Synthesis and Biochemical Evaluation of 8H-Indeno[1,2-d]thiazole Derivatives as Novel SARS-CoV-2 3CL Protease Inhibitors
Abstract
:1. Introduction
2. Results and Discussion
2.1. Design and Synthesis of 8H-Indeno[1,2-d]thiazole Derivatives
2.2. SARS-CoV-2 3CLpro Inhibitory Activities and Structure-Activity Relationships
2.3. Predicting Binding Mode of 7a with 3CLpro
3. Materials and Methods
3.1. Chemistry
3.1.1. General Procedure for the Synthesis of Compounds 7a–7k (Exemplified by 7a)
3.1.2. Procedure for the Synthesis of Compound 7l
3.1.3. General Procedure of Synthesis of 10a–10b (Exemplified by 10a)
3.2. Molecule Docking
3.3. Enzymatic Activity and Inhibition Assays
4. Conclusions
Supplementary Materials
Author Contributions
Funding
Institutional Review Board Statement
Informed Consent Statement
Data Availability Statement
Acknowledgments
Conflicts of Interest
Sample Availability
References
- Zhu, N.; Zhang, D.; Wang, W.; Li, X.; Yang, B.; Song, J.; Zhao, X.; Huang, B.; Shi, W.; Lu, R.; et al. A Novel Coronavirus from Patients with Pneumonia in China, 2019. N. Engl. J. Med. 2020, 382, 727–733. [Google Scholar] [CrossRef] [PubMed]
- Zhou, P.; Yang, X.L.; Wang, X.G.; Hu, B.; Zhang, L.; Zhang, W.; Si, H.R.; Zhu, Y.; Li, B.; Huang, C.L.; et al. A pneumonia outbreak associated with a new coronavirus of probable bat origin. Nature 2020, 579, 270–273. [Google Scholar] [CrossRef] [PubMed] [Green Version]
- Wang, C.; Horby, P.W.; Hayden, F.G.; Gao, G.F. A novel coronavirus outbreak of global health concern. Lancet 2020, 395, 470–473. [Google Scholar] [CrossRef] [Green Version]
- Wu, F.; Zhao, S.; Yu, B.; Chen, Y.M.; Wang, W.; Song, Z.G.; Hu, Y.; Tao, Z.W.; Tian, J.H.; Pei, Y.Y.; et al. A new coronavirus associated with human respiratory disease in China. Nature 2020, 579, 1–8. [Google Scholar] [CrossRef] [PubMed] [Green Version]
- Coronaviridae Study Group of the International Committee on Taxonomy of V. The species Severe acute respiratory syndrome-related coronavirus: Classifying 2019-nCoV and naming it SARS-CoV-2. Nat. Microbiol. 2020, 5, 536–544. [Google Scholar] [CrossRef] [PubMed] [Green Version]
- WHO. COVID-19 Dashboard with Vaccination Data. Available online: https://covid19.who.int/ (accessed on 28 February 2022).
- Abu-Raddad, L.J.; Chemaitelly, H.; Ayoub, H.H.; Tang, P.; Coyle, P.; Hasan, M.R.; Yassine, H.M.; Benslimane, F.M.; Al-Khatib, H.A.; Al-Kanaani, Z.; et al. Relative infectiousness of SARS-CoV-2 vaccine breakthrough infections, reinfections, and primary infections. Nat. Commun. 2022, 13, 532. [Google Scholar] [CrossRef]
- CDC COVID-19 Vaccine Breakthrough Case Investigations Team. COVID-19 Vaccine Breakthrough Infections Reported to CDC—United States, January 1–April 30, 2021. MMWR Morb. Mortal. Wkly. Rep. 2021, 70, 792–793. [Google Scholar] [CrossRef]
- Chen, J.; Wang, R.; Gilby, N.B.; Wei, G.W. Omicron Variant (B.1.1.529): Infectivity, Vaccine Breakthrough, and Antibody Resistance. J. Chem. Inf. Model 2022, 62, 412–422. [Google Scholar] [CrossRef]
- Zhang, L.; Li, Q.; Liang, Z.; Li, T.; Liu, S.; Cui, Q.; Nie, J.; Wu, Q.; Qu, X.; Huang, W.; et al. The significant immune escape of pseudotyped SARS-CoV-2 variant Omicron. Emerg. Microbes. Infect. 2022, 11, 1–5. [Google Scholar] [CrossRef]
