Halogenation in Fungi: What Do We Know and What Remains to Be Discovered?
Abstract
1. Introduction
2. Halogenation Enzymes
2.1. Methodology
2.2. General Considerations about Fungal Halogenation Enzymes
2.2.1. Detection and Characterization of Halogenation Enzymes
2.2.2. Production of Halogenation Enzymes
2.3. Heme-Dependent Haloperoxidases
2.3.1. History
2.3.2. General Structure
2.3.3. Enzymatic Mechanism and Specificity
2.3.4. hHPOs in Fungi
2.3.5. Implication in Biosynthesis of Halogenated Compounds
2.3.6. Applications and Prospect
2.4. Vanadium-Dependent Haloperoxidases
2.4.1. History
2.4.2. Structure
- (1)
- PxYxSGHA
- (2)
- LxxxxAxxRxxxGxHxxxD
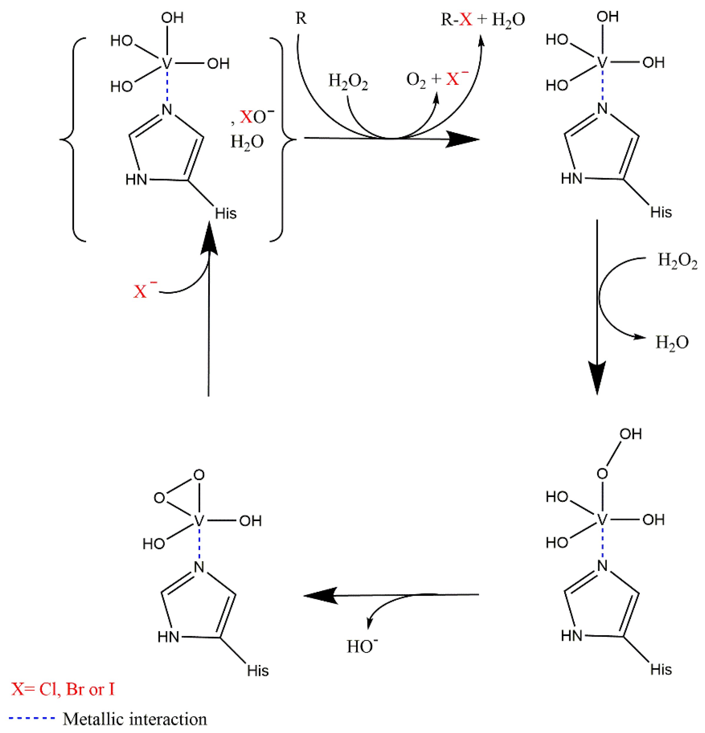
2.4.3. Enzymatic Mechanism and Specificity
2.4.4. vHPOs in Fungi
2.4.5. Implication in Biosynthesis of Halogenated Compounds
2.4.6. Applications and Prospect
2.5. Co-Factor-Free Haloperoxidases
2.5.1. History
2.5.2. Structure
2.5.3. Enzymatic Mechanism and Specificity
2.5.4. Detection in Fungi
2.5.5. Prospects
2.6. Flavin-Dependent Halogenases
2.6.1. History
2.6.2. Structure
2.6.3. Enzymatic Mechanism and Specificity
2.6.4. FDHs in Fungi and Their Implication in the Biosynthesis of Metabolites
Fungal FDHs Halogenating Indole Structures
Fungal FDHs Halogenating Phenol Structures
Other Non-Classical Fungal FDHs
2.6.5. Application and Prospect
2.7. Non-Heme Iron-Dependent Halogenases
2.7.1. Mechanism
2.7.2. Detection in Fungi
2.7.3. Prospect
2.8. S-Adenosylmethionine-Dependent Halide Methyltransferase
2.8.1. Mechanism
2.8.2. Detection in Fungi
2.8.3. Prospects
2.9. Summary of Fungal Halogenation Enzymes
3. Halogenated Metabolites
3.1. Methodology
3.2. Compounds in the Haloarene Class
3.3. Compounds in the Haloalkene Class
3.4. Compounds in the Haloalkane Class
4. Conclusions
Supplementary Materials
Author Contributions
Funding
Institutional Review Board Statement
Informed Consent Statement
Data Availability Statement
Conflicts of Interest
References
- Petty, M.A. An Introduction to the Origin and Biochemistry of Microbial Halometabolites. Bacteriol. Rev. 1961, 25, 111–130. [Google Scholar] [CrossRef] [PubMed]
- Zopf, W. Zur Kenntniss Der Flechtenstoffe (12. Mittheilung.). Justus Liebigs Ann. Chem. 1904, 336, 46–85. [Google Scholar] [CrossRef]
- Morris, D.R.; Hager, L.P. Chloroperoxidase. I. Isolation and Properties of the Crystalline Glycoprotein. J. Biol. Chem. 1966, 241, 1763–1768. [Google Scholar] [CrossRef]
- CRC Press Dictionary of Natural Products (DNP). Available online: https://dnp.chemnetbase.com/ (accessed on 1 March 2021).
