The Fight against Infection and Pain: Devil’s Claw (Harpagophytum procumbens) a Rich Source of Anti-Inflammatory Activity: 2011–2022
Abstract
:1. Introduction
2. Methodology
3. Results
3.1. Botanical Description of Harpagophytum procumbens
3.2. Traditional Uses of Harpagophytum procumbens as Bases of Investigation
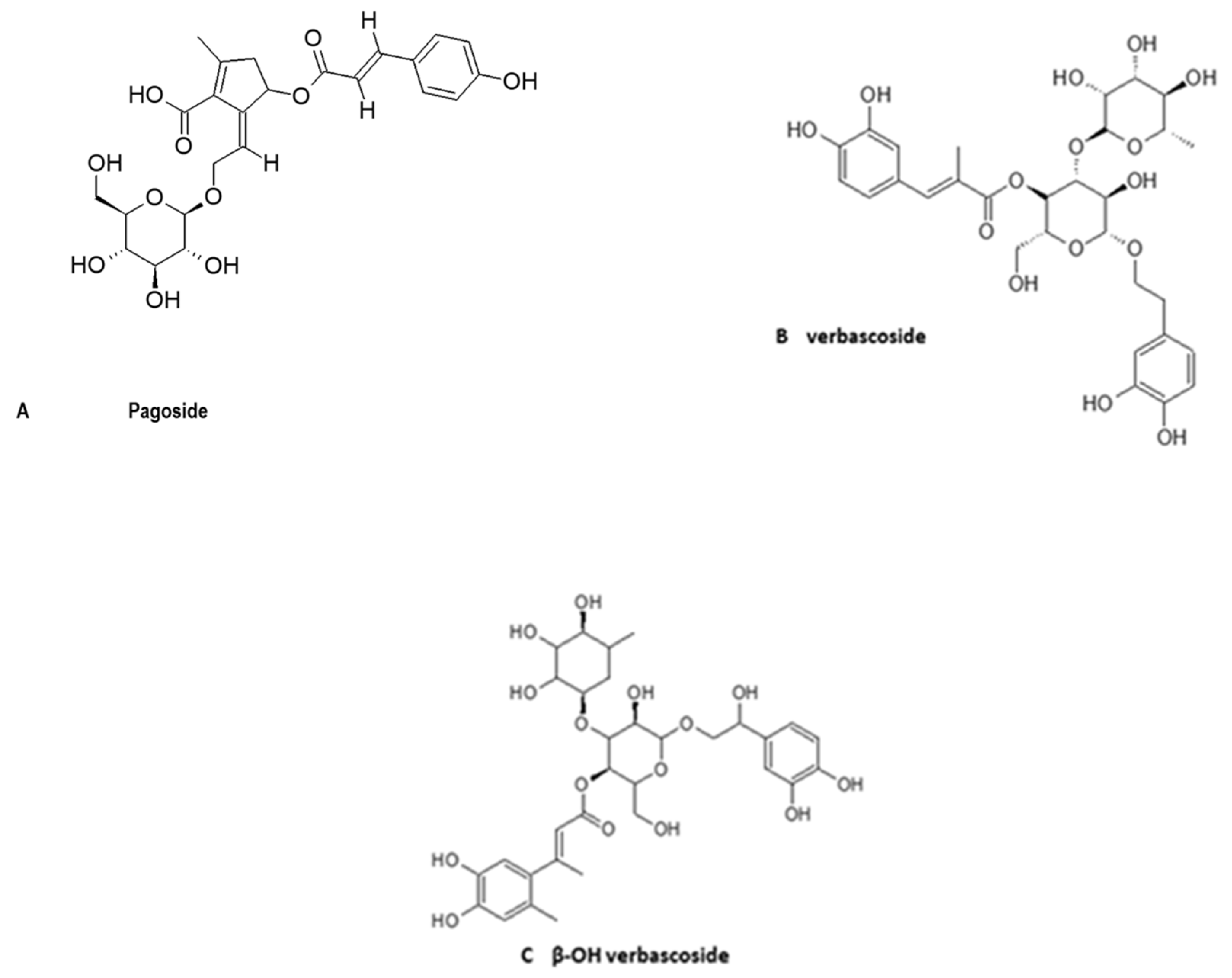
3.3. Phytochemistry of Harpagophytum procumbens
3.4. Anti-Inflammatory Properties of Harpagophytum procumbens
3.5. Analgesic Effects of Harpagophytum procumbens
3.6. Diseases Associated with Inflammation and Pain
3.7. Safety Aspects of Harpagophytum procumbens
4. Conclusions
Author Contributions
Funding
Acknowledgments
Conflicts of Interest
References
- Andrade, L.N.; Dos Reis Barreto de Oliveira, R.; De Sousa, D.P. A review on anti-inflammatory activity of phenylpropanoids found in essential oils. Molecules 2014, 19, 1459–1480. [Google Scholar]
- Abdulhussein, A.J.; HattabMutlag, S.; Khamees, A.H.; Sahib, H.; Ghazi, M.F. Evaluation of antiangiogenic and antioxidant activity of Harpagophytum procumbens (devil’s claw). Drug Invent. Today 2018, 10, 3542–3545. [Google Scholar]
- Adebayo, S.A.; Amoo, S.O. South African botanical resources: A gold mine of natural pro-inflammatory enzyme inhibitors? S. Afr. J. Bot. 2019, 123, 214–227. [Google Scholar] [CrossRef]
- Choi, H.M.; Hari, M.D.; Kyoung, S.K. Multifaceted physiological roles of adiponectin in inflammation and diseases. Int. J. Mol. Sci. 2020, 21, 1219. [Google Scholar] [CrossRef] [PubMed] [Green Version]
- Yerer, M.B.; Demirpolat, E.; Boşgelmez, İ.İ. Inflammatory Mediators: Potential Drug Targets in Cancer. In Drug Targets in Cellular Processes of Cancer: From Nonclinical to Preclinical Models; Springer: Singapore, 2020; pp. 139–156. [Google Scholar]
- Ren, E.; Liu, C.; Lv, P.; Wang, J.; Liu, G. Genetically Engineered Cellular Membrane Vesicles as Tailorable Shells for Therapeutics. Adv. Sci. 2021, 8, 2100460. [Google Scholar] [CrossRef]
- Motlhanka, D.M.T. Phytochemical and antioxidant analysis of wild and ex situ cultivated shoots and tubers of Harpagophytum procumbens (Burch) DC ex. Meisn from Botswana. Asian J. Conserv. Biol. 2012, 1, 86–91. [Google Scholar]
- Viljoen, A.; Mncwangi, N.; Vermaak, I. Anti-inflammatory iridoids of botanical origin. Curr. Med. Chem. 2012, 19, 2104–2127. [Google Scholar] [CrossRef] [Green Version]
- Laveti, D.; Kumar, M.; Hemalatha, R.; Sistla, R.; Gm Naidu, V.; Talla, V.; Verma, V.; Kaur, N.; Nagpal, R. Anti-inflammatory treatments for chronic diseases: A review. Inflamm. Allergy-Drug Targets (Former. Curr. Drug Targets-Inflamm. Allergy Discontin.) 2013, 12, 349–361. [Google Scholar] [CrossRef]
- Mitra, S.P. Pharmacology and biochemistry behind the use of natural herbs to control arthritis–A review. Indian J. Nat. Prod. Resour. IJNPR (Former. Nat. Prod. Radiance NPR) 2018, 8, 204–223. [Google Scholar]
- Menghini, L.; Recinella, L.; Leone, S.; Chiavaroli, A.; Cicala, C.; Brutnetti, L.; Vladimir-Kneževic, S.; Orlando, G.; Ferrante, C. Devil’s claw (Harpagophytum procumbens) and chronic inflammatory diseases: A concise overview on preclinical and clinical data. Phytother. Res. 2019, 33, 2152–2162. [Google Scholar] [CrossRef]
- Tan, L.; Song, X.; Ren, Y.; Wang, M.; Guo, C.; Guo, D.; Gu, Y.; Li, Y.; Cao, Z.; Deng, Y. Anti-inflammatory effects of cordycepin: A review. Phytother. Res. 2021, 35, 1284–1297. [Google Scholar] [CrossRef] [PubMed]
- Khumalo, G.P.; Van Wyk, B.E.; Feng, Y.; Cock, I.E. A review of the traditional use of Southern African medicinal plants for the treatment of inflammation and inflammatory pain. J. Ethnopharmacol. 2022, 283, 114436. [Google Scholar] [CrossRef]
