Abstract
A study on the reactivity of 3-amino α,β-unsaturated γ-lactam derivatives obtained from a multicomponent reaction is presented. Key features of the substrates are the presence of an endocyclic α,β-unsaturated amide moiety and an enamine functionality. Following different synthetic protocols, the functionalization at three different positions of the lactam core is achieved. In the presence of a soft base, under thermodynamic conditions, the functionalization at C-4 takes place where the substrates behave as enamines, while the use of a strong base, under kinetic conditions, leads to the formation of C-5-functionalized γ-lactams, in the presence of ethyl glyoxalate, through a highly diastereoselective vinylogous aldol reaction. Moreover, the nucleophilic addition of organometallic species allows the functionalization at C-3, through the imine tautomer, affording γ-lactams bearing tetrasubstituted stereocenters, where the substrates act as imine electrophiles. Taking into account the advantage of the presence of a chiral stereocenter in C-5 substituted γ-lactams, further diastereoselective transformations are also explored, leading to novel bicyclic substrates holding a fused γ and δ-lactam skeleton. Remarkably, an example of a highly stereoselective formal [3+3] cycloaddition reaction of chiral γ-lactam substrates is reported for the synthesis of 1,4-dihidropyridines, where a non-covalent attractive interaction of a carbonyl group with an electron-deficient arene seems to drive the stereoselectivity of the reaction to the exclusive formation of the cis isomer. In order to unambiguously determine the substitution pattern resulting from the diverse reactions, an extensive characterization of the substrates is detailed through 2D NMR and/or X-ray experiments. Likewise, applications of the substrates as antiproliferative agents against lung and ovarian cancer cells are also described.
1. Introduction
Among heterocyclic compounds, the γ-lactam ring is a privileged scaffold that appears as a relevant construction motif for the development of new drugs. A wide range of bioactive natural products or clinically used drugs and pharmaceuticals embody the γ-lactam scaffold as a part of their complex molecular architecture [1,2]. Thus, tremendous efforts have been devoted during the last decades towards the efficient synthesis of functionalized γ-lactam derivatives [3,4,5,6,7]. In particular, 3-pyrrolin-2-ones (also named as 1,5-dihydropyrrol-2-ones), closely related to γ-lactams, are not only useful building blocks in chemical synthesis [8,9], but also core structures of bioactive natural products and pharmaceuticals [10,11,12,13,14,15,16].
A straightforward method for the synthesis of 3-pyrrolin-2-ones consists of a three-component reaction where either pyruvate [17,18,19,20] or acetylene carboxylate [21,22,23,24,25] derivatives are mixed with aldehydes and amines, in the presence of a Brönsted acid catalyst, leading to enol-containing iso-tetronic acid structures or their enamine substrates, 3-amino 3-pyrrolin-2-ones. Those multicomponent protocols [26,27] are considered to be essential synthetic tools in diversity-oriented synthesis [28,29]. 3-amino 3-pyrrolin-2-ones are indeed cyclic α-dehydro α-amino acids and such a skeleton is found widely distributed among many biologically active compounds [28,29,30,31,32,33,34]. In addition, many bioactive natural products are based in a α,β-unsaturated γ-lactam structure, such as cytotoxic polyketides Myceliothermophins E, C, and D [35], cytotoxic Pukeleumid E present in Lyngbya majuscule algae [36], HIV-integrase inhibitor Oteromicyn [37,38], and antibiotic Pyrrocidine A [39], both of them isolated from different fungus, and in the basic structure of 1,2-dithiole group antibiotics (Holothin, Holomycin, Thiolutin, and Aureothricin) [40] (Figure 1).
Figure 1.
Bioactive natural 1,5-dihydropyrrol-2-ones (* denotes racemic).
In addition, from a synthetic point of view, 3-amino 3-pyrrolin-2-ones are cyclic enamine substrates and, therefore, they are outstanding tools in chemical synthesis [41]. Interestingly, some pyrrolone-based systems have been identified as p53−MDM2 [42] and STAT3 [43] inhibitors, which result in strong antiproliferative activity, and, in addition, many other molecules containing the pyrrolone scaffold have been described as efficient antitumoral agents [44,45,46,47,48].
A few years ago, we reported a Brönsted-acid-catalyzed enantioselective synthesis of 3-amino 3-pyrrolin-2-ones through a multicomponent reaction, making use of amines, aldehydes, and pyruvate derivatives as starting materials [24]. More recently, we have extended this strategy to the preparation of the corresponding phosphorus and fluorine-containing analogs, using in this case fluorine and/or phosphonate-substituted aldehydes and pyruvates [25]. Remarkably, many of those molecules have shown strong antiproliferative activity, inhibiting the growth of several carcinoma human tumor cell lines through the activation of the apoptotic mechanism [10,11]. Key features of the structure of those substrates are the very reactive cyclic enamine moiety and the presence of a chiral stereocenter at the 5-membered ring. Taking the advantage of those two characteristics, we have used 3-amino 3-pyrrolin-2-ones as substrates in Lewis-acid-catalyzed formal [3+3] annulation reactions, for the preparation of bicyclic 1,4-dihidropyridines with a remarkably high degree of stereoselectivity [12]. Considering the easiness of the multicomponent preparation of 3-amino 3-pyrrolin-2-ones and their synthetic potential in organic synthesis, we thought that a study on the synthetic applications of such lactam substrates would be of great interest in the field. Taking into account all the considerations mentioned above, here we report the synthetic applications of enamine-derived γ-lactam derivatives, obtained from a simple multicomponent reaction, with a special focus on stereoselective transformations. Moreover, in view of the relevance of the γ-lactam core in biological systems and their demonstrated properties as antitumoral agents, a study of their antiproliferative activity against carcinomic human ovarian and alveolar basal epithelial cells is also presented.
2. Results and Discussion
2.1. Chemistry
As previously described [9,21], the multicomponent reaction between aromatic amines 1, aldehydes 2, and pyruvate derivatives 3, in the presence of a catalytic amount of BINOL-derived phosphoric acid, proceeds smoothly in a few hours to yield the target 3-amino 3-pyrrolin-2-ones 4–5 (Scheme 1).
Scheme 1.
MCR for the synthesis of γ-lactams 4–5.
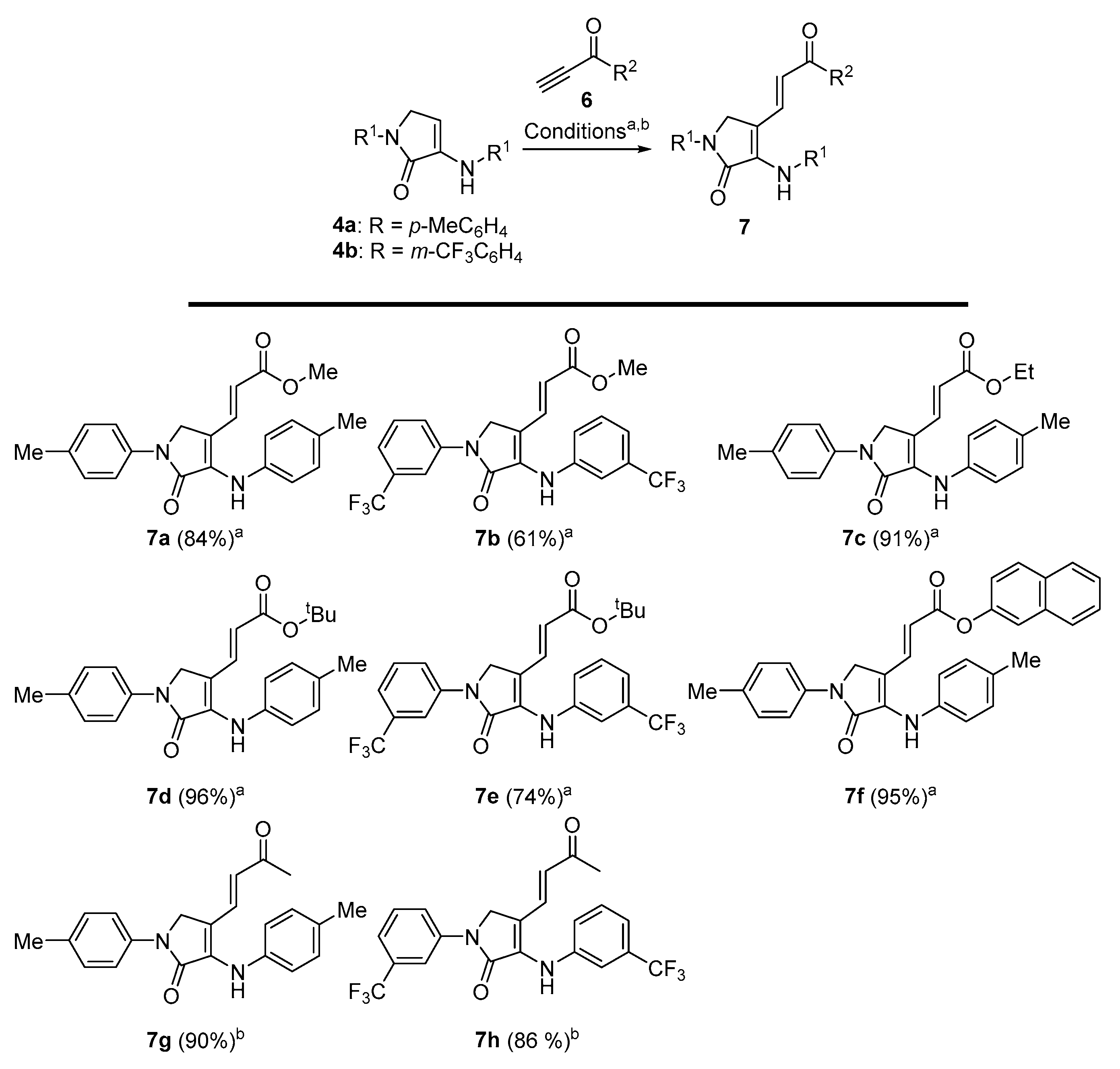
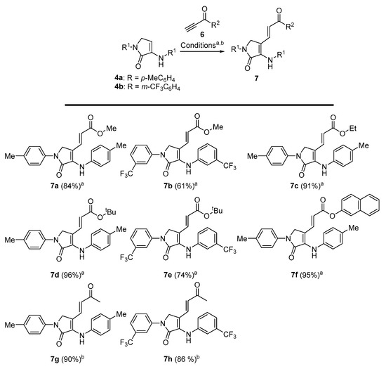
Following this procedure, several 3-amino 3-pyrrolin-2-ones 4,5 were synthesized and their reactivity was explored in diverse reactions. As has been addressed above, 3-amino 3-pyrrolin-2-ones derivatives 4 and 5 contain the enamine moiety in their structure. In view of the potential nucleophilic character of those substrates, first we tested the reactivity of the enamine functionality as a nucleophile using first the most simple γ-lactam substrates derived from ethyl pyruvate and formaldehyde 4a,b (Scheme 2). The conjugate addition of the cyclic enamines 4 to acetylene carboxylates 6 (R2 = OAlk) can be performed by the generation of the aza-enolate through an initial treatment with LDA at low temperature, followed by the addition of the electrophile. The reaction proceeds with a high degree of regioselectivity at the position C-4 of the five-membered heterocycle. Following this procedure, the functionalization reaction was successfully applied to methyl, ethyl, tert-butyl, and 2-naphthyl carboxylate derivatives 7a–f in excellent yields (Scheme 2).
Scheme 2.
Functionalization of unsubstituted γ-lactams 4a,b. Reaction conditions: (a) LDA (1.1 equiv.), THF, −78 °C then HC≡C–CO2R (1.1 equiv.), −78 °C to rt. (b) Yb(OTf)3 (1.1 equiv.), HC≡C–COCH3 (1.1 equiv.), CH2Cl2, rt.
Under the same reaction conditions, the conjugate addition of γ-lactams 4 to acetyl acetylene (R2 = CH3) failed to give the nucleophilic addition derivatives. However, the new set of reaction conditions such as stoichiometric amounts of a Lewis acid Yb(OTf)3 led to the formation of functionalized lactams 7g–h in excellent yields (Scheme 2).
γ-Lactams 7 were fully characterized on the basis of their 1H and 13C NMR and IR spectrum and HRMS. Functionalized γ-lactam 7a was selected in order to unambiguously establish the structure of the reaction products obtained from the conjugate addition to activated alkynes. The functionalization at C-4 is evident by the presence of a singlet at δH = 4.41 ppm in 1H NMR spectrum that integrates to two protons, corresponding to the methylene group at the 5-membered ring and the two doublets at δH = 7.56 and 5.63 ppm for the alkene group with a typical coupling constant for a trans configuration of the C=C double bond (3JHH = 15.7 Hz). As expected, both protons at the alkene bond proved to be coupled together in the homonuclear correlation spectroscopy (COSY) spectrum. In addition, the13C NMR spectrum shows a signal at δC = 49.2 ppm which was assigned to a CH2 carbon by distortionless enhancement by polarization transfer (DEPT) experiments. The proton and carbon signals assigned to the methylene group show a correlation in the heteronuclear single quantum coherence spectroscopy (HSQC) spectrum. Moreover, some other characteristic features of the 13C NMR spectrum of 6a are the two signals corresponding to the two enamine quaternary carbons (DEPT) at δC = 136.6 and 107.5 ppm as well as the signals corresponding to the methine carbons (DEPT) of the alkene group at δC = 135.5 and 113.2 ppm.
In congruity with the proposed structure, the heteronuclear multiple bond correlation spectroscopy (HMBC) spectrum of 6a presents two clear correlations of the methylene protons at the heterocycle with the two enamine carbons, as well as a third one with the alkene carbon next to the γ-lactam ring at δC = 135.5 ppm. As expected, the less shielded signal of the olefinic protons at δH = 7.56 ppm, corresponding to the methine group next to the heterocycle, shows correlation with the two enamine carbons and the methylene group at the 5-membered ring, as well as with the second carbon of the alkene moiety at δC = 113.2 ppm and the carbonyl of the very conjugated ester group at δC = 165.6 ppm. The most shielded signal of the olefinic protons at δH = 5.63 ppm, assigned to the CH group next to the carboxyl group, shows a relationship with the carboxyl group and the other carbon of the alkene moiety at δC = 135.5 ppm. Moreover, this olefinic proton only shows correlation with one of the quaternary enamine carbons at δC = 107.5 ppm.
In order to extend further the synthetic applications of γ-lactam substrates, next we explored the reactivity of the different functionalized derivatives 7. Our first attempt to promote an intramolecular cyclization from acrylate substituted γ-lactam 7a under basic conditions failed, which was attributed to an unfavorable trans configuration of the alkene bond. For this reason, next, we performed the double reduction of the alkene and enamine moieties under hydrogen pressure in the presence of palladium as the catalyst, affording saturated γ-lactam derivative 8 in excellent yield with a complete degree of syn-diastereoselection (Scheme 3). As a consequence of the less strained structure obtained in the saturated derivative 8, in this case the treatment under basic conditions leads to the formation of bicyclic γ-lactam 9 in almost quantitative yield (Scheme 3). As far as we are concerned, this represents the first example of a synthetic methodology leading to the diastereoselective formation of a bicyclic substrate comprising both γ and δ-lactam units. Additionally, the selective hydrolysis of the enamine moiety can be performed under acidic conditions to yield isotetramic acid derivative 10 in an almost quantitative yield.
Scheme 3.
Synthetic applications of functionalized γ-lactam 7a.
The relative configuration of the stereocenters in γ-lactams 8 and 9 was determined by nuclear Overhauser enhancement spectroscopy (NOESY) experiments (see ESI). NMR experiments with compound 8 showed a NOE of 3.98% between both protons at the two stereogenic centers, at δ = 4.13 and 2.91 ppm, respectively, indicating that these two atoms are oriented in the same direction. This relative configuration is in agreement with the accepted mechanism for catalytic hydrogenation of a carbon-carbon double bond, consisting in a syn addition of hydrogen.
Continuing with our interest in the nucleophilic addition reactions of enamine-derived γ-lactams, next, we explored the functionalization of substrates 4c,d, holding a phosphorated substituent at the position 4 of the ring. Accordingly, the treatment of γ-lactams 4c,d with LDA at low temperature, followed by the addition of ethyl glyoxalate, led to the nucleophilic addition products 12a,b, where the 5-membered ring is selectively functionalized at C-5. In this case, the presence of the bulky phosphonate or phosphine oxide substituents may block the β-enamine functionalization and the reaction presumably proceeds through the generation of aromatic enol-type intermediate 11, under kinetic conditions instead of the aza-enolate. Then, the subsequent selective vinylogous nucleophilic addition of anionic species 11 to the aldehyde electrophile proceeds selectively at position 5 of the 5-membered ring, leading to the formation of α-hydroxyester-functionalized γ-lactams 12a,b in good yields (Scheme 4). It should be noted that these are the first examples of C-5-functionalized phosphorus-substituted γ-lactams holding an enamine structure, since such substrates are known to rapidly provide the enol-derived γ-lactams through the spontaneous hydrolysis of the enamine moiety, as a consequence of the high steric hindrance present in the 5-membered heterocycle [21].
