Merging Electron Deficient Boronic Centers with Electron-Withdrawing Fluorine Substituents Results in Unique Properties of Fluorinated Phenylboronic Compounds
Abstract
:1. Introduction
- -
- Already in 1954, Kuivila [4] reported that boronic acids form cyclic esters with cis-diols in a fast and reversible reaction. In 1959, Lorand and Edwards determined the values of the equilibrium constants of ester formations with various sugars [5]. Practical uses of this reaction were developed much later [6], and it has become the basis for the design of molecular receptors of important biomolecules, e.g., glucose, catecholamines or adenosine monophosphate (AMP).
- -
- The Suzuki–Miyaura coupling reaction [7] is the basis for the synthesis of biaryl systems. It was developed as a reaction of boronic acids with aryl bromides catalyzed by palladium compounds and, subsequently, a subject of numerous modifications, extending the range of reagents, solvents and catalysts. The importance of this reaction is evidenced by the fact that searching for the phrase “Suzuki” in the Scopus database in 2020 both in the titles and abstracts gave 1355 responses, as well as a Nobel prize for that reaction acquired in 2010.
- -
- Benzoxaboroles, cyclic hemiesters of phenylboronic acids, have been known since 1957 [8] and received moderate interest until it was found that these compounds bind sugars at a physiological pH [9]. This allowed not only development of a group of receptors of new type but also for the application of these compounds as biologically active substances with antibacterial, antiprotozoal and antifungal activity [10,11,12]. The most famous representative of benzoxaboroles contains a fluorine atom and is used as powerful drug against onychomycosis—Kerydin (Tavaborole) [13] (Figure 2).
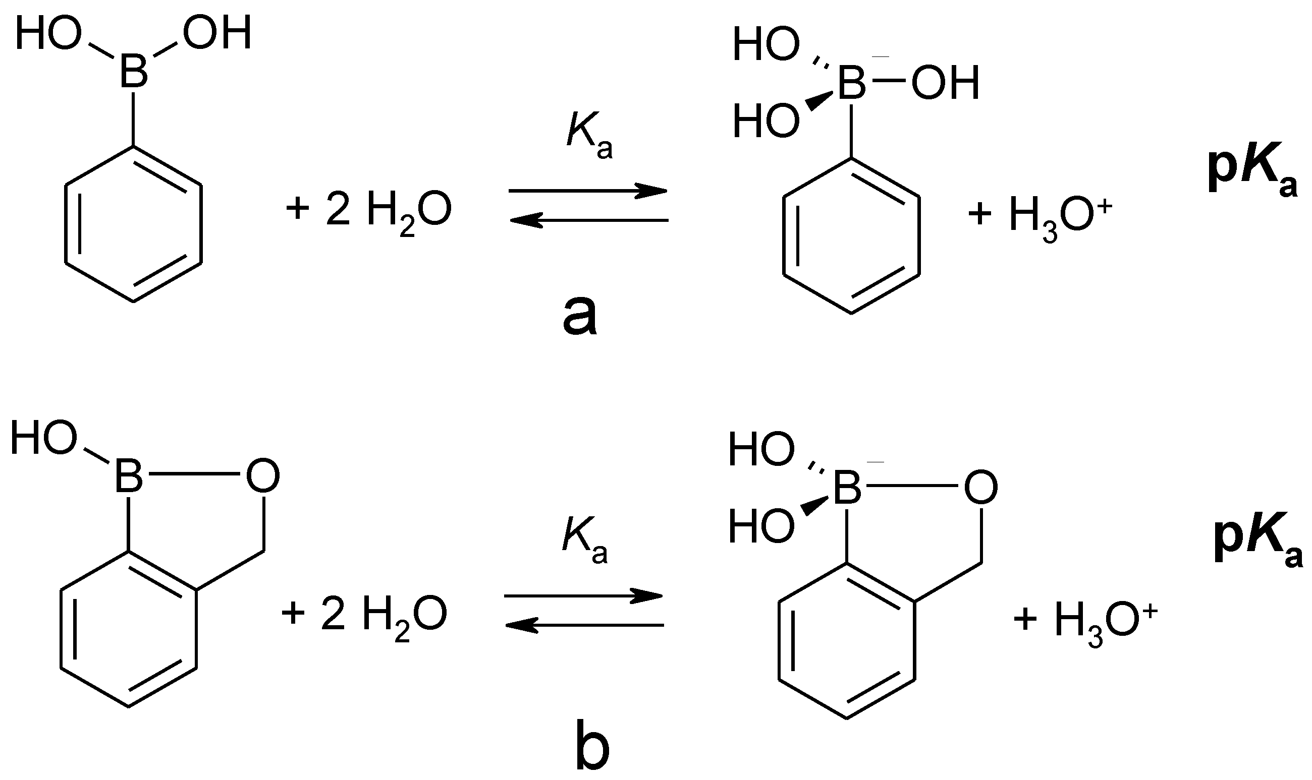
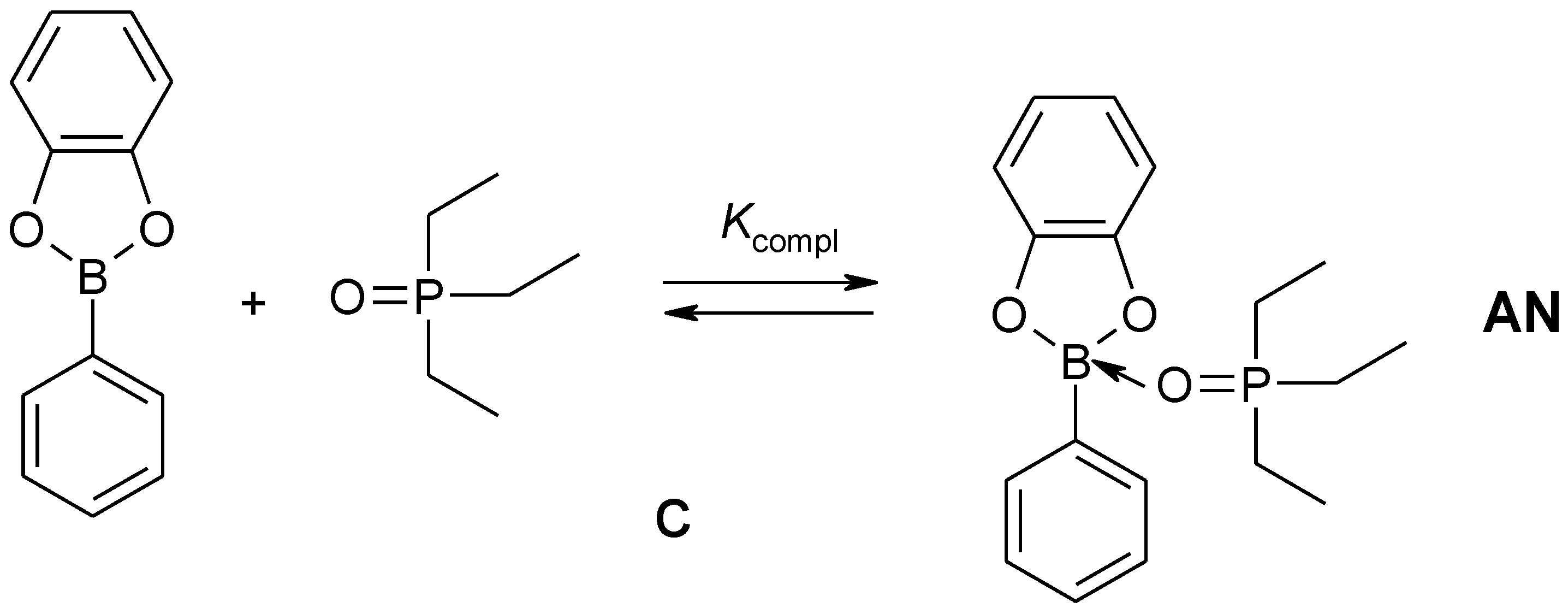
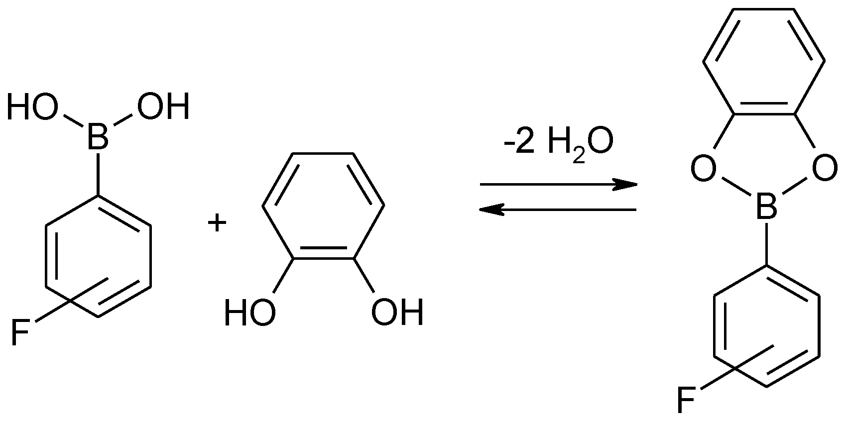
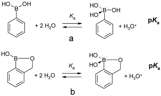
2. Acidity of Fluorinated Boronic Compounds
3. Crystal Structures
3.1. Compounds with F-Substituents
- -
- A majority of fluoro-substituted phenylboronic acids form basic dimeric syn-anti synthons. The differentiation of the crystal structure occurs at higher-order supramolecular organization.
- -
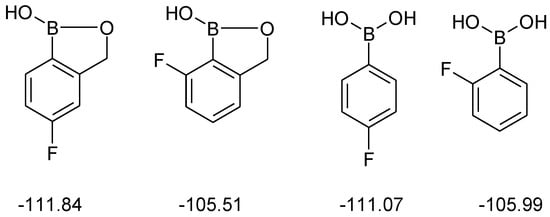
- In ortho-fluorophenylboronic acids, intramolecular B-O-H···F hydrogen bonds are formed. These bonds are weak and practically do not affect the crystal structure. The second ortho-fluoro substituent does not form such a bond.
- -
- The molecules are not planar. The twist of the boronic group is observed with the value of the dihedral angle about 25° for most compounds. The introduction of additional substituents into the phenyl ring influence this value considerably.