- Berk, M.; Williams, L.J.; Jacka, F.N.; O’Neil, A.; Pasco, J.A.; Moylan, S.; Allen, N.B.; Stuart, A.L.; Hayley, A.C.; Byrne, M.L.; et al. So depression is an inflammatory disease, but where does the inflammation come from? BMC Med. 2013, 11, 200. [Google Scholar] [CrossRef] [Green Version]
- Pahwa, R.; Goyal, A.; Bansal, P.; Jialal, I. Chronic Inflammation; StatPearls Publishing: Treasure Island, FL, USA, 2018. [Google Scholar]
- Chen, L.; Deng, H.; Cui, H.; Fang, J.; Zuo, Z.; Deng, J.; Li, Y.; Wang, X.; Zhao, L. Inflammatory responses and inflammation-associated diseases in organs. Oncotarget 2017, 9, 7204–7218. [Google Scholar] [CrossRef] [Green Version]
- Nyberg, S.T.; Singh-Manoux, A.; Pentti, J.; Madsen, I.E.; Sabia, S.; Alfredsson, L.; Bjorner, J.B.; Borritz, M.; Burr, H.; Goldberg, M.; et al. Association of healthy lifestyle with years lived without major chronic diseases. JAMA Intern. Med. 2020, 180, 760–768. [Google Scholar] [CrossRef] [PubMed] [Green Version]
- Green, D.P.; Limjunyawong, N.; Gour, N.; Pundir, P.; Dong, X. A mast-cell-specific receptor mediates neurogenic inflammation and pain. Neuron 2019, 101, 412–420. [Google Scholar] [CrossRef] [Green Version]
- Aremu, A.O.; Pendota, S.C. Medicinal Plants for Mitigating Pain and Inflammatory-Related Conditions: An Appraisal of Ethnobotanical Uses and Patterns in South Africa. Front. Pharmacol. 2021, 12, 2650. [Google Scholar] [CrossRef]
- Chakraverty, G.; Gupta, A.; Desai, A.; Anand, S.S. Clinical benefits and risk assessment of TriNyros in osteoarthritis of the knee: BRATO evidence generation program. Inter. J. Orthop. 2020, 6, 954–960. [Google Scholar] [CrossRef]
- Parenti, C.; Aricò, G.; Chiechio, S.; Di Benedetto, G.; Parenti, R.; Scoto, G.M. Involvement of the heme-oxygenase pathway in the antiallodynic and antihyperalgesic activity of Harpagophytum procumbens in rats. Molecules 2015, 20, 16758–16769. [Google Scholar] [CrossRef] [Green Version]
- Tanaka, M.; Török, N.; Tóth, F.; Szabó, Á.; Vécsei, L. Co-players in chronic pain: Neuroinflammation and the tryptophan-kynurenine metabolic pathway. Biomedicines 2021, 9, 897. [Google Scholar] [CrossRef]
- Rotunno, R.; Oppo, I.; Saetta, G.; Aveta, P.; Bruno, S. NSAIDs and heart failure: A dangerous relationship. Monaldi Arch. Chest Dis. 2018, 88, 950. [Google Scholar] [CrossRef] [Green Version]
- Huang, S.P.; Wen, Y.C.; Huang, S.T.; Lin, C.W.; Wang, T.D.; Hsiao, F.Y. Nonsteroidal anti-inflammatory drugs and risk of first hospitalization for heart failure in patients with no history of heart failure: A population-based case-crossover study. Drug Saf. 2019, 42, 67–75. [Google Scholar] [CrossRef] [PubMed]
- Bindu, S.; Mazumder, S.; Bandyopadhyay, U. Non-steroidal anti-inflammatory drugs (NSAIDs) and organ damage: A current perspective. Biochem. Pharmacol. 2020, 180, 114147. [Google Scholar] [CrossRef]
- Joshi, K.; Parrish, A.; Grunz-Borgmann, E.A.; Gerkovich, M.; Folk, W.R. Toxicology studies of aqueous-alcohol extracts of Harpagophytum procumbens subsp. procumbens (Burch.) DC. Ex Meisn. (Pedaliaceae) in female and male rats. BMC Complement. Med. Ther. 2020, 20, 9. [Google Scholar] [CrossRef]
- Steenkamp, P.A.; Steenkamp, L.H. UPLC–MS profiling, identification of major peaks and comparison of Harpagophytum procumbens extracts from different locations. S. Afr. J. Bot. 2019, 124, 138–143. [Google Scholar] [CrossRef]
- Brendler, T. From Bush Medicine to Modern Phytopharmaceutical: A Bibliographic Review of Devil’s Claw (Harpagophytum spp.). Pharmaceuticals 2021, 14, 726. [Google Scholar] [CrossRef] [PubMed]
- Muzila, M.; Ekholm, A.; Nybom, H.; Widén, C.; Rumpunen, K. Harpagophytum germplasm varies in tuber peel and pulp content of important phenylpropanoids and iridoids. S. Afr. J. Bot. 2018, 115, 153–160. [Google Scholar] [CrossRef]