Scheme 4.
Stereoselective nucleophilic addition of phosphorated lactams 4c,d to ethyl glyoxalate.
Remarkably, the nucleophilic addition reaction proceeds with a high degree of stereoselectivity and a single diastereoisomer is observed in the NMR spectra of the crude reaction. Unfortunately, NOESY experiments on the functionalized γ-lactams did not provide solid evidence that could lead to the unambiguous determination of the relative configuration of the adduct. For this reason, a single crystal of substrate 12b was isolated from a mixture of CH2Cl2/hexanes and, next, the structure obtained by X-ray diffraction experiments revealed unequivocally a relative configuration derived from the anti-addition of the γ-lactam core to the aldehyde electrophile (Figure 2). A plausible transition state leading to the anti-derivative may consist of an electrostatic interaction between the aldehyde and the lithium cation, directing the carbonyl group towards the pyrrole ring. A possible additional stabilization by hydrogen bonding between the NH substituent and the carbonyl oxygen may provide a very rigid arrangement of the aldehyde, which orients its terminal hydrogen in a gauche conformation relative to the bulky phosphorus substituent, as drawn in the Newman projection shown in Figure 2.
Figure 2.
Plausible transition state for the nucleophilic addition to ethyl glyoxalate and X-ray structure of functionalized γ-lactam 12b (H, white; C, grey, O, red, N, blue, P, pink) (R, R enantiomer shown).
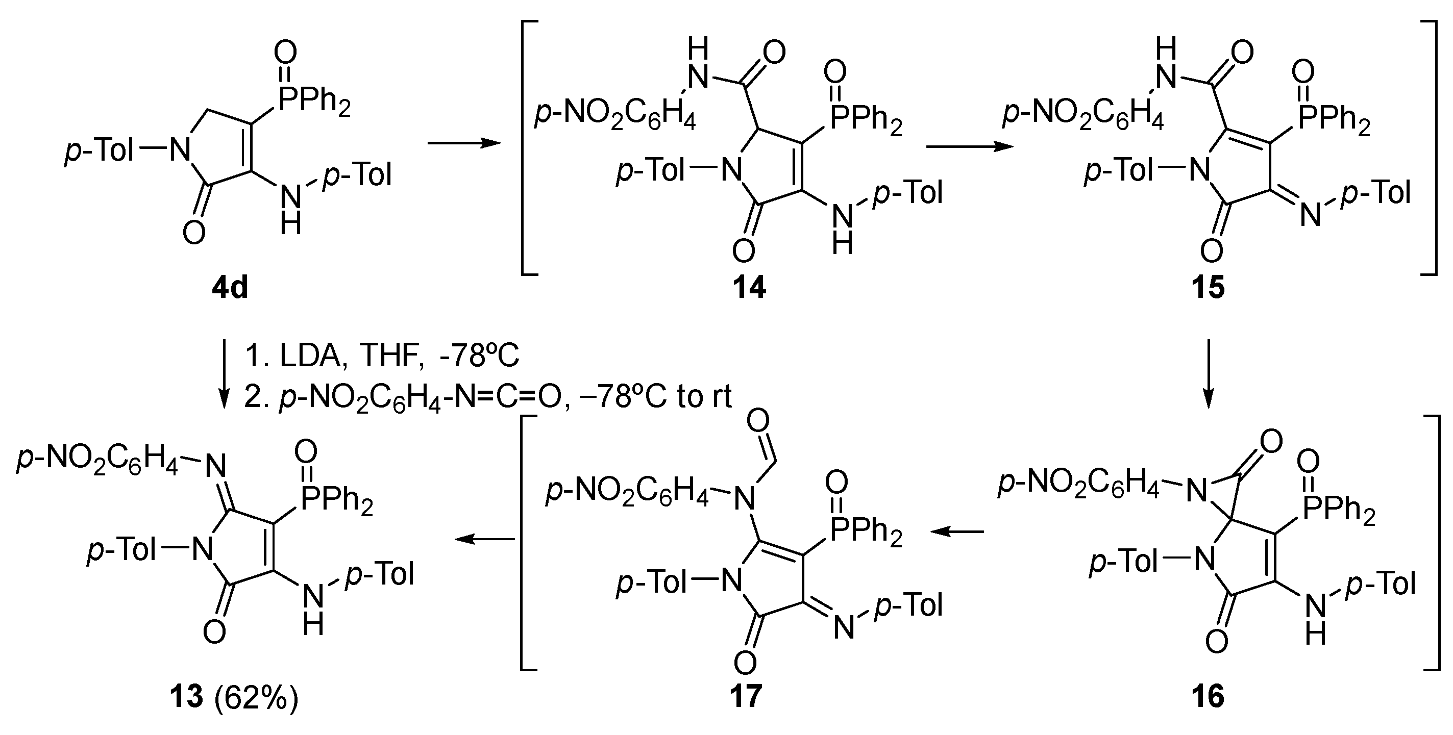
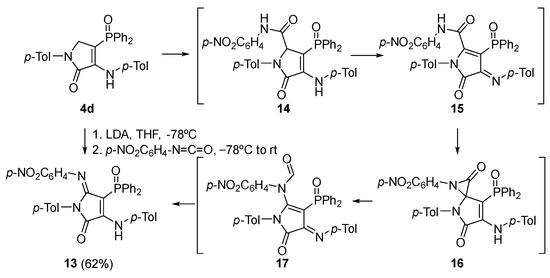
Surprisingly, under the same reaction conditions, for the special case of the nucleophilic addition of phosphorated γ-lactam 4d to p-nitrophenyl isocyanate, the introduction of an imine moiety into the five-membered ring was observed to give γ-lactam 13 (Scheme 5). An explanation for this behavior may consist of an initial formation of the amide 14 by the typical nucleophilic addition to an isocyanate substrate. Then, a spontaneous oxidation of the 5-membered heterocycle is proposed to yield intermediate 15. Next, an intramolecular conjugate addition of the amide nitrogen to the heterocycle would afford the instable three-membered aziridinone species 16, and a subsequent rearrangement of the aziridinone and the enamine moieties at the γ-lactam core would lead to N-formamide 17 that undergoes a spontaneous cleavage of the formyl residue to afford imine-functionalized γ-lactam 13.
Scheme 5.
Unexpected γ-lactam derivative 13 obtained by nucleophilic addition of γ-lactam 4d to isocyanates.
Due to the complexity of the transformation proposed and, in view of the simple pattern obtained in the 1H NMR spectrum, which only shows aromatic protons and the acidic NH group, we were still skeptical about the real identity of the substrate obtained in the reaction. Although the exact mass was consistent with the proposed structure, in order to wipe away any doubt regarding the identity of substrate 13, a monocrystal of γ-lactam derivative 13 was isolated and its structure was unambiguously established by X-ray diffraction (Figure 3). Key features of the crystal structure of 13 are the parallel conformation of the N-aryl groups at the lactam nitrogen and the imine group, possibly stabilized by π-stacking, and the intramolecular hydrogen bonding observed between the enamine NH and the phosphoryl oxygen.
Figure 3.
X-ray structure of functionalized γ-lactam 13 (H, white; C, grey, O, red, N, blue, P, pink).
Next, the functionalization reaction was extended to the use of chiral γ-lactam derivatives 5 holding a substituent at position 5 of the heterocycle. Under similar conditions, the treatment of substituted γ-lactam 5a with LDA at low temperature, followed by the addition of methyl iodide, afforded the alkylated substrate 18 in moderate yield (51%), together with a small amount of the hydrolyzed enol-derived lactam 19 (26%) (Scheme 6). The same behavior has already been observed in similar highly functionalized 3-amino 3-pyrrolin-2-ones and was attributed to the high steric hindrance at the 5-membered ring, due to the high degree of substitution [20,21,22,23,24,25]. In addition, enol-derived substrate 19 can be prepared in an almost quantitative yield by the hydrolysis of enamine-derived γ-lactam 18 in 0.1 M aqueous hydrochloric acid. Unfortunately, under the same reaction conditions, the nucleophilic addition of γ-lactam 5a to other electrophiles, such as acetylene carboxylates, acrylates, or bulkier alkyl halides, failed, which was attributed to the high steric crowding present in the expected densely functionalized resulting substrates.
Scheme 6.
Enamine functionalization of 5-substituted γ-lactam 5a.
The alkylation at C-5 in γ-lactam derivative 18 was verified by an extensive NMR study. The selective functionalization is deduced in the 1H NMR spectrum from the disappearance of the two doublets at δH = 6.01 and 5.63 ppm (3JHH = 2.6 Hz), corresponding to the two CH groups of the γ-lactam ring in starting substrate 5a, and the appearance of a new singlet at δH = 5.33 ppm assigned, in principle, to the proton at the chiral carbon of the heterocycle in 18. The presence of the methyl group is evident from the presence of an intense singlet at δH = 1.60 ppm.
The most characteristic signals found in the 13C NMR spectrum of 18 are the four carbons of the 5-membered heterocycle, comprising the chiral CH carbon at δC = 67.6 ppm, the two quaternary enamine carbons at δC = 125.7 and 131.3 ppm, and the conjugated amide carbonyl group at δC = 168.2 ppm. Likewise, the presence of a dimethylaminomethyl group is evidenced from the appearance of an intense signal at δC = 13.6 ppm. The multiplicity of all carbon signals was verified by DEPT experiments. In addition, a strong C-H interaction was observed in HSQC spectrum between the 1H NMR and 13C NMR signals attributed to the CH, and methyl groups.
HMBC experiments provide additional evidence for the functionalization at C-4 in substrate 18. Accordingly, a correlation is observed for both, the CH and methyl protons, with the two quaternary carbons of the enamine moiety. Moreover, the 1H NMR signal assigned to the methyl group shows a correspondence with the stereogenic carbon at the 5-membered heterocycle, while the methine proton presents the reciprocal correlation.
On the other hand, the presence of an ester group at the stereogenic carbon of the γ-lactam ring provides an additional acidic character to the proton at C-5. Accordingly, the vinylogous Mannich reaction of 3-pyrrolin-2-one 5g is observed upon treatment with trimethylamine in the presence of Eschenmoser salt, providing, in good yield, γ-lactam 20, bearing a tetrasubstituted carbon (Scheme 7).
Scheme 7.
Vinylogous reaction of γ-lactam 5b with Eschenmoser salt.
In order to provide evidence of the selective functionalization at C-5, an extensive NMR study of substrate 20 was implemented. In this case, the 1H NMR spectrum of substrate 20 shows a singlet at δH = 5.95 ppm for the methine group and two additional doublets at δH = 2.74 and 3.17 ppm, characteristic of the two diastereotopic protons of the methylene group, showing a typical geminal coupling constant (2JHH = 14.0 Hz). As expected, the doublets corresponding to the diastereotopic protons show a strong interaction in the COSY spectrum.
The most characteristic signals found in the 13C NMR spectrum are the four carbons of the 5-membered heterocycle, comprising the chiral quaternary carbon at δC = 72.7 ppm, the two enamine carbons at δC = 105 and 134 ppm, and the amide carbonyl group at δC = 168.3 ppm. The functionalization at C-5 in 20 is deduced from the appearance of the quaternary carbon at higher field than in C-4-functionalized substrate 18 (72.7 vs. 125.7 ppm), suggesting a sp3 hybridization of such carbon. Moreover, the fact that the CH carbon appears at significantly lower field in the 13C NMR spectrum of 20 than in substrate 17 (104.9 vs. 67.6 ppm) suggests that this signal corresponds to an olefinic methine carbon. As usual, the multiplicity of the carbons was verified by DEPT experiments and could also be deduced from the interactions observed in the HSQC spectrum.
Some additional evidences of the functionalization at C-5 in substrate 20 can be gathered from HMBC experiments. In this case, the principal argument to consider a C-5 functionalization arises from the strong correlation observed between the diastereotopic methylene protons and the carboxylic carbon, corresponding to the ester moiety. Moreover, both diastereotopic protons show an additional interaction with the enamine CH group, while no correspondence with the quaternary enamine carbon is observed.
Considering the presence of a chiral stereocenter in C-5-substituted γ-lactam substrates 5, next, some other diastereoselective transformations were explored. A simple transformation of substrate 5b consists of the hydrogenation of the endocyclic enamine moiety under hydrogen pressure (80 psi) in the presence of palladium as catalyst, leading to the formation of a single diastereoisomer of saturated γ-lactam derivative 21 in excellent yield (Scheme 8).
Scheme 8.
Diastereoselective reactions of γ-lactam 5g.
The relative configuration of the stereocenters in saturated γ-lactam 21 was determined by NOESY (see ESI). The fact that the signals corresponding to both protons at the two stereogenic centers, at δ = 4.78 and 4.16 ppm, show a strong NOE effect with the same proton at the diastereotopic methylene group at δ = 3.10 ppm, suggests that these three atoms are oriented in the same direction. In addition, no significant NOE is observed between the signal corresponding to the second of the diastereotopic protons, at δ = 2.08 ppm, and the two protons at both stereogenic centers, which confirms a relative cis configuration between the carboxylate and the amino groups in structure 21. Thus, the conventional mechanism for a catalytic hydrogenation of a carbon-carbon double bond is deduced from this configuration, where a syn addition of hydrogen takes place from the less hindered face, that is, the opposite to the carboxylate substituent at the stereogenic carbon.
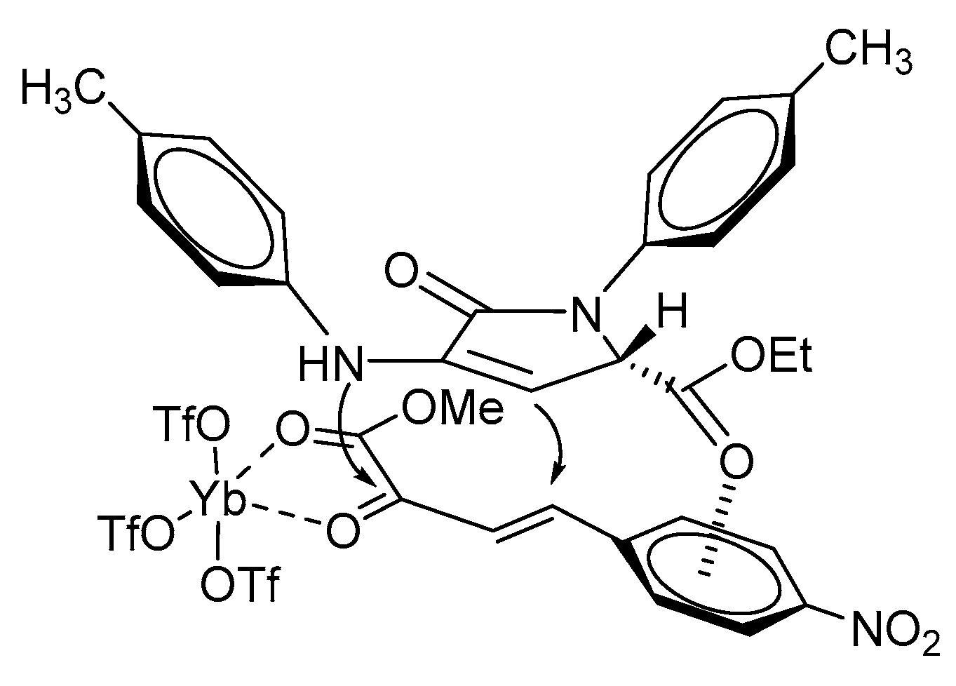
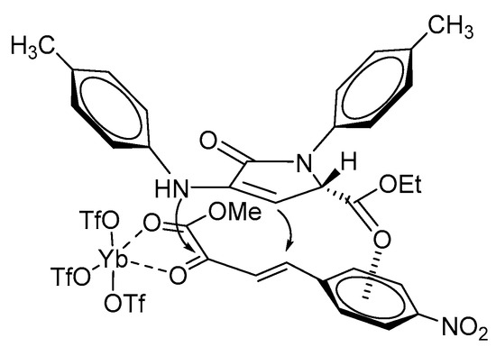
In addition, similar cyclic enamines have proved to be excellent substrates in [3+3] annulation reactions [12]. For this reason, enamine-derived chiral lactam 5b was treated with β,γ-unsaturated α-ketoester 22 in the presence of a catalytic amount of ytterbium triflate, leading to the formation of a single diastereoisomer of bicyclic dihydropyridine 23 in excellent yield (Scheme 8). In this case, NOESY experiments showed a strong correlation between both protons at the chiral centers at δ = 4.93 and 5.05 ppm, revealing a cis relative configuration of both substituents at the stereogenic carbons (see ESI). In this case, in agreement with the proposed pathway for this reaction [49], the mechanism of the process may consist of a Michael addition of the enamine moiety to the conjugated double bond of β,γ-unsaturated α-ketoester and a second nucleophilic addition of the enamine nitrogen to the carbonyl group. A non-covalent attractive interaction of the carbonyl moiety with the electron-deficient arene bearing the nitro-electron-withdrawing substituent [50] may drive the stereoselectivity of the reaction to the exclusive formation of the cis diastereoisomer as shown in Figure 4.
