Study on South African Indigenous Teas—Antioxidant Potential, Nutritional Content, and Hypoxia-Induced Cyclooxygenase Inhibition on U87 MG Cell Line
Abstract
1. Introduction
2. Results
2.1. Percentage (%) Yield of Different Tea Extracts
2.2. The FRAP Assay
2.3. The ABTS Radical Cation-Scavenging Assay: Trolox Equivalent Antioxidant Capacity (TEAC)
2.4. Trolox Oxygen-Radical Absorbance Capacity (ORAC)
2.5. Nutritional Content Estimation
2.5.1. Polyphenols Equivalent to Gallic Acid Estimation
2.5.2. Total Flavanols Estimation as Catechin Equivalent
2.5.3. Total Flavonoid Content (TFC)
2.5.4. Flavonols Equivalent to Quercetin Estimation
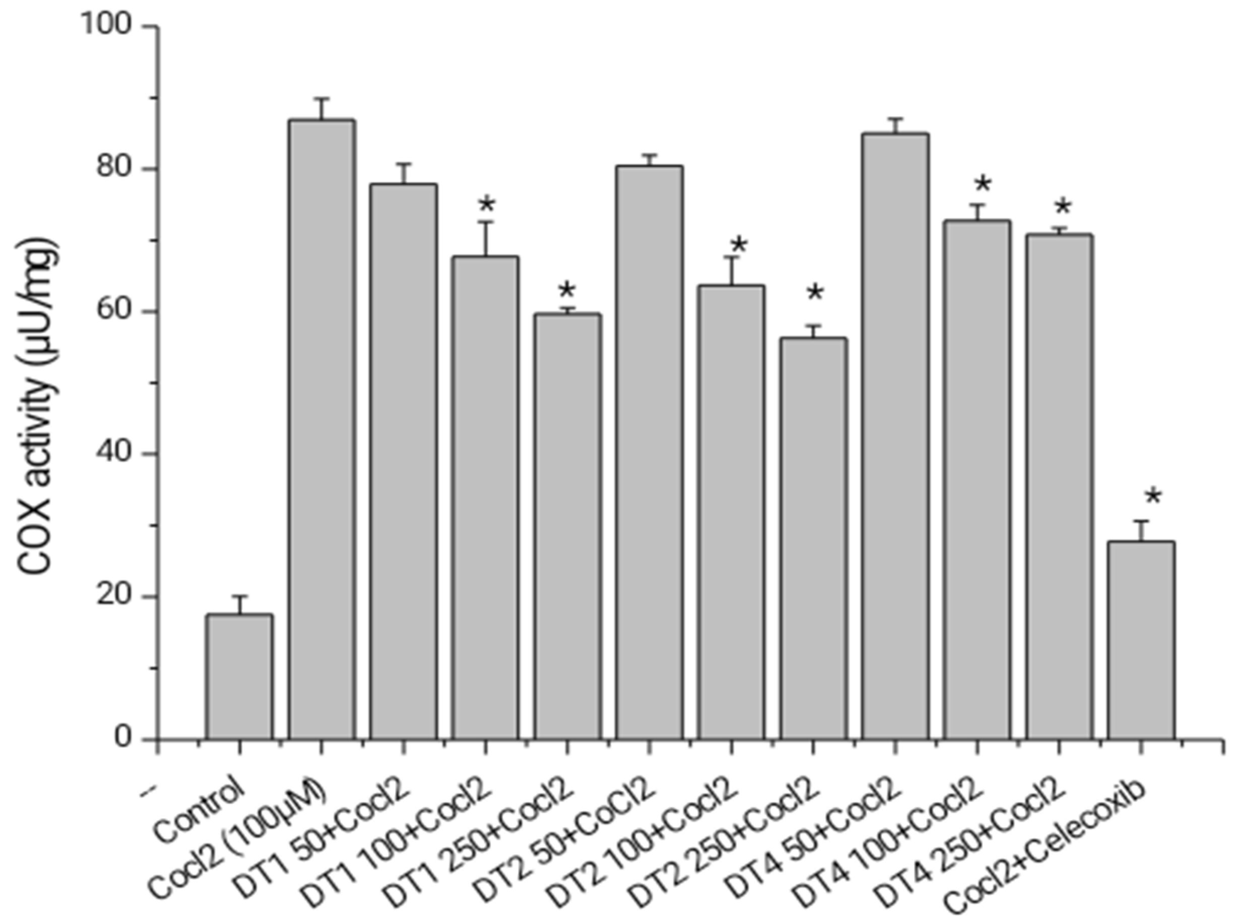
2.6. Cytotoxicity and Cell Proliferation
Cell Proliferation and COX Inhibition
3. Discussion
4. Methodology
4.1. Collection of Tea Plants, Authentication, and Extraction
4.2. Antioxidant Screening Potential
4.2.1. Ferric Reducing/Antioxidant Power Assay
4.2.2. Trolox Equivalent Antioxidant Capacity (TEAC) Assay
4.2.3. Oxygen Radical Absorbance Capacity (ORAC) Assay
4.3. Nutritional Content Estimation
4.4. Energy Determination
4.5. Quantitative Phytochemical Determination of the Tea Plants
4.5.1. Total Polyphenol Content (TPC) Estimation
4.5.2. Flavanol Quantification via Catechin Estimation
4.5.3. Flavonol Quantification via Quercetin Estimation
4.6. Cytotoxicity and Cell Proliferation
4.6.1. Cell Proliferation Assay
4.6.2. Cell Counts Assay
4.6.3. Cyclooxygenase (COX) Activity Assay
4.7. Statistical Analysis
5. Conclusions
Supplementary Materials
Author Contributions
Funding
Institutional Review Board Statement
Informed Consent Statement
Data Availability Statement
Acknowledgments
Conflicts of Interest
References
- Karak, P. Biological Activities of Flavonoids: An Overview. Int. J. Pharm. Sci. Res. 2019, 3, 1567–1574. [Google Scholar]
- Heim, K.E.; Tagliaferro, A.R.; Bobilya, D.J. Flavonoids antioxidants: Chemistry, metabolism and structure-activity relationships. J. Nutr. Biochem. 2002, 13, 572–584. [Google Scholar] [CrossRef]
- Hayat, K.; Iqbal, H.; Malik, U.; Bilal, U.; Mushtaq, S. Tea and its consumption: Benefits and risks. Crit. Rev. Food. Sci. Nutr. 2015, 55, 939–954. [Google Scholar] [CrossRef] [PubMed]
- Lee, J.S.; Shukla, S.; Kim, J.A.; Kim, M. Anti-angiogenic effect of Nelumbo nucifera leaf extracts in human umbilical vein endothelial cells with antioxidant potential. PLoS ONE 2015, 10, e0118552. [Google Scholar] [CrossRef]
- Maroyi, A. Lippia javanica (Burm. f.) Spreng.: Traditional and commercial uses and phytochemical and pharmacological significance in the african and indian subcontinent. Evid. Based Complementary Altern. Med. 2017, 2017, 6746071. [Google Scholar] [CrossRef]