- Mncwangi, N.P.; Chen, W.; Vermaak, I.; Viljoen, A.M.; Gericke, N. Devil’s claw—A review of the ethnobotany, phytochemistry and biological activity of Hargagophytum procumbens. J. Ethnopharmacol. 2012, 143, 755–771. [Google Scholar] [CrossRef]
- Pretorius, E.; Mncwangi, N.P.; Kabongo, R.M.; Chen, W.; Vermaak, I.; van der Bank, M.; Viljoen, A.M. A quality control perspective on Devil’s claw, Harpagophytum procumbens and H. zeyheri: Phytochemical analysis and DNA barcoding. S. Afr. J. Bot. 2022, 146, 90–100. [Google Scholar] [CrossRef]
- Diaz-Silveira, G.L.; Deutsch, J.; Little, D.P. DNA Barcode Authentication of Devil’s Claw Herbal Dietary Supplements. Plants 2021, 10, 2005. [Google Scholar] [CrossRef]
- De Lima, V.B.; Ribeiro, M.F.; Carpilovsky, C.K.; Carpilovsky, P.K.; Krause, L.M.F. Devil’s claw: Action on the central nervous system. Discip. Sci. 2020, 21, 65–72. [Google Scholar]
- Sahib, A.H.; Al-Shareefi, E.; Hameed, I.H. Harpagophytum procumbens and Cordia myxa: In vitro Antibacterial Activity and Bioactive Compounds of Methanolic Fruit Extract Using Fourier-Transform Infrared Spectroscopic Technique. Indian J. Public Health Res. Dev. 2019, 10, 981–987. [Google Scholar] [CrossRef]
- Akhtar, N.; Haqqi, T.M. Current nutraceuticals in the management of osteoarthritis: A review. Ther. Adv. Musculoskelet. Dis. 2012, 4, 181–207. [Google Scholar] [CrossRef]
- Mundy, P.J.; Ncube, S.F. Devil’s claw—A natural substitute for diclofenac? Vulture News 2014, 67, 43–47. [Google Scholar] [CrossRef]
- Shedayi, A.A.; Xu, M.; Gulraiz, B. Traditional medicinal uses of plants in Gilgit-Baltistan, Pakistan. J. Med. Plants Res. 2014, 8, 992–1004. [Google Scholar]
- Mariano, A.; Di Sotto, A.; Leopizzi, M.; Garzoli, S.; Di Maio, V.; Gullì, M.; Dalla Vedova, P.; Ammendola, S.; Scotto d’Abusco, A. Antiarthritic effects of a root extract from Harpagophytum procumbens DC: Novel insights into the molecular mechanisms and possible bioactive phytochemicals. Nutrients 2020, 12, 2545. [Google Scholar] [CrossRef]
- Fiebich, B.; Muñoz, E.; Rose, T.; Weiss, G.; McGregor, G. Molecular Targets of the Anti-inflammatory Harpagophytum procumbens (Devil’s claw): Inhibition of TNFα and COX-2 Gene Expression by Preventing Activation of AP-1. Phytother. Res. 2011, 26, 806–811. [Google Scholar] [CrossRef]
- Muzila, M.; Werlemark, G.; Ortiz, R.; Sehic, J.; Fatih, M.; Setshogo, M.; Mpoloka, W.; Nybom, H. Assessment of diversity in Harpagophytum with RAPD and ISSR markers provides evidence of introgression. Hereditas 2014, 151, 91–101. [Google Scholar] [CrossRef]
- Muzila, M.; Setshogo, M.P.; Mpoloka, S.W. Multivariate analysis of Harpagophytum DC. ex Meisn (Pedaliaceae) based on fruit characters. Int. J. Biodivers. Conserv. 2011, 3, 101–109. [Google Scholar]
- Kriukova, A.; Lytkin, D.; Marchenko, M.; Vladymyrova, I. Development of green production technology and research of Harpagophytum procumbens root dry extract. Sci. Pharm. Sci. 2021, 4, 43–49. [Google Scholar]
- Mncwangi, N.P.; Viljoen, A.M.; Zhao, J.; Vermaak, I.; Chen, W.; Khan, I. What the devil is in your phytomedicine? Exploring species substitution in Harpagophytum through chemometric modeling of 1H-NMR and UHPLC-MS datasets. Phytochemistry 2014, 106, 104–115. [Google Scholar] [CrossRef]
- Cuspidi, C.; Sala, C.; Tadic, M.; Grassi, G.; Mancia, G. Systemic hypertension induced by Harpagophytum procumbens (Devil’s claw): A case report. J. Clin. Hypertens. 2015, 17, 908–910. [Google Scholar] [CrossRef]
- South African National Biodiversity Institute (SANBI). Fact Sheet Index. Plantz Africa. Pretoria, South Africa. Available online: http://biodiversityadvisor.sanbi.org/wp-content/uploads/sanbi-identify-it/plants/harpagophytum_procumbens_devils_claw.htm (accessed on 15 March 2022).
