonyl-1,3,4-thiadiazol-2-yl)piperazinyl quinolone derivatives. Bioorg. Med. Chem. Lett. 2005, 15, 4488–4492. [Google Scholar] [CrossRef]
- Yang, F.; Jian, X.-E.; Diao, P.-C.; Huo, X.; You, W.; Zhao, P. Synthesis, and biological evaluation of 3, 6-diaryl-[1, 2,4] triazolo [4,3-a] pyridine analogues as new potent tubulin polymerization inhibitors. Eur. J. Med. Chem. 2020, 204, 112625. [Google Scholar] [CrossRef]
- Huo, X.-S.; Jian, X.-E.; Ou-Yang, J.; Chen, L.; Yang, F.; Lv, D.-X.; You, W.-W.; Rao, J.-J.; Zhao, P.-L. Discovery of highly potent tubulin polymerization inhibitors: Design, synthesis, and structure-activity relationships of novel 2,7-diaryl-[1,2,4]triazolo[1,5-a]pyrimidines. Eur. J. Med. Chem. 2021, 220, 113449. [Google Scholar] [CrossRef] [PubMed]
- Yang, F.; Chen, L.; Lai, J.-M.; Jian, X.-E.; Lv, D.-X.; Yuan, L.-L.; Liu, Y.-X.; Liang, F.-T.; Zheng, X.-L.; Li, X.-L.; et al. Synthesis, biological evaluation, and structure-activity relationships of new tubulin polymerization inhibitors based on 5-amino-1,2,4-triazole scaffold. Bioorg. Med. Chem. Lett. 2021, 38, 127880. [Google Scholar] [CrossRef] [PubMed]
- Pahlavani, E.; Kargar, H.; Rad, N.S. A Study on Antitubercular and Antimicrobial Activity of Isoniazid Derivative. Zahedan J. Res. Med. Sci. 2015, 17, 1–4. [Google Scholar] [CrossRef] [Green Version]
- Qiu, X.; Abdel-Meguid, S.S.; Janson, C.A.; Court, R.I.; Smyth, M.G.; Payne, D.J. Molecular basis for triclosan activity involves a flipping loop in the active site. Protein Sci. 2008, 8, 2529–2532. [Google Scholar] [CrossRef] [PubMed] [Green Version]
- Omar, A.Z.; Mosa, T.M.; El-Sadany, S.K.; Hamed, E.A.; El-Atawy, M. Novel piperazine based compounds as potential inhibitors for SARS-CoV-2 Protease Enzyme: Synthesis and molecular docking study. J. Mol. Struct. 2021, 1245, 131020. [Google Scholar] [CrossRef] [PubMed]
- El Ashry, E.S.H.; Awad, L.F.; Teleb, M.; Ibrahim, N.A.; Abu-Serie, M.M.; Al Moaty, M.N.A. Structure-based design and optimization of pyrimidine- and 1,2,4-triazolo[4,3-a]pyrimidine-based matrix metalloproteinase-10/13 inhibitors via Dimroth rearrangement towards targeted polypharmacology. Bioorg. Chem. 2020, 96, 103616. [Google Scholar] [CrossRef] [PubMed]
- Malm, J.; Hoernfeldt, A.-B.; Gronowitz, S.J. On the Reaction of Thieno (c)(1, 5) naphthyridine 5-Oxides and 9-Oxides with Thionyl Chloride and Thionyl Bromide. Some Selective Nucleophilic Reactions. Acta Chem. Scand. 1995, 49, 744. [Google Scholar] [CrossRef]
- Volk, B.; Milen, M.; Földesi, T.; Dancsó, A.; Simig, G. Synthesis of Three New Tricyclic Ring Systems: Pyrrolotriazepines Condensed with an Imidazole, a Triazole, or a Tetrazole Ring. Synlett 2015, 26, 2418–2424. [Google Scholar] [CrossRef]