- Hoffmann, M.; Kleine-Weber, H.; Schroeder, S.; Kruger, N.; Herrler, T.; Erichsen, S.; Schiergens, T.S.; Herrler, G.; Wu, N.H.; Nitsche, A.; et al. SARS-CoV-2 Cell Entry Depends on ACE2 and TMPRSS2 and Is Blocked by a Clinically Proven Protease Inhibitor. Cell 2020, 181, 271–280. [Google Scholar] [CrossRef]
- Mody, V.; Ho, J.; Wills, S.; Mawri, A.; Lawson, L.; Ebert, M.; Fortin, G.M.; Rayalam, S.; Taval, S. Identification of 3-chymotrypsin like protease (3CLPro) inhibitors as potential anti-SARS-CoV-2 agents. Commun. Biol. 2021, 4, 93. [Google Scholar] [CrossRef] [PubMed]
- V’Kovski, P.; Kratzel, A.; Steiner, S.; Stalder, H.; Thiel, V. Coronavirus biology and replication: Implications for SARS-CoV-2. Nat. Rev. Microbiol. 2021, 19, 155–170. [Google Scholar] [CrossRef] [PubMed]
- Pillaiyar, T.; Meenakshisundaram, S.; Manickam, M. Recent discovery and development of inhibitors targeting coronaviruses. Drug Discov. Today 2020, 25, 668–688. [Google Scholar] [CrossRef]
- Wen, W.; Chen, C.; Tang, J.; Wang, C.; Zhou, M.; Cheng, Y.; Zhou, X.; Wu, Q.; Zhang, X.; Feng, Z.; et al. Efficacy and safety of three new oral antiviral treatment (molnupiravir, fluvoxamine and Paxlovid) for COVID-19a meta-analysis. Ann. Med. 2022, 54, 516–523. [Google Scholar] [CrossRef] [PubMed]
- Chia, C.S.B. Novel Nitrile Peptidomimetics for Treating COVID-19. ACS Med. Chem. Lett. 2022, 13, 330–331. [Google Scholar] [CrossRef]
- Konno, S.; Kobayashi, K.; Senda, M.; Funai, Y.; Seki, Y.; Tamai, I.; Schäkel, L.; Sakata, K.; Pillaiyar, T.; Taguchi, A.; et al. 3CL Protease Inhibitors with an Electrophilic Arylketone Moiety as Anti-SARS-CoV-2 Agents. J. Med. Chem. 2022, 65, 2926–2939. [Google Scholar] [CrossRef]
- Zhang, L.L.; Lin, D.Z.; Sun, X.Y.Y.; Curth, U.; Drosten, C.; Sauerhering, L.; Becker, S.; Rox, K.; Hilgenfeld, R. Crystal structure of SARS-CoV-2 main protease provides a basis for design of improved α-ketoamide inhibitors. Science 2020, 368, 409–412. [Google Scholar] [CrossRef] [Green Version]
- Dampalla, C.S.; Kim, Y.; Bickmeier, N.; Rathnayake, A.D.; Nguyen, H.N.; Zheng, J.; Kashipathy, M.M.; Baird, M.A.; Battaile, K.P.; Lovell, S. Structure-Guided Design of Conformationally Constrained Cyclohexane Inhibitors of Severe Acute Respiratory Syndrome Coronavirus-2 3CL Protease. J. Med. Chem. 2021, 64, 10047–10058. [Google Scholar] [CrossRef]
- Jin, Z.; Du, X.; Xu, Y.; Deng, Y.; Liu, M.; Zhao, Y.; Zhang, B.; Li, X.; Zhang, L.; Peng, C.; et al. Structure of M(pro) from SARS-CoV-2 and discovery of its inhibitors. Nature 2020, 582, 289–293. [Google Scholar] [CrossRef] [Green Version]
- Xiong, M.; Nie, T.; Shao, Q.; Li, M.; Su, H.; Xu, Y. In silico screening-based discovery of novel covalent inhibitors of the SARS-CoV-2 3CL protease. Eur. J. Med. Chem. 2022, 231, 114130. [Google Scholar] [CrossRef]
- Han, S.H.; Goins, C.M.; Arya, T.; Shin, W.J.; Maw, J.; Hooper, A.; Sonawane, D.P.; Porter, M.R.; Bannister, B.E.; Crouch, R.D. Structure-Based Optimization of ML300-Derived, Noncovalent Inhibitors Targeting the Severe Acute Respiratory Syndrome Coronavirus 3CL Protease (SARS-CoV-2 3CLpro). J. Med. Chem. 2022, 65, 2880–2904. [Google Scholar] [CrossRef] [PubMed]