3.2. Compounds with CF3 and OCF3 Substituents
4. NMR Characterization
5. Equilibria in Solutions
6. Antimicrobial Activity
7. Conclusions
Author Contributions
Funding
Institutional Review Board Statement
Informed Consent Statement
Data Availability Statement
Conflicts of Interest
References
- Frankland, E.; Duppa, B.I. On Boric Ethide. Proc. R. Soc. 1860, 10, 568–570. [Google Scholar] [CrossRef] [Green Version]
- Frankland, E.; Duppa, B.F. Vorläufige Notiz über Boräthyl. Liebigs Ann. Chemie 1860, 115, 319–322. [Google Scholar] [CrossRef] [Green Version]
- Michaelis, A.; Becker, P. Ueber Monophenylborchlorid und die Valenz des Bors. Berichte 1880, 13, 58–61. [Google Scholar] [CrossRef] [Green Version]
- Kuivila, H.G.; Keough, A.H.; Soboczenski, E.J. Areneboronates from Diols and Polyols. J. Org. Chem. 1954, 19, 780–783. [Google Scholar] [CrossRef]
- Lorand, J.P.; Edwards, J.O. Polyol Complexes and Structure of the Benzeneboronate Ion. J. Org. Chem. 1959, 24, 769–774. [Google Scholar] [CrossRef]
- Springsteen, G.; Wang, B. A Detailed Examination of Boronic Acid–Diol Complexation. Tetrahedron 2002, 58, 5291–5300. [Google Scholar] [CrossRef]
- Suzuki, A. Cross-Coupling Reactions of Organoboranes: An Easy Way To Construct C-C Bonds (Nobel Lecture). Angew. Chem. Int. Ed. 2011, 50, 6722–6737. [Google Scholar] [CrossRef]
- Torssell, K. Arylboronic acids. III. Bromination of tolylboronic acids according to Wohl-Ziegler. Ark Kemi 1957, 10, 507–511. [Google Scholar]
- Dowlut, M.; Hall, D.G. An Improved Class of Sugar-Binding Boronic Acids, Soluble and Capable of Complexing Glycosides in Neutral Water. J. Am. Chem. Soc. 2006, 128, 4226–4227. [Google Scholar] [CrossRef]
- Ali, F.; Hosmane, N.S.; Zhu, Y. Boron Chemistry for Medical Applications. Molecules 2020, 25, 828. [Google Scholar] [CrossRef] [Green Version]
- Coghi, P.S.; Zhu, Y.; Xie, H.; Hosmane, N.S.; Zhang, Y. Organoboron Compounds: Effective Antibacterial and Antiparasitic Agents. Molecules 2021, 26, 3309. [Google Scholar] [CrossRef] [PubMed]
- Zhu, Y. (Ed.) Fundamentals and Applications of Boron Chemistry; Elsevier: Amsterdam, The Netherlands, 2022; ISBN 9780128221266. [Google Scholar]
- Rock, F.L.; Mao, W.; Yaremchuk, A.; Tukalo, M.; Crépin, T.; Zhou, H.; Zhang, Y.K.; Hernandez, V.; Akama, T.; Baker, S.J.; et al. An Antifungal Agent Inhibits an Aminoacyl-TRNA Synthetase by Trapping TRNA in the Editing Site. Science 2007, 316, 1759–1761. [Google Scholar] [CrossRef] [PubMed]
- Madura, I.D.; Adamczyk-Woźniak, A.; Jakubczyk, M.; Sporzyński, A. 5-Fluoro-1,3-dihydro-2,1-benzoxaborol-1-ol. Acta Crystallogr. Sect. E Struct. Rep. Online 2011, 67, o414–o415. [Google Scholar] [CrossRef] [PubMed] [Green Version]
- Gozdalik, J.T.; Adamczyk-Woźniak, A.; Sporzyński, A. Influence of Fluorine Substituents on the Properties of Phenylboronic Compounds. Pure Appl. Chem. 2018, 90, 677–702. [Google Scholar] [CrossRef]
- Adamczyk-Woźniak, A.; Cyrański, M.K.; Żubrowska, A.; Sporzyński, A. Benzoxaboroles—Old Compounds with New Applications. J. Organomet. Chem. 2009, 694, 3533–3541. [Google Scholar] [CrossRef]
- Adamczyk-Woźniak, A.; Borys, K.M.; Sporzyński, A. Recent Developments in the Chemistry and Biological Applications of Benzoxaboroles. Chem. Rev. 2015, 115, 5224–5247. [Google Scholar] [CrossRef]
- Hey-Hawkins, E.; Viñas Teixidor, C. (Eds.) Boron-Based Compounds: Potentials and Emerging Applications in Medicine; John Wiley and Sons: Hoboken, NJ, USA, 2018. [Google Scholar]
- Hall, D.G. (Ed.) Boronic Acids. In Preparation and Applications in Organic Synthesis, 2nd ed.; Medicine and Materials; WILEY-VCH: Weinheim, Germany, 2011; ISBN 9783527606542. [Google Scholar]
- Whiting, E.; Fernández, A. (Eds.) Synthesis and Applications of Organoboron Compounds; Springer International Publishing: Durham, Switzerland, 2013. [Google Scholar]
- James, T.D.; Phillips, M.D.; Shinkai, S. (Eds.) Boronic Acids in Saccharide Recognition; RSC Publishing: Cambridge, UK, 2006. [Google Scholar]
- Adamczyk-Woźniak, A.; Brzózka, Z.; Cyrański, M.K.; Filipowicz-Szymańska, A.; Klimentowska, P.; Żubrowska, A.; Żukowski, K.; Sporzyński, A. Ortho-(aminomethyl)phenylboronic Acids—Synthesis, Structure and Sugar Receptor Activity. Appl. Organomet. Chem. 2008, 22, 427–432. [Google Scholar] [CrossRef]