- Erhabor, J.O.; Komakech, R.; Kang, Y.; Tang, M.; Matsabisa, M.G. Ethnopharmacological importance and medical applications of Myrothamnus flabellifolius Welw. (Myrothamnaceae)—A review. J. Ethnopharmacol. 2020, 252, 112576. [Google Scholar] [CrossRef]
- Erukainure, O.L.; Chukwuma, C.I.; Matsabisa, M.G.; Salau, V.F.; Koorbanally, N.A.; Islam, M.S. Buddleja saligna Willd (Loganiaceae) inhibits angiotensin-converting enzyme activity in oxidative cardiopathy with concomitant modulation of nucleotide hydrolyzing enzymatic activities and dysregulated lipid metabolic pathways. J. Ethnopharmacol. 2020, 248, 112358. [Google Scholar] [CrossRef]
- Fajinmi, O.O.; Olarewaju, O.O.; Van Staden, J. Traditional Use of Medicinal and Aromatic Plants in Africa. In Medicinal and Aromatic Plants of the World—Africa Volume 3; Neffati, M., Najjaa, H., Máthé, Á., Eds.; Springer: Dordrecht, The Netherlands, 2017; pp. 61–76. [Google Scholar]
- Blokhina, O.; Virolainen, E.; Fagerstedt, K.V. Antioxidants, oxidative damage and oxygen deprivation stress: A review. Ann. Bot. 2003, 91, 179–194. [Google Scholar] [CrossRef]
- Oyebode, O.A.; Erukainure, O.L.; Ibeji, C.U.; Koorbanally, N.A.; Islam, M.S. Phytochemical constituents, antioxidant and antidiabetic activities of different extracts of the leaves, stem and root barks of Alstonia boonei: An in vitro and in silico study. Bot. Lett. 2019, 166, 444–456. [Google Scholar] [CrossRef]
- Gerstner, E.R.; Duda, D.G.; Di-Tomaso, E.; Ryg, P.A.; Loeffler, J.S.; Sorensen, A.G.; Ivy, P.; Jain, R.K.; Batchelor, T.T. VEGF inhibitors in the treatment of cerebral edema in patients with brain cancer. Nat. Rev. Clin. Oncol. 2009, 6, 229–236. [Google Scholar] [CrossRef]
- Freese, K.E.; Kokai, L.; Edwards, R.P.; Philips, B.J.; Sheikh, M.A.; Kelley, J.; Comerci, J.; Marra, K.G.; Rubin, J.P.; Linkov, F. Adipose-derived stems cells and their role in human cancer development, growth, progression, and metastasis: A systematic review. Cancer. Res. 2015, 75, 1161–1168. [Google Scholar] [CrossRef] [PubMed]
- Adedapo, A.A.; Jimoh, F.O.; Koduru, S.; Masika, P.J.; Afolayan, A.J. Assessment of the medicinal potentials of the methanol extracts of the leaves and stems of Buddleja saligna. BMC Complementary Med. Ther. 2009, 9, 21. [Google Scholar] [CrossRef] [PubMed]
- Kipkore, W.; Wanjohi, B.; Rono, H.; Kigen, G. A study of the medicinal plants used by the Marakwet Community in Kenya. J. Ethnobiol. Ethnomed. 2014, 10, 24. [Google Scholar] [CrossRef] [PubMed]
- Wallace, D.B.; Viljoen, G.J. Immune responses to recombinants of the South African vaccine strain of lumpy skin disease virus generated by using thymidine kinase gene insertion. Vaccine 2005, 23, 3061–3067. [Google Scholar] [CrossRef] [PubMed]