- El-Atawy, M.A.; Hamed, E.A.; Alhadi, M.; Omar, A.Z. Synthesis and antimicrobial activity of some new substituted quinoxalines. Molecules 2019, 24, 4198. [Google Scholar] [CrossRef] [Green Version]
- Foster, J.W.; Woodruff, H.B. Microbiological Aspects of Penicillin: VI. Procedure for the Cup Assay for Penicillin. J. Bacteriol. 1944, 47, 43–58. [Google Scholar] [CrossRef] [Green Version]
- Miller, R.E.; Rose, S.B. Studies with the Agar Cup-Plate Method: III. The Influence of Agar on Mercury Antiseptics. J. Bacteriol. 1939, 38, 539–547. [Google Scholar] [CrossRef] [PubMed] [Green Version]
- Ge, B.; Bodeis, S.; Walker, R.D.; White, D.G.; Zhao, S.; McDermott, P.F.; Meng, J. Comparison of the Etest and agar dilution for in vitro antimicrobial susceptibility testing of Campylobacter. J. Antimicrob. Chemother. 2002, 50, 487–494. [Google Scholar] [CrossRef] [PubMed] [Green Version]
- Takhi, M.; Sreenivas, K.; Reddy, C.K.; Munikumar, M.; Praveena, K.; Sudheer, P.; Rao, B.N.; Ramakanth, G.; Sivaranjani, J.; Mulik, S.; et al. Discovery of azetidine based ene-amides as potent bacterial enoyl ACP reductase (FabI) inhibitors. Eur. J. Med. Chem. 2014, 84, 382–394. [Google Scholar] [CrossRef] [PubMed]
- Panicker, C.Y.; Varghese, H.T.; Manjula, P.; Sarojini, B.K.; Narayana, B.; War, J.A.; Srivastava, S.K.; Van Alsenoy, C.; Abdulaziz, A. FT-IR, HOMO–LUMO, NBO, MEP analysis and molecular docking study of 3-Methyl-4-{(E)-[4-(methylsulfanyl)-benzylidene] amino} 1H-1, 2, 4-triazole-5 (4H)-thione. Mol. BioMol. Spectrosc. 2015, 151, 198–207. [Google Scholar] [CrossRef]
- Kini, S.G.; Bhat, A.R.; Bryant, B.; Williamson, J.S.; Dayan, F.E. Synthesis, antitubercular activity and docking study of novel cyclic azole substituted diphenyl ether derivatives. Eur. J. Med. Chem. 2009, 44, 492–500. [Google Scholar] [CrossRef]
- Hirschbeck, M.W.; Kuper, J.; Lu, H.; Liu, N.; Neckles, C.; Shah, S.; Wagner, S.; Sotriffer, C.A.; Tonge, P.J.; Kisker, C. Structure of the Yersinia pestis FabV Enoyl-ACP Reductase and Its Interaction with Two 2-Pyridone Inhibitors. Structure 2012, 20, 89–100. [Google Scholar] [CrossRef] [Green Version]
- Jamshidvand, A.; Sahihi, M.; Mirkhani, V.; Moghadam, M.; Mohammadpoor-Baltork, I.; Tangestaninejad, S.; Rudbari, H.A.; Kargar, H.; Keshavarzi, R.; Gharaghani, S. Studies on DNA binding properties of new Schiff base ligands using spectroscopic, electrochemical and computational methods: Influence of substitutions on DNA-binding. J. Mol. Liq. 2018, 253, 61–71. [Google Scholar] [CrossRef]