Figure 4.
Proposed model for the double nucleophilic addition of cyclic enamine 5b to β,γ-unsaturated α-ketoester 22 (S enantiomer shown).
Next, taking the advantage of the possible in situ tautomerization of the enamine into an imine moiety, the potential of unsaturated γ-lactam substrates as electrophiles was studied. Accordingly, the treatment of 5-substituted γ-lactam 5a derived from p-toluidine (R1 = p-MeC6H4) with methyllithium in THF at low temperature led to the efficient formation of unsaturated lactam derivative 25a, holding a tetrasubstituted chiral carbon (Scheme 9). Next, the reaction was extended to the use of n-butyllithium, obtaining almost identical results under the same reaction conditions (Scheme 9, 25b). The scope of the reaction using n-butyllithium as nucleophilic reagent was also extended to the use of other γ-lactam substrates 5c–e, derived from different aromatic amines such as p-anisidine, p-bromoaniline and m-chloroaniline (R1 = p-MeOC6H4, p-BrC6H4, m-ClC6H4), providing tetrasubstituted γ-lactam derivatives 25c–e also in very good yields (Scheme 9).
Scheme 9.
Nucleophilic addition of organolithium reagents to γ-lactams 5.
The formation of substrates 25 was evident by the presence of a chemical shift in the 1H NMR spectrum of compound 25a (R1 = p-Me-C6H4, R2 = Me) at δ = 5.63 ppm, corresponding to the olefinic proton at the 5-membered ring, together with the two characteristic signals in 13C NMR spectrum at δ = 131.9 and 94.8 ppm, which correspond to the quaternary carbon and the CH group of the alkene bond, respectively. Moreover the exact mass of compound 25a showed a value of 368.1889 amu, which is in agreement with the proposed formula. In addition, the heteronuclear multiple bond correlation experiment (HMBC) showed a correlation between the singlet in 1H NMR, corresponding to the methyl group at δ = 1.45 ppm, and the signals of the alkene CH and the amide carbonyl groups in 13C NMR at δ = 94.8 and 175.5 ppm, respectively, while no correlation was observed between the methyl and the phenyl substituents (see ESI). These observations imply unequivocal evidence of the substitution at C-3 of the γ-lactam ring.
The reaction seems to proceed through an initial nucleophilic addition of the organometallic reagent to the imine tautomer of 5, followed by spontaneous oxidation of the 5-membered ring under exposure to the atmosphere (Scheme 9). In order to prove this hypothesis, the hydrogenation reaction of the alkene bond was performed in the presence of a catalytic amount of Pd on carbon. After a quick filtration of the reaction, the 1H NMR spectrum of the crude reaction showed the presence of the characteristic signals corresponding to the diastereotopic protons of the CH2 group of saturated intermediate 24 that rapidly disappeared to show again the spectrum corresponding to 25a (Scheme 9). However, we were unable to isolate a pure sample of intermediate 24.
2.2. Biological Results
As has been addressed above, some 3-pyrrolin-2-one derivatives have been demonstrated to induce apoptosis in several cancer cell lines [10,11]. For this reason and in order to underscore the usefulness of our functionalized γ-lactam substrates, next, the in vitro cytotoxicity of some of the heterocycles was evaluated by testing their antiproliferative activities against several human cancer cell lines. Cell counting kit (CCK-8) assay was used for the evaluation of growth inhibition. Moreover, non-malignant MRC5 lung fibroblasts were tested for studying selective toxicity [51]. Chemotherapeutic doxorubicin was used as reference value and 4,5-unsubstituted 3-amino 3-pyrrolin-2-one 27 [11] (R1 = p-MeC6H4, R2 = R3 = H) was used in order to evaluate the influence of the introduction of the different substituents.
First, the cytotoxicity of the simplest substrates 7 derived from C-5-unsubstituted γ-lactams was evaluated. Although most of alkene-substituted γ-lactams 7 showed no activity, substrate 7d derived from p-toluidine and obtained from the functionalization with tert-butyl acetylene carboxylate presented some toxicity against SKOV3 cell line with an IC50 value of 21.21 ± 2.36 μM and high selectivity towards A549 and MRC5 cell lines (Table 1, Entry 1).
Table 1.
Selected antiproliferative activities of γ-lactam derivatives 7, 12, 25, and 26 against lung and ovarian cancer cell lines.
Next, the growth inhibition activity of chiral C-5-substituted γ-lactams was explored. In this context, due to their chemical similitude to natural phosphate metabolites, phosphonate derivatives show multiple biological activities and, for this reason, they have found numerous applications in medicine and agrochemistry [52,53,54,55,56]. For this reason, the antiproliferative activity of γ-lactam derivative 12a bearing a phosphonate group at C-4 was studied. However, for this special case, no significant toxicity was observed in A549 or SKOV3 cell lines (Table 1, Entry 2). In addition, although the appearance of phosphine oxides in drug discovery is rare, if compared with their counterparts, phosphates, phosphonates, or phosphoramidates, a few of those derivatives have proven to be excellent drug candidates such as anticancer drugs ridaforolimus [57,58] or brigatinib [59,60]. Accordingly, phosphine-oxide-substituted γ-lactam derivative 12b presented an excellent IC50 value of 3.6 ± 0.20 μM with also high selectivity towards SKOV3 and MRC5 cell lines (Table 1, Entry 3). The IC50 values observed for compound 12b suggest that the presence of the phosphine oxide moiety is critical in order to obtain both good values of toxicity and selectivity (Table 1, Entry 3 vs. Entry 9). It should be noted that other attempts to measure the cytotoxicity of C-5-unsubstituted phosphorated γ-lactams, like 4d, failed due to the low solubility of phosphine oxides in the solvents compatible with the biological tests [11]. However, in this case, the C-5 functionalization of 4d with ethyl glyoxalate provides a solvent-friendly structure in 12b, suitable for the evaluation of its antiproliferative activity.
Continuing with the SAR study on the γ-lactam derivatives, the cytotoxicity of unsaturated lactams 25 bearing a tetrasubstituted carbon was evaluated. Substrate 25a derived from p-toluidine and, when holding a methyl substituent at the tetrasubstituted carbon, showed good toxicity against A549 and SKOV3 cell lines, with IC50 values of 15.16 ± 1.84 and 9.73 ± 1.27 μM, respectively. However, compound 25a did not show any selectivity towards non-malignant cells (Table 1, Entry 4). Substitution of the methyl group by a more lipophilic n-butyl group in γ-lactam derivative 25b resulted in an increase of the cytotoxicity, showing IC50 values of 3.35 ± 0.42 and 6.93 ± 0.35μM in A549 and SKOV3 cell lines, respectively. Nonetheless, a similar increase in the toxicity towards MRC5 cell line was also observed in this case (Table 1, Entry 5). Almost identical results were obtained for other n-butyl-substituted γ-lactams 25c–e derived from different anilines with strong toxicity against cancer cells but non-selectivity towards non-malignant ones (Table 1, Entries 6–8). The best candidate of this family was found to be p-chloroaniline-derived lactam 25e, which showed IC50 values of 4.71 ± 1.40 and 4.64 ± 0.62 μM in A549 and SKOV3 cell lines, respectively, and an IC50 value five times higher in MRC5 cell line (Table 1, Entry 8). The comparison of the IC50 values obtained for compounds 25 with the ones reported for unsubstituted lactam 25 suggests that either the presence of the tetrasubstituted carbon or the deconjugation of the C=C double bond results in highly toxic species (Table 1, Entries 4–8 vs. Entry 9).
It is also worth mentioning that, with the exception of substrate 25d, all other γ-lactam derivatives fulfill the requirements for orally active drugs in humans, in accordance with Lipinski’s rule of five. According to the predictions, most of the described substrates have high gastrointestinal absorption and the ability to cross the blood-brain-barrier (see Table in ESI).
3. Materials and Methods
3.1. Chemistry
3.1.1. General Experimental Information
Solvents for extraction and chromatography were technical grade. All solvents used in reactions were freshly distilled from appropriate drying agents before use. All other reagents were recrystallized or distilled as necessary. All reactions were performed under an atmosphere of dry nitrogen. Analytical TLC was performed with silica gel 60 F254 plates. Visualization was accomplished by UV light. 1H, 13C, 31P, and 19F-NMR spectra were recorded on a Varian Unity Plus (Varian Inc., NMR Systems, Palo Alto (CA), United States) (at 300 MHz, 75 MHz, 120 MHz, and 282 MHz, respectively) and on a Bruker Avance 400 (Bruker BioSpin GmbH, Rheinstetten, Germany) (at 400 MHz for 1H, and 100 MHz for 13C). Chemical shifts (δ) are reported in ppm relative to residual CHCl3 (δ = 7.26 ppm for 1H and δ = 77.16 ppm for 13C NMR) and using phosphoric acid (50%) or HF as external reference (δ = 0.0 ppm) for 31P and 19F NMR spectra. Coupling constants (J) are reported in Hertz. Data for 1H NMR spectra are reported as follows: chemical shift, multiplicity, coupling constant, integration. Multiplicity abbreviations are as follows: s = singlet, d = doublet, t = triplet, q = quartet, m = multiplet. 13C NMR peak assignments were supported by distortionless enhanced polarization transfer (DEPT). High-resolution mass spectra (HRMS) were obtained by positive-ion electrospray ionization (ESI). Data are reported in the form m/z (intensity relative to base = 100). Infrared spectra (IR) were taken in a Nicolet iS10 Thermo Scientific spectrometer (Thermo Scientific Inc., Waltham, Massachusetts (MA), United States) as neat solids. Peaks are reported in cm−1.
3.1.2. Compounds Purity Analysis
All synthesized compounds were analyzed by HPLC to determine their purity. The analyses were performed on Agilent 1260 infinity HPLC system (Agilent, Santa Clara, CA, United States) using a CHIRALPAK® IA column (5 μm, 0.54 cm ø × 25 cm, Daicel Chiral Technologies, Illkirch Cedex, France) at room temperature. All the tested compounds were dissolved in dichloromethane, and 5 μL of the sample was loaded onto the column. Ethanol and heptane were used as the mobile phase, and the flow rate was set at 1.0 mL/min. The maximal absorbance at the range of 190–400 nm was used as the detection wavelength. The purity of all the derivatives tested in biological essays is >95%, which meets the purity requirement by the Journal.
3.1.3. Experimental Procedures and Characterization Data for Compounds 13, 15, 16, and 23
General Procedure for the Multicomponent Synthesis of γ-Lactams 4 and 5
Following a known procedure [11], a solution of amine 1 (10 mmol), aldehyde 2 (5 mmol), ethyl pyruvate 3 (1.74 g, 15 mmol), and 1,1′-binaphthyl-2,2′-diyl hydrogen phosphate (174 mg, 10 mol%) was stirred in Et2O (25 mL) at room temperature or MTBE (25 mL) at 55 °C (heating plate with Heat-On) in the presence of anhydrous MgSO4 (2.5 g) for 48 h. The volatiles were distilled off at reduced pressure and the crude residue was purified by chromatography (AcOEt/hexanes 9:1) to afford pure γ-lactams 4 and 5.
General Procedure for the Nucleophilic Conjugate Addition of γ-Lactams 4 to Activated Alkynes
Procedure A (Esters). The corresponding γ-lactam 4 (1 mmol) was added to a freshly prepared solution of LDA (1.2 mmol) in THF (3 mL) at −78 °C under N2 atmosphere. After 1 h, the selected alkyl propiolate (1.2 mmol) was added and the reaction was stirred at room temperature until the disappearance of the starting materials (monitored by TLC and/or 1H RMN, ~4 h). The reaction was acidified with a 0.5 M aqueous solution of HCl (10 mL), and extracted with dichloromethane (2 × 10 mL). The combined organic layers were washed with water (2 × 10 mL), dried over MgSO4, and concentrated under vacuum. The crude residue was purified by crystallization, affording pure functionalized γ-lactam derivatives 6. In some cases, a previous purification by chromatography was necessary as detailed for each compound.
Procedure B (Ketones). A solution of the corresponding γ-lactam 4 (1 mmol), 3-butn-2-one (0.097 mL, 1.2 mmol) and Yb(OTf)3 (1 mmol, 620 mg) in dichloromethane (3 mL) was stirred at room temperature until the disappearance of the starting (monitored by TLC, 4 to 20 h). The reaction mixture was filtered through celite and concentrated under vacuum and the crude residue was purified by crystallization, affording pure functionalized γ-lactam derivatives 7. In some cases, previous purification by chromatography column was necessary as detailed for each compound.
Methyl (E)-3-(5-oxo-1-(p-tolyl)-4-(p-tolylamino)-2,5-dihydro-1H-pyrrol-3-yl)acrylate (7a). The general procedure A was followed using 1-(p-tolyl)-3-(p-tolylamino)-1,5-dihydro-2H-pyrrol-2-one 4a (278 mg, 1 mmol) and methyl propiolate (107 μL, 1.2 mmol), affording 304 mg (84%) of 7a as yellow crystals after crystallization (Dichloromethane/Hexanes 1:3). M.p. (Dichloromethane/Hexanes) = 189–191 °C. 1H NMR (400 MHz, CDCl3) δ 7.66 (d, 3JHH = 8.6 Hz, 2H, 2 × CHAr), 7.56 (d, 3JHH = 15.7 Hz, 1H, CH=), 7.22 (d, 3JHH = 8.6 Hz, 2H, 2 × CHAr), 7.19 (d, 3JHH = 8.4 Hz, 2H, 2 × CHAr), 7.11 (d, 3JHH = 8.4 Hz, 2H, 2 × CHAr), 6.74 (s, 1H, NH), 5.63 (d, 3JHH = 15.7 Hz, 1H, CH=), 4.41 (s, 2H, CH2), 3.68 (s, 3H, OCH3), 2.37 (s, 3H, CH3Tol), 2.36 (s, 3H, CH3Tol) ppm. 13C NMR {1H} (101 MHz, CDCl3) δ 167.4 (C=O), 165.6 (C=O), 136.6 (Cquat), 136.4 (Cquat), 136.3 (Cquat), 135.5 (CH=), 135.1 (Cquat), 134.8 (Cquat), 130.2 (2 × CHAr), 129.9 (2 × CHAr), 122.5 (2 × CHAr), 119.1 (2 × CHAr), 113.2 (CH=), 107.5 (Cquat), 51.6 (OCH3), 49.2 (CH2), 21.1 (CH3Tol), 21.0 (CH3Tol) ppm. FTIR (neat) νmax: 3321 (NH st), 3059 (=CH st), 1701 (C=O st), 1676 (C=O st), 1611 (C=C st), cm−1. HRMS (ESI-TOF) m/z: [M+H]+ calcd for C22H23N2O3 363.1709, Found 363.1708.
Methyl (E)-3-(5-oxo-1-(3-(trifluoromethyl)phenyl)-4-((3-(trifluoromethyl)phenyl)amino)- 2,5-dihydro-1H-pyrrol-3-yl)acrylate (7b). The general procedure A was followed using 1-(3-(trifluoromethyl)phenyl)-3-((3-(trifluoromethyl)phenyl)amino)-1,5-dihydro-2H-pyrrol-2-one 4b (386 mg, 1 mmol) and methyl propiolate 107 μL, 1.2 mmol), affording 285 mg (61%) of 7b as a red oil after chromatography (Hexane/AcOEt 9:1). 1H NMR (400 MHz, CDCl3) δ 8.10–7.99 (m, 2H, 2 × CHAr), 7.59–7.44 (m, 3H, 3 × CHAr), 7.54 (d, 3JHH = 15.8 Hz, 1H, CH=), 7.40 (d, 3JHH = 7.4 Hz, 2H, 2 × CHAr), 7.33 (d, 3JHH = 7.4 Hz, 1H, CHAr), 6.82 (s, 1H, NH), 5.80 (d, 3JHH = 15.8 Hz, 1H, CH=), 4.54 (s, 2H, CH2), 3.71 (s, 3H, CH3) ppm. 13C NMR {1H} (101 MHz, Acetone d6) δ 167.0 (C=O), 166.6 (C=O), 143.0 (Cquat), 141.0 (Cquat), 136.0 (Cquat), 134.6 (CH=), 131.6 (q, 2JCF = 32.3 Hz, Cquat), 131.6 (q, 2JCF = 31.9 Hz, Cquat), 130.9 (2 × CHar), 125.2 (q, 1JCF = 271.6 Hz, CF3), 125.1 (q, 1JCF = 271.3 Hz, CF3), 124.2 (CHar), 122.4 (CHar), 121.2 (q, 3JFC = 4.0 Hz, CHAr), 119.8 (q, 3JFC = 3.8 Hz, CHAr), 117.9 (CH=), 117.7 (Cquat), 117.2 (q, 3JFC = 3.9 Hz, CHAr), 115.6 (q, 3JFC = 4.1 Hz, CHAr), 51.7 (CH3), 49.6 (CH2) ppm. 19F-NMR (282 MHz, CDCl3) δ −63.1, −63.5 ppm. FTIR (neat) νmax: 3309 (NH st), 3062 (=CH st), 1706 (C=O st), 1679 (C=O st), 1609 (C=C st) cm−1. HRMS (ESI-TOF) m/z: [M+H]+ calcd for C22H17F6N2O3 471.1143, Found 471.1140.