- Mujovo, S.F.; Hussein, A.A.; Meyer, J.M.; Fourie, B.; Muthivhi, T.; Lall, N. Bioactive compounds from Lippia javanica and Hoslundia opposite. Nat. Prod. Res. 2008, 22, 1047–1054. [Google Scholar] [CrossRef] [PubMed]
- Lukwa, N.; Molgaard, P.; Furu, P.; Bogh, C. Lippia javanica (Burm F) Spreng: Its general constituents and bioactivity on mosquitoes. Trop. Biomed. 2009, 26, 85–91. [Google Scholar]
- Combrinck, S.; Du Plooy, G.W.; McCrindle, R.I.; Botha, B.M. Morphology and histochemistry of the glandular trichomes of Lippia scaberrima (Verbenaceae). Ann. Bot. 2007, 99, 1111–1119. [Google Scholar] [CrossRef]
- Chukwujekwu, J.C.; Amoo, S.O.; de-Kock, C.A.; Smith, P.J.; Van-Staden, J. Antiplasmodial, acetylcholinesterase and alpha-glucosidase inhibitory and cytotoxicity properties of Buddleja saligna. S. Afr. J. Bot. 2014, 94, 6–8. [Google Scholar] [CrossRef][Green Version]
- Chukwujekwu, J.C.; Rengasamy, K.R.; de-Kock, C.A.; Smith, P.J.; Slavětínská, L.P.; van-Staden, J. Alpha-glucosidase inhibitory and antiplasmodial properties of terpenoids from the leaves of Buddleja saligna Willd. J. Enzyme. Inhib. Med. Chem. 2016, 31, 63–66. [Google Scholar] [CrossRef][Green Version]
- Pendota, S.C.; Aderogba, M.A.; Ndhlala, A.R.; Van-Staden, J. Antimicrobial and acetylcholinesterase inhibitory activities of Buddleja salviifolia (L.) Lam. leaf extracts and isolated compounds. J. Ethnopharmacol. 2013, 148, 515–520. [Google Scholar] [CrossRef]
- Jonville, M.C.; Kodja, H.; Strasberg, D.; Pichette, A.; Ollivier, E.; Frederich, M.; Angenot, L.; Legault, J. Antiplasmodial, anti-inflammatory and cytotoxic activities of various plant extracts from the Mascarene Archipelago. J. Ethnopharmacol. 2011, 136, 525–531. [Google Scholar] [CrossRef] [PubMed]
- Van Vuuren, S.F.; Naidoo, D. An antimicrobial investigation of plants used traditionally in southern Africa to treat sexually transmitted infections. J. Ethnopharmacol. 2010, 130, 552–558. [Google Scholar] [CrossRef] [PubMed]
- Molefe-Khamanga, D.M.; Mooketsi, N.A.; Matsabisa, M.G.; Kensley, R.M. Qualitative phytochemical studies of solvent extracts from Myrothamnus flabellifolius. Online Int. J. Med. Pl. Res. 2012, 1, 1–5. [Google Scholar]
- Kwape, T.E.; Majinda, R.R.; Chaturvedi, P. Antioxidant and antidiabetic potential of Myrothamnus flabellifolius found in Botswana. Cogent Bio. 2016, 2, 1275403. [Google Scholar] [CrossRef]
- Van Vuuren, S.F. Antimicrobial activity of South African medicinal plants. J. Ethnopharmacol. 2008, 119, 462–472. [Google Scholar] [CrossRef]
- Re, R.; Pellegrini, N.; Proteggente, A.; Pannala, A.; Yang, M.; Rice-Evans, C. Antioxidant activity applying an improved ABTS radical cation decolorization assay. Free Radic. Biol. Med. 1999, 26, 1231–1237. [Google Scholar] [CrossRef]
