Retronasal Aroma of Beef Pate Analyzed by a Chewing Simulator
Abstract
1. Introduction
2. Results
2.1. Effects of the Strength of Mastication and the Amount of Fat on Aroma Release
2.2. Influence of Soy Protein on the Release of the Aroma Compounds
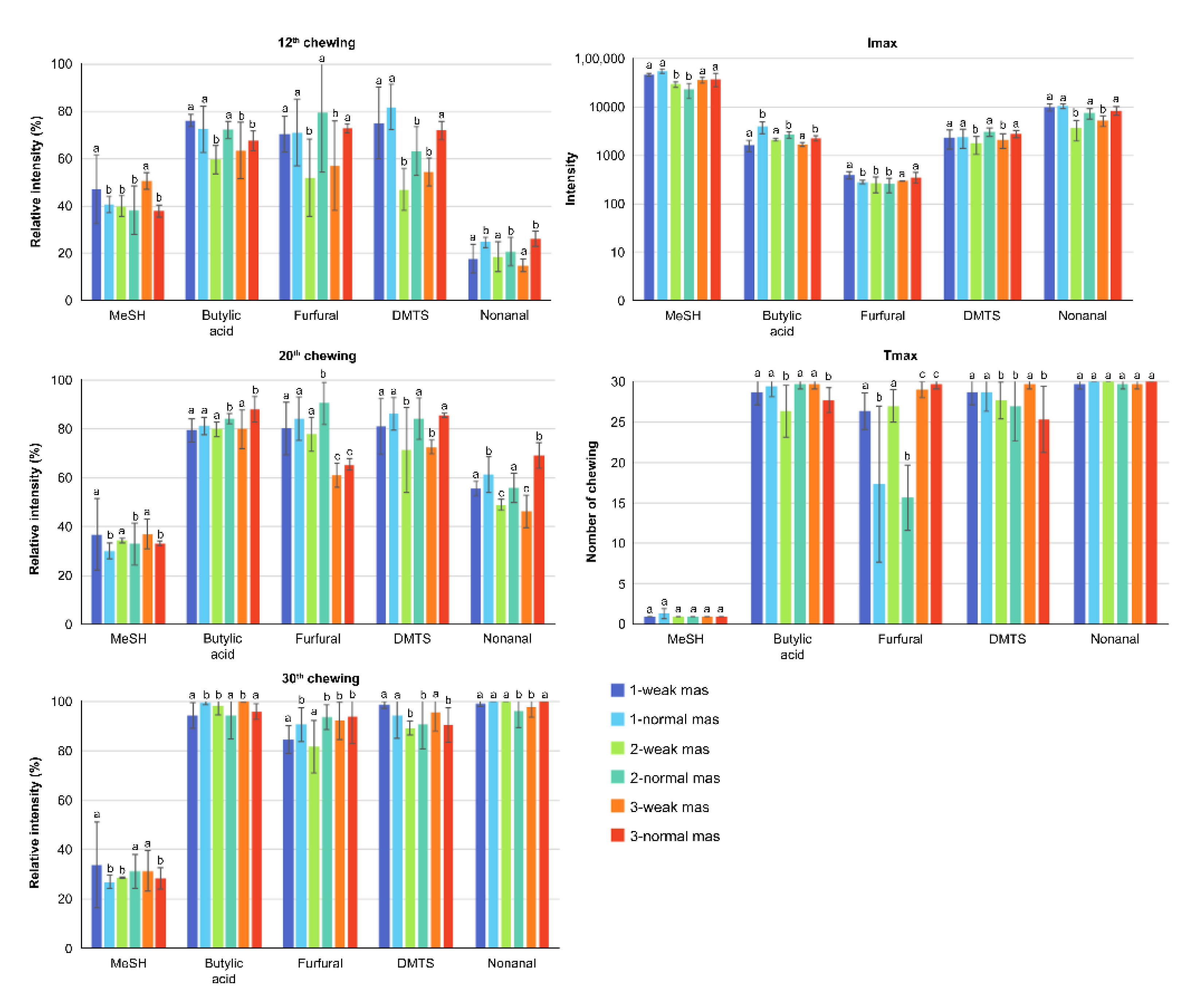
2.3. Changes in the Release of the Aroma Compounds Due to the Differences in Saliva Composition and Flow at Different Chewing Times
3. Discussion
4. Materials and Methods
4.1. Materials
4.2. PTR-Time-of-Flight (ToF)-MS
4.3. Chewing Simulator
4.4. Data Processing
4.5. Statistical Analysis
Author Contributions
Funding
Institutional Review Board Statement
Informed Consent Statement
Data Availability Statement
Acknowledgments
Conflicts of Interest
Sample Availability
References
- Duchamp-Viret, P.; Lacroix, M.-C.; Kuszewski, N.; Baly, C. Olfactory perception and integration. In Flavor: From Food to Behaviors, Wellbeing and Health; Etievant, P., Guichard, E., Salles, C., Voilley, A., Eds.; Elsevier: Amsterdam, The Netherlands, 2016; Volume 299, pp. 57–100. [Google Scholar]
- Hummel, T.; Seo, H.-S. Orthonasal and Retronasal Perception; Wiley: Hoboken, NJ, USA, 2017; pp. 310–318. [Google Scholar]
- Gierczynski, I.; Laboure, H.; Guichard, E. In vivo aroma release of milk gels of different hardnesses: Inter-individual differences and their consequences on aroma perception. J. Agric. Food Chem. 2008, 56, 1697–1703. [Google Scholar] [CrossRef] [PubMed]
- Laboure, H.; Repoux, M.; Courcoux, P.; Feron, G.; Guichard, E. Inter-individual retronasal aroma release variability during cheese consumption: Role of food oral processing. Food Res. Int. 2014, 64, 692–700. [Google Scholar] [CrossRef] [PubMed]
- Tarrega, A.; Yven, C.; Sémon, E.; Salles, C. In-mouth aroma compound release during cheese consumption: Relationship with food bolus formation. Int. Dairy J. 2011, 21, 358–364. [Google Scholar] [CrossRef]
- Romano, A. Aroma Release during In-Mouth Process; Wiley: Hoboken, NJ, USA, 2017; pp. 235–265. [Google Scholar]
- Guichard, E. Interactions between flavor compounds and food ingredients and their influence on flavor perception. Food Rev. Int. 2002, 18, 49–70. [Google Scholar] [CrossRef]
- Paravisini, L.; Guichard, E. Interactions between aroma compounds and food matrix. In Flavour: From Food to Perception; John Wiley & Sons, Inc.: Chichester, UK, 2017; pp. 208–234. [Google Scholar]