- Adamczyk-Woźniak, A.; Cyrański, M.K.; Frączak, B.T.; Lewandowska, A.; Madura, I.D.; Sporzyński, A. Imino- and Aminomethylphenylboronic Acids: Stabilizing Effect of Hydrogen Bonds. Tetrahedron 2012, 68, 3761–3767. [Google Scholar] [CrossRef]
- Sun, X.; Chapin, B.M.; Metola, P.; Collins, B.; Wang, B.; James, T.D.; Anslyn, E.V. The Mechanisms of Boronate Ester Formation and Fluorescent Turn-on in Ortho-Aminomethylphenylboronic Acids. Nat. Chem. 2019, 11, 768–778. [Google Scholar] [CrossRef]
- Cyrański, M.K.; Klimentowska, P.; Rydzewska, A.; Serwatowski, J.; Sporzyński, A.; Stępień, D.K. Towards a Monomeric Structure of Phenylboronic Acid: The Influence of Ortho-Alkoxy Substituents on the Crystal Structure. CrystEngComm 2012, 14, 6282–6294. [Google Scholar] [CrossRef]
- Adamczyk-Woźniak, A.; Sporzyński, A. The Influence of Ortho-Substituents on the Properties of Phenylboronic Acids. J. Organomet. Chem. 2020, 913, 121202. [Google Scholar] [CrossRef]
- Kowalska, K.; Adamczyk-Woźniak, A.; Gajowiec, P.; Gierczyk, B.; Kaczorowska, E.; Popenda, Ł.; Schroeder, G.; Sikorski, A.; Sporzyński, A. Fluoro-Substituted 2-Formylphenylboronic Acids: Structures, Properties and Tautomeric Equilibria. J. Fluor. Chem. 2016, 187, 1–8. [Google Scholar] [CrossRef]
- Sen Gupta, S.K.; Arvind, U. Equilibria and Kinetics of Reactions between Carboxylic Acids and the Carbinol Base of Crystal Violet in Apolar Aprotic Solvents: Relative Strengths of m- and o-Substituted Benzoic Acids in Toluene. J. Phys. Org. Chem. 1997, 10, 466–471. [Google Scholar] [CrossRef]
- Adonin, N.; Bardin, V. Polyfluorinated Arylboranes as Catalysts in Organic Synthesis. Mendeleev Commun. 2020, 30, 262–272. [Google Scholar] [CrossRef]
- Purser, S.; Moore, P.R.; Swallow, S.; Gouverneur, V. Fluorine in Medicinal Chemistry. Chem. Soc. Rev. 2008, 37, 320–330. [Google Scholar] [CrossRef] [PubMed]
- Messner, K.; Vuong, B.; Tranmer, G.K. The Boron Advantage: The Evolution and Diversification of Boron’s Applications in Medicinal Chemistry. Pharmaceuticals 2022, 15, 264. [Google Scholar] [CrossRef]
- Das, B.C.; Adil Shareef, M.; Das, S.; Nandwana, N.K.; Das, Y.; Saito, M.; Weiss, L.M. Boron-Containing Heterocycles as Promising Pharmacological Agents. Bioorg. Med. Chem. 2022, 63, 116748. [Google Scholar] [CrossRef]
- Das, B.C.; Nandwana, N.K.; Das, S.; Nandwana, V.; Shareef, M.A.; Das, Y.; Saito, M.; Weiss, L.M.; Almaguel, F.; Hosmane, N.S.; et al. Boron Chemicals in Drug Discovery and Development: Synthesis and Medicinal Perspective. Molecules 2022, 27, 2615. [Google Scholar] [CrossRef]
- Hayes, H.L.D.; Wei, R.; Assante, M.; Geogheghan, K.J.; Jin, N.; Tomasi, S.; Noonan, G.; Leach, A.G.; Lloyd-Jones, G.C. Protodeboronation of (Hetero)Arylboronic Esters: Direct versus Prehydrolytic Pathways and Self-/Auto-Catalysis. J. Am. Chem. Soc. 2021, 143, 14814–14826. [Google Scholar] [CrossRef]
- Siodła, T.; Ozimiński, W.P.; Hoffmann, M.; Koroniak, H.; Krygowski, T.M. Toward a Physical Interpretation of Substituent Effects: The Case of Fluorine and Trifluoromethyl Groups. J. Org. Chem. 2014, 79, 7321–7331. [Google Scholar] [CrossRef]
- Zarzeczańska, D.; Adamczyk-Woźniak, A.; Kulpa, A.; Ossowski, T.; Sporzyński, A. Fluorinated Boronic Acids: Acidity and Hydrolytic Stability of Fluorinated Phenylboronic Acids. Eur. J. Inorg. Chem. 2017, 2017, 4493–4498. [Google Scholar] [CrossRef] [Green Version]
- Adamczyk-Woźniak, A.; Borys, K.M.; Madura, I.D.; Pawełko, A.; Tomecka, E.; Żukowski, K. Lewis Acidity and Sugar Receptor Activity of 3-Amino-Substituted Benzoxaboroles and Their Ortho-Aminomethylphenylboronic Acid Analogues. New J. Chem. 2013, 37, 188–194. [Google Scholar] [CrossRef]
- Adamczyk-Woźniak, A.; Cabaj, P.M.; Dominiak, M.K.; Gajowiec, P.; Gierczyk, B.; Lipok, J.; Popenda, Ł.; Schroeder, G.; Tomecka, E.; Urbański, P.; et al. The Influence of Fluorine Position on the Properties of Fluorobenzoxaboroles. Bioorg. Chem. 2015, 60, 130–135. [Google Scholar] [CrossRef]
- Tomsho, J.W.; Pal, A.; Hall, D.G.; Benkovic, S.J. Ring Structure and Aromatic Substituent Effects on the pKa of the Benzoxaborole Pharmacophore. ACS Med. Chem. Lett. 2012, 3, 48–52. [Google Scholar] [CrossRef] [PubMed] [Green Version]