- Lawal, O.A.; Ogunwande, I.A.; Osunsanmi, F.O.; Opoku, A.R.; Oyedeji, A.O. Croton gratissimus leaf essential oil composition, antibacterial, antiplatelet aggregation, and cytotoxic activities. J. Herbs. Spices Med. Plants 2017, 23, 77–87. [Google Scholar] [CrossRef]
- Langat, M.K.; Crouch, N.R.; Smith, P.J.; Mulholland, D.A. Cembranolides from the leaves of Croton gratissimus. J. Nat. Prod. 2011, 74, 2349–2355. [Google Scholar] [CrossRef]
- Aderogba, M.A.; Ndhlala, A.R.; Rengasamy, K.R.; Van-Staden, J. Antimicrobial and selected in vitro enzyme inhibitory effects of leaf extracts, flavonols and indole alkaloids isolated from Croton menyharthii. Molecules 2013, 18, 12633–12644. [Google Scholar] [CrossRef]
- Regnier, T.; du-Plooy, W.; Combrinck, S.; Botha, B. Fungitoxicity of Lippia scaberrima essential oil and selected terpenoid components on two mango postharvest spoilage pathogens. Postharvest Biol. Technol. 2008, 48, 254–258. [Google Scholar] [CrossRef]
- Amiri, H. Essential Oils Composition and Antioxidant Properties of Three Thymus Species. Evid. Based Complementary Altern. Med. 2012, 2012, 728065. [Google Scholar] [CrossRef] [PubMed]
- Tsao, R. Chemistry and Biochemistry of Dietary Polyphenols. Nutrients 2010, 2, 1231–1246. [Google Scholar] [CrossRef] [PubMed]
- Echeverri, D.; Montes, F.R.; Cabrera, M.; Galán, A.; Prieto, A. Caffeine’s vascular mechanisms of action. Int. J. Vasc. Med. 2010, 2010, 834060. [Google Scholar] [CrossRef]
- Nawrot, P.; Jordan, S.; Eastwood, J.; Rotstein, J.; Hugenholtz, A.; Feeley, M. Effects of caffeine on human health. Food Addit. Contam. 2003, 20, 1–30. [Google Scholar] [CrossRef] [PubMed]
- Temple, J.L.; Bernard, C.; Lipshultz, S.E.; Czachor, J.D.; Westphal, J.A.; Mestre, M.A. The Safety of Ingested Caffeine: A Comprehensive Review. Front. Psychiatry 2017, 8, 80. [Google Scholar] [CrossRef]
- Das, L.; Bhaumik, E.; Raychaudhuri, U.; Chakraborty, R. Role of nutraceuticals in human health. J. Food Sci. Technol. 2012, 49, 173–183. [Google Scholar] [CrossRef]
- Kroger, M.; Meister, K.; Kava, R. Low-calorie sweeteners and other sugar substitutes: A review of the safety issues. Compr. Rev. Food Sci. Food Saf. 2006, 5, 35–47. [Google Scholar] [CrossRef]
- Bala, A.; Mukherjee, P.K.; Braga, F.C.; Matsabisa, M.G. Comparative inhibition of MCF-7 breast cancer cell growth, invasion and angiogenesis by Cannabis sativa L. sourced from sixteen different geographic locations. S. Afr. J. Bot. 2018, 8, 154–162. [Google Scholar] [CrossRef]
- Tewari, S.; Gupta, V.; Bhattacharya, S. Comparative study of antioxidant potential of tea with and without additives. Indian J. Physiol. Pharmacol. 2000, 44, 215–219. [Google Scholar]
- Faichney, G.J.; White, G.A. Methods for the Analysis of Feeds Eaten by Ruminants; CSIRO: Melbourne, Australia, 1983.