Ethyl (E)-3-(5-oxo-1-(p-tolyl)-4-(p-tolylamino)-2,5-dihydro-1H-pyrrol-3-yl)acrylate (7c). The general procedure A was followed using 1-(p-tolyl)-3-(p-tolylamino)-1,5-dihydro-2H-pyrrol-2-one 4a (278 mg, 1 mmol) and ethyl propiolate (118 μL, 1.2 mmol), affording 345 mg (91%) of 7c as brown crystals after crystallization (Dichloromethane/Hexanes 1:3). M.p. (Dichloromethane/Hexanes) = 211–212 °C. 1H NMR (400 MHz, CDCl3) δ 7.65 (d, 3JHH = 8.4 Hz, 2H, 2 × CHAr), 7.54 (d, 3JHH = 15.7 Hz, 1H, CH=), 7.22 (d, 3JHH = 8.4 Hz, 2H, 2 × CHAr), 7.19 (d, 3JHH = 8.3 Hz, 2H, 2 × CHAr), 7.11 (d, 3JHH = 8.3 Hz, 2H, 2 × CHAr), 6.75 (s, 1H, NH), 5.62 (d, 3JHH = 15.7 Hz, 1H, CH=), 4.40 (s, 2H, CH2), 4.12 (q, 3JHH = 7.1 Hz, 2H, CH2CH3), 2.35 (s, 6H, 2 × CH3Tol), 1.23 (t, 3JHH = 7.1 Hz, 3H, CH2CH3) ppm. 13C NMR {1H} (101 MHz, CDCl3) δ 166.9 (C=O), 165.6 (C=O), 136.6 (Cquat), 136.3 (Cquat), 136.3 (Cquat), 135.2 (Cquat), 135.2 (Cquat), 134.8 (CH=), 130.2 (2 × CHAr), 129.9 (2 × CHAr), 122.8 (2 × CHAr), 119.0 (2 × CHAr), 113.6 (CH=), 107.4 (Cquat), 60.3 (CH2CH3), 49.2 (CH2), 21.1 (CH3Tol), 21.0 (CH3Tol), 14.3 (CH2CH3) ppm. FTIR (neat) νmax: 3381 (NH st), 3066 (=CH st), 1698 (C=O st), 1676 (C=O st), 1605 (C=C st) cm−1. HRMS (ESI-TOF) m/z: [M+H]+ calcd for C23H25N2O3 377.1865, Found 377.1863.
Tert-butyl (E)-3-(5-oxo-1-(p-tolyl)-4-(p-tolylamino)-2,5-dihydro-1H-pyrrol-3-yl)acrylate (7d). The general procedure A was followed using 1-(p-tolyl)-3-(p-tolylamino)-1,5-dihydro-2H-pyrrol-2-one 4a (278 mg, 1 mmol) and tert-butyl propiolate (166 μL, 1.2 mmol), affording 388 mg (96%) of 7d as orange crystals after crystallization (Dichloromethane/Hexanes 1:3). M.p. (Dichloromethane/Hexanes) = 186–187 °C. 1H NMR (400 MHz, CDCl3) δ 7.66 (d, 3JHH = 8.6 Hz, 2H, 2 × CHAr), 7.44 (d, 3JHH = 15.7 Hz, 1H, CH=), 7.22 (d, 3JHH = 8.6 Hz, 2H, 2 × CHAr), 7.18 (d, 3JHH = 8.3 Hz, 2H, 2 × CHAr), 7.11 (d, 3JHH = 8.3 Hz, 2H, 2 × CHAr), 6.68 (s, 1H, NH), 5.55 (d, 3JHH = 15.7 Hz, 1H, CH=), 4.40 (s, 2H, CH2), 2.36 (s, 3H, CH3Tol), 2.34 (s, 3H, CH3Tol), 1.41 (s, 9H, 3 × CH3tBu) ppm. 13C NMR {1H} (101 MHz, CDCl3) δ 166.1 (C=O), 165.8 (C=O), 136.7 (Cquat), 136.4 (Cquat), 135.8 (Cquat), 134.9 (Cquat), 134.7 (Cquat), 134.2 (CH=), 130.1 (2 × CHAr), 129.9 (2 × CHAr), 122.8 (2 × CHAr), 119.0 (2 × CHAr), 116.0 (CH=), 107.7 (Cquat), 80.1 (CquattBu), 49.2 (CH2), 28.24 (3 × CH3tBu), 21.1 (CH3Tol), 21.0 (CH3Tol) ppm. FTIR (neat) νmax: 3402 (NH st), 3041 (=CH st), 1694 (C=O st), 1679 (C=O st), 1615 (C=C st) cm−1. HRMS (ESI-TOF) m/z: [M+H]+ calcd for C25H29N2O3 405.2178, Found 405.2179.
Tert-butyl (E)-3-(5-oxo-1-(3-(trifluoromethyl)phenyl)-4-((3-(trifluoromethyl)phenyl) amino)-2,5-dihydro-1H-pyrrol-3-yl)acrylate (7e). The general procedure A was followed using 1-(3-(trifluoromethyl)phenyl)-3-((3-(trifluoromethyl)phenyl)amino)-1,5-dihydro- 2H-pyrrol-2-one 4b (386 mg, 1 mmol) and tert-butyl propiolate (166 μL, 1.2 mmol), affording 380 mg (74%) of 7e as a yellow oil after chromatography (Hexanes/AcOEt 9:1). 1H NMR (400 MHz, CDCl3) δ 8.10–7.99 (m, 2H, 2 × CHar), 7.59–7.43 (m, 3H, 3 × CHar), 7.42–7.28 (m, 3H), 7.38 (d, 3JHH = 15.8 Hz, 1H), 6.78 (s, 1H, NH), 5.73 (d, 3JHH = 15.8 Hz, 1H, CH=), 4.52 (s, 2H, CH2), 1.42 (s, 9H, 3 × CH3tBu) ppm. 13C NMR {1H} (75 MHz, CDCl3) δ 166.1 (C=O), 165.4 (C=O), 140.4 (Cquat), 139.3 (Cquat), 134.1 (CH=), 132.9 (Cquat), 132.2 (q, 2JFC = 32.3 Hz, Cquat), 132.0 (q, 2JFC = 32.7 Hz, Cquat), 130.2 (2 × CHAr), 124.0 (q, 1JFC = 272.4 Hz), 123.9 (q, 1JFC = 272.7 Hz), 124.1 (CHAr), 121.9 (CHAr), 121.6 (q, 3JFC = 3.9 Hz, CHAr), 120.9 (q, 3JFC = 3.9 Hz, CHAr), 119.4 (CH=), 117.5 (q, 3JFC = 3.9 Hz, CHAr), 115.3 (q, 3JFC = 3.9 Hz, CHAr), 112.1 (Cquat), 81.0 (CquattBu), 49.2 (CH2), 28.22 (3 × CH3tBu) ppm. 19F-NMR (282 MHz, CDCl3) δ −63.1, −63.3 ppm. FTIR (neat) νmax: 3301 (NH st), 3051 (=CH st), 1708 (C=O st), 1675 (C=O st), 1607 (C=C st) cm−1. HRMS (ESI-TOF) m/z: [M+H]+ calcd for C25H23F6N2O3 513.1613, Found 513.1610.
Naphthalen-2-yl (E)-3-(5-oxo-1-(p-tolyl)-4-(p-tolylamino)-2,5-dihydro-1H-pyrrol-3-yl) acrylate (7f). The general procedure A was followed using 1-(p-tolyl)-3-(p-tolylamino)-1,5-dihydro-2H-pyrrol-2-one 4a (278 mg, 1 mmol) and naphthalen-2-yl prop-2-ynoate (235 mg, 1.2 mmol), affording 450 mg (95%) of 7f as brown crystals after crystallization (Dichloromethane/Hexanes 1:3). M.p. (Dichloromethane/Hexanes) = 228–230 °C. (dec.). 1H NMR (400 MHz, CDCl3) δ 7.84 (d, 3JHH = 8.4 Hz, 2H, 2 × CHAr), 7.75 (d, 3JHH = 15.6 Hz, 1H, CH=), 7.70 (d, 3JHH = 8.6 Hz, 2H, 2 × CHAr), 7.58–7.35 (m, 5H, 5 × CHAr), 7.25–7.02 (m, 6H, 6 × CHAr), 6.86 (s, 1H, NH), 5.84 (d, 3JHH = 15.6 Hz, 1H, CH=), 4.50 (s, 2H, CH2), 2.38 (s, 3H, CH3Tol), 2.30 (s, 3H, CH3Tol) ppm. 13C NMR {1H} (101 MHz, CDCl3) δ 165.5 (C=O), 165.4 (C=O), 145.7 (Cquat), 137.4 (Cquat), 137.2 (CH=), 136.2 (Cquat), 135.8 (Cquat), 135.0 (Cquat), 134.8 (Cquat), 133.9 (Cquat), 131.5 (Cquat), 130.3 (2 × CHAr), 130.0 (2 × CHAr), 127.9 (CHAr), 127.7 (CHAr), 126.6 (CHAr), 126.5 (CHAr), 125.7 (CHAr), 123.2 (2 × CHAr), 121.3 (CHAr), 119.2 (2 × CHAr), 118.5 (CHAr), 112.0 (CH=), 106.8 (Cquat), 49.3 (CH2), 21.2 (CH3Tol), 21.1 (CH3Tol) ppm. FTIR (neat) νmax: 3284 (NH st), 3056 (=CH st), 1714 (C=O st), 1676 (C=O st), 1603 (=CH st) cm−1. HRMS (ESI-TOF) m/z: [M+H]+ calcd for C31H26N2O3 475.2022, Found 475.2024.
(E)-4-(3-oxobut-1-en-1-yl)-1-(p-tolyl)-3-(p-tolylamino)-1,5-dihydro-2H-pyrrol-2-one (7g). The general procedure B was followed using 1-(p-tolyl)-3-(p-tolylamino)-1,5-dihydro-2H-pyrrol-2-one (278 mg, 1 mmol) 4a, affording 312 mg (90%) of 7g as yellow crystals after crystallization (Et2O/pentane 1:3). M.p. (Et2O /Pentane) = 195–196 °C. 1H NMR (300 MHz, CDCl3) δ 7.66 (d, 3JHH = 8.5 Hz, 2H, 2 × CHAr), 7.36–7.10 (m, 7H, 6 × CHAr + CH=), 6.81 (s, 1H, NH), 5.86 (d, 3JHH = 16.1 Hz, 1H, CH=), 4.41 (s, 2H, CH2), 2.38 (s, 3H, CH3Tol), 2.36 (s, 3H, CH3Tol), 2.01 (d, 4JHH = 1.5 Hz, 3H, COCH3) ppm. 13C NMR {1H} (75 MHz, CDCl3) δ 198.1 (C=O), 165.3 (C=O), 137.6 (Cquat), 136.6 (Cquat), 136.2 (Cquat), 135.8 (Cquat), 134.9 (Cquat), 134.7 (CH=), 130.2 (2 × CHAr), 129.9 (2 × CHAr), 123.5 (2 × CHAr), 119.1 (2 × CHAr), 119.1 (CH=), 107.3 (Cquat), 49.1 (CH2), 26.0 (COCH3), 21.1 (CH3Tol), 21.1 (CH3Tol) ppm. FTIR (neat) νmax: 3281 (NH st), 3059 (=CH st), 1713 (C=O st), 1679 (C=O st), 1603 (C=C st) cm−1. HRMS (ESI-TOF) m/z: [M+H]+ calcd for C22H23N2O2 347.1760, Found 347.1757.
(E)-4-(3-oxobut-1-en-1-yl)-1-(3-(trifluoromethyl)phenyl)-3-((3-(trifluoromethyl)phenyl) amino)-1,5-dihydro-2H-pyrrol-2-one (7h). The general procedure B was followed using 1-(3-(trifluoromethyl)phenyl)-3-((3-(trifluoromethyl)phenyl)amino)-1,5-dihydro-2H-pyrrol-2-one 4b (386 mg, 1 mmol), affording 391 mg (86%) of 7h as a pale yellow oil after chromatography (Hexanes/AcOEt 8:2). 1H NMR (400 MHz, Acetone d6) δ 8.42 (m, 1H, CHAr), 8.22 (m, 1H, CHAr), 8.05 (s, 1H, NH), 7.67 (m, 1H, CHAr), 7.62–7.49 (m, 4H, 4 × CHAr), 7.45 (d, 3JHH = 16.1 Hz, 1H, CH=), 7.39 (m, 1H, CHAr), 6.3 (d, 3JHH = 16.1 Hz, 1H, CH=), 4.83 (s, 2H, CH2), 2.10 (s, 3H, COCH3) ppm. 13C NMR {1H} (101 MHz, Acetone d6) δ 197.1 (C=O), 165.5 (C=O), 143.0 (Cquat), 141.0 (Cquat), 136.6 (Cquat), 133.1 (CH=), 131.7 (q, 2JFC = 32.1 Hz, Cquat), 131.6 (q, 2JFC = 32.2 Hz, Cquat), 130.9 (2 × CHAr), 127.1 (CHAr), 125.2 (q, 1JFC = 271.4 Hz, Cquat), 125.2 (q, 1JFC = 271.6 Hz, Cquat), 124.5 (CHAr), 122.4 (CH=), 121.2 (q, 3JFC = 3.8 Hz, CHAr), 119.9 (q, 3JFC = 3.7 Hz, CHAr), 117.7 (Cquat), 117.4 (q, 3JFC = 4.2 Hz, CHar), 115.6 (q, 3JFC = 3.8 Hz, CHAr), 49.6 (CH2), 26.8 (COCH3) ppm. 19F-NMR (282 MHz, CDCl3) δ −63.1, −63.5 ppm. FTIR (neat) νmax: 3297 (NH st), 3054 (=CH st), 1715 (C=O st), 1677 (C=O st), 1608 (C=C st) cm−1. HRMS (ESI-TOF) m/z: [M+H]+ calcd for C22H17F6N2O2 455.1194, Found 455.1187.
Procedure for the Catalytic Hydrogenation of 7a
A solution of (E)-3-(5-oxo-1-(p-tolyl)-4-(p-tolylamino)-2,5-dihydro-1H-pyrrol-3-yl) acrylate (7a) (363 mg, 1mmol) in MeOH (5 mL) was stirred for 2 days under H2 pressure (80 psi) in the presence of palladium on carbon (10%) (213 mg, 10% mmol). The reaction mixture was filtered through celite and concentrated under vacuum. The crude residue was purified by crystallization (Dichloromethane/Hexanes 1:3), affording pure saturated γ-lactam 7.
Methyl 3-((3R*,4R*)-5-oxo-1-(p-tolyl)-4-(p-tolylamino)pyrrolidin-3-yl)propanoate (8). The procedure was followed, affording 327 mg (90%) of 8 as white crystals M.p. (Dichloromethane/Hexanes) = 158–160 °C. 1H NMR (400 MHz, CDCl3) δ 7.54 (d, 3JHH = 8.5 Hz, 2H, 2 × CHAr), 7.21 (d, 3JHH = 8.5 Hz, 2H, 2 × CHAr), 7.04 (d, 3JHH = 8.4 Hz, 2H, 2 × CHAr), 6.63 (d, 3JHH = 8.4 Hz, 2H, 2 × CHAr), 4.47 (s, 1H, NH), 4.13 (dd, 3JHH = 7.2 Hz, 4JHH = 2.0 Hz, 1H, NCH), 4.00 (dd, 2JHH = 10.2 Hz, 3JHH = 5.8 Hz, 1H, NCHAHB), 3.59 (s, 3H, OCH3), 2.91 (m, 1H, CH), 2.43–2.29 (m, 5H, CH3Tol + COCH2), 2.27 (s, 3H, CH3Tol), 1.96 (m, 1H, CH), 1.54 (m, 1H, CHAHB) ppm. 13C NMR {1H} (101 MHz, CDCl3) δ 173.5 (C=O), 171.4 (C=O), 145.4 (Cquat), 136.7 (Cquat), 134.9 (Cquat), 130.0 (2 × CHAr), 129.7 (2 × CHAr), 127.8 (Cquat), 119.8 (2 × CHAr), 113.5 (2 × CHAr), 60.0 (CH), 51.7 (OCH3), 50.1 (CH2), 37.1 (CH), 31.7 (CH2), 23.0 (CH2), 21.0 (CH3Tol), 20.5 (CH3Tol) ppm. FTIR (neat) νmax: 3325 (NH st), 1733 (C=O st), 1698 (C=O st) cm−1. HRMS (ESI-TOF) m/z: [M+H]+ calcd for C22H27N2O3 367.2022, Found 367.2011.