- Tan, B.H.; Ong, C.E.J.C. The use of natural remedies to treat osteoarthritis. Tang Humanit. Med. Assoc. 2016, 6, 1.1–1.9. [Google Scholar] [CrossRef] [Green Version]
- Avato, P.; Argentieri, M.P. Quality assessment of commercial spagyric tinctures of Harpagophytum procumbens and their antioxidant properties. Molecules 2019, 24, 2251. [Google Scholar] [CrossRef] [Green Version]
- Hassan, T.; Huang, X. Role of Devil’s Claw (A Medicinal Herb) in Health. Pak. J. Med. Res. 2021, 60, 97. [Google Scholar]
- Ncube, S.F.; Ndagurwa, H.G.; Mundy, P.J.; Sibanda, S.; Dlodlo, M. Ethnobotanical knowledge and use-value of Harpagophytum (Devil’s claw) in Matabeleland, Zimbabwe. S. Afr. J. Bot. 2022, 144, 134–144. [Google Scholar] [CrossRef]
- Bairu, M.W.; Novák, O.; Doležal, K.; Van Staden, J. Changes in endogenous cytokinin profiles in micropropagated Harpagophytum procumbens in relation to shoot-tip necrosis and cytokinin treatments. Plant Growth Regul. 2011, 63, 105–114. [Google Scholar] [CrossRef]
- Koycheva, I.K.; Mihaylova, L.V.; Todorova, M.N.; Balcheva-Sivenova, Z.P.; Alipieva, K.; Ferrante, C.; Orlando, G.; Georgiev, M.I. Leucosceptoside A from Devil’s Claw Modulates Psoriasis-like Inflammation via Suppression of the PI3K/AKT Signaling Pathway in Keratinocytes. Molecules 2021, 26, 7014. [Google Scholar] [CrossRef]
- Edwards, S.E.; da Costa Rocha, I.; Williamson, E.M.; Heinrich, M. Devil’s Claw Harpagophytum procumbens (Burch.) DC. Ex Meissner, H. zeyheri Decne. In Phytopharmacy: An Evidence—Based Guide to Herbal Medicinal Products; Willey Blackwell: Hoboken, NJ, USA, 2015; pp. 131–133. [Google Scholar]
- Cholet, J.; Decombat, C.; Vareille-Delarbre, M.; Gainche, M.; Berry, A.; Ogéron, C.; Ripoche, I.; Delort, L.; Vermerie, M.; Fraisse, D.; et al. Comparison of the anti-inflammatory and immunomodulatory mechanisms of two medicinal herbs: Meadowsweet (Filipendula ulmaria) and harpagophytum (Harpagophytum procumbens). Int. J. Plant Anim. Environ. Sci. 2019, 9, 145–163. [Google Scholar]
- Locatelli, M.; Ferrante, C.; Carradori, S.; Secci, D.; Leporini, L.; Chiavaroli, A.; Leone, S.; Recinella, L.; Orlando, G.; Martinotti, S.; et al. Optimization of aqueous extraction and biological activity of Harpagophytum procumbens root on ex vivo rat colon inflammatory model. Phytother. Res. 2017, 31, 937–944. [Google Scholar] [CrossRef]
- Olivier, D.K.; Van Wyk, B.E. Bitterness values for traditional tonic plants of southern Africa. J. Ethnopharmacol. 2013, 147, 676–679. [Google Scholar] [CrossRef]
- Szucs, I.; Escobar, M.; Grodzinski, B. Emerging roles for plant terpenoids. Compr. Biotechnol. 2011, 4, 273–286. [Google Scholar]
- Sanders, M.; Grundmann, O. The use of glucosamine, devil’s claw (Harpagophytum procumbens), and acupuncture as complementary and alternative treatments for osteoarthritis. Altern. Med. Rev. 2011, 16, 228. [Google Scholar]
- Wang, C.; Gong, X.; Bo, A.; Zhang, L.; Zhang, M.; Zang, E.; Zhang, C.; Li, M. Iridoids: Research advances in their phytochemistry, biological activities, and pharmacokinetics. Molecules 2020, 25, 287. [Google Scholar] [CrossRef] [Green Version]
- Georgiev, M.I.; Ivanovska, N.; Alipieva, K.; Dimitrova, P.; Verpoorte, R. Harpagoside: From Kalahari Desert to pharmacy shelf. Phytochemistry 2013, 92, 8–15. [Google Scholar] [CrossRef]
- Frezza, C.; De Vita, D.; Toniolo, C.; Ventrone, A.; Tomassini, L.; Foddai, S.; Nicoletti, M.; Guiso, M.; Bianco, A.; Serafini, M. Harpagide: Occurrence in plants and biological activities—A review. Fitoterapia 2020, 26, 104764. [Google Scholar] [CrossRef]
- Haseeb, A.; Ansari, M.Y.; Haqqi, T.M. Harpagoside suppresses IL-6 expression in primary human osteoarthritis chondrocytes. J. Orthop. Res. 2017, 35, 311–320. [Google Scholar] [CrossRef] [Green Version]
- Georgiev, M.I.; Alipieva, K.; Orhan, I.E. Cholinesterases inhibitory and antioxidant activities of Harpagophytum procumbens from in vitro systems. Phytother. Res. 2012, 26, 313–316. [Google Scholar] [CrossRef]