- Liu, X.H.; Kirschenbaum, A.; Yao, S.; Stearns, M.E.; Holland, J.F.; Claffey, K.; Levine, A.C. Upregulation of vascular endothelial growth factor by cobalt chloride-simulated hypoxia is mediated by persistent induction of cyclooxygenase-2 in a metastatic human prostate cancer cell line. Clin. Exp. Metastasis 1999, 17, 687–694. [Google Scholar] [CrossRef]
- Tungmunnithum, D.; Thongboonyou, A.; Pholboon, A.; Yangsabai, A. Flavonoids and other phenolic compounds from medicinal plants for pharmaceutical and medical aspects: An overview. Medicines 2018, 5, 93. [Google Scholar] [CrossRef] [PubMed]
- Benzie, I.F.; Strain, J.J. The ferric reducing ability of plasma (FRAP) as a measure of “Cantioxidant power”: The FRAP assay. Anal. Biochem. 1996, 239, 70–76. [Google Scholar] [CrossRef] [PubMed]
- Ou, B.; Hampsch-Woodill, M.; Prior, R.L. Development and validation of an improved oxygen radical absorbance capacity assay using fluorescein as the fluorescent probe. J. Agric. Food Chem. 2001, 49, 4619–4626. [Google Scholar] [CrossRef] [PubMed]
- AOAC. Official Methods of Analysis, Analysis of Total Fat, Official Method 948.22; Association of Official Analytical Chemists: Rockville, MD, USA, 1997. [Google Scholar]
- Greenfield, H.; Southgate, D.A. Food Composition Data, Production, Management and Use, 2nd ed.; Food & Agriculture Organization: Rome, Italy, 2003. [Google Scholar]
- Bessinger, F.; Bosch, T.F. (Eds.) Methods of Analysis for Fertilizers, Ameliorants and Farm Feeds, SIRI Information Bulletin No D-2, Method No. 3031 for Preparation, 3054 for EDTA Titration; Navorsingsinstituut vir Grond en Besproeiing: Pretoria, South Africa, 1985. [Google Scholar]
- MacRae, J.C.; Armstrong, D.G. Enzyme method for determination of α-linked glucose polymers in biological materials. J. Food Sci. Agric. 1968, 19, 578–581. [Google Scholar] [CrossRef]
- Gehrke, C.W.; Wall Sr, L.L.; Absheer, J.S.; Kaiser, F.E.; Zumwalt, R.W. Sample preparation for chromatography of amino acids: Acid hydrolysis of Proteins. J. Aoac. 1985, 68, 811–821. [Google Scholar] [CrossRef]
- Horwitz, W. (Ed.) Official Methods of Analysis; Association of Official Agricultural Chemists: Washington, DC, USA, 1975. [Google Scholar]
- Tadesse, A.; Hymete, A.; Bekhit, A.A.; Mohammed, S.F. Quantification of total polyphenols, catechin, caffeine, L-threonine, determination of antioxidant activity and effect on antileishmanial drugs of Ethiopian tea leaves extracts. Pharmacognosy Res. 2015, 7 (Suppl. S1), S7. [Google Scholar] [PubMed]
- Li, Y.G.; Tanner, G.; Larkin, P. The DMACA-HCl protocol and the threshold proanthocyanidin content for bloat safety in forage legumes. J. Sci. Food Agric. 1996, 70, 89–101. [Google Scholar] [CrossRef]
- Mazza, G.; Fukumoto, L.; Delaquis, P.; Girard, B.; Ewert, B. Anthocyanins, Phenolics, and Color of Cabernet Franc, Merlot, and Pinot Noir Wines from British Columbia. J. Agric. Food Chem. 1999, 47, 4009–4017. [Google Scholar] [CrossRef]
- Matsabisa, M.G.; Chukwuma, C.I.; Chaudhary, S.K.; Kumar, C.S.; Baleni, R.; Javu, M.; Oyedemi, S.O. Dicoma anomala (Sond.) abates glycation and DPP-IV activity and modulates glucose utilization in Chang liver cells and 3T3-L1 Adipocytes. S. Afr. J. Bot. 2020, 128, 182–188. [Google Scholar] [CrossRef]














| S/N (Plant Codes) | Botanical Names | Family Names | Local Names | Common Names | Uses | Geographical Coordinates | References |