- Gribble, G.W. Naturally Occuring Organohalogen Compounds—A Comprehensive Update; Gribble, G.W., Ed.; Springer: Vienna, Austria, 2010; ISBN 978-3-211-99322-4. [Google Scholar]
- Dickson, A.G.; Goyet, C. Handbook of Methods for the Analysis of the Various Parameters of the Carbon Dioxide System in Sea Water. Version 2. In DOE; Dickson, A.G., Goyet, C., Eds.; Oak Ridge National Laboratory: Oak Ridge, TN, USA, 1994; pp. 1–187. [Google Scholar]
- Van Santen, J.A.; Jacob, G.; Singh, A.L.; Aniebok, V.; Balunas, M.J.; Bunsko, D.; Neto, F.C.; Castaño-Espriu, L.; Chang, C.; Clark, T.N.; et al. The Natural Products Atlas: An Open Access Knowledge Base for Microbial Natural Products Discovery. ACS Cent. Sci. 2019, 5, 1824–1833. [Google Scholar] [CrossRef]
- Amend, A.; Burgaud, G.; Cunliffe, M.; Edgcomb, V.P.; Ettinger, C.L.; Gutiérrez, M.H.; Heitman, J.; Hom, E.F.Y.; Ianiri, G.; Jones, A.C.; et al. Fungi in the Marine Environment: Open Questions and Unsolved Problems. mBio 2019, 10, e01189-18. [Google Scholar] [CrossRef]
- Gladfelter, A.S.; James, T.Y.; Amend, A.S. Marine Fungi. Curr. Biol. Mag. 2019, 29, R191–R195. [Google Scholar] [CrossRef]
- Roullier, C.; Guitton, Y.; Valery, M.; Amand, S.; Prado, S.; Robiou Du Pont, T.; Grovel, O.; Pouchus, Y.F. Automated Detection of Natural Halogenated Compounds from LC-MS Profiles-Application to the Isolation of Bioactive Chlorinated Compounds from Marine-Derived Fungi. Anal. Chem. 2016, 88, 9143–9150. [Google Scholar] [CrossRef]
- Atanasov, A.G.; Waltenberger, B.; Pferschy-Wenzig, E.M.; Linder, T.; Wawrosch, C.; Uhrin, P.; Temml, V.; Wang, L.; Schwaiger, S.; Heiss, E.H.; et al. Discovery and Resupply of Pharmacologically Active Plant-Derived Natural Products: A Review. Biotechnol. Adv. 2015, 33, 1582–1614. [Google Scholar] [CrossRef]
- Newman, D.J.; Cragg, G.M. Natural Products as Sources of New Drugs over the Nearly Four Decades from 01/1981 to 09/2019. J. Nat. Prod. 2020, 83, 770–803. [Google Scholar] [CrossRef]
- Jiang, S.; Zhang, L.; Cui, D.; Yao, Z.; Gao, B.; Lin, J.; Wei, D. The Important Role of Halogen Bond in Substrate Selectivity of Enzymatic Catalysis. Sci. Rep. 2016, 6, 1–6. [Google Scholar] [CrossRef]
- Julianti, E.; Abrian, I.A.; Wibowo, M.S.; Azhari, M.; Tsurayya, N.; Izzati, F.; Juanssilfero, A.B.; Bayu, A.; Rahmawati, S.I.; Putra, M.Y. Secondary Metabolites from Marine-Derived Fungi and Actinobacteria as Potential Sources of Novel Colorectal Cancer Drugs. Mar. Drugs 2022, 20, 67. [Google Scholar] [CrossRef] [PubMed]
- Lu, Y.; Liu, Y.; Xu, Z.; Li, H.; Liu, H.; Zhu, W. Halogen Bonding for Rational Drug Design and New Drug Discovery. Expert Opin. Drug Discov. 2012, 7, 375–383. [Google Scholar] [CrossRef] [PubMed]