Procedure for the Intramolecular Cyclization of 8
To a suspension of NaH (29 mg, 1.2 mmol) in toluene (3 mL) was added neat 3-((3R*,4R*)-5-oxo-1-(p-tolyl)-4-(p-tolylamino)pyrrolidin-3-yl)propanoate (8) (366 mg, 1mmol). The reaction was stirred under reflux overnight and the resulting mixture was then quenched with water (10 mL) and extracted with dichloromethane (2 × 10 mL). The combined organic layers were dried over MgSO4 and concentrated under vacuum and the crude residue was purified by chromatography (Hexanes/AcOEt 1:1), affording pure bicyclic γ-lactam 9.
(4aR*,7aR*)-1,6-Di-p-tolylhexahydro-1H-pyrrolo[3,4-b]pyridine-2,7-dione (9). The procedure was followed, affording 330 mg (98%) of 9 as a pale yellow oil. 1H NMR (400 MHz, CDCl3) δ 7.51 (d, 3JHH = 8.6 Hz, 2H, 2 × CHAr), 7.37 (d, 3JHH = 8.4 Hz, 2H, 2 × CHAr), 7.19 (d, 3JHH = 8.4 Hz, 2H, 2 × CHAr), 7.17 (d, 3JHH = 8.6 Hz, 2H, 2 × CHAr), 4.65 (d, 3JHH = 8.0 Hz, 1H, NCH), 4.04 (dd, 2JHH = 10.1 Hz, 3JHH = 6.4 Hz, 1H, NCHACHB), 3.56 (d, 2JHH = 10.1 Hz, 1H, NCHACHB), 3.00 (p, 3JHH = 7.0 Hz, 1H, CH), 2.54 (t, 3JHH = 6.7 Hz, 2H, COCH2), 2.34 (s, 3H, CH3Tol), 2.33 (s, 3H, CH3Tol), 2.16–1.92 (m, 2H, COCH2CH2) ppm. 13C NMR {1H} (101 MHz, CDCl3) δ 170.4 (C=O), 169.7 (C=O), 139.7 (Cquat), 136.9 (Cquat), 136.4 (Cquat), 134.9 (Cquat), 129.6 (2 × CHAr), 129.5 (2 × CHAr), 127.3 (2 × CHAr), 119.5 (2 × CHAr), 64.3 (CH), 51.7 (CH2), 31.5 (CH2), 30.3 (CH), 25.7 (CH2), 21.2 (CH3Tol), 20.9 (CH3Tol) ppm. FTIR (neat) νmax: 1698 (C=O st), 1673 (C=O st) cm−1. HRMS (ESI-TOF) m/z: [M+H]+ calcd for C21H23N2O2 335.1760, Found 335.1757.
Procedure for the Acidic Hydrolysis of 7a
A solution of (E)-3-(5-oxo-1-(p-tolyl)-4-(p-tolylamino)-2,5-dihydro-1H-pyrrol-3-yl) acrylate (7a) (0.363, 1 mmol) in toluene (2 mL) and 37% aqueous HCl (2 mL) was stirred at room temperature overnight. The mixture was diluted with water and extracted with dichloromethane (2 × 10 mL). The combined organic layers were washed with water (2 × 10 mL), dried over MgSO4, and concentrated under vacuum. The crude residue was purified by chromatography (Hexanes/AcOEt 4:1), affording pure enol-derived γ-lactam 10 after crystallization (Et2O /Pentane 1:3).
Methyl (E)-3-(4-hydroxy-5-oxo-1-(p-tolyl)-2,5-dihydro-1H-pyrrol-3-yl)acrylate (10). The procedure was followed, affording 262 mg (96%) of 9 as white crystals. M.p. (Et2O /Pentane) = 239–241 °C. 1H NMR (400 MHz, DMSO-d6) δ 11.33 (s, 1H, OH), 7.72 (d, 3JHH = 8.7 Hz, 2H, 2 × CHAr), 7.66 (d, 3JHH = 15.9 Hz, 1H, CH=), 7.22 (d, 3JHH = 8.7 Hz, 2H, 2 × CHAr), 6.11 (d, 3JHH = 15.9 Hz, 1H, CH=), 4.49 (s, 2H, CH2), 3.71 (s, 3H, OCH3), 2.29 (s, 3H, CH3Tol) ppm. 13C NMR {1H} (101 MHz, DMSO-d6) δ 167.1 (C=O), 164.6 (C=O), 149.6 (Cquat), 137.2 (Cquat), 133.9 (CH=), 133.8 (Cquat), 129.8 (2 × CHAr), 118.8 (2 × CHAr), 116.9 (CH=), 114.9 (Cquat), 52.0 (OCH3), 47.2 (CH2), 20.9 (CH3Tol) ppm. FTIR (neat) νmax: 3460 (OH st), 3046 (=CH st), 1701 (C=O st), 1679 (C=O st), 1612 (C=C st) cm−1. HRMS (ESI-TOF) m/z: [M+H]+ calcd for C15H16NO4 274.1079, Found 274.1076.
General Procedure for the Nucleophilic Addition of γ-Lactams 4c–d to Ethyl Glyoxalate
A solution of diethyl (5-oxo-1-(p-tolyl)-4-(p-tolylamino)-2,5-dihydro-1H-pyrrol-3-yl) phosphonate 4c (414 mg, 1 mmol) in THF (1 mL) was added to a freshly prepared solution of LDA (1.2 Eq) in THF (2 mL) at −78 °C. After 1 h, a 1.6 M solution of ethyl glyoxalate in toluene (1.2 mmol, 750 μL) was added and the reaction was left to warm to rt overnight. The reaction was quenched with a 0.5 M aqueous solution of HCl and the resulting mixture was extracted with dichloromethane (2 × 10 mL). The combined organic layers were washed with water (2 × 10 mL), dried over MgSO4, and concentrated under vacuum. The crude residue was purified by chromatography (Hexanes/AcOEt 6:4), affording pure γ-lactam derivatives 12.
Ethyl (R*)-2-((R*)-3-(diethoxyphosphoryl)-5-oxo-1-(p-tolyl)-4-(p-tolylamino)-2,5-dihydro-1H-pyrrol-2-yl)-2-hydroxyacetate (12a). The general procedure was followed using diethyl (5-oxo-1-(p-tolyl)-4-(p-tolylamino)-2,5-dihydro-1H-pyrrol-3-yl)phosphonate 4c (414 mg, 1 mmol) affording 315 mg (61%) of 12a as a pale yellow oil. 1H NMR (400 MHz, CDCl3) δ 7.45 (s, 1H, NH), 7.34 (d, 3JHH = 7.3 Hz, 2H, 2 × CHAr), 7.20 (d, 3JHH = 8.0 Hz, 2H, 2 × CHAr), 7.14–7.03 (m, 4H, 4 × CHAr), 5.16 (t, 3JHH = 1.5 Hz, 1H, CH), 4.47 (d, 3JPH = 7.9 Hz, 1H, CH), 4.42 (broad s, 1H, OH), 4.03 (q, 3JHH = 7.2 Hz, 4H, 2 × CH2), 3.94 (q, 3JHH = 7.2 Hz, 2H, CH2), 2.35 (s, 3H, CH3Tol), 2.32 (s, 3H, CH3Tol), 1.47–0.98 (m, 9H, 3 × CH3) ppm. 13C NMR {1H} (101 MHz, CDCl3) δ 171.5 (C=O), 164.1 (d, 2JCP = 19.4 Hz, Cquat), 146.2 (d, 3JCP = 7.2 Hz, C=O), 137.0 (Cquat), 136.5 (Cquat), 135.0 (Cquat), 133.1 (Cquat), 129.8 (2 × CHAr), 129.3 (2 × CHAr), 124.4 (2 × CHAr), 123.8 (2 × CHAr), 96.4 (d, 1JCP = 211.3 Hz, Cquat), 70.2 (CH), 63.9 (d, 2JCP = 17.4 Hz, CH), 62.5 (d, 2JCP = 5.5 Hz, CH2), 62.4 (d, 2JCP = 5.4 Hz, CH2), 61.8 (CH2), 21.2 (CH3Tol), 21.1 (CH3Tol), 16.3 (d, 3JCP = 6.7 Hz, CH3), 16.3 (d, 3JCP = 6.9 Hz, CH3), 14.1 (CH3) ppm. 31P NMR (162 MHz, CDCl3) δ 19.1 ppm. FTIR (neat) νmax: 3430 (OH), 3338 (NH), 1714 (C=O st), 1694 (C=O st), 1609 (C=C), 1213 (P=O) cm−1. HRMS (ESI-TOF) m/z: [M+H]+ calcd for C26H34N2O7P 517.2104, Found 517.2100.
Ethyl (R*)-2-((R*)-3-(diphenylphosphoryl)-5-oxo-1-(p-tolyl)-4-(p-tolylamino)-2,5-dihydro-1H-pyrrol-2-yl)-2-hydroxyacetate (12b). The general procedure was followed using 4-(diphenylphosphoryl)-1-(p-tolyl)-3-(p-tolylamino)-1,5-dihydro-2H-pyrrol-2-one 4d (478 mg, 1 mmol), affording 498 mg (86%) of 12b as yellow crystals. M.p. (Dichloromethane/Hexanes) = 211–213 °C. 1H NMR (400 MHz, CDCl3) δ 7.87–7.70 (m, 2H, 2 × CHAr), 7.61–7.43 (m, 5H, 5 × CHAr), 7.33 (d, 3JHH = 8.2 Hz, 2H, 2 × CHAr), 7.31–7.23 (m, 3H, 3 × CHAr), 7.17 (d, 3JHH = 8.2 Hz, 2H, 2 × CHAr), 6.82 (d, 3JHH = 8.2 Hz, 2H, 2 × CHAr), 6.72 (d, 3JHH = 8.2 Hz, 2H, 2 × CHAr), 6.64 (s, 1H, NH), 5.28 (broad s, 1H, OH), 5.09 (t, 3JHH = 2.8 Hz, 1H, CH), 4.38 (dd, 3JPH = 9.3 Hz, 3JHH = 2.8 Hz, 1H, CH), 3.91 (q, 3JHH = 7.1 Hz, 2H, CH2), 2.33 (s, 3H, CH3Tol), 2.21 (s, 3H, CH3Tol), 1.12 (t, 3JHH = 7.1 Hz, 3H, CH3) ppm. 13C NMR {1H} (101 MHz, CDCl3) δ 171.0 (C=O), 164.5 (d, 3JCP = 14.5 Hz, C=O), 144.9 (d, 2JCP = 3.9 Hz, Cquat), 137.2 (Cquat), 136.7 (d, 4JCP = 1.2 Hz, Cquat), 133.8 (Cquat), 133.3 (Cquat), 132.9 (d, 1JCP = 109.0 Hz, Cquat), 132.1 (d, 4JCP = 2.5 Hz, CHAr), 131.9 (d, 4JCP = 2.9 Hz, CHAr), 131.3 (d, 2JCP = 9.6 Hz, 2 × CHAr), 131.2 (d, 2JCP = 10.3 Hz, 2 × CHAr), 131.0 (Cquat), 129.7 (2 × CHAr), 129.5 (2 × CHAr), 129.0 (d, 3JCP = 12.4 Hz, 2 × CHAr), 128.6 (d, 3JCP = 12.7 Hz, 2 × CHAr), 123.7 (2 × CHAr), 121.5 (2 × CHAr), 102.5 (d, 1JCP = 113.1 Hz, Cquat), 70.6 (CH), 64.7 (d, 2JCP = 12.7 Hz, CH), 61.6 (CH2), 21.2 (CH3Tol), 20.9 (CH3Tol), 14.0 (CH3) ppm. 31P NMR (121 MHz, CDCl3) δ 19.4 ppm. FTIR (neat) νmax: 3417 (OH), 3262 (NH), 1720 (C=O), 1679 (C=O), 1606 (C=C), 1175 (P=O). HRMS (ESI-TOF) m/z: [M+H]+ calcd for C34H34N2O5P 581.2205, Found 581.2202.
Procedure for the Synthesis of γ-Lactam Derivative 13
A solution of 4-(diphenylphosphoryl)-1-(p-tolyl)-3-(p-tolylamino)-1,5-dihydro-2H-pyrrol-2-one (4d) (478 mg, 1 mmol) in THF (1 mL) was added to a freshly prepared solution of LDA (1.2 Eq) in THF (2 mL) at −78 °C. After 1 h, a solution of 1-isocyanato-4-nitrobenzene (197 mg, 1.2 mmol) in THF (1 mL) was added and the reaction was left to warm to rt overnight. The reaction was quenched with a 0.5 M aqueous solution of HCl and the resulting mixture was extracted with dichloromethane (2 × 10 mL). The combined organic layers were washed with water (2 × 10 mL), dried over MgSO4, and concentrated under vacuum. The crude residue was purified by chromatography (Hexanes/AcOEt 4:1), affording pure γ-lactam derivative 13.
4-(Diphenylphosphoryl)-5-((4-nitrophenyl)imino)-1-(p-tolyl)-3-(p-tolylamino)-1,5-dihydro-2H-pyrrol-2-one (13). The procedure was followed, affording 380 mg (62%) of 13 as an orange oil. 1H NMR (400 MHz, CDCl3) δ 10.54 (s, 1H, NH), 8.03–7.91 (m, 4H, 4 × CHAr), 7.66 (d, 3JHH = 8.9 Hz, 2H, 2 × CHAr), 7.63–7.56 (m, 2H, 2 × CHAr), 7.54–7.47 (m, 4H, 4 × CHAr), 7.18 (d, 3JHH = 8.3 Hz, 2H, 2 × CHAr), 7.11 (d, 3JHH = 8.2 Hz, 2H, 2 × CHAr), 6.76 (d, 3JHH = 8.2 Hz, 2H, 2 × CHAr), 6.66 (d, 3JHH = 8.3 Hz, 2H, 2 × CHAr), 6.27 (d, 3JHH = 8.9 Hz, 2H, 2 × CHAr), 2.32 (s, 3H, CH3Tol), 2.10 (s, 3H, CH3Tol) ppm. 13C NMR {1H} (101 MHz, CDCl3) δ 164.7 (d, 2JCP = 14.4 Hz, C=N), 153.2 (Cquat), 152.1 (d, 3JCP = 3.7 Hz, C=O), 148.7 (Cquat), 148.6 (Cquat), 142.5 (Cquat), 138.7 (Cquat), 136.4 (Cquat), 134.7 (Cquat), 133.4 (Cquat), 132.5 (d, 4JPC = 2.7 Hz, 2 × CHAr), 132.2 (2 × CHAr), 132.1 (2 × CHAr), 130.7 (Cquat), 129.4 (2 × CHAr), 129.3 (2 × CHAr), 128.5 (2 × CHAr), 128.4 (2 × CHAr), 128.1 (2 × CHAr), 124.6 (2 × CHAr), 123.8 (2 × CHAr), 120.6 (2 × CHAr), 93.7 (d, 1JCP = 116.4 Hz, Cquat), 21.2 (CH3Tol), 21.1 (CH3Tol) ppm. 31P NMR (162 MHz, CDCl3) δ 30.9 ppm. FTIR (neat) νmax: 3330 (NH), 1667 (C=O st), 1606 (C=C), 1204 (P=O) cm−1. HRMS (ESI-TOF) m/z: [M+H]+ calcd for C36H30N4O4P 613.2005, Found 613.2025.