|---|---|---|---|---|---|---|---|
| (DT-01) | Lippia javanica (Burm, f.) Spreng | Verbenaceae | iNzinziniba (Xhosa); uMsuzwane. uMswazi (Zulu). Koorsbossie, Beukesbossie, Lemoenbossie (Afrikaans) | fever tea, lemon bush | herbal health tea to treat colds, cough, fever or malaria, wounds, repelling mosquitos, diarrhoea, chest pains, bronchitis, and asthma; widely sold as herbal tea in Botswana, South Africa. and Zimbabwe; In South Africa used in the treatment of livestock ailments; Isolated (E)-2(3)-tagetenone epoxide from L. javanica inhibited the HIV-1 reverse transcriptase enzyme. Leaf and root decoction or infusions used to remedy digestive system diseases (cholera, diarrhoea, and dysentery). Also to repel insects | 29°05′32.2′ S; 26°09′25.6′ E | [3,12,13,14,15] |
| (DT-02) | Lippia scaberrimma (Sond,) | Verbenaceae | In Malawi and Zimbabwe to treat coughs, asthma, fever, and headaches; in Botswana as a soothing and relaxing tea; essential oils have fungistatic activity against Botryosphaeria parva and Colletotrichum gloeosporioides | 29°05′32.2′ S; 26°09′25.6′ E | [16] | ||
| (DT-03) | Under evaluation | Under evaluation | Iti ye Hlathi (Local name of plant in Uitenhage in EC Province of South Africa) | Locals in Uitenhage area. Eastern Cape used it as a beverage (with or without sugar and milk). THPs use the tea to treat and manage swollen legs and feet, body itches and body pains. Also used to boost energy; to clean the womb, kidneys and blood, uretic and an antihypertensive. | 32.2968° S, 26.4194° E | Our Lab report (not published) | |
| (DT-04) | Buddleja saligna (L) | Scrophulariaceae | Witolien (Afrikaans). unGqeba (Xhosa). iGqeba-elimhlope (Zulu) | False olive | To treat high blood pressure. chest pains, coughs, diabetes, colds, and tuberculosis; anti-inflammatory, anti-malaria, antioxidant, and antibacterial activities; anti-microbial acetylcholinesterase inhibitory activities; eye infections and neurodegenerative diseases; antiplasmodial activity, inhibition of nitric oxide (NO) overproduction, and anti-proliferative activity | 32°43′25.5′ S; 26°53′28.2′ E | [17,18,19,20,21] |
| (DT-05) | Phyla dulcis (Trev.) | Verbenaceae | Hawu Hawu by amaXhosa people of Ntshatshongo | bushy lippia, honey herb | As natural sweetener; to treat various diseases associated with bronchi; to manage cough and an emmanagogue; asthma and chronic bronchitis; has a minty taste and do not cause tooth decay | 29°09′18.01′ S; 26°16′25.63′ E | [12] |
| (DT-06) | Myrothamnus flabelifollius(Welw.) | Myrothamnaceae | Uvukakwabafile (isiZulu). Bergboegoe (Afrikaans) Moritela Tshwene (Setswana) | resurrection plant | Nama people use the leaf extract in wound healing, asthma and chest ailments; Also for infectious and respiratory diseases, inflammation, heart, and kidney ailments; to treat chest pains, coughs, epilepsy, and mental disorders; As tonic and skin moisturizer; antidiabetic and antioxidant activity; potent antimicrobial activity; antioxidant, anticancer, antiviral, antidiabetic, anti-inflammatory, antiarthritic, antiulcer and antimicrobial properties | 25°31′84.1′ S; 26°11′68.3′ E | [4,22,23,24,25] |