- Semenova, M.G.; Antipova, A.S.; Belyakova, L.E.; Polikarpov, Y.N.; Wasserman, L.A.; Misharina, T.A.; Terenina, M.B.; Golovnya, R.V. Binding of aroma compounds with legumin. III. Thermodynamics of competitive binding of aroma compounds with 11S globulin depending on the structure of aroma compounds. Food Hydrocoll. 2002, 16, 573–584. [Google Scholar] [CrossRef]
- Semenova, M.G.; Antipova, A.S.; Misharina, T.A.; Golovnya, R.V. Binding of aroma compounds with legumin. I. Binding of hexyl acetate with 11S globulin depending on the protein molecular state in aqueous medium. Food Hydrocoll. 2002, 16, 557–564. [Google Scholar] [CrossRef]
- Semenova, M.G.; Antipova, A.S.; Wasserman, L.A.; Misharina, T.A.; Golovnya, R.V. Binding of aroma compounds with legumin. II. Effect of hexyl acetate on thermodynamic properties of 11S globulin in aqueous medium. Food Hydrocoll. 2002, 16, 565–571. [Google Scholar] [CrossRef]
- Guichard, E.; Salles, C.; Morzel, M.; Le Bon, A.-M. Flavour: From Food to Perception; John Wiley & Sons Inc.: Chichester, UK; Hoboken, NJ, USA, 2017; p. 400. [Google Scholar]
- Panda, S.; Chen, J.; Benjamin, O. Development of model mouth for food oral processing studies: Present challenges and scopes. Innov. Food Sci. Emerg. Technol. 2020, 66, 102524. [Google Scholar] [CrossRef]
- Salles, C.; Benjamin, O. Models of the oral cavity for the investigation of olfaction. In Handbook of Odour; Buettner, A., Ed.; Springer: Berlin, Germany, 2017; pp. 303–318. [Google Scholar]
- Tarrega, A.; Yven, C.; Semon, E.; Mielle, P.; Salles, C. Effect of Oral Physiology Parameters on In-Mouth Aroma Compound Release Using Lipoprotein Matrices: An In Vitro Approach. Foods 2019, 8, 106. [Google Scholar] [CrossRef]
- Salles, C.; Chagnon, M.C.; Feron, G.; Guichard, E.; Laboure, H.; Morzel, M.; Semon, E.; Tarrega, A.; Yven, C. In-mouth mechanisms leading to flavor release and perception. Crit. Rev. Food Sci. Nutr. 2011, 51, 67–90. [Google Scholar] [CrossRef]
- van Ruth, S.M.; Buhr, K. Influence of mastication rate on dynamic flavour release analysed by combined model mouth/proton transfer reaction-mass spectrometry. Int. J. Mass Spectrom. 2004, 239, 187–192. [Google Scholar] [CrossRef]
- Tarrega, A.; Yven, C.; Semon, E.; Salles, C. Aroma release and chewing activity during eating different model cheeses. Int. Dairy J. 2008, 18, 849–857. [Google Scholar] [CrossRef]