- Xu, Z.; Yang, Z.; Liu, Y.; Lu, Y.; Chen, K.; Zhu, W. Halogen Bond: Its Role beyond Drug–Target Binding Affinity for Drug Discovery and Development. J. Chem. Inf. Model. 2014, 54, 69–78. [Google Scholar] [CrossRef] [PubMed]
- Paul, C.; Pohnert, G. Production and Role of Volatile Halogenated Compounds from Marine Algae. Nat. Prod. Rep. 2011, 28, 186–195. [Google Scholar] [CrossRef]
- De Nys, R.; Steinberg, P.D.; Willemsen, P.; Dworjanyn, S.A.; Gabelish, C.L.; King, R.J. Broad Spectrum Effects of Secondary Metabolites from the Red Alga Delisea Pulchra in Antifouling Assays. Biofouling 1995, 8, 259–271. [Google Scholar] [CrossRef]
- Ma, X.; Yu, J.; Jiang, M.; Wang, M.; Tang, L.; Wei, M.; Zhou, Q. Mild and Regioselective Bromination of Phenols with TMSBr. Eur. J. Org. Chem. 2019, 2019, 4593–4596. [Google Scholar] [CrossRef]
- Tang, R.-J.; Milcent, T.; Crousse, B. Regioselective Halogenation of Arenes and Heterocycles in Hexafluoroisopropanol. J. Org. Chem. 2018, 83, 930–938. [Google Scholar] [CrossRef]
- Burgaud, G.; Edgcomb, V.; Hassett, B.T.; Kumar, A.; Li, W.; Mara, P.; Peng, X.; Philippe, A.; Phule, P.; Prado, S.; et al. Marine Fungi. In The Marine Microbiome; Stal, L.J., Cretoiu, M.S., Eds.; Springer: Cham, Switzerland, 2022; pp. 243–295. ISBN 978-3-030-90382-4. [Google Scholar]
- Wang, C.; Lu, H.; Lan, J.; Zaman, K.; Cao, S. A Review: Halogenated Compounds from Marine Fungi. Molecules 2021, 26, 458. [Google Scholar] [CrossRef]
- Grigoriev, I.V.; Nikitin, R.; Haridas, S.; Kuo, A.; Ohm, R.; Otillar, R.; Riley, R.; Salamov, A.; Zhao, X.; Korzeniewski, F.; et al. MycoCosm Portal: Gearing up for 1000 Fungal Genomes. Nucleic Acids Res. 2014, 42, 699–704. [Google Scholar] [CrossRef]
- Altschul, S.F.; Gish, W.; Miller, W.; Myers, E.W.; Lipman, D.J. Basic Local Alignment Search Tool. J. Mol. Biol. 1990, 215, 403–410. [Google Scholar] [CrossRef]
- Kumar, S.; Stecher, G.; Li, M.; Knyaz, C.; Tamura, K. MEGA X: Molecular Evolutionary Genetics Analysis across Computing Platforms. Mol. Biol. Evol. 2018, 35, 1547–1549. [Google Scholar] [CrossRef] [PubMed]
- Sehnal, D.; Rose, A.S.; Koča, J.; Burley, S.K.; Velankar, S. Mol*: Towards a Common Library and Tools for Web Molecular Graphics. In MolVA ’18, Proceedings of the Workshop on Molecular Graphics and Visual Analysis of Molecular Data; Byska, J., Krone, M., Sommer, B., Eds.; The Eurographics Association: Goslar, Germany, 2018; ISBN 978-3-03868-061-1. [Google Scholar]
- Fang, G.-H.; Kenigsberg, P.; Axley, M.J.; Nuell, M.; Hager, L.P. Cloning and Sequencing of Chloroperoxidase CDNA. Nucleic Acids Res. 1986, 14, 8061–8071. [Google Scholar] [CrossRef] [PubMed][Green Version]
- Simons, B.H.; Barnett, P.; Vollenbroek, E.G.M.; Dekker, H.L.; Muijsers, A.O.; Messerschmidt, A.; Wever, R. Primary Structure and Characterization of the Vanadium Chloroperoxidase from the Fungus Curvularia Inaequalis. Eur. J. Biochem. 1995, 229, 566–574. [Google Scholar] [CrossRef] [PubMed]