- Su, H.X.; Yao, S.; Zhao, W.F.; Li, M.J.; Liu, J.; Shang, W.J.; Xie, H.; Ke, C.Q.; Hu, H.C.; Gao, M.N.; et al. Anti-SARS-CoV-2 activities in vitro of Shuanghuanglian preparations and bioactive ingredients. Acta Pharmacol. Sin. 2020, 41, 1167–1177. [Google Scholar] [CrossRef] [PubMed]
- Wu, Q.; Yan, S.; Wang, Y.; Li, M.; Xiao, Y.; Li, Y. Discovery of 4′-O-methylscutellarein as a potent SARS-CoV-2 main protease inhibitor. Biochem. Biophys. Res. Commun. 2022, 604, 76–82. [Google Scholar] [CrossRef] [PubMed]
- Goblyos, A.; Santiago, S.N.; Pietra, D.; Mulder-Krieger, T.; von Frijtag Drabbe Kunzel, J.; Brussee, J.; Ijzerman, A.P. Synthesis and biological evaluation of 2-aminothiazoles and their amide derivatives on human adenosine receptors. Lack of effect of 2-aminothiazoles as allosteric enhancers. Bioorg. Med. Chem. 2005, 13, 2079–2087. [Google Scholar] [CrossRef]
- Kocyigit, U.M.; Aslan, O.N.; Gulcin, I.; Temel, Y.; Ceylan, M. Synthesis and Carbonic Anhydrase Inhibition of Novel 2-(4-(Aryl)thiazole-2-yl)-3a,4,7,7a-tetrahydro-1H-4,7-methanoisoindole-1,3(2H)-di one Derivatives. Arch. Pharm. 2016, 349, 955–963. [Google Scholar] [CrossRef]
- Chordia, M.D.; Murphree, L.J.; Macdonald, T.L.; Linden, J.; Olsson, R.A. 2-Aminothiazoles: A new class of agonist allosteric enhancers of A1 adenosine receptor. Bioorg. Med. Chem. Lett. 2002, 12, 1563–1566. [Google Scholar] [CrossRef]
- Chordia, M.D.; Zigler, M.; Murphree, L.J.; Figler, H.; Macdonald, T.L.; Olsson, R.A.; Linden, J. 6-Aryl-8H-indeno[1,2-d]thiazol-2-ylamines: A1 Adenosine Receptor Agonist Allosteric Enhancers Having Improved Potency. J. Med. Chem. 2005, 48, 5131–5139. [Google Scholar] [CrossRef]
- Catlin, N.R.; Bowman, C.J.; Campion, S.N.; Cheung, J.R.; Nowland, W.S.; Sathish, J.G.; Stethem, C.M.; Updyke, L.; Cappon, G.D. Reproductive and developmental safety of nirmatrelvir (PF-07321332), an oral SARS-CoV-2 M(pro) inhibitor in animal models. Reprod Toxicol. 2022, 108, 56–61. [Google Scholar] [CrossRef]
- Macchiagodena, M.; Pagliai, M.; Procacci, P. Characterization of the non-covalent interaction between the PF-07321332 inhibitor and the SARS-CoV-2 main protease. J. Mol. Graph. Model. 2022, 110, 108042. [Google Scholar] [CrossRef]
- Zhao, Y.; Fang, C.; Zhang, Q.; Zhang, R.; Zhao, X.; Duan, Y.; Wang, H.; Zhu, Y.; Feng, L.; Zhao, J.; et al. Crystal structure of SARS-CoV-2 main protease in complex with protease inhibitor PF-07321332. Protein Cell. 2021, 1–5. [Google Scholar] [CrossRef]
- Meng, X.D.; Gao, L.X.; Wang, Z.J.; Feng, B.; Zhang, C.; Satheeshkumar, R.; Li, J.; Zhu, Y.L.; Zhou, Y.B.; Wang, W.L. Synthesis and biological evaluation of 2,5-diaryl-1,3,4-oxadiazole derivatives as novel Src homology 2 domain-containing protein tyrosine phosphatase 2 (SHP2) inhibitors. Bioorg. Chem. 2021, 116, 105384. [Google Scholar] [CrossRef] [PubMed]
- Morris, G.M.; Huey, R.; Lindstrom, W.; Sanner, M.F.; Belew, R.K.; Goodsell, D.S.; Olson, A.J. AutoDock4 and AutoDockTools4: Automated docking with selective receptor flexibility. J. Comput. Chem. 2009, 30, 2785–2791. [Google Scholar] [CrossRef] [PubMed] [Green Version]