- Balouiri, M.; Sadiki, M.; Ibnsouda, S.K. Methods for in vitro evaluating antimicrobial activity. J. Pharm. Anal. 2016, 6, 71–79. [Google Scholar] [CrossRef] [Green Version]







| Compounds | Antibacterial Activity Zone of Inhibition (mm) | Antifungal Activity Zone of Inhibition (mm) | ||||
|---|---|---|---|---|---|---|
| G+ Bacteria | G− Bacteria | |||||
| S. aureus | B. subtilis | E. coli | P. vulgaris | C. albicans | A. flavus | |
| 2 | 26 | 24 | 27 | 16 | 18 | 11 |
| 3 | 21 | 22 | 30 | 27 | 18 | 15 |
| 4 | 38 | 25 | 29 | 15 | 18 | 16 |
| 5 | 19 | 18 | 31 | 15 | 19 | 14 |
| 6a | 22 | 24 | 34 | 23 | 17 | 11 |
| 6b | 21 | 25 | 35 | 19 | 15 | 17 |
| 6c | 30 | 23 | 36 | 24 | 13 | 12 |
| 6d | 32 | 39 | 35 | 10 | 8 | 10 |
| 7a | 23 | 19 | 36 | 24 | 11 | 10 |
| 7b | 22 | 32 | 35 | 20 | 11 | 11 |
| 8 | 15 | 13 | 33 | 22 | 10 | 15 |
| 9 | 23 | 10 | 31 | 11 | 10 | 6 |
| 10 | 20 | 11 | 31 | 19 | 11 | 7 |
| Ketoconazole | - | - | - | - | 20 | 16 |
| Gentamycin | 24 | 26 | 30 | 30 | - | - |
| Compounds | S. aureus | B. subtilis | E. coli | P. vulgaris |
|---|---|---|---|---|
| 2 | 32 | 32 | 64 | 256 |
| 3 | 64 | 32 | 16 | 32 |
| 4 | 16 | 32 | 32 | 256 |
| 5 | 64 | 256 | 32 | 256 |
| 6a | 32 | 32 | 16 | 64 |
| 6b | 64 | 32 | 16 | 256 |
| 6c | 16 | 64 | 8 | 64 |
| 6d | 16 | 16 | 16 | 256 |
| 7a | 32 | 64 | 16 | 64 |
| 7b | 32 | 16 | 16 | 64 |
| 8 | 265 | 256 | 16 | 64 |
| 9 | 32 | 256 | 32 | 256 |
| 10 | 63 | 256 | 32 | 256 |
| Gentamycin | 32 | 32 | 16 | 16 |
| Ligand | S (kcal/mol) | Distance (Å) between TYR 158 and Ligand | Type of Interaction | Distance (Å) | Energy of Each Interaction (kcal/mol) |
|---|---|---|---|---|---|
| 1 | −6.0611 | 3.89 | H-donor (ALA 191) | 3.56 | −1.0 |
| H-donor (GLY 96) | 3.73 | −0.6 | |||
| 2 | −6.7247 | – | H-donor (THR 196) | 3.18 | −0.6 |
| H-acceptor (VAL 65) | 3.25 | 7.1 | |||
| 3 | −6.1899 | 3.93 | H-donor (GLY 96) | 3.42 | −0.6 |
| 4 | −6.6629 | 2.27 | H-donor (GLY 192) | 3.34 | −0.7 |
| H-acceptor (LYS 165) | 3.36 | 1.1 | |||
| pi-pi (PHE 149) | 3.65 | −0.1 | |||
| 5 | −6.0934 | 2.65 | H-donor (MET 103) | 3.96 | −1.5 |
| H-donor (PHE 41) | 3.30 | −1.7 | |||
| H-acceptor (PHE 41) | 3.36 | −0.9 | |||
| pi-H (ILE 16) | 3.71 | −0.6 | |||
| pi-H (MET 161) | 3.77 | −1.0 | |||
| pi-H (MET 161) | 4.25 | −0.7 | |||
| 6a | −8.3435 | 2.75 | H-donor (ILE 194) | 3.41 | −0.8 |
| H-donor (ILE 194) | 3.88 | −0.7 | |||
| H-acceptor (GLY 96) | 3.21 | −3.4 | |||
| pi-pi (PHE 149) | 3.90 | −0.1 | |||
| 6b | −9.9114 | 2.69 | H-donor (MET 199) | 3.81 | −0.7 |
| H-acceptor (GLY 96) | 3.40 | −2.1 | |||