- De Cássia Da Silveira e Sá, R.; Andrade, L.N.; De Sousa, D.P. Sesquiterpenes from essential oils and anti-inflammatory activity. Nat. Prod. Commun. 2015, 10, 1934578X1501001033. [Google Scholar] [CrossRef] [Green Version]
- Costa, G.; Francisco, V.; CLopes, M.T.; Cruz, M.T.; Batista, M. Intracellular signaling pathways modulated by phenolic compounds: Application for new anti-inflammatory drugs discovery. Curr. Med. Chem. 2012, 19, 2876–2900. [Google Scholar] [CrossRef]
- Boje, K.; Lechtenberg, M.; Nahrstedt, A.J.P. New and known iridoid-and phenylethanoid glycosides from Harpagophytum procumbens and their in vitro inhibition of human leukocyte elastase. Planta Med. 2003, 69, 820–825. [Google Scholar]
- Gyurkovska, V.; Alipieva, K.; Maciuk, A.; Dimitrova, P.; Ivanovska, N.; Haas, C.; Bley, T.; Georgiev, M. Anti-inflammatory activity of Devil’s claw in vitro systems and their active constituents. Food Chem. 2011, 125, 171–178. [Google Scholar] [CrossRef]
- Kriukova, A.; Vladymyrova, I.; Levashova, O.L.; Tishakova, T.S. Determination of Amino Acid Composition in the Harpagophytum procumbens Root. Dhaka Univ. J. Pharm. Sci. 2019, 18, 85–91. [Google Scholar] [CrossRef]
- Wang, M.; Rakesh, K.P.; Leng, J.; Fang, W.Y.; Ravindar, L.; Gowda, D.C.; Qin, H.L. Amino acids/peptides conjugated heterocycles: A tool for the recent development of novel therapeutic agents. Bioorg. Chem. 2018, 76, 113–129. [Google Scholar] [CrossRef] [PubMed]
- Grąbkowska, R.; Matkowski, A.; Grzegorczyk-Karolak, I.; Wysokińska, H. Callus cultures of Harpagophytum procumbens (Burch.) DC. ex Meisn.; production of secondary metabolites and antioxidant activity. S. Afr. J. Bot. 2016, 103, 41–48. [Google Scholar] [CrossRef]
- Schopohl, P.; Grüneberg, P.; Melzig, M. The influence of harpagoside and harpagide on TNFα-secretion and cell adhesion molecule mRNA-expression in IFNγ/LPS-stimulated THP-1 cells. Fitoterapia 2016, 110, 157–165. [Google Scholar] [CrossRef] [PubMed]
- Hostanska, K.; Melzer, J.; Rostock, M.; Suter, A.; Saller, R. Alteration of anti-inflammatory activity of Harpagophytum procumbens (Devil’s claw) extract after external metabolic activation with S9 mix. J. Pharm. Pharmacol. 2014, 66, 1606–1614. [Google Scholar] [CrossRef]
- Rahimi, A.; Razmkhah, K.; Mehrnia, M.; Mohamadnia, A.; Sahebjamee, H.; Salehi, S.; Asl, E.A.; Tahmasebi, H.; Shandiz, S.A.S.; Davouodbeglou, F.; et al. Molecular docking and binding study of harpagoside and harpagide as novel anti-inflammatory and anti-analgesic compound from Harpagophytum procumbens based on their interactions with COX-2 enzyme. Asian Pac. J. Trop. Dis. 2016, 6, 227–231. [Google Scholar] [CrossRef]
- Kim, J.Y.; Park, S.H.; Baek, J.M.; Erkhembaatar, M.; Kim, M.S.; Yoon, K.H.; Oh, J.; Lee, M.S. Harpagoside inhibits RANKL-induced osteoclastogenesis via Syk-Btk-PLCγ2-Ca2+ signaling pathway and prevents inflammation-mediated bone loss. J. Nat. Prod. 2015, 78, 2167–2174. [Google Scholar] [CrossRef] [PubMed] [Green Version]
- Bojnurd, I. Evaluation of in vitro anti-inflammatory activity of Harpagophytum procumbens and urtica dioica against the denaturation of protein. Plant Arch. 2018, 18, 161–166. [Google Scholar]
- Cock, I.E.; Bromley, A. Inhibition of bacterial triggers of selected autoimmune inflammatory diseases by Harpagophytum procumbens Burch. DC. ex Meisn. fruit extracts. S. Afr. J. Bot. 2017, 109, 329. [Google Scholar] [CrossRef]
- González-Gross, M.; Quesada-González, C.; Rueda, J.; Sillero-Quintana, M.; Issaly, N.; Díaz, A.E.; Gesteiro, E.; Escobar-Toledo, D.; Torres-Peralta, R.; Roller, M.; et al. Analysis of Effectiveness of a Supplement Combining Harpagophytum procumbens; Zingiber officinale and Bixa orellana in Healthy Recreational Runners with Self-Reported Knee Pain: A Pilot, Randomized, Triple-Blind, Placebo-Controlled Trial. Int. J. Environ. Res. Public Health 2021, 18, 5538. [Google Scholar] [CrossRef] [PubMed]