- Peralta, J.; Ogliaro, F.; Bearpark, M.; Heyd, J.; Brothers, E.; Kudin, K.; Staroverov, V.; Kobayashi, R.; Normand, J.; Raghavachari, K. Gaussian 09, Revision, D. 01; Gaussian, Inc.: Wallingford, CT, USA, 2013. [Google Scholar]
- Yang, H.; Xie, W.; Xue, X.; Yang, K.; Ma, J.; Liang, W.; Zhao, Q.; Zhou, Z.; Pei, D.; Ziebuhr, J.; et al. Design of wide-spectrum inhibitors targeting coronavirus main proteases. PLoS Biol. 2005, 3, e324. [Google Scholar] [CrossRef]
- Dai, W.H.; Zhang, B.; Jiang, X.M.; Su, H.X.; Li, J.; Zhao, Y.; Xie, X.; Jin, Z.M.; Peng, J.J.; Liu, F.J. Structure-based design of antiviral drug candidates targeting the SARS-CoV-2 main protease. Science 2020, 368, eabb4489. [Google Scholar] [CrossRef] [Green Version]





![]() | |||||
|---|---|---|---|---|---|
| Compd. | R1 | R3 | n | SARS-CoV-2 3CLpro | |
| Inhibition (%) at 20 μM | IC50 (μM) | ||||
| 7a | methoxy | ![]() | 1 | 89.5 ± 2.0 | 1.28 ± 0.17 |
| 7b | butoxy | ![]() | 1 | 0.5 ± 4.9 | >20 |
| 7c | isobutoxy | ![]() | 1 | −3.1 ± 1.7 | >20 |
| 7d | methyl | ![]() | 1 | 21.7 ± 2.2 | >20 |
| 7e | chloro | ![]() | 1 | 27.2 ± 5.3 | >20 |
| 7f | methoxy | ![]() | 1 | 5.0 ± 5.6 | >20 |
| 7g | methoxy | ![]() | 1 | 32.6 ± 6.8 | >20 |
| 7h | methoxy | ![]() | 1 | 72.5 ± 6.1 | 2.86 ± 0.11 |
| 7i | methoxy | ![]() | 1 | 20.3 ± 4.7 | >20 |
| 7j | methoxy | ![]() | 1 | 31.9 ± 18.2 | >20 |
| 7k | methoxy | ![]() | 1 | 1.5 ± 4.5 | >20 |
| 7l | methoxy | ![]() | 2 | −13.1 ± 1.7 | >20 |
| 10a | - | ![]() | - | 1.9 ± 2.1 | >20 |
| 10b | - | ![]() | - | 1.8 ± 3.5 | >20 |
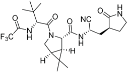
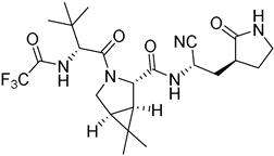
| PF-07321332 (nirmatrelvir) | ![]() | 99.5 ± 0.1 | 0.012 ± 0.001 | ||
Publisher’s Note: MDPI stays neutral with regard to jurisdictional claims in published maps and institutional affiliations. |
© 2022 by the authors. Licensee MDPI, Basel, Switzerland. This article is an open access article distributed under the terms and conditions of the Creative Commons Attribution (CC BY) license (https://creativecommons.org/licenses/by/4.0/).
Share and Cite
Wu, J.; Feng, B.; Gao, L.-X.; Zhang, C.; Li, J.; Xiang, D.-J.; Zang, Y.; Wang, W.-L. Synthesis and Biochemical Evaluation of 8H-Indeno[1,2-d]thiazole Derivatives as Novel SARS-CoV-2 3CL Protease Inhibitors. Molecules 2022, 27, 3359. https://doi.org/10.3390/molecules27103359
Wu J, Feng B, Gao L-X, Zhang C, Li J, Xiang D-J, Zang Y, Wang W-L. Synthesis and Biochemical Evaluation of 8H-Indeno[1,2-d]thiazole Derivatives as Novel SARS-CoV-2 3CL Protease Inhibitors. Molecules. 2022; 27(10):3359. https://doi.org/10.3390/molecules27103359
Chicago/Turabian StyleWu, Jing, Bo Feng, Li-Xin Gao, Chun Zhang, Jia Li, Da-Jun Xiang, Yi Zang, and Wen-Long Wang. 2022. "Synthesis and Biochemical Evaluation of 8H-Indeno[1,2-d]thiazole Derivatives as Novel SARS-CoV-2 3CL Protease Inhibitors" Molecules 27, no. 10: 3359. https://doi.org/10.3390/molecules27103359
APA StyleWu, J., Feng, B., Gao, L.-X., Zhang, C., Li, J., Xiang, D.-J., Zang, Y., & Wang, W.-L. (2022). Synthesis and Biochemical Evaluation of 8H-Indeno[1,2-d]thiazole Derivatives as Novel SARS-CoV-2 3CL Protease Inhibitors. Molecules, 27(10), 3359. https://doi.org/10.3390/molecules27103359

