- Gierczyk, B.; Kaźmierczak, M.; Popenda, Ł.; Sporzyński, A.; Schroeder, G.; Jurga, S. Influence of Fluorine Substituents on the NMR Properties of Phenylboronic Acids. Magn. Reson. Chem. 2014, 52, 202–213. [Google Scholar] [CrossRef] [PubMed]
- Durka, K.; Luliński, S.; Serwatowski, J.; Woźniak, K. Influence of Fluorination and Boronic Group Synergy on the Acidity and Structural Behavior of o-Phenylenediboronic Acids. Organometallics 2014, 33, 1608–1616. [Google Scholar] [CrossRef]
- Hansch, C.; Leo, A.; Taft, W. A Survey of Hammett Substituent Constants and Resonance and Field Parameters. Chem. Rev. 1991, 91, 185–195. [Google Scholar] [CrossRef]
- Gozdalik, J.T.; Marek, P.H.; Madura, I.D.; Gierczyk, B.; Popenda, Ł.; Schroeder, G.; Adamczyk-Woźniak, A.; Sporzyński, A. Structures and Properties of Trifluoromethylphenylboronic Acids. J. Mol. Struct. 2019, 1180, 237–243. [Google Scholar] [CrossRef]
- Yamamoto, Y.; Matsumura, T.; Takao, N.; Yamagishi, H.; Takahashi, M.; Iwatsuki, S.; Ishihara, K. Fast Trigonal/Tetragonal Interconversion Followed by Slow Chelate-Ring Closure in the Complexation of Boronic Acids. Inorganica Chim. Acta 2005, 358, 3355–3361. [Google Scholar] [CrossRef]
- Adamczyk-Woźniak, A.; Gozdalik, J.T.; Wieczorek, D.; Madura, I.D.; Kaczorowska, E.; Brzezińska, E.; Sporzyński, A.; Lipok, J. Synthesis, Properties and Antimicrobial Activity of 5-Trifluoromethyl-2-Formylphenylboronic Acid. Molecules 2020, 25, 799. [Google Scholar] [CrossRef] [Green Version]
- Adamczyk-Woźniak, A.; Tarkowska, M.; Lazar, Z.; Kaczorowska, E.; Madura, I.D.; Dąbrowska, A.M.; Lipok, J.; Wieczorek, D. Synthesis, Structure, Properties and Antimicrobial Activity of Para Trifluoromethyl Phenylboronic Derivatives. Bioorg. Chem. 2022, 119, 105560. [Google Scholar] [CrossRef] [PubMed]
- Adamczyk-Woźniak, A.; Gozdalik, J.T.; Kaczorowska, E.; Durka, K.; Wieczorek, D.; Zarzeczańska, D.; Sporzyński, A. (Trifluoromethoxy)Phenylboronic Acids: Structures, Properties, and Antibacterial Activity. Molecules 2021, 26, 2007. [Google Scholar] [CrossRef] [PubMed]
- Gutmann, V. Empirical Parameters for Donor and Acceptor Properties of Solvents. Electrochim. Acta 1976, 21, 661–670. [Google Scholar] [CrossRef]
- Mayer, U.; Gutmann, V.; Gerger, W. The Acceptor Number—A Quantitative Empirical Parameter for the Electrophilic Properties of Solvents. Monatshefte für Chemie/Chem. Mon. 1975, 106, 1235–1257. [Google Scholar] [CrossRef]
- Jakubczyk, M.; Adamczyk-Woźniak, A.; Sporzyński, A. Acceptor Number of Organoboron Molecules—Quantitative Determination of Lewis Acidity. In Molecular Receptors; Rybachenko, V.I., Ed.; East Publisher House: Donetsk, Ukraine, 2011; pp. 53–68. [Google Scholar]
- Sivaev, I.B.; Bregadze, V.I. Lewis Acidity of Boron Compounds. Coord. Chem. Rev. 2014, 270, 75–88. [Google Scholar] [CrossRef]
- Beckett, M.A.; Strickland, G.C.; Holland, J.R.; Sukumar Varma, K. A Convenient n.m.r. Method for the Measurement of Lewis Acidity at Boron Centres: Correlation of Reaction Rates of Lewis Acid Initiated Epoxide Polymerizations with Lewis Acidity. Polymer 1996, 37, 4629–4631. [Google Scholar] [CrossRef]
- Adamczyk-Woźniak, A.; Jakubczyk, M.; Sporzyński, A.; Żukowska, G. Quantitative Determination of the Lewis Acidity of Phenylboronic Catechol Esters—Promising Anion Receptors for Polymer Electrolytes. Inorg. Chem. Commun. 2011, 14, 1753–1755. [Google Scholar] [CrossRef]
- Adamczyk-Woźniak, A.; Jakubczyk, M.; Jankowski, P.; Sporzyński, A.; Urbański, P.M. Influence of the Diol Structure on the Lewis Acidity of Phenylboronates. J. Phys. Org. Chem. 2013, 26, 415–419. [Google Scholar] [CrossRef]
- Kumar, A.; Blakemore, J.D. On the Use of Aqueous Metal-Aqua pKa Values as a Descriptor of Lewis Acidity. Inorg. Chem. 2021, 60, 1107–1115. [Google Scholar] [CrossRef]
- Żukowska, G.; Szczechura, M.; Marcinek, M.; Żubrowska, A.; Adamczyk-Woźniak, A.; Sporzyński, A.; Wieczorek, W. Investigation on the Anion Complexation Ability of Organoboron Additives in Lithium-Ion Battery Electrolytes—Spectroscopic Approach. ECS Trans. 2019, 16, 105–114. [Google Scholar] [CrossRef]