| (DT-07) | Croton gratissimus var gratissimus (L.) | Euphorbiaceae | Bergboegoe. iLabele. iNkubathi | Lavender croton | anti-microbial activity; sexually transmitted diseases; antiplatelet aggregation. anti-proliferative activities and antiplasmodial activities; influenza, colds, fevers; antioxidant and acetylcholinesterase inhibitory activity | 25°32′85.72′ S; 26°12′32.85′ E | [26,27,28,29,30,31,32,33,34,35,36,37,38,39] |
| Indigenous Tea Plants (Infusions) | |||||
|---|---|---|---|---|---|
| Code | Plant Species (Local Name) | Botanical Name | Voucher Specimen No. BLFU | Trade Name | Water Extraction Yield (%) |
| DT-01 | Inzinziniba | Lippia javanica | MGM005 | Zinibar | 7.36 |
| DT-02 | Mosukujane | Lippia scaberrimma | MGM0012 | Mosukujane | 15.48 |
| DT-03 | Iti Yehlathi | Iti Yehlathi | MGM008 | Tinar | 11.4 |
| DT-04 | Igqhange | Buddleja saligna | MGM0015 | Gancair | 7.1 |
| DT-05 | Hawu Hawu | Phyla dulcis | MGM0016 | Haw Haw | 12.22 |
| DT-06 | Moritela Tshwene | Myrothamnus flabellifolius | MGM0011 | Resurrection bush | 14.08 |
| DT-07 | Moologa | Croton gratissimus var gratissimus | MGM009 | Moologa | 14.74 |
| A | |||||||||
| Analysis | Method Number | Unit | Tea Sample | ||||||
| DT-01 | DT-07 | DT-03 | DT-04 | DT-02 | DT-05 | DT-06 | |||
| Dry matter | ASM 013 | % | 89.56 | 92.68 | 91.02 | 94.51 | 91.26 | 91.49 | 93.46 |
| Moisture | ASM 013 | % | 10.41 | 7.32 | 8.98 | 5.49 | 8.74 | 8.51 | 6.54 |
| Ash | ASM 048 | % | 9.22 | 5.13 | 13.14 | 3.65 | 9.56 | 14.20 | 3.22 |
| Protein (N × 6.25) | ASM 078 | % | 14.44 | 12.80 | 14.12 | 6.15 | 10.09 | 17.60 | 9.26 |
| Fat (Ether extraction) | ASM 044 | % | 1.33 | 3.43 | 2.84 | 2.90 | 2.83 | 3.19 | 3.81 |
| Carbohydrates (Calculated) | ASM 075 | % | 64.60 | 71.32 | 60.92 | 81.81 | 68.78 | 56.50 | 77.17 |
| Energy (Calculated) | ASM 076 | kJ/100 g | 448 | 583 | 462 | 529 | 586 | 506 | 771 |
| Calcium | ASM 042 | % | 1.49 | 0.89 | 2.13 | 1.06 | 1.29 | 1.69 | 0.59 |
| Total Non-structural Carbohydrates | ASM 074 | % | 9.03 | 14.03 | 6.85 | 18.67 | 18.25 | 5.21 | 27.81 |
| Water Soluble Carbohydrates | NSA | % | 0.04 | 0.05 | 0.03 | 0.10 | 0.10 | 0.02 | 0.16 |
| Starch | NSA | % | 0.00 | 0.00 | 0.00 | 0.00 | 1.17 | 0.00 | 0.00 |
| Total sugars | NSA | % | 0.03 | 14.03 | 6.85 | 18.67 | 17.08 | 5.21 | 27.81 |
| Glucose | NSA | g/100 g | 0.00 | 0.00 | 0.00 | 0.00 | 2.71 | 0.00 | 4.59 |
| Fructose | NSA | g/100 g | 0.00 | 0.00 | 0.00 | 0.00 | 2.93 | 0.00 | 2.94 |
| Sucrose | NSA | g/100 g | 0.00 | 0.00 | 0.00 | 2.53 | 2.77 | 0.00 | 0.00 |
| Maltose | NSA | g/100 g | 0.00 | 0.00 | 0.00 | 0.00 | 0.00 | 0.00 | 0.00 |
| Lactose | NSA | g/100 g | 0.00 | 0.00 | 0.00 | 0.00 | 0.00 | 0.00 | 2.84 |
| Dietary Fibre (Total) | ASM 070 | % | 61.86 | 55.09 | 43.29 | 50.29 | 46.40 | 48.77 | 33.40 |
| Cysteine | NSA | g/100 g | 0.22 | 0.26 | 0.24 | 0.16 | 0.19 | 0.34 | 0.21 |
| Tryptophan | ASM 022 | g/100 g | 0.06 | 0.05 | 0.06 | 0.04 | 0.04 | 0.10 | 0.07 |
| Arginine | ASM 021 | g/100 g | 0.74 | 0.65 | 0.83 | 0.35 | 0.56 | 1.01 | 0.58 |
| Serine | ASM 021 | g/100 g | 0.56 | 0.45 | 0.65 | 0.32 | 0.49 | 0.90 | 0.45 |
| Aspartic acid | ASM 021 | g/100 g | 1.25 | 0.87 | 1.32 | 0.54 | 0.83 | 1.68 | 0.80 |
| Glutamic acid | ASM 021 | g/100 g | 1.34 | 1.20 | 1.35 | 0.58 | 0.99 | 1.82 | 0.96 |
| Glycine | ASM 021 | g/100 g | 0.62 | 0.47 | 0.71 | 0.33 | 0.50 | 0.96 | 0.48 |
| Threonine | ASM 021 | g/100 g | 0.53 | 0.41 | 0.60 | 0.27 | 0.42 | 0.80 | 0.41 |
| Alanine | ASM 021 | g/100 g | 0.66 | 0.50 | 0.73 | 0.32 | 0.51 | 0.96 | 0.50 |
| Tyrosine | ASM 021 | g/100 g | 0.49 | 0.36 | 0.53 | 0.24 | 0.40 | 0.64 | 0.34 |