Procedure for the Functionalization of γ-Lactam 5a with Methyl Iodide
A solution of 5-phenyl-1-(p-tolyl)-3-(p-tolylamino)-1,5-dihydro-2H-pyrrol-2-one (5a) (354 mg, 1mmol) in THF (1 mL) was added to a solution of freshly prepared LDA (1.2 mmol) in tetrahydrofuran (2 mL) at −78 °C. After 1 h, an excess of methyl iodide (93 μL, 1.5 mmol) was added. The reaction mixture was stirred overnight at −78 °C and was then quenched with a 0.5 M aqueous solution of HCl (10 mL). The reaction mixture was extracted with dichloromethane (2 × 10 mL) and the combined organic layers were washed with water (2 × 10 mL), dried with MgSO4, and concentrated under vacuum. The crude residue was purified by chromatography (Hexanes), affording a 3:1 mixture of 18 and 19 that was isolated as pure after chromatography followed by crystallization (Et2O/Pentane).
4-methyl-5-phenyl-1-(p-tolyl)-3-(p-tolylamino)-1,5-dihydro-2H-pyrrol-2-one (18). The procedure was followed, affording 0.188 g (51%) of 18 as white crystals. M.p. (Et2O/Pentane) = 191–192 °C. 1H NMR (400 MHz, CDCl3) δ 7.40 (d, 3JHH = 8.5 Hz, 2H, 2 × CHAr), 7.35–7.20 (m, 5H, 5 × CHAr), 7.05 (d, 3JHH = 8.5 Hz, 2H, 2 × CHAr), 7.05 (d, 3JHH = 8.5 Hz, 2H, 2 × CHAr), 6.78 (d, 3JHH = 8.5 Hz, 2H, 2 × CHAr), 5.94 (s, 1H, NH), 5.33 (s, 1H, CH), 2.28 (s, 3H, CH3Tol), 2.24 (s, 3H, CH3Tol), 1.60 (s, 3H, CH3) ppm. 13C NMR {1H} (101 MHz, CDCl3) δ 168.2 (C=O), 139.7 (Cquat), 137.3 (Cquat), 135.2 (Cquat), 134.2 (Cquat), 130.8 (Cquat), 129.7 (Cquat), 129.6 (2 × CHAr), 129.5 (2 × CHAr), 129.1 (2 × CHAr), 128.4 (CHAr), 127.2 (2 × CHAr), 125.7 (Cquat), 121.4 (2 × CHAr), 118.8 (2 × CHAr), 67.6 (CH), 21.0 (CH3Tol), 20.8 (CH3Tol), 13.6 (CH3) ppm. FTIR (neat) νmax: 3306 (NH st), 1688 (C=O st), 1608 (C=C st) cm−1. HRMS (ESI-TOF) m/z: [M+H]+ calcd for C25H25N2O 369.1967, Found 369.1973.
3-Hydroxy-4-methyl-5-phenyl-1-(p-tolyl)-1,5-dihydro-2H-pyrrol-2-one (19). The procedure was followed, affording 76 mg (26%) of 19 of as a pale yellow oil. 1H NMR (400 MHz, CDCl3) δ 7.34 (d, 3JHH = 8.5 Hz, 2H, 2 × CHAr), 7.33–7.24 (m, 3H, 3 × CHAr), 7.16 (d, 3JHH = 8.3 Hz, 2H, 2 × CHAr), 7.04 (d, 3JHH = 8.5 Hz, 2H, 2 × CHAr), 6.15 (s, 1H, OH), 5.26 (s, 1H, CH), 2.23 (s, 3H, CH3Tol), 1.73 (s, 3H, CH3) ppm. 13C NMR {1H} (101 MHz, CDCl3) δ 166.9 (C=O), 140.7 (Cquat), 136.2 (Cquat), 134.8 (Cquat), 134.6 (Cquat), 129.6 (2 × CHAr), 129.1 (2 × CHAr), 128.5 (CHAr), 127.3 (2 × CHAr), 122.1 (Cquat), 121.3 (2 × CHAr), 66.0 (CH), 21.0 (CH3Tol), 9.5 (CH3) ppm. FTIR (neat) νmax: 3501 (OH st), 1681 (C=O st), 1607 (C=C st) cm−1. HRMS (ESI-TOF) m/z: [M+H]+ calcd for C18H18N2O 280.1338, Found 280.1343. Additionally, substrate 18 can be obtained in 95% yield from 17 by refluxing in a mixture of THF 1 (mL) and a 0.1 M aqueous solution of HCl (1 mL) for 1 h.
Procedure for the Vinylogous Mannich Reaction of γ-Lactam 5b with Ethyl Glyoxalate
A solution of ethyl 5-oxo-1-(p-tolyl)-4-(p-tolylamino)-2,5-dihydro-1H-pyrrole-2-carboxylate (5b)(350 mg, 1 mmol), N,N-dimethylmethyleneiminium iodide (370 mg, 2 mmol) and triethylamine (350 μL, 2.5 mmol, in chloroform (3 mL) was refluxed overnight. The reaction mixture was then acidified with a 0.5 M aqueous solution of HCl (10 mL) and extracted with dichloromethane (2 × 10 mL). The combined organic layers were washed with water (2 × 10 mL), dried over MgSO4, and concentrated under vacuum. The crude residue was purified by crystallization from a mixture of dichloromethane/hexanes (1:3), affording the pure functionalized γ-lactam derivative 20.
Ethyl 2-((dimethylamino)methyl)-5-oxo-1-(p-tolyl)-4-(p-tolylamino)-2,5-dihydro-1H- pyrrole-2-carboxylate (20). The procedure was followed, affording 321 mg (68%) of 20 as yellow crystals. M.p. (Dichloromethane/Hexanes) = 170–172 °C. 1H NMR (400 MHz, CDCl3) δ 7.25 (d, 3JHH = 8.5 Hz, 2H, 2 × CHAr), 7.20 (d, 3JHH = 8.2 Hz, 2H, 2 × CHAr), 7.13 (d, 3JHH = 8.2 Hz, 2H, 2 × CHAr), 7.00 (d, 3JHH = 8.5 Hz, 2H, 2 × CHAr), 6.65 (s, 1H, NH), 5.95 (s, 1H, CH), 4.30–4.09 (m, 2H, CH2), 3.17 (d, 2JHH = 14.0 Hz, 1H, CHACHB), 2.74 (d, 2JHH = 14.0 Hz, 1H, CHACHB), 2.36 (s, 3H, CH3Tol), 2.31 (s, 3H, CH3Tol), 2.16 (s, 6H, 2 × NCH3), 1.24 (t, 3JHH = 7.1 Hz, 3H, CH3) ppm. 13C NMR {1H} (101 MHz, CDCl3) δ 171.1 (C=O), 168.3 (C=O), 138.8 (Cquat), 136.6 (Cquat), 134.1 (Cquat), 133.7 (Cquat), 130.1 (Cquat), 130.0 (2 × CHAr), 129.7 (2 × CHAr), 125.6 (2 × CHAr), 116.9 (2 × CHAr), 104.9 (CHAr), 72.7 (CH), 62.1 (CH2O), 60.9 (CH2), 47.8 (2 × NCH3), 21.2 (CH3, Tol), 20.8 (CH3, Tol), 14.2 (CH3, OEt) ppm. FTIR (neat) νmax: 3312 (=CH st), 1691 (C=O st), 1615 (C=C st) cm−1. HRMS (ESI-TOF) m/z: [M+H]+-Me2N calcd for C25H23N2O 367.1801, Found 367.1806.
Procedure for the Hydrogenation Reaction of γ-Lactam 5b
A solution of ethyl 5-oxo-1-(p-tolyl)-4-(p-tolylamino)-2,5-dihydro-1H-pyrrole-2- carboxylate (5b) (350 mg, 1mmol) in EtOH (5 mL) was stirred for 2 days under H2 pressure (80 psi) in the presence of palladium on carbon (10%) (320 mg, 10% mmol). The reaction mixture was filtered through celite and concentrated under vacuum. The crude residue was purified by crystallization from a mixture of Et2O/Pentane 1:3, affording pure 21 as white crystals
Ethyl (2S*,4S*)-5-oxo-1-(p-tolyl)-4-(p-tolylamino)pyrrolidine-2-carboxylate (21). The procedure was followed, affording 326 mg (93%) of 21 as white crystals M.p. (Et2O/Pentane) = 142–144 °C. 1H NMR (400 MHz, CDCl3) δ 7.35 (d, 3JHH = 8.5 Hz, 2H, 2 × CHAr), 7.18 (d, 3JHH = 8.2 Hz, 2H, 2 × CHAr), 7.03 (d, 3JHH = 8.2 Hz, 2H, 2 × CHAr), 6.62 (d, 3JHH = 8.5 Hz, 2H, 2 × CHAr), 4.78 (dd, 3JHH = 7.7 Hz, 3JHH = 7.7 Hz, 1H, CH), 4.16 (dd, 3JHH = 8.3 Hz, 3JHH = 8.3 Hz, 1H, CH), 4.10 (m, 2H, CH2O), 3.09 (m, 1H, CH2), 2.33 (s, 3H, CH3Tol), 2.26 (s, 3H, CH3Tol), 2.08 (m,, 1H, CH2), 1.12 (m, 3H, CH3 OEt) ppm. 13C NMR {1H} (101 MHz, CDCl3) δ 172.4 (C=O), 171.0 (C=O), 144.7 (Cquat), 136.1 (Cquat), 135.2 (Cquat), 130.0 (2 × CHAr), 129.7 (2 × CHAr), 128.1 (Cquat), 122.1 (2 × CHAr), 114.0 (2 × CHAr), 61.9 (CH2), 59.1 (CH), 55.4 (CH), 33.1 (CH2), 21.1 (CH3Tol), 20.5 (CH3Tol), 14.1 (CH3) ppm. FTIR (neat) νmax: 3306 (N-H), 1748 (C=O), 1686 (C=O) cm−1. HRMS (ESI-TOF) m/z: [M+H]+ calcd for C21H24NO3 353.1865, Found 353.1862.
Procedure for the [3+3] Annulation Reaction of γ-Lactam 5b and β,γ-Unsaturated Ketoester 22
A solution of 5-oxo-1-(p-tolyl)-4-(p-tolylamino)-2,5-dihydro-1H-pyrrole- 2-carboxylate (5b) (350 mg, 1 mmol), Yb(OTf)3 (62.0 mg, 0.1 mmol) and β,γ--unsaturated ketoester 22 (282 mg, 1.2 mmol) was stirred in CH2Cl2 at room temperature for 6 h. The resulting mixture was filtered through celite and concentrated under vacuum. The crude residue was purified by column chromatography (Hexanes/AcOEt (8:2), affording pure 23 as a white solid.
5-Ethyl 2-methyl (4S*,5S*)-4-(4-nitrophenyl)-7-oxo-1,6-di-p-tolyl-4,5,6,7-tetrahydro- 1H-pyrrolo[3,4-b]pyridine-2,5-dicarboxylate (23). The procedure was followed, affording 504 mg (89%) of 23 as a white solid. 1H NMR (400 MHz, CDCl3) δ 8.23 (d, 3JHH = 8.7 Hz, 2H, 2 × CHAr), 7.52 (d, 3JHH = 8.7 Hz, 2H, 2 × CHAr), 7.34 (d, 3JHH = 8.2 Hz, 2H, 2 × CHAr), 7.27 (d, 3JHH = 8.0 Hz, 2H, 2 × CHAr), 7.18 (d, 3JHH = 8.0 Hz, 2H, 2 × CHAr), 7.06 (d, 3JHH = 8.2 Hz, 2H, 2 × CHAr), 5.76 (d, 3JHH = 4.7 Hz, 1H, CH), 5.03 (s, 1H, CH), 4.91 (d, 3JHH = 4.7 Hz, 1H, CH), 3.49 (s, 3H, OCH3), 3.34 (m, 1H, CH2O), 3.11 (m, 1H, CH2O), 2.36 (s, 3H, CH3Tol), 2.25 (s, 3H, CH3Tol), 0.79 (dd, 3JHH = 7.1 Hz, 3JHH = 7.1 Hz, 3H, CH3 OEt) ppm. 13C NMR {1H} (101 MHz, CDCl3) δ 167.8 (C=O), 163.6 (C=O), 163.0 (C=O), 149.8 (Cquat), 147.4 (Cquat), 138.2 (Cquat), 137.9 (Cquat), 136.1 (Cquat), 135.8 (Cquat), 135.2 (Cquat), 134.6 (Cquat), 129.7 (2 × CHAr), 129.2 (2 × CHAr), 129.2 (2 × CHAr), 128.6 (2 × CHAr), 124.1 (2 × CHAr), 121.0 (2 × CHAr), 119.6 (Cquat), 113.4 (CH), 63.1 (CH), 61.9 (CH2), 52.3 (OCH3), 41.0 (CH), 21.4 (CH3Tol), 20.8 (CH3Tol), 13.6 (CH3) ppm. FTIR (neat) νmax: 3053 (=CH st), 1739 (C=O), 1723 (C=O), 1676 (C=O), 1622 (C=C) cm−1. HRMS (ESI-TOF) m/z: [M+H]+ calcd for C32H29N33O7 568.2084, Found 568.2078.
General Procedure for the Nucleophilic Addition of Organolithium Reagents to γ-Lactams 5
A 1.6 M solution of the corresponding organolithium reagent in hexanes (1.25 mL, 2 mmol) was added to a solution of the corresponding γ-lactam 5 (1 mmol) in tetrahydrofuran (3 mL) at −78 °C under N2 atmosphere. The reaction was warmed to rt overnight. The reaction crude was quenched with a 0.5 M aqueous solution of HCl (5 mL), and extracted with dichloromethane (2 × 10 mL). The combined organic layers were washed with water, dried over MgSO4, and concentrated under reduced pressure. The crude residue was purified by crystallization, providing the pure functionalized γ-lactam derivatives 25. In some cases, a previous purification by chromatography was necessary as detailed for each compound.
3-Methyl-5-phenyl-1-(p-tolyl)-3-(p-tolylamino)-1,3-dihydro-2H-pyrrol-2-one (25a). The general procedure was followed, using 5-phenyl-1-(p-tolyl)-3-(p-tolylamino)-1,5-dihydro- 2H-pyrrol-2-one (354 mg, 1 mmol) (5a) and a 1.6 M solution of methyllithium in hexanes (1.25 mL, 2 mmol), affording 288 mg (78%) of 25a as yellow crystals after chromatography (Hexanes/AcOEt 8:2) and subsequent crystallization (Et2O /Pentane 1:3). M.p. (Et2O /Pentane) = 183–185 °C. 1H NMR (400 MHz, CDCl3) δ 7.31–7.25 (m, 4H, 4 × CHAr), 7.24–7.20 (m, 2H, 2 × CHAr), 7.11 (d, 3JHH = 8.1 Hz, 2H, 2 × CHAr), 7.03–6.95 (m, 6H, 5 × CHAr + NH), 5.63 (s, 1H, =CH), 2.33 (s, 3H, CH3Tol), 2.28 (s, 3H, CH3Tol), 1.45 (s, 3H, CH3) ppm. 13C NMR {1H} (101 MHz, CDCl3) δ 175.4 (Cquat), 165.6 (C=O), 148.9 (Cquat), 137.1 (Cquat), 135.6 (Cquat), 133.1 (Cquat), 131.9 (Cquat), 130.0 (CHAr), 129.6 (2 × CHAr), 129.4 (2 × CHAr), 128.6 (2 × CHAr), 128.3 (2 × CHAr), 127.3 (2 × CHAr), 121.8 (2 × CHAr), 94.8 (=CH), 92.8 (Cquat), 25.3 (CH3), 21.1 (CH3Tol), 21.1 (CH3Tol) ppm. FTIR (neat) νmax: 3403 (NH st), 3053 (=CH st), 1674 (C=O st) cm−1. HRMS (ESI-TOF) m/z: [M+H]+ calcd for C25H25N2O 369.1967, Found 369.1972.
3-Butyl-5-phenyl-1-(p-tolyl)-3-(p-tolylamino)-1,3-dihydro-2H-pyrrol-2-one (25b). The general procedure was followed, using 5-phenyl-1-(p-tolyl)-3-(p-tolylamino)-1,5-dihydro- 2H-pyrrol-2-one (0.354 g, 1 mmol) (5a) and a 1.6 M solution of n-butyllithium in hexanes (1.25 mL, 2 mmol), affording 300 mg (73%) of 25b as an orange oil after chromatography (Hexanes/AcOEt 8:2). 1H NMR (400 MHz, CDCl3) δ 7.34–7.16 (m, 6H, 6 × CHAr), 7.11 (d, 3JHH = 8.3 Hz, 2H, 2 × CHAr), 7.05–6.95 (m, 6H, 5 × CHAr + NH), 5.61 (s, 1H, =CH), 2.33 (s, 3H, CH3Tol), 2.29 (s, 3H, CH3Tol), 2.12 (m, 1H, CHAHB), 1.85 (m, 1H, CHAHB), 1.36–1.00 (m, 4H, 2 × CH2Bu), 0.76 (t, 3JHH = 6.9 Hz, 3H, CH3Bu) ppm. 13C NMR {1H} (101 MHz, CDCl3) δ 175.0 (Cquat), 166.6 (C=O), 148.6 (Cquat), 136.2 (Cquat), 135.2 (Cquat), 133.0 (Cquat), 131.9 (Cquat), 129.9 (CHAr), 129.5 (2 × CHAr), 129.2 (2 × CHAr), 128.6 (2 × CHAr), 128.2 (2 × CHAr), 127.0 (2 × CHAr), 121.9 (2 × CHAr), 95.5 (=CH), 95.0 (Cquat), 38.0 (CH2Bu), 25.0 (CH2Bu), 22.6 (CH2Bu), 21.1 (CH3Tol), 21.0 (CH3Tol), 14.1 (CH3Bu) ppm. FTIR (neat) νmax: 3411 (NH st), 3053 (=CH st), 1703 (C=O st) cm−1. HRMS (ESI-TOF) m/z: [M+H]+ calcd for C28H31N2O 411.2436, Found 411.2442.