| H-acceptor (GLY 14) | 3.26 | −0.8 | |||
| pi-pi (PHE 149) | 3.78 | −0.1 | |||
| 6c | −9.3629 | 2.07 | H-donor (THR 39) | 3.64 | −1.0 |
| H-donor (ALA 191) | 4.01 | −0.4 | |||
| H-donor (SER 94) | 4.07 | −1.4 | |||
| pi-pi (PHE 149) | 3.96 | −0.1 | |||
| 6d | −9.1279 | 2.67 | H-acceptor (GLY 96) | 3.07 | −3.1 |
| H-acceptor (ILE 194) | 3.47 | −1.0 | |||
| 7a | −9.3123 | 3.26 | H-donor (TYR 158) | 3.35 | −0.8 |
| H-acceptor (VAL 65) | 3.03 | −2.9 | |||
| 7b | −8.8790 | 2.72 | H-donor (ASP 64) | 2.73 | −6.4 |
| H-donor (TYR 158) | 3.63 | −1.2 | |||
| pi-H (GLY 96) | 4.38 | −2.3 | |||
| pi-H (PHE 149) | 3.89 | −1.0 | |||
| 8 | −7.4755 | 2.19 | H-donor (GLY 14) | 3.26 | −0.1 |
| H-donor (PHE 41) | 3.90 | −1.2 | |||
| 9 | −8.3385 | 2.60 | H-donor (GLY 96) | 3.39 | −0.9 |
| pi-pi (PHE 41) | 3.51 | −0.1 | |||
| 10 | −7.7983 | 2.60 | H-acceptor (LYS 165) | 3.25 | 3.2 |
| pi-H (GLY 96) | 4.11 | −0.6 | |||
| TCL | −5.8149 | 2.78 | H-donor (GLY 96) | 3.04 | −2.5 |
Publisher’s Note: MDPI stays neutral with regard to jurisdictional claims in published maps and institutional affiliations. |
© 2022 by the authors. Licensee MDPI, Basel, Switzerland. This article is an open access article distributed under the terms and conditions of the Creative Commons Attribution (CC BY) license (https://creativecommons.org/licenses/by/4.0/).
Share and Cite
Omar, A.Z.; Alshaye, N.A.; Mosa, T.M.; El-Sadany, S.K.; Hamed, E.A.; El-Atawy, M.A. Synthesis and Antimicrobial Activity Screening of Piperazines Bearing N,N′-Bis(1,3,4-thiadiazole) Moiety as Probable Enoyl-ACP Reductase Inhibitors. Molecules 2022, 27, 3698. https://doi.org/10.3390/molecules27123698
Omar AZ, Alshaye NA, Mosa TM, El-Sadany SK, Hamed EA, El-Atawy MA. Synthesis and Antimicrobial Activity Screening of Piperazines Bearing N,N′-Bis(1,3,4-thiadiazole) Moiety as Probable Enoyl-ACP Reductase Inhibitors. Molecules. 2022; 27(12):3698. https://doi.org/10.3390/molecules27123698
Chicago/Turabian StyleOmar, Alaa Z., Najla A. Alshaye, Tawfik M. Mosa, Samir K. El-Sadany, Ezzat A. Hamed, and Mohamed A. El-Atawy. 2022. "Synthesis and Antimicrobial Activity Screening of Piperazines Bearing N,N′-Bis(1,3,4-thiadiazole) Moiety as Probable Enoyl-ACP Reductase Inhibitors" Molecules 27, no. 12: 3698. https://doi.org/10.3390/molecules27123698
APA StyleOmar, A. Z., Alshaye, N. A., Mosa, T. M., El-Sadany, S. K., Hamed, E. A., & El-Atawy, M. A. (2022). Synthesis and Antimicrobial Activity Screening of Piperazines Bearing N,N′-Bis(1,3,4-thiadiazole) Moiety as Probable Enoyl-ACP Reductase Inhibitors. Molecules, 27(12), 3698. https://doi.org/10.3390/molecules27123698