- Doyen, K.; Carey, M.; Linforth, R.S.T.; Marin, M.; Taylor, A.J. Volatile release from an emulsion: Headspace and in-mouth studies. J. Agric. Food Chem. 2001, 49, 804–810. [Google Scholar] [CrossRef] [PubMed]
- Lauverjat, C.; Deleris, I.; Trelea, I.C.; Salles, C.; Souchon, I. Salt and Aroma Compound Release in Model Cheeses in Relation to Their Mobility. J. Agric. Food Chem. 2009, 57, 9878–9887. [Google Scholar] [CrossRef]
- Kuehn, J.; Considine, T.; Singh, H. Binding of Flavor Compounds and Whey Protein Isolate as Affected by Heat and High Pressure Treatments. J. Agric. Food Chem. 2008, 56, 10218–10224. [Google Scholar] [CrossRef]
- Qi, J.; Zhang, W.-w.; Feng, X.-c.; Yu, J.-h.; Han, M.-y.; Deng, S.-l.; Zhou, G.-h.; Wang, H.-h.; Xu, X.-l. Thermal degradation of gelatin enhances its ability to bind aroma compounds: Investigation of underlying mechanisms. Food Hydrocoll. 2018, 83, 497–510. [Google Scholar] [CrossRef]
- Affoo, R.H.; Foley, N.; Garrick, R.; Siqueira, W.L.; Martin, R.E. Meta-Analysis of Salivary Flow Rates in Young and Older Adults. J. Am. Geriatr. Soc. 2015, 63, 2142–2151. [Google Scholar] [CrossRef]
- Munoz-Gonzalez, C.; Vandenberghe-Descamps, M.; Feron, G.; Canon, F.; Laboure, H.; Sulmont-Rosse, C. Association between Salivary Hypofunction and Food Consumption in the Elderlies. A Systematic Literature Review. J. Nutr. Health Aging 2018, 22, 407–419. [Google Scholar] [CrossRef] [PubMed]
- Munoz-Gonzalez, C.; Brule, M.; Feron, G.; Canon, F. Does interindividual variability of saliva affect the release and metabolization of aroma compounds ex vivo? The particular case of elderly suffering or not from hyposalivation. J. Texture Stud. 2019, 50, 36–44. [Google Scholar] [CrossRef]
- Khramova, D.S.; Popov, S.V. A secret of salivary secretions: Multimodal effect of saliva in sensory perception of food. Eur. J. Oral Sci. 2021, 130, e12846. [Google Scholar] [CrossRef]
- Frasnelli, J.; van Ruth, S.; Kriukova, I.; Hummel, T. Intranasal concentrations of orally administered flavors. Chem. Senses 2005, 30, 575–582. [Google Scholar] [CrossRef] [PubMed][Green Version]
- Saint-Eve, A.; Martin, N.; Guillemin, H.; Semon, E.; Guichard, E.; Souchon, I. Flavored yogurt complex viscosity influences real-time aroma release in the mouth and sensory properties. J. Agric. Food Chem. 2006, 54, 7794–7803. [Google Scholar] [CrossRef] [PubMed]
- Nagler, R.M.; Hershkovich, O. Relationships between age, drugs, oral sensorial complaints and salivary profile. Arch. Oral Biol. 2005, 50, 7–16. [Google Scholar] [CrossRef] [PubMed]