3-Butyl-1-(4-methoxyphenyl)-3-((4-methoxyphenyl)amino)-5-phenyl-1,3-dihydro-2H-pyrrol-2-one (25c). The general procedure was followed, using 1-(4-methoxyphenyl)-3-((4-methoxyphenyl)amino)-5-phenyl-1,5-dihydro-2H-pyrrol-2-one (386 mg, 1 mmol) (5c) and a 1.6 M solution of n-butyllithium in hexanes (1.25 mL, 2 mmol), affording 296 mg (67%) of 25c as an orange oil after chromatography (Hexanes/AcOEt 7:3). 1H NMR (400 MHz, CDCl3) δ 7.34–7.20 (m, 6H, 5 × CHAr + NH), 7.06 (d, 3JHH = 8.8 Hz, 2H, 2 × CHAr), 7.05 (d, 3JHH = 8.8 Hz, 2H, 2 × CHAr), 6.87 (d, 3JHH = 8.8 Hz, 2H, 2 × CHAr), 6.74 (d, 3JHH = 8.8 Hz, 2H, 2 × CHAr), 5.63 (s, 1H, =CH), 3.79 (s, 3H, OCH3), 3.77 (s, 3H, OCH3), 2.08 (m, 1H, CHAHB), 1.82 (m, 1H, CHAHB), 1.31–1.07 (m, 4H, 2 × CH2Bu), 0.77 (t, 3JHH = 6.8 Hz, 3H, CH3Bu) ppm. 13C NMR {1H} (101 MHz, CDCl3) δ 174.4 (Cquat), 167.4 (C=O), 157.7 (Cquat), 156.4 (Cquat), 143.6 (Cquat), 131.5 (Cquat), 131.4 (Cquat), 130.2 (CHAr), 128.7 (2 × CHAr), 128.7 (2 × CHAr), 128.4 (2 × CHAr), 123.1 (2 × CHAr), 114.3 (2 × CHAr), 113.9 (2 × CHAr), 95.1 (Cquat), 94.8 (=CH), 55.6 (OCH3), 55.5 (OCH3), 37.9 (CH2Bu), 25.1 (CH2Bu), 22.7 (CH2Bu), 14.1 (CH3Bu) ppm. FTIR (neat) νmax: 3391 (NH st), 3047 (=CH st), 1693 (C=O st) cm−1. HRMS (ESI-TOF) m/z: [M+H]+ calcd for C28H31N2O3 443.2335, Found 443.2334.
1-(4-Bromophenyl)-3-((4-bromophenyl)amino)-3-butyl-5-phenyl-1,3-dihydro-2H-pyrrol-2-one (25d). The general procedure was followed, using 1-(4-bromophenyl)-3-((4-bromophenyl)amino)-5-phenyl-1,5-dihydro-2H-pyrrol-2-one (5d) (484 mg, 1 mmol) and a 1.6 M solution of n-butyllithium in hexanes (1.25 mL, 2 mmol), affording 411 mg (76%) of 25d as yellow crystals after chromatography (Hexanes/AcOEt 85:15) followed by crystallization (Et2O /Pentane 1:3). M.p. (Et2O/Pentane) = 129–130 °C. 1H NMR (400 MHz, CDCl3) δ 7.42 (d, 3JHH = 8.7 Hz, 2H, 2 × CHAr), 7.34–7.10 (m, 10H, 9 × CHAr + NH), 6.94 (d, 3JHH = 8.7 Hz, 2H, 2 × CHAr), 5.55 (s, 1H, =CH), 1.37–1.03 (m, 5H, 5 × CHBu), 0.87 (m, 1H, CHBu), 0.74 (t, 3JHH = 6.9 Hz, 3H, CH3Bu) ppm. 13C NMR {1H} (75 MHz, CDCl3) δ 175.3 (Cquat), 167.5 (C=O), 150.6 (Cquat), 138.8 (Cquat), 132.1 (2 × CHAr), 131.5 (Cquat), 130.5 (CHAr), 128.8 (2 × CHAr), 128.7 (2 × CHAr), 128.6 (2 × CHAr), 127.3 (2 × CHAr), 123.7 (2 × CHAr), 116.8 (Cquat), 108.2 (Cquat), 95.5 (Cquat), 94.9 (=CH), 37.9 (CH2Bu), 25.1 (CH2Bu), 22.7 (CH2Bu), 14.0 (CH3Bu) ppm. FTIR (neat) νmax: 3397 (NH st), 3056 (=CH st), 1692 (C=O st) cm−1. HRMS (ESI-TOF) m/z: [M+H]+-Br, calcd for C26H26BrN2O 463.1208, Found 463.1215.
3-Butyl-1-(3-chlorophenyl)-3-((3-chlorophenyl)amino)-5-phenyl-1,3-dihydro-2H-pyrrol-2-one (25e). The general procedure was followed, using 1-(3-chlorophenyl)-3-((3-chlorophenyl)amino)-5-phenyl-1,5-dihydro-2H-pyrrol-2-one (5e) (395 mg, 1 mmol) and a 1.6 M solution of n-butyllithium in hexanes (1.25 mL, 2 mmol), affording 338 mg (75%) of 25e as yellow crystals after chromatography (Hexanes/AcOEt 85:15) followed by crystallization (Dichloromethane/Hexanes 1:3). M.p. (Dichloromethane/Hexanes) = 50–51 °C. 1H NMR (400 MHz, CDCl3) δ 7.39–7.21 (m, 7H, 7 × CHAr), 7.13–7.09 (m, 2H, 2 × CHAr), 7.08–7.02 (m, 2H, 2 × CHAr), 6.94–6.87 (m, 2H, 2 × CHAr), 5.57 (s, 1H, =CH), 2.05 (m, 1H, CHAHB), 1.86 (m, 1H, CHAHB), 1.32–1.02 (m, 4H, 2 × CH2Bu), 0.75 (t, 3JHH = 7.0 Hz, 3H, CH3Bu) ppm. 13C NMR {1H} (101 MHz, CDCl3) δ 175.2 (Cquat), 166.9 (C=O), 152.8 (Cquat), 140.1 (Cquat), 134.6 (Cquat), 134.3 (Cquat), 131.1 (Cquat), 130.6 (CHAr), 130.2 (CHAr), 129.4 (CHAr), 128.6 (2 × CHAr), 128.5 (2 × CHAr), 126.7 (CHAr), 125.9 (CHAr), 125.1 (CHAr), 123.9 (CHAr), 121.9 (CHAr), 120.2 (CHAr), 96.3 (Cquat), 94.8 (=CH), 37.7 (CH2Bu), 24.9 (CH2Bu), 22.6 (CH2Bu), 13.9 (CH3Bu) ppm. FTIR (neat) νmax: 3391 (NH st), 3069 (=CH st), 1705 (C=O st) cm−1. HRMS (ESI-TOF) m/z: [M+H]+ calcd for C26H25Cl2N2O 451.1344, Found 451.1352.
3.2. Biology
3.2.1. Materials
Reagents and solvents were used as purchased without further purification. All stock solutions of the investigated compounds were prepared by dissolving the powered materials in appropriate amounts of Dimethylsulfoxide (DMSO). The final concentration of DMSO never exceeded 5% (v/v) in reactions. The stock solution was stored at 5 °C until it was used.
3.2.2. Cell Culture
Human epithelial lung carcinoma cells (A549) (ATCC® CCL-185™, ATCC-Manassas, VA, United States) were grown in Kaighn’s Modification of Ham’s F-12 Medium (ATCC® 30-2004™, ATCC-Manassas, VA, United States) and lung fibroblast cells (MRC5) (ATCC® CCL-171™, ATCC-Manassas, VA, United States) were grown in Eagle’s Minimum Essential Medium (EMEM, ATCC® 30-2003™, ATCC-Manassas, VA, United States). Epithelial ovary adenocarcinoma cells (SKOV3) (ATCC® HTB-77™, ATCC-Manassas, VA, United States) were grown in McCoy’s 5A medium (ATCC® 30-2007™, ATCC-Manassas, VA, United States). All of them were supplemented with 10% of fetal bovine serum (FBS) (Sigma-Aldrich, Spain) and with 1% of NORMOCIN solution (Thermo Fisher, Waltham, Massachusetts (MA), United States). Cells were incubated at 37 °C and 5% CO2 atmosphere, and were split every 3–4 days to maintain monolayer coverage. For cytotoxicity experiments, A549 and SKOV3 cells were seeded in 96-well plates at a density of 2.5–3 × 103 cells per well and incubated overnight to achieve 70% of confluence at the time of exposition to the cytotoxic compound.
3.2.3. Cytotoxicity Assays
Cells were exposed to different concentrations of the cytotoxic compounds and were incubated for 48 h. Then, 10 µL of cell counting kit-8 was added into each well for an additional two hours incubation at 37 °C. The absorbance of each well was determined by an Automatic Elisa Reader System (Thermo Scientific Multiskan FC Automatic Elisa Reader System, Thermo Scientific, Shangai, China) at 450 nm wavelength.
4. Conclusions
The Brönsted-acid-catalyzed multicomponent reaction of amines, aldehydes, and pyruvate derivatives is a straightforward method for the synthesis of 3-amino α,β-unsaturated γ-lactam derivatives. Selective functionalization at C-4 or C-5 of those substrates is feasible, making use of enamine chemistry or vinylogous nucleophilic additions, while the addition of organometallic species allows functionalization at C-3. Remarkably, the vinylogous aldol reaction with ethyl glyoxalate leads to the exclusive formation of the anti-adduct. In addition, chiral-functionalized γ-lactams are excellent precursors for diastereoselective synthetic transformations. The hydrogenation of the enamine moiety proceeds with high degree of syn diastereoselectivity, leading to the saturated substrates suitable for the further preparation of bicyclic compounds through intramolecular reactions. In addition, an example of a formal [3+3] annulation reaction is described with high cis stereocontrol. Moreover, some of the obtained γ-lactam derivatives showed in vitro cytotoxicity, inhibiting the growth of human tumor cells SKOV3 (human ovarian carcinoma) and A549 (carcinomic human alveolar basal epithelial cell) with selectivity toward MRC5 non-malignant lung fibroblasts. Although none of the substrates were proved to be superior to chemotherapeutic agent Doxorubicin, substrate 12b showed a promising 3.6 μM IC50 value in A549 cell line, whereas the best result in SKOV3 cell line, 4.64 μM, was measured for compound 25e.
Supplementary Materials
The following supporting information can be downloaded at: https://www.mdpi.com/article/10.3390/molecules27113624/s1, 1H, 13C, 19F and 31P-NMR and 2D NMR copies of compounds 7–10, 12–13, 18–21, 23 and 25, crystal data for compounds 12b and 13 and Lipinsky values.
Author Contributions
Conceptualization, A.L.-F., X.d.C., Z.S.-B., E.M.d.M., F.P. and J.V.; methodology, A.L.-F., X.d.C. and Z.S.-B.; software, A.L.-F., X.d.C. and Z.S.-B.; validation, E.M.d.M. and J.V.; formal analysis, A.L.-F., X.d.C. and Z.S.-B.; investigation, A.L.-F., X.d.C. and Z.S.-B.; resources, E.M.d.M., F.P. and J.V.; data curation, A.L.-F., X.d.C. and Z.S.-B.; writing—original draft preparation, J.V.; writing—review and editing, A.L.-F., X.d.C., Z.S.-B., E.M.d.M., F.P. and J.V.; visualization, E.M.d.M., F.P. and J.V.; supervision, E.M.d.M. and J.V.; project administration, E.M.d.M. and J.V.; funding acquisition, E.M.d.M., F.P. and J.V. All authors have read and agreed to the published version of the manuscript.
Funding
Financial support by Ministerio de Economía, Industria y Competividad (RTI2018-101818-B-I00) and Gobierno Vasco (GV, IT 992-16) is gratefully acknowledged. X.d.C. and A.L.-F. thank the Basque Country Government for a predoctoral grant.
Institutional Review Board Statement
Not applicable.
Informed Consent Statement
Not applicable.
Data Availability Statement
The data presented in this study are available in the supplementary materials file or on request from the corresponding author (1H, 13C, 19F, and 31P-NMR and HRMS spectra and cytotoxicity essays).
Acknowledgments
The authors give thanks for technical and human support provided by SGIker (UPV/EHU/ERDF, EU).
Conflicts of Interest
The authors declare no conflict of interest.
Sample Availability
Samples of the compounds are not available.