- Kryczka, J.; Drzewiecki, S.; Szczypińska, J.; Żukowska, Z.; Adamczyk Woźniak, A.; Syzdek, J.S.; Marcinek, M.; Sporzyński, A.; Wieczorek, W. Studies on Complexing Properties of 2,4,6-Trifluorophenylboronic Acid Pinacol Ester in PEODME Based Polymer Electrolyte. ECS Trans. 2019, 25, 61–71. [Google Scholar] [CrossRef]
- Madura, I.D.; Czerwińska, K.; Jakubczyk, M.; Pawełko, A.; Adamczyk-Woźniak, A.; Sporzyński, A. Weak C-H⋯O and Dipole-Dipole Interactions as Driving Forces in Crystals of Fluorosubstituted Phenylboronic Catechol Esters. Cryst. Growth Des. 2013, 13, 5344–5352. [Google Scholar] [CrossRef]
- Georgiou, I.; Kervyn, S.; Rossignon, A.; De Leo, F.; Wouters, J.; Bruylants, G.; Bonifazi, D. Versatile Self-Adapting Boronic Acids for H-Bond Recognition: From Discrete to Polymeric Supramolecules. J. Am. Chem. Soc. 2017, 139, 2710–2727. [Google Scholar] [CrossRef] [PubMed] [Green Version]
- Dąbrowska, A.M.; Adamczyk-Woźniak, A.; Madura, I.D. Effect of Substituents in Novel Bioactive Tavaborole Derivatives on Intermolecular Interactions Hierarchy. CrystEngComm 2022, 24, 3586. [Google Scholar] [CrossRef]
- Axthelm, J.; Görls, H.; Schubert, U.S.; Schiller, A. Fluorinated Boronic Acid-Appended Bipyridinium Salts for Diol Recognition and Discrimination via 19F NMR Barcodes. J. Am. Chem. Soc. 2015, 137, 15402–15405. [Google Scholar] [CrossRef]
- Axthelm, J.; Askes, S.H.; Elstner, M.; Goörls, H.; Bellstedt, P.; Schiller, A. Fluorinated Boronic Acid-Appended Pyridinium Salts and 19F NMR Spectroscopy for Diol Sensing. J. Am. Chem. Soc. 2017, 139, 11413–11420. [Google Scholar] [CrossRef]
- Iannazzo, L.; Benedetti, E.; Catala, M.; Etheve-Quelquejeu, M.; Tisné, C.; Micouin, L. Monitoring of Reversible Boronic Acid–Diol Interactions by Fluorine NMR Spectroscopy in Aqueous Media. Org. Biomol. Chem. 2015, 13, 8817–8821. [Google Scholar] [CrossRef] [Green Version]
- Groleau, R.R.; Chapman, R.S.L.; Ley-Smith, H.; Liu, L.; James, T.D.; Bull, S.D. A Three-Component Derivatization Protocol for Determining the Enantiopurity of Sulfinamides by 1H and 19F NMR Spectroscopy. J. Org. Chem. 2019, 85, 1208–1215. [Google Scholar] [CrossRef] [Green Version]
- Larcher, A.; Lebrun, A.; Smietana, M.; Laurencin, D. A Multinuclear NMR Perspective on the Complexation between Bisboronic Acids and Bisbenzoxaboroles with: Cis-Diols. New J. Chem. 2018, 42, 12–16. [Google Scholar] [CrossRef]
- Mfuh, A.M.; Doyle, J.D.; Chhetri, B.; Arman, H.D.; Larionov, O.V. Scalable, Metal- and Additive-Free, Photoinduced Borylation of Haloarenes and Quaternary Arylammonium Salts. J. Am. Chem. Soc. 2016, 138, 2985–2988. [Google Scholar] [CrossRef] [Green Version]
- Leermann, T.; Leroux, F.R.; Colobert, F. Highly Efficient One-Pot Access to Functionalized Arylboronic Acids via Noncryogenic Bromine/Magnesium Exchanges. Org. Lett. 2011, 13, 4479–4481. [Google Scholar] [CrossRef]
- Borys, K.M.; Matuszewska, A.; Wieczorek, D.; Kopczyńska, K.; Lipok, J.; Madura, I.D.; Adamczyk-Woźniak, A. Synthesis and Structural Elucidation of Novel Antifungal N-(Fluorophenyl)Piperazinyl Benzoxaboroles and Their Analogues. J. Mol. Struct. 2019, 1181, 587–598. [Google Scholar] [CrossRef]
- Adamczyk-Woźniak, A.; Borys, K.M.; Madura, I.D.; Michałek, S.; Pawełko, A. Straightforward Synthesis and Crystal Structures of the 3-Piperazine-Bisbenzoxaboroles and Their Boronic Acid Analogs. Tetrahedron 2013, 69, 8936–8942. [Google Scholar] [CrossRef]
- Borys, K.M.; Wieczorek, D.; Tarkowska, M.; Jankowska, A.; Lipok, J.; Adamczyk-Woźniak, A. Mechanochemical Synthesis of Antifungal Bis(Benzoxaboroles). RSC Adv. 2020, 10, 37187–37193. [Google Scholar] [CrossRef] [PubMed]
- Ding, S.-Y.; Wang, W. Covalent Organic Frameworks (COFs): From Design to Applications. Chem. Soc. Rev. 2013, 42, 548–568. [Google Scholar] [CrossRef] [PubMed]
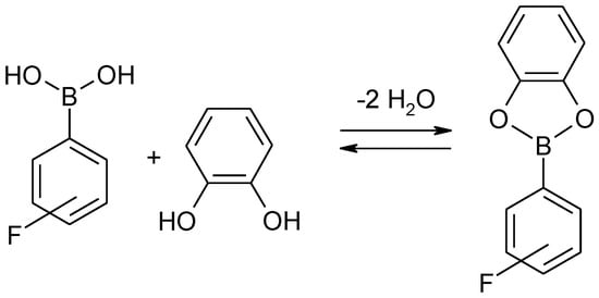
- Adamczyk-Woźniak, A.; Kaczorowska, E.; Kredátusova, J.; Madura, I.; Marek, P.H.; Matuszewska, A.; Sporzyński, A.; Uchman, M. Dehydration of Ortho-, Meta- and Para-Alkoxy Phenylboronic Acids to Their Corresponding Boroxines. Eur. J. Inorg. Chem. 2018, 2018, 1492–1498. [Google Scholar] [CrossRef]