- Hussain, M.T.; Greaves, D.R.; Iqbal, A.J. The impact of cannabinoid receptor 2 deficiency on neutrophil recruitment and inflammation. DNA Cell Biol. 2019, 38, 1025–1029. [Google Scholar] [CrossRef]
- Zhu, M.; Yu, B.; Bai, J.; Wang, X.; Guo, X.; Liu, Y.; Lin, J.; Hu, S.; Zhang, W.; Tao, Y.; et al. Cannabinoid receptor 2 agonist prevents local and systemic inflammatory bone destruction in rheumatoid arthritis. J. Bone Miner. Res. 2019, 34, 739–751. [Google Scholar] [CrossRef] [PubMed]
- Ali, A.M.; El-Tawil, O.S.; Al-Mokaddem, A.K.; Abd El-Rahman, S.S. Promoted inhibition of TLR4/miR-155/NFkB p65 signaling by cannabinoid receptor 2 agonist (AM1241), aborts inflammation and progress of hepatic fibrosis induced by thioacetamide. Chem. Biol. Interact. 2021, 336, 109398. [Google Scholar] [CrossRef] [PubMed]
- Rzeczycki, P.; Rasner, C.; Lammlin, L.; Junginger, L.; Goldman, S.; Bergman, R.; Redding, S.; Knights, A.J.; Elliott, M.; Maerz, T. Cannabinoid receptor type 2 is upregulated in synovium following joint injury and mediates anti-inflammatory effects in synovial fibroblasts and macrophages. Osteoarthr. Cartil. 2021, 29, 1720–1731. [Google Scholar] [CrossRef]
- Uritu, C.M.; Mihai, C.T.; Stanciu, G.D.; Dodi, G.; Alexa-Stratulat, T.; Luca, A.; Leon-Constantin, M.M.; Stefanescu, R.; Bild, V.; Melnic, S.; et al. Medicinal plants of the family Lamiaceae in pain therapy: A review. Pain Res. Manag. 2018, 2018, 7801543. [Google Scholar] [CrossRef] [PubMed] [Green Version]
- Manganyi, M.C.; Bezuidenhout, C.C.; Regnier, T.; Ateba, C.N. A Chewable Cure “Kanna”: Biological and Pharmaceutical Properties of Sceletium tortuosum. Molecules 2021, 26, 2557. [Google Scholar] [CrossRef] [PubMed]
- Hu, S.; Belcaro, G.; Cesarone, M.R.; Feragalli, B.; Cotellese, R.; Dugall, M.; Scipione, C.; Scipione, V.; Maione, C.; Maramaldi, G.; et al. A sport cream (Harpago-Boswellia-ginger-escin) for localized neck/shoulder pain. Minerva Med. 2020, 112, 255–260. [Google Scholar] [CrossRef]
- Oltean, H.; Robbins, C.; van Tulder, M.W.; Berman, B.M.; Bombardier, C.; Gagnier, J.J. Herbal Medicine for Low Back Pain: A Cochrane Review. Spine 2007, 32, 82–92. [Google Scholar]
- Lim, D.W.; Kim, J.G.; Han, D.; Kim, Y.T. Analgesic effect of Harpagophytum procumbens on postoperative and neuropathic pain in rats. Molecules 2014, 19, 1060–1068. [Google Scholar] [CrossRef] [PubMed]
- Radomska-Leśniewska, D.M.; Skopińska-Różewska, E.; Demkow, U.; Jóźwiak, J.; Sobiecka, M.; Bałan, B.J. A natural herbal remedy modulates angiogenic activity of bronchoalveolar lavage cells from sarcoidosis patients. Cent. Eur. J. Immunol. 2016, 41, 25. [Google Scholar] [CrossRef] [PubMed] [Green Version]
- Shrivastava, A.K.; Singh, H.V.; Raizada, A.; Singh, S.K.; Pandey, A.; Singh, N.; Yadav, D.S.; Sharma, H. Inflammatory markers in patients with rheumatoid arthritis. Allergol. Immunopathol. 2015, 43, 81–87. [Google Scholar] [CrossRef]
- Guo, Q.; Wang, Y.; Xu, D.; Nossent, J.; Pavlos, N.J.; Xu, J. Rheumatoid arthritis: Pathological mechanisms and modern pharmacologic therapies. Bone Res. 2018, 6, 15. [Google Scholar] [CrossRef]
- Kang, Y.H.; Lee, H.J.; Lee, C.J.; Park, J.S. Natural products as sources of novel drug candidates for the pharmacological management of osteoarthritis: A narrative review. Biomol. Ther. 2019, 27, 503–513. [Google Scholar] [CrossRef]
- Farpour, H.R.; Pirzad, R.; Ahmed, F.; Askarpour, M.R.; Nikbakht, H.A. Efficacy of caudal epidural injection of steroid versus steroid and calcitonin in patients with lumbosacral spinal stenosis: A randomized clinical trial. J. Emerg. Med. Trauma Acute Care 2021, 1, 7. [Google Scholar] [CrossRef]
- Williams, D.; Jones, E.; Ishdorj, A. Competitive Assessment and Market Entry Study of Devil’s Claw in the US Nutraceutical/Herbal Supplement Market. 2012, pp. 1–90. Available online: https://www.nbri.org.na/sites/default/files/Competitive%20Assessment%20and%20Market%20Entry%20Study%20of%20Devil’s%20Claw%20in%20the%20USA.pdf (accessed on 13 March 2022).