References
- Caruano, J.; Muccioli, G.G.; Robiette, R. Biologically active γ-lactams: Synthesis and natural sources. Org. Biomol. Chem. 2016, 14, 10134–10156. [Google Scholar] [CrossRef] [PubMed]
- Saldívar-González, F.I.; Lenci, E.; Trabocchi, A.; Medina-Franco, J.L. Exploring the Chemical Space and the Bioactivity Profile of Lactams: A Chemoinformatic Study. RSC Adv. 2019, 9, 27105–27116. [Google Scholar] [CrossRef]
- Ye, L.-W.; Shua, C.; Gagosz, F. Recent progress towards transition metal-catalyzed synthesis of γ-lactams. Org. Biomol. Chem. 2014, 12, 1833–1845. [Google Scholar] [CrossRef] [PubMed]
- Kammerer, C.; Prestat, G.; Madec, D.; Poli, G. Synthesis of γ-Lactams and γ-Lactones via Intramolecular Pd-Catalyzed Allylic Alkylations. Acc. Chem. Res. 2014, 47, 3439–3447. [Google Scholar] [CrossRef] [PubMed]
- Rivas, F.; Ling, T. Advances toward the Synthesis of Functionalized γ-Lactams. Org. Prep. Proced. Int. 2016, 48, 254–295. [Google Scholar] [CrossRef]
- Martinez de Marigorta, E.; de los Santos, J.; Ochoa de Retana, A.M.; Vicario, J.; Palacios, F. Multicomponent Reactions in the Synthesis of γ-Lactams. Synthesis 2018, 50, 4539–4554. [Google Scholar] [CrossRef]
- Martinez de Marigorta, E.; de los Santos, J.; Ochoa de Retana, A.M.; Vicario, J.; Palacios, F. Multicomponent reactions (MCRs): A useful access to the synthesis of benzofused γ-lactams. Beilstein J. Org. Chem. 2019, 150, 1065–1085. [Google Scholar] [CrossRef]
- Pelkey, E.T.; Pelkey, S.J.; Greger, J.G. Chapter Six—Reactions of 3-pyrrolin-2-ones. Adv. Heterocycl. Chem. 2019, 128, 433–565. [Google Scholar] [CrossRef]
- del Corte, X.; Maestro, A.; Martinez de Marigorta, E.; Palacios, F.; Vicario, J. Enantioselective synthesis of unsaturated γ-lactams en Targets in heterocyclic systems. In Chemistry and Properties; Attanasi, O.A., Gabriele, B., Merino, P., Spinelli, D., Eds.; Società Chimica Italiana: Rome, Italy, 2021; Volume 25, ISBN 978-88-94952-27-8. ISSN 1724-9449. [Google Scholar] [CrossRef]
- del Corte, X.; López-Francés, A.; Maestro, A.; Villate-Beitia, I.; Sainz-Ramos, M.; Martínez de Marigorta, E.; Palacios, F.; Alonso, C.; de los Santos, J.M.; Pedraz, J.L.; et al. Multicomponent Synthesis of Unsaturated γ-Lactam Derivatives. Applications as Antiproliferative Agents through the Bioisosterism Approach: Carbonyl vs. Phosphoryl Group. Pharmaceuticals 2022, 15, 511. [Google Scholar] [CrossRef]
- del Corte, X.; López-Francés, A.; Maestro, A.; Villate-Beitia, I.; Sainz-Ramos, M.; Martínez de Marigorta, E.; Pedraz, J.L.; Vicario, J. A Multicomponent Protocol for the Synthesis of Highly Functionalized γ-Lactam Derivatives and Their Applications as Antiproliferative Agents. Pharmaceuticals 2021, 14, 782. [Google Scholar] [CrossRef]
- del Corte, X.; López-Francés, A.; de Marigorta, E.M.; Palacios, F.; Vicario, J. Stereo- and Regioselective [3+3] Annulation Reaction Catalyzed by Ytterbium: Synthesis of Bicyclic 1,4-Dihydropyridines. Adv. Synth. Catal. 2021, 363, 4761–4771. [Google Scholar] [CrossRef]
- Kirpotina, L.N.; Schepetkin, I.A.; Khlebnikov, A.I.; Ruban, O.I.; Ge, Y.; Ye, R.D.; Kominsky, D.J.; Quinn, M.T. 4-Aroyl-3-hydroxy-5-phenyl-1H-pyrrol-2(5H)-ones as N-formyl peptide receptor 1 (FPR1) antagonists. Biochem. Pharmacol. 2017, 142, 120–132. [Google Scholar] [CrossRef] [PubMed]
- Ma, K.; Wang, P.; Fu, W.; Wan, X.; Zhou, L.; Chu, Y.; Ye, D. Rational design of 2-pyrrolinones as inhibitors of HIV-1 integrase. Bioorg. Med. Chem. Lett. 2011, 21, 6724–6727. [Google Scholar] [CrossRef] [PubMed]
- Osterhage, C.; Kaminski, R.; König, G.M.; Wright, A.D. Ascosalipyrrolidinone A, an Antimicrobial Alkaloid, from the Obligate Marine Fungus Ascochyta salicorniae. J. Org. Chem. 2000, 65, 6412–6417. [Google Scholar] [CrossRef] [PubMed]
- Peifer, C.; Selig, R.; Kinkel, K.; Ott, D.; Totzke, F.; Schaechtele, C.; Heidenreich, R.; Roecken, M.; Schollmeyer, D.; Laufer, S. Design, Synthesis, and Biological Evaluation of Novel 3-Aryl-4-(1H-indole-3yl)-1,5-dihydro-2H-pyrrole-2-ones as Vascular Endothelial Growth Factor Receptor (VEGF-R) Inhibitors. J. Med. Chem. 2008, 51, 3814–3824. [Google Scholar] [CrossRef]
- Gao, H.; Sun, J.; Yan, C.-G. Synthesis of functionalized 2-pyrrolidinones via domino reactions of arylamines, ethyl glyoxylate and acetylenedicarboxylates. Tetrahedron 2013, 69, 589–594. [Google Scholar] [CrossRef]
- Khan, A.T.; Gosh, A.; Khan, M.M. One-pot four-component domino reaction for the synthesis of substituted dihydro-2-oxypyrrole catalyzed by molecular iodine. Tetrahedron Lett. 2012, 53, 2622–2626. [Google Scholar] [CrossRef]
- Saha, M.; Das, A.R. Access of Diverse 2-Pyrrolidinone, 3,4,5-Substituted Furanone and 2-Oxo-dihydropyrroles Applying Graphene Oxide Nanosheet: Unraveling of Solvent Selectivity. ChemistrySelect 2017, 2, 10249–10260. [Google Scholar] [CrossRef]
- del Corte, X.; Martinez de Marigorta, E.; Palacios, F.; Vicario, J. A Brønsted Acid-Catalyzed Multicomponent Reaction for the Synthesis of Highly Functionalized γ-Lactam Derivatives. Molecules 2019, 24, 2951. [Google Scholar] [CrossRef]
- Palacios, F.; Vicario, J.; Aparicio, D. An efficient synthesis of achiral and chiral cyclic dehydro-α-amino acid derivatives through nucleophilic addition of Amines to β,γ-unsaturated α-keto esters. Eur. J. Org. Chem. 2006, 2843–2850. [Google Scholar] [CrossRef]
- Li, X.; Deng, H.; Luo, S.; Cheng, J.-P. Organocatalytic Three-Component Reactions of Pyruvate, Aldehyde and Aniline by Hydrogen-Bonding Catalysts. Eur. J. Org. Chem. 2008, 4350–4356. [Google Scholar] [CrossRef]
- Ghashang, M. 1-Butyl-1-methylpyrrolidinium hydrogen sulfate-promoted preparation of 1,5-diaryl-3-(arylamino)-1H-pyrrol-2(5H)-one derivatives. Res. Chem. Intermed. 2013, 39, 2187–2195. [Google Scholar] [CrossRef]
- del Corte, X.; Maestro, A.; Vicario, J.; Martínez de Marigorta, E.; Palacios, F. Brönsted-Acid-Catalyzed Asymmetric Three-Component Reaction of Amines, Aldehydes, and Pyruvate Derivatives. Enantioselective Synthesis of Highly Functionalized γ-Lactam Derivatives. Org. Lett. 2018, 20, 317–320. [Google Scholar] [CrossRef] [PubMed]
- del Corte, X.; López-Francés, A.; Maestro, A.; Martinez de Marigorta, E.; Palacios, F.; Vicario, J. Brönsted Acid Catalyzed Multicomponent Synthesis of Phosphorated and Fluorinated γ-Lactam Derivatives. J. Org. Chem. 2020, 85, 14369–14383. [Google Scholar] [CrossRef]
- Zhu, J.; Wang, Q.; Wang, M.-X. (Eds.) Multicomponent Reactions in Organic Synthesis; Wiley-VCH: Weinheim, Germany, 2014; ISBN 978-3-527-67820-4. [Google Scholar]
- Müller, T.J.J. Science of Synthesis, Multicomponent Reactions; Thieme: Stutgart, Germany, 2014; Volumes 1 and 2, ISBN 9783131668813 3131668814. [Google Scholar]
- Knapp, J.M.; Kurth, M.J.; Shaw, J.T.; Younai, A. Diversity-Oriented Synthesis; Trabocchi, A., Ed.; Willey: New York, NY, USA, 2013; pp. 29–57. ISBN 978-1-118-61814-1. [Google Scholar]
- Schreiber, S.L. Target-oriented and diversity-oriented organic synthesis in drug discovery. Science 2000, 287, 1964–1969. [Google Scholar] [CrossRef]
- Khalaf, A.I.; Waigh, R.D.; Drummond, A.J.; Pringle, B.; McGroarty, I.; Skellern, G.G.; Suckling, C.J. Distamycin Analogues with Enhanced Lipophilicity: Synthesis and Antimicrobial Activity. J. Med. Chem. 2004, 47, 2133–2156. [Google Scholar] [CrossRef]
- Ye, Y.; Fang, F.; Li, Y. Synthesis and anti-biofilm activities of dihydro-pyrrol-2-one derivatives on Pseudomonas aeruginosa. Bioorg. Med. Chem. Lett. 2015, 25, 597–601. [Google Scholar] [CrossRef]
- Zhu, Q.; Gao, L.; Chen, Z.; Zheng, S.; Shu, H.; Li, J.; Jiang, H.; Liu, S. A novel class of small-molecule caspase-3 inhibitors prepared by multicomponent reactions. Eur. J. Med. Chem. 2012, 54, 232–238. [Google Scholar] [CrossRef]
- Gein, V.L.; Popov, A.V.; Kolla, V.E.; Popova, N.A.; Potemkin, K.D. Synthesis and biological activity of 1,5-diaryl-3-arylamino-4-carboxymethyl-2,5-dihydro-2-pyrrolones and 1,5-diaryl-4-carboxymethyltetrahydropyrrole-2, 3-diones. Pharm. Chem. J. 1993, 27, 343–346. [Google Scholar] [CrossRef]
- Gein, V.L.; Popov, A.V.; Kolla, V.E.; Popova, N.A. Synthesis and biological activity of 1,5-diaryl-3-alkylamino-4-carboxymethyl-2,5-dihydropyrrol-2-ones and 1,5-diaryl-4-carboxymethyl-tetrahydropyrrol-2,3-diones. Pharmazie 1993, 48, 107–109. [Google Scholar] [CrossRef]
- Yang, Y.; Lu, C.; Chen, M.; Chen, K.; Wu, Y.; Wu, S. Cytotoxic Polyketides Containing Tetramic Acid Moieties Isolated from the Fungus Myceliophthora Thermophila: Elucidation of the Relationship between Cytotoxicity and Stereoconfiguration. Chem. Eur. J. 2007, 13, 6985–6991. [Google Scholar] [CrossRef] [PubMed]
- Janecka, A.; Wyre, A.; Gach, K.; Fichna, J.; Janecki, T. Natural and synthetic α-methylenelactones and α-methylenelactams with anticancer potential. Drug Discov. Today 2012, 17, 561–572. [Google Scholar] [CrossRef] [PubMed]
- Hazuda, D.; Blau, C.U.; Felock, P.; Hastings, J.; Pramanik, B.; Wolfe, A.; Bushman, F.; Farnet, C.; Goetz, M.; Williams, M.; et al. Isolation and Characterization of Novel Human Immunodeficiency Virus Integrase Inhibitors from Fungal Metabolites. Antivir. Chem. Chemother. 1999, 10, 63–70. [Google Scholar] [CrossRef] [PubMed]
- Singh, S.B.; Goetz, M.A.; Jones, E.T.; Bills, G.F.; Giacobbe, R.A.; Herranz, L.; Stevens-Miles, S.; Williams, D.L. Oteromycin: A Novel Antagonist of Endothelin Receptor. J. Org. Chem. 1995, 60, 7040–7042. [Google Scholar] [CrossRef]
- He, H.; Yang, H.Y.; Bigelis, R.; Solum, E.H.; Greenstein, M.; Carter, G.T. Pyrrocidines A and B, new antibiotics produced by a filamentous fungus. Tetrahedron Lett. 2002, 43, 1633–1636. [Google Scholar] [CrossRef]
- Li, B.; Wever, W.J.; Walsh, C.T.; Bowers, A.A. Dithiolopyrrolones: Biosynthesis, synthesis, and activity of a unique class of disulfide-containing antibiotics. Nat. Prod. Rep. 2014, 31, 905–9023. [Google Scholar] [CrossRef]
- The Chemistry of Enols and Enamines. In Organic Mechanisms: Reactions, Stereochemistry and Synthesis; Harmata, M., Ed.; Springer: Berlin/Heidelberg, Germany, 2010; p. 487. [Google Scholar] [CrossRef]
- Zhuang, C.; Miao, Z.; Zhu, L.; Dong, G.; Guo, Z.; Wang, S.; Zhang, Y.; Wu, Y.; Yao, J.; Sheng, C.; et al. Discovery, Synthesis, and Biological Evaluation of Orally Active Pyrrolidone Derivatives as Novel Inhibitors of p53–MDM2 Protein–Protein Interaction. J. Med. Chem. 2012, 55, 9630–9642. [Google Scholar] [CrossRef]
- Huang, W.; Dong, Z.; Wang, F.; Peng, H.; Liu, J.-Y.; Zhang, J.-T. A Small Molecule Compound Targeting STAT3 DNA-Binding Domain Inhibits Cancer Cell Proliferation, Migration, and Invasion. ACS Chem. Biol. 2014, 9, 1188–1196. [Google Scholar] [CrossRef]
- Tarnavsky, S.S.; Dubinina, G.G.; Golovach, S.M.; Yarmoluk, S.M. Antitumor activity among derivatives of the 3-chloro-4-(3-hydroxyanilino)-2,5-dihydropyrrole-2,5-dione. Biopolym. Cell 2003, 19, 548–552. [Google Scholar] [CrossRef][Green Version]
- Sánchez, C.; Zhu, L.; Braña, A.F.; Salas, A.P.; Rohr, J.; Méndez, C.; Salas, J.A. Combinatorial biosynthesis of antitumor indolocarbazole compounds. Proc. Nat. Acad. Sci. USA 2005, 102, 461–466. [Google Scholar] [CrossRef]
- Cao, W.; Wang, Z.; Han, X.; Liu, J.; Wang, W. In vitro cytotoxicity screening to identify novel anti-osteosarcoma therapeutics targeting pyruvate dehydrogenase kinase 2. Bioorg. Med. Chem. Lett. 2019, 29, 126665. [Google Scholar] [CrossRef] [PubMed]
- Joksimović, N.; Petronijević, J.; Janković, N.; Baskić, D.; Popović, S.; Todorović, D.; Matić, S.; Bogdanović, G.A.; Vraneš, M.; Tot, A.; et al. Synthesis, characterization, anticancer evaluation and mechanisms of cytotoxic activity of novel 3-hydroxy-3-pyrrolin-2-ones bearing thenoyl fragment: DNA, BSA interactions and molecular docking study. Bioorg. Chem. 2019, 88, 102954–102968. [Google Scholar] [CrossRef] [PubMed]
- Yang, D.; Huang, C.; Liao, H.; Zhang, H.; Wu, S.; Zhu, Q.; Zhou, Z.-Z. Discovery of Dihydropyrrol-2-ones as Novel G0/G1-Phase Arresting Agents Inducing Apoptosis. ACS Omega 2019, 4, 17556–17560. [Google Scholar] [CrossRef] [PubMed]
- Buchanan, G.S.; Dai, H.; Hsung, R.P.; Gerasyuto, A.I.; Schneinebeck, C.M. Asymmetric Aza-[3+3] Annulation in the Synthesis of Indolizidines: An Unexpected Reversal of Regiochemistry. Org. Lett. 2011, 13, 4402–4405. [Google Scholar] [CrossRef]
- Li, P.; Vik, E.C.; Maier, J.M.; Karki, I.; Strickland, S.M.S.; Umana, J.M.; Smith, M.D.; Pellechia, P.-J.; Shimizu, K.D. Electrostatically Driven CO−π Aromatic Interactions. J. Am. Chem. Soc. 2019, 141, 12513–12517. [Google Scholar] [CrossRef]
- Recio, R.; Vengut-Climent, E.; Mouillac, B.; Orcel, H.; López-Lázaro, M.; Calderón-Montaño, J.M.; Álvarez, E.; Khiar, N.; Fernández, I. Design, synthesis and biological studies of a library of NK1-Receptor Ligands Based on a 5-arylthiosubstituted 2-amino-4,6-diaryl-3-cyano-4H-pyran core: Switch from antagonist to agonist effect by chemical modification. Eur. J. Med. Chem. 2017, 138, 644–660. [Google Scholar] [CrossRef]
- Horsman, G.P.; Zechel, D.L. Phosphonate biochemistry. Chem. Rev. 2017, 117, 5704–5783. [Google Scholar] [CrossRef]
- Mucha, A.; Kafarski, P.; Berlicki, L. Remarkable Potential of the Aminophosphonate /Phosphinate Structural Motif in Medicinal Chemistry. J. Med. Chem. 2011, 54, 5955–5980. [Google Scholar] [CrossRef]
- Karl, D.M. Phosphorus, the Staff of Life. Nature 2000, 406, 31–33. [Google Scholar] [CrossRef]
- Engel, R. Handbook of Organophosphorus Chemistry; Marcel Dekker Inc.: New York, NY, USA, 1992; ISBN 9780429178092. [Google Scholar]
- Kafarski, P.; Lejezak, B. Biological activity of aminophosphonic acids. Phosphorus Sulfur Silicon Relat. Elem. 1991, 63, 193–215. [Google Scholar] [CrossRef]
- Ridaforolimus. Drugs R. D. 2010, 10, 165–178. [CrossRef] [PubMed][Green Version]
- Rivera, V.M.; Squillace, R.M.; Miller, D.; Berk, L.; Wardwell, S.D.; Ning, Y.; Pollock, R.; Narasimhan, N.I.; Iuliucci, J.D.; Wang, F.; et al. Ridaforolimus (AP23573; MK-8669), a Potent mTOR Inhibitor, Has Broad Antitumor Activity and Can Be Optimally Administered Using Intermittent Dosing Regimens. Mol. Cancer Ther. 2011, 10, 1059–1071. [Google Scholar] [CrossRef] [PubMed]
- Markham, A. Brigatinib: First Global Approval. Drugs 2017, 77, 1131–1135. [Google Scholar] [CrossRef] [PubMed]
- Huang, W.-S.; Liu, S.; Zou, D.; Thomas, M.; Wang, Y.; Zhou, T.; Romero, J.; Kohlmann, A.; Li, F.; Qi, J.; et al. Discovery of Brigatinib (AP26113), a Phosphine Oxide-Containing, Potent, Orally Active Inhibitor of Anaplastic Lymphoma Kinase. J. Med. Chem. 2016, 59, 4948–4964. [Google Scholar] [CrossRef]
Publisher’s Note: MDPI stays neutral with regard to jurisdictional claims in published maps and institutional affiliations. |
© 2022 by the authors. Licensee MDPI, Basel, Switzerland. This article is an open access article distributed under the terms and conditions of the Creative Commons Attribution (CC BY) license (https://creativecommons.org/licenses/by/4.0/).