- Tokunaga, Y.; Ueno, H.; Shimomura, Y.; Seo, T. Formation of Boroxine: Its Stability and Thermodynamic Parameters in Solution. Heterocycles 2002, 57, 787–790. [Google Scholar] [CrossRef]
- Bartholomeyzik, T.; Pendrill, R.; Lihammar, R.; Jiang, T.; Widmalm, G.; Bäckvall, J.-E. Kinetics and Mechanism of the Palladium-Catalyzed Oxidative Arylating Carbocyclization of Allenynes. J. Am. Chem. Soc. 2018, 140, 298–309. [Google Scholar] [CrossRef] [Green Version]
- Leszczyński, P.; Hofman, T.; Kaczorowska, E.; Adamczyk-Woźniak, A.; Sporzyński, A. Equilibria in the 3-(Trifluoromethyl)Phenylboronic Acid—Boroxine System. Solubility of the Acid and Its Cyclic Esters in Organic Solvents. J. Organomet. Chem. 2021, 949, 121947. [Google Scholar] [CrossRef]
- Leszczyński, P.; Hofman, T.; Sporzyński, A. Solubility of Phenylboronic Acid and Its Cyclic Esters in Organic Solvents. J. Solut. Chem. 2020, 49, 814–824. [Google Scholar] [CrossRef]
- Leszczyński, P.; Lewandowska, A.; Hofman, T.; Adamczyk-Woźniak, A.; Sporzyński, A. Equilibrium Solubility Determination and Correlation of Isobutoxyphenylboronic Acids in Organic Solvents. J. Chem. Eng. Data 2020, 65, 4605–4612. [Google Scholar] [CrossRef]
- Luliński, S.; Madura, I.; Serwatowski, J.; Szatyłowicz, H.; Zachara, J.; Lulinski, S.; Madura, I.; Serwatowski, J.; Szatylowicz, H.; Zachara, J. A Tautomeric Equilibrium between Functionalized 2-Formylphenylboronic Acids and Corresponding 1,3-Dihydro-1,3-dihydroxybenzo[c][2,1]oxaboroles. New J. Chem. 2007, 31, 144–154. [Google Scholar] [CrossRef]
- Borys, K.M.; Wieczorek, D.; Pecura, K.; Lipok, J.; Adamczyk-Woźniak, A. Antifungal Activity and Tautomeric Cyclization Equilibria of Formylphenylboronic Acids. Bioorg. Chem. 2019, 91, 103081. [Google Scholar] [CrossRef] [PubMed]
- Gierczyk, B.; Kaźmierczak, M.; Schroeder, G.; Sporzyński, A. 17O NMR Studies of Boronic Acids and Their Derivatives. New J. Chem. 2013, 37, 1056–1072. [Google Scholar] [CrossRef]
- Zhao, H.; Palencia, A.; Seiradake, E.; Ghaemi, Z.; Cusack, S.; Luthey-Schulten, Z.; Martinis, S. Analysis of the Resistance Mechanism of a Benzoxaborole Inhibitor Reveals Insight into the Leucyl-TRNA Synthetase Editing Mechanism. ACS Chem. Biol. 2015, 10, 2277–2285. [Google Scholar] [CrossRef]
- Kaczorowska, E.; Adamczyk-Woźniak, A.; Żukowska, G.Z.; Kostecka, P.; Sporzyński, A. Vibrational Properties of Benzoxaboroles and Their Interactions with Candida Albicans’ LeuRS. Symmetry 2021, 13, 1845. [Google Scholar] [CrossRef]
- Wieczorek, D.; Kaczorowska, E.; Wiśniewska, M.; Madura, I.D.; Leśniak, M.; Lipok, J.; Adamczyk-Woźniak, A. Synthesis and Influence of 3-Amino Benzoxaboroles Structure on Their Activity against Candida Albicans. Molecules 2020, 25, 5999. [Google Scholar] [CrossRef]
- Adamczyk-Woźniak, A.; Komarovska-Porokhnyavets, O.; Misterkiewicz, B.; Novikov, V.P.; Sporzyński, A. Biological Activity of Selected Boronic Acids and Their Derivatives. Appl. Organomet. Chem. 2012, 26, 390–393. [Google Scholar] [CrossRef]
- Wieczorek, D.; Lipok, J.; Borys, K.M.; Adamczyk-Woźniak, A.; Sporzyński, A. Investigation of Fungicidal Activity of 3-Piperazine-bis(benzoxaborole) and Its Boronic Acid Analogue. Appl. Organomet. Chem. 2014, 28, 347–350. [Google Scholar] [CrossRef]
- Niemczyk, E.; Pogrzeba, J.; Adamczyk-Woźniak, A.; Lipok, J. Boronic Acids of Pharmaceutical Importance Affect the Growth and Photosynthetic Apparatus of Cyanobacteria in a Dose-Dependent Manner. Toxins 2020, 12, 793. [Google Scholar] [CrossRef]
- Psurski, M.; Łupicka-Słowik, A.; Adamczyk-Woźniak, A.; Wietrzyk, J.; Sporzyński, A. Discovering Simple Phenylboronic Acid and Benzoxaborole Derivatives for Experimental Oncology—Phase Cycle-Specific Inducers of Apoptosis in A2780 Ovarian Cancer Cells. Investig. New Drugs 2019, 37, 35–46. [Google Scholar] [CrossRef] [PubMed] [Green Version]
- Silva, M.P.; Saraiva, L.; Pinto, M.; Sousa, M.E. Boronic Acids and Their Derivatives in Medicinal Chemistry: Synthesis and Biological Applications. Molecules 2020, 25, 4323. [Google Scholar] [CrossRef] [PubMed]














| Substituent | σmeta | σpara |
|---|---|---|
| F | 0.34 | 0.06 |
| CF3 | 0.43 | 0.54 |
| OCF3 | 0.38 | 0.35 |
| X | ortho | meta | para | Reference |
|---|---|---|---|---|
| F | 7.89 a | 8.09 | 8.77 | [36] |