- Odake, S.; Roozen, J.P.; Burger, J.J. Flavor release of diacetyl and 2-heptanone from cream style dressings in three mouth model systems. Biosci. Biotechnol. Biochem. 2000, 64, 2523–2529. [Google Scholar] [CrossRef]
- Salles, C.; Tarrega, A.; Mielle, P.; Maratray, J.; Gorria, P.; Liaboeuf, J.; Liodenot, J.J. Development of a chewing simulator for food breakdown and the analysis of in vitro flavor compound release in a mouth environment. J. Food Eng. 2007, 82, 189–198. [Google Scholar] [CrossRef]





| Compound Name | m/z | Log Kow | Log Kaw |
|---|---|---|---|
| MeSH | 49.0110 | 0.78 | −0.89 |
| butanoic acid | 89.0597 | 0.79 | 4.66 |
| furfural | 98.0318 | 0.41 | 3.81 |
| DMTS | 128.9660 | 1.87 | 1.12 |
| nonanal | 143.1430 | 4.79 | 1.52 |
| Standard Adult | Elderly | ||
|---|---|---|---|
| Composition (g) | (1). Std | (2) (130% Concentration, 50% Saliva Flow from Condition (1)) | (3) (50% Mucin from Condition (2)) |
| Water | 1000 | 1000 | 1000 |
| NaHCO3 | 0.397 | 0.567 | 0.567 |
| K2HPO4 | 0.645 | 0.921 | 0.921 |
| NaCl | 0.067 | 0.0957 | 0.0957 |
| KCl | 0.774 | 1.11 | 1.11 |
| CaCl2 | 0.205 | 0.293 | 0.293 |
| Mucin | 2.16 | 3.09 | 1.54 |
| Salivary flow rate | 1 mL/min | 0.5 mL/min | 0.5 mL/min |
Publisher’s Note: MDPI stays neutral with regard to jurisdictional claims in published maps and institutional affiliations. |
© 2022 by the authors. Licensee MDPI, Basel, Switzerland. This article is an open access article distributed under the terms and conditions of the Creative Commons Attribution (CC BY) license (https://creativecommons.org/licenses/by/4.0/).
Share and Cite
Hayashi, K.; Nakada, Y.; Sémon, E.; Salles, C. Retronasal Aroma of Beef Pate Analyzed by a Chewing Simulator. Molecules 2022, 27, 3259. https://doi.org/10.3390/molecules27103259
Hayashi K, Nakada Y, Sémon E, Salles C. Retronasal Aroma of Beef Pate Analyzed by a Chewing Simulator. Molecules. 2022; 27(10):3259. https://doi.org/10.3390/molecules27103259
Chicago/Turabian StyleHayashi, Kazuhiro, Yuji Nakada, Etienne Sémon, and Christian Salles. 2022. "Retronasal Aroma of Beef Pate Analyzed by a Chewing Simulator" Molecules 27, no. 10: 3259. https://doi.org/10.3390/molecules27103259
APA StyleHayashi, K., Nakada, Y., Sémon, E., & Salles, C. (2022). Retronasal Aroma of Beef Pate Analyzed by a Chewing Simulator. Molecules, 27(10), 3259. https://doi.org/10.3390/molecules27103259