- Feuerstein, J.D.; Cheifetz, A.S. Ulcerative colitis: Epidemiology, diagnosis, and management. Mayo Clin. Proc. 2014, 89, 1553–1563. [Google Scholar] [CrossRef] [PubMed] [Green Version]
- Recinella, L.; Chiavaroli, A.; Ronci, M.; Menghini, L.; Brunetti, L.; Leone, S.; Tirillini, B.; Angelini, P.; Covino, S.; Venanzoni, R.; et al. Multidirectional pharma-toxicological study on Harpagophytum procumbens DC. ex Meisn.: An IBD-focused investigation. Antioxidants 2020, 9, 168. [Google Scholar] [CrossRef] [Green Version]
- Iliev, I.D.; Funari, V.A.; Taylor, K.D.; Nguyen, Q.; Reyes, C.N.; Strom, S.P.; Brown, J.; Becker, C.A.; Fleshner, P.R.; Dubinsky, M.; et al. Interactions between commensal fungi and the C-type lectin receptor Dectin-1 influence colitis. Science 2012, 336, 1314–1317. [Google Scholar] [CrossRef] [Green Version]
- Schaffer, L.F.; Peroza, L.R.; Boligon, A.A.; Athayde, M.L.; Alves, S.H.; Fachinetto, R.; Wagner, C. Harpagophytum procumbens prevents oxidative stress and loss of cell viability in vitro. Neurochem. Res. 2013, 38, 2256–2267. [Google Scholar] [CrossRef]
- Karimi, M.; Naghdi, N.; Naji-Haddadi, S.; Bahmani, F. Medicinal plants used for kidney pain. J. Pharm. Sci. Res. 2017, 9, 542–546. [Google Scholar]
- Farpour, H.R.; Rajabi, N.; Ebrahimi, B. The efficacy of harpagophytum procumbens (teltonal) in patients with knee osteoarthritis: A randomized active-controlled clinical trial. Evid. Based Complementary Altern. Med. 2021, 2021, 5596892. [Google Scholar] [CrossRef] [PubMed]
- Bae, Y.H.; Cuong, T.D.; Hung, T.M.; Kim, J.A.; Woo, M.H.; Byeon, J.S.; Choi, J.S.; Min, B.S. Cholinesterase inhibitors from the roots of Harpagophytum procumbens. Arch. Pharm. Res. 2014, 37, 1124–1129. [Google Scholar] [CrossRef]
- Ferrante, C.; Recinella, L.; Locatelli, M.; Guglielmi, P.; Secci, D.; Leporini, L.; Chiavaroli, A.; Leone, S.; Martinotti, S.; Brunetti, L.; et al. Protective effects induced by microwave-assisted aqueous Harpagophytum extract on rat cortex synaptosomes challenged with amyloid β-peptide. Phytother. Res. 2017, 31, 1257–1264. [Google Scholar] [CrossRef]
- Park, K.S. A systematic review on anti-inflammatory activity of harpagoside. J. Biochem. Mol. Biol. Res. 2016, 2, 166–169. [Google Scholar] [CrossRef] [Green Version]
- Ucuncu, Y.; Celik, N.; Ozturk, C.; Turkoglu, M.; Cetin, N.; Kockara, N.; Sener, E.; Dundar, C.; Arslan, A.; Dogan, H.; et al. Chondroprotective effects of a new glucosamine combination in rats: Gene expression, biochemical and histopathological evaluation. Life Sci. 2015, 130, 31–37. [Google Scholar] [CrossRef]
- Chung, H.-J.; Won, K.K.; Hyen, J.P.; Lan, C.; Me-riong, K.; Min, J.K.; Joon-Shik, S.; Jin, H.L.; In-Hyuk, H.; Sang, K.L. Anti-osteoporotic activity of harpagide by regulation of bone formation in osteoblast cell culture and ovariectomy-induced bone loss mouse models. J. Ethnopharmacol. 2016, 179, 66–75. [Google Scholar] [CrossRef]
- Chung, H.J.; Kim, W.K.; Oh, J.; Kim, M.R.; Shin, J.S.; Lee, J.; Ha, I.H.; Lee, S.K. Anti-osteoporotic activity of harpagoside by upregulation of the BMP2 and Wnt signaling pathways in osteoblasts and suppression of differentiation in osteoclasts. J. Nat. Prod. 2017, 80, 434–442. [Google Scholar] [CrossRef]
- Torres-Fuentes, C.; Theeuwes, W.F.; McMullen, M.K.; McMullen, A.K.; Dinan, T.G.; Cryan, J.F.; Schellekens, H. Devil’s claw to suppress appetite—Ghrelin receptor modulation potential of a Harpagophytum procumbens root extract. PLoS ONE 2014, 9, e103118. [Google Scholar] [CrossRef] [PubMed] [Green Version]
- Mounanga, M.B.; Mewono, L.; Angone, S.A. Toxicity studies of medicinal plants used in sub-Saharan Africa. J. Ethnopharmacol. 2015, 174, 618–627. [Google Scholar] [CrossRef] [PubMed]
- Al-Harbi, N.O.; Al-Ashban, R.M.; Shah, A.H. Toxicity studies on Harpagophytum procumbens (Devil’s claw) capsules in mice. J. Med. Plants Res. 2013, 7, 3089–3097. [Google Scholar]
- Allard, T.; Wenner, T.; Greten, H.J.; Efferth, T. Mechanisms of herb-induced nephrotoxicity. Curr. Med. Chem. 2013, 20, 2812–2819. [Google Scholar] [CrossRef]
- Bano, S.; Rehman, H.; Akhtar, F.; Iqbal, A.; Khanum, K.; Usmanghani, K. Comparative Acute Oral Toxicity Study of Cartinovex Plus Verses Anti-arthritis Devil’s claw in Mice. RADS J. Pharm. Pharmacol. Sci. 2018, 6, 2–6. [Google Scholar]
- Axmann, S.; Hummel, K.; Nöbauer, K.; Razzazi-Fazeli, E.; Zitterl-Eglseer, K. Pharmacokinetics of harpagoside in horses after intragastric administration of a Devil’s claw (Harpagophytum procumbens) extract. J. Vet. Pharmacol. Therap. 2019, 42, 37–44. [Google Scholar] [CrossRef] [PubMed] [Green Version]
- Davari, S.A. Teratogenic effects of Harpagophytum procumbens Ethanolic extract in mice and fetuses. Zahedan. J. Res. Med. Sci. 2016, 18, e3481. [Google Scholar]