| 7.85b | 8.15 | 8.71 | ||
| CF3 | 9.45 | 7.88 | 7.82 | [43] |
| 9.58 | 7.85 | 7.90 | ||
| - | 7.87 | 7.39 | [44] | |
| 2-CHO, 5-CF3 | 5.67 | [45] | ||
| 2-CHO, 4-CF3 | 5.75 | [46] | ||
| OCF3 | 9.51 | 7.79 | 8.11 | [47] |
| 9.49 | 7.96 | 8.03 | ||
| Compound | Position | Reference | ||||
|---|---|---|---|---|---|---|
| 4 | 5 | 6 | 7 | |||
![]() | X = F | 6.36 | 6.97 | 6.57 | 7.42 | [38] |
| 6.45 | - | 6.63 | - | [39] | ||
| X = CF3 | - | 6.28 | - | - | [46] | |
![]() | 5.54 | [46] | ||||
| Compound | Chemical Shift/ppm | Solvent | Reference |
|---|---|---|---|
![]() | −59.37 | CDCl3 | [43] |
![]() | −62.92 | CDCl3 | [43] |
![]() | −63.39 | CDCl3 | [43] |
| −61.1 | CD3OD | [66] | |
| −61.8 | DMSO−d6 | [67] | |
![]() | −63.44 | CDCl3 | [45] |
| −63.29 | C6D6 | [45] | |
| −62.94 to −61.98 a | acetone-d6 | [45] | |
| −61.67 to −60.73 a | DMSO−d6 | [45] | |
![]() | −68.11 | CDCl3 | [46] |
![]() | −63 | acetone-d6 | [46] |
![]() | −56.93 | acetone-d6 | [47] |
![]() | −57.64 | acetone-d6 | [47] |
![]() | −57.59 | acetone-d6 | [47] |
![]() | −124.1 | acetone-d6/D2O | [68] |
![]() | −124.92 | acetone-d6 | [68] |
![]() | −122.49 | acetone-d6 | [68] |
![]() | −121.37 | acetone-d6 | [68] |
![]() | −116.56 | CD3OD | [69] |
![]() | −118.96 | DMSO−d6 | [70] |
![]() | −109.44 b | CD3OD | [69] |
| −109.55 b | |||
![]() | −115.02 | DMSO−d6 | [70] |
![]() | −60.97 b | acetone-d6 | [46] |
| −61.02 b |
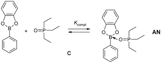
| Compound | Solvent | Kcycl | Method | Temperature/K | Ref. |
|---|---|---|---|---|---|
![]() | acetone-d6 | 0.94 | 1H NMR | 303 | [78] |
| acetone-d6 | 0.69 | 1H NMR | 298 | [27] | |
| DMSO-d6 | 1.45 | 1H NMR | 298 | [78] | |
| DMSO-d6 | 1.46 | 19F NMR | 298 | [79] | |
| DMSO-d6/D2O | 1.35 | 19F NMR | 298 | [79] | |
| D2O | 0.17 | 1H NMR | 303 | [78] | |
![]() | acetone-d6 | 0.14 | 1H NMR | 303 | [78] |
| DMSO-d6 | 0.47 | 19F NMR | 298 | [79] | |
| DMSO-d6/D2O | 0.49 | 19F NMR | 298 | [79] | |
![]() | acetone-d6 | 0.05 | 1H NMR | 298 | [27] |
| DMSO-d6 | 0.07 | 19F NMR | 298 | [79] | |
![]() | acetone-d6 | 0.08 | 1H NMR | 298 | [27] |
| DMSO-d6 | 0.04 | 19F NMR | 298 | [79] | |
![]() | DMSO-d6 | 0.59 | 1H, 19F NMR | 298 | [45] |
| acetone-d6 | 0.24 | 1H, 19F NMR | 298 | [45] | |
| D2O | 0.26 | 1H, 19F NMR | 298 | [45] | |
![]() | DMSO-d6 | 0.25 | 19F NMR | 298 | [46] |
| Fungus | Substituent/MIC (µg/mL) | |||
|---|---|---|---|---|
| 3-F | 4-F | 5-F | 6-F | |
| A. niger | 31.3 | 2 | 62.5 | <125 |
| A. terreus | 31.3 | <1 | 31.3 | <125 |
| F. solani | 15.6 | 15.6 | 31.3 | <125 |
| P. ochrochloron | 31.3 | 7.8 | 31.3 | 125 |
| C. albicans | 62.5 | 62.5 | 62.5 | 125 |
| C. tenuis | 62.5 | 125 | 62.5 | 62.5 |
Publisher’s Note: MDPI stays neutral with regard to jurisdictional claims in published maps and institutional affiliations. |
© 2022 by the authors. Licensee MDPI, Basel, Switzerland. This article is an open access article distributed under the terms and conditions of the Creative Commons Attribution (CC BY) license (https://creativecommons.org/licenses/by/4.0/).
Share and Cite
Adamczyk-Woźniak, A.; Sporzyński, A. Merging Electron Deficient Boronic Centers with Electron-Withdrawing Fluorine Substituents Results in Unique Properties of Fluorinated Phenylboronic Compounds. Molecules 2022, 27, 3427. https://doi.org/10.3390/molecules27113427
Adamczyk-Woźniak A, Sporzyński A. Merging Electron Deficient Boronic Centers with Electron-Withdrawing Fluorine Substituents Results in Unique Properties of Fluorinated Phenylboronic Compounds. Molecules. 2022; 27(11):3427. https://doi.org/10.3390/molecules27113427
Chicago/Turabian StyleAdamczyk-Woźniak, Agnieszka, and Andrzej Sporzyński. 2022. "Merging Electron Deficient Boronic Centers with Electron-Withdrawing Fluorine Substituents Results in Unique Properties of Fluorinated Phenylboronic Compounds" Molecules 27, no. 11: 3427. https://doi.org/10.3390/molecules27113427
APA StyleAdamczyk-Woźniak, A., & Sporzyński, A. (2022). Merging Electron Deficient Boronic Centers with Electron-Withdrawing Fluorine Substituents Results in Unique Properties of Fluorinated Phenylboronic Compounds. Molecules, 27(11), 3427. https://doi.org/10.3390/molecules27113427



