| Proline | ASM 021 | g/100 g | 0.75 | 0.69 | 0.64 | 0.48 | 1.26 | 0.87 | 0.45 |
| HO-Proline | ASM 021 | g/100 g | 0.10 | 0.13 | 0.16 | 0.07 | 0.08 | 0.20 | 0.10 |
| Methionine | ASM 021 | g/100 g | 0.18 | 0.13 | 0.18 | 0.08 | 0.14 | 0.21 | 0.14 |
| Valine | ASM 021 | g/100 g | 0.70 | 0.51 | 0.76 | 0.34 | 0.53 | 0.96 | 0.49 |
| Phenylalanine | ASM 021 | g/100 g | 0.66 | 0.54 | 0.73 | 0.31 | 0.48 | 0.94 | 0.43 |
| Isoleucine | ASM 021 | g/100 g | 0.58 | 0.43 | 0.61 | 0.29 | 0.44 | 0.78 | 0.41 |
| Leucine | ASM 021 | g/100 g | 0.98 | 0.74 | 1.10 | 0.49 | 0.75 | 1.40 | 0.73 |
| Histidine | ASM 021 | g/100 g | 0.76 | 0.46 | 0.50 | 0.35 | 0.57 | 0.78 | 0.29 |
| Lysine | ASM 021 | g/100 g | 0.76 | 0.66 | 0.62 | 0.35 | 0.68 | 0.85 | 0.57 |
| B | |||||||||
| Sample | Sample Names | Total Solid (%) | Moisture (%) | Ash Value (%) | Fat (%) | Energy KJ/100 g | |||
| DT-01 | Lippia javanica (Burm.f.) | 0.25 | 99.75 | 0.01 | 0.78 | 29 | |||
| DT-02 | Lippia scaberrimma (Sond.) | 0.19 | 99.81 | 0.01 | 1.03 | 38 | |||
| DT-03 | Iti Yehlathi | 0.35 | 99.65 | 0.01 | 0.79 | 29 | |||
| DT-04 | Buddleja saligna (L.) | 0.26 | 99.74 | 0.01 | 1.01 | 37 | |||
| DT-05 | Phyla dulcis (Trevir.) | 0.11 | 99.89 | 0.01 | 1.06 | 39 | |||
| DT-06 | Myrothamnus flabellifolius (Welw.) | 0.38 | 99.64 | 0.01 | 0.95 | 35 | |||
| DT-07 | Croton gratissimus var gratissimus (L.) | 0.25 | 99.75 | 0.01 | 0.71 | 26 | |||
Publisher’s Note: MDPI stays neutral with regard to jurisdictional claims in published maps and institutional affiliations. |
© 2022 by the authors. Licensee MDPI, Basel, Switzerland. This article is an open access article distributed under the terms and conditions of the Creative Commons Attribution (CC BY) license (https://creativecommons.org/licenses/by/4.0/).
Share and Cite
Matsabisa, M.G.; Bala, A.; Tripathy, S.; Digashu, M.M.; Rautenbach, F.; Dassarma, B.; Erhabor, J.O.; Braga, F.C.; Mukherjee, P.K.; Tang, M.; et al. Study on South African Indigenous Teas—Antioxidant Potential, Nutritional Content, and Hypoxia-Induced Cyclooxygenase Inhibition on U87 MG Cell Line. Molecules 2022, 27, 3505. https://doi.org/10.3390/molecules27113505
Matsabisa MG, Bala A, Tripathy S, Digashu MM, Rautenbach F, Dassarma B, Erhabor JO, Braga FC, Mukherjee PK, Tang M, et al. Study on South African Indigenous Teas—Antioxidant Potential, Nutritional Content, and Hypoxia-Induced Cyclooxygenase Inhibition on U87 MG Cell Line. Molecules. 2022; 27(11):3505. https://doi.org/10.3390/molecules27113505
Chicago/Turabian StyleMatsabisa, Motlalepula Gilbert, Asis Bala, Satyajit Tripathy, Michelle Mogomane Digashu, Fanie Rautenbach, Barsha Dassarma, Joseph Omorogiuwa Erhabor, Fernao Castro Braga, Pulok Kumar Mukherjee, Minke Tang, and et al. 2022. "Study on South African Indigenous Teas—Antioxidant Potential, Nutritional Content, and Hypoxia-Induced Cyclooxygenase Inhibition on U87 MG Cell Line" Molecules 27, no. 11: 3505. https://doi.org/10.3390/molecules27113505
APA StyleMatsabisa, M. G., Bala, A., Tripathy, S., Digashu, M. M., Rautenbach, F., Dassarma, B., Erhabor, J. O., Braga, F. C., Mukherjee, P. K., Tang, M., & Kang, Y. (2022). Study on South African Indigenous Teas—Antioxidant Potential, Nutritional Content, and Hypoxia-Induced Cyclooxygenase Inhibition on U87 MG Cell Line. Molecules, 27(11), 3505. https://doi.org/10.3390/molecules27113505