- Peruru, R.; Rani, R.U.; Thatiparthi, J.; Sampathi, S.; Dodoala, S.; Prasad, K.V.S.R.G. Devil’s claw (Harpagophytum procumbens) ameliorates the neurobehavioral changes and neurotoxicity in female rats exposed to arsenic. Heliyon 2020, 6, e03921. [Google Scholar] [CrossRef]
- Moré, M.; Gruenwald, J.; Pohl, U.; Uebelhack, R. A Rosa canina—Urtica dioica—Harpagophytum procumbens/zeyheri Combination Significantly Reduces Gonarthritis Symptoms in a Randomized, Placebo-Controlled Double-Blind Study. Planta Med. 2017, 83, 1384–1391. [Google Scholar] [CrossRef] [Green Version]




| Name of the Disease | Disease Symptoms or Complications | Part(s) Used | Biological Effects of Devil’s Claw | Compound Constitutes | Reference |
|---|---|---|---|---|---|
| Alzheimer’s disease | Loss of memory and cognitive judgment | Dried roots | Anti-Alzheimer effect | Verbascoside derivatives | [98] |
| Dried roots | Management of the clinical symptoms related to ad, inflamed tissues | Harpagoside | [99] | ||
| Roots | Anti-inflammatory activity | Phenylethanoid glycoside | [62] | ||
| Rheumatoid arthritis | Pain associated with joints, back, or muscles. Joints are tension, swelling, tenderness, or weakness | Harpagoside compound | Anti-inflammatory activity | Harpagoside | [61] |
| Roots | Antiarthritic effects, anti-inflammatory activity | Harpagoside | [38] | ||
| Harpagoside compound | Anti-inflammatory activity | Harpagoside | [61] | ||
| Harpagoside compound | Antirheumatic effects, pain reliever, anti-inflammatory activity | Harpagoside, | [100] | ||
| Roots | Anti-inflammatory activity | Harpagoside | [101] | ||
| Osteoporosis | Lowered bone pain, height loss and muscle spasms. | Plant material | Anti-osteoporotic activity | Harpagide | [102] |
| Plant material | Anti-osteoporotic activity | Harpagoside | [103] | ||
| Harpagoside compound | Anti-inflammatory | Harpagoside | [73] | ||
| Roots | Anti-inflammatory, antioxidant, analgesic | Unidentified | [20] | ||
| Roots | Pain reduction and function | Unidentified | [90] | ||
| Diabetes | Injury to the large blood vessels of the heart, brain and legs | Roots | Anti-inflammatory and antirheumatic properties | Harpagoside | [19] |
| Obesity | Overweight, exhaustion, pot belly, or breathe heavily | Roots | Suppress appetite | Iridoid glycosides | [104] |
| Psoriasis | Hives, dryness, flakiness, peeling, redness | Roots | Anti-inflammatory | Phenylethanoid glycosides verbascoside | [51] |
| Disease/Study Aim | Drug Formulation | Participants/Animals | Outcomes | Reference |
|---|---|---|---|---|
| Neuropathic pain | Plant extracts | Rats | Reduce pain | [21] |
| Toxicity | Plant extracts | Rats | Significant sex-related effects on blood chemistry | [26] |
| Toxicity | Devil’s claw capsules | 20 mice | Decrease in blood glucose level, weight gain in female | [106] |
| neurotoxicity | Capsules | Rats | anti-inflammatory activity and antioxidant effects | [111] |
| Disease/Study Aim | Drug Formulation | Participants/Animals | Outcomes | Reference |
|---|---|---|---|---|
| Knee Osteoarthritis | Tablets | Sixty human patients | No significant difference but consider to be safer. | [97] |
| Gonarthritis | Root extracts | Ninety-two human patients | Reduced gonarthritis symptoms | [112] |
Publisher’s Note: MDPI stays neutral with regard to jurisdictional claims in published maps and institutional affiliations. |
© 2022 by the authors. Licensee MDPI, Basel, Switzerland. This article is an open access article distributed under the terms and conditions of the Creative Commons Attribution (CC BY) license (https://creativecommons.org/licenses/by/4.0/).
Share and Cite
Gxaba, N.; Manganyi, M.C. The Fight against Infection and Pain: Devil’s Claw (Harpagophytum procumbens) a Rich Source of Anti-Inflammatory Activity: 2011–2022. Molecules 2022, 27, 3637. https://doi.org/10.3390/molecules27113637
Gxaba N, Manganyi MC. The Fight against Infection and Pain: Devil’s Claw (Harpagophytum procumbens) a Rich Source of Anti-Inflammatory Activity: 2011–2022. Molecules. 2022; 27(11):3637. https://doi.org/10.3390/molecules27113637
Chicago/Turabian StyleGxaba, Nomagugu, and Madira Coutlyne Manganyi. 2022. "The Fight against Infection and Pain: Devil’s Claw (Harpagophytum procumbens) a Rich Source of Anti-Inflammatory Activity: 2011–2022" Molecules 27, no. 11: 3637. https://doi.org/10.3390/molecules27113637
APA StyleGxaba, N., & Manganyi, M. C. (2022). The Fight against Infection and Pain: Devil’s Claw (Harpagophytum procumbens) a Rich Source of Anti-Inflammatory Activity: 2011–2022. Molecules, 27(11), 3637. https://doi.org/10.3390/molecules27113637