- Barnett, P.; Hemrika, W.; Dekker, H.L.; Muijsers, A.O.; Renirie, R.; Wever, R. Isolation, Characterization, and Primary Structure of the Vanadium Chloroperoxidase from the Fungus Embellisia Didymospora. J. Biol. Chem. 1998, 273, 23381–23387. [Google Scholar] [CrossRef] [PubMed]
- Fraley, A.E.; Garcia-borràs, M.; Tripathi, A.; Khare, D.; Eduardo, V.; Tran, H.; Dan, Q.; Webb, G.P.; Watts, K.R.; Crews, P.; et al. Function and Structure of MalA/MalA’, Iterative Halogenases for Late-Stage C–H Functionalization of Indole Alkaloids. J. Am. Chem. Soc. 2017, 139, 12060–12068. [Google Scholar] [CrossRef]
- Reeves, C.D.; Hu, Z.; Reid, R.; Kealey, J.T. Genes for the Biosynthesis of the Fungal Polyketides Hypothemycin from Hypomyces Subiculosus and Radicicol from Pochonia Chlamydosporia. Appl. Environ. Microbiol. 2008, 74, 5121–5129. [Google Scholar] [CrossRef]
- Wang, S.; Xu, Y.; Maine, E.A.; Wijeratne, E.M.K.; Espinosa-Artiles, P.; Gunatilaka, A.A.L.; Molnár, I. Functional Characterization of the Biosynthesis of Radicicol, an Hsp90 Inhibitor Resorcylic Acid Lactone from Chaetomium Chiversii. Chem. Biol. 2008, 15, 1328–1338. [Google Scholar] [CrossRef]
- Ferrara, M.; Perrone, G.; Gambacorta, L.; Epifani, F.; Solfrizzo, M.; Gallo, A. Identification of a Halogenase Involved in the Biosynthesis of Ochratoxin A in Aspergillus Carbonarius. Appl. Environ. Microbiol. 2016, 82, 5631–5641. [Google Scholar] [CrossRef]
- Susca, A.; Proctor, R.H.; Morelli, M.; Haidukowski, M.; Gallo, A.; Logrieco, A.F.; Moretti, A. Variation in Fumonisin and Ochratoxin Production Associated with Differences in Biosynthetic Gene Content in Aspergillus Niger and A. Welwitschiae Isolates from Multiple Crop and Geographic Origins. Front. Microbiol. 2016, 7, 1–15. [Google Scholar] [CrossRef]
- Xu, X.; Liu, L.; Zhang, F.; Wang, W.; Li, J.; Guo, L.; Che, Y.; Liu, G. Identification of the First Diphenyl Ether Gene Cluster for Pestheic Acid Biosynthesis in Plant Endophyte Pestalotiopsis Fici. ChemBioChem 2014, 15, 284–292. [Google Scholar] [CrossRef]
- Nielsen, M.T.; Nielsen, J.B.; Anyaogu, D.C.; Holm, D.K.; Nielsen, K.F.; Larsen, T.O.; Mortensen, U.H. Heterologous Reconstitution of the Intact Geodin Gene Cluster in Aspergillus Nidulans through a Simple and Versatile PCR Based Approach. PLoS ONE 2013, 8, e72871. [Google Scholar] [CrossRef]
- Cacho, R.A.; Chooi, Y.H.; Zhou, H.; Tang, Y. Complexity Generation in Fungal Polyketide Biosynthesis: A Spirocycle-Forming P450 in the Concise Pathway to the Antifungal Drug Griseofulvin. ACS Chem. Biol. 2013, 8, 2322–2330. [Google Scholar] [CrossRef] [PubMed]
- Chankhamjon, P.; Boettger-Schmidt, D.; Scherlach, K.; Urbansky, B.; Lackner, G.; Kalb, D.; Dahse, H.M.; Hoffmeister, D.; Hertweck, C. Biosynthesis of the Halogenated Mycotoxin Aspirochlorine in Koji Mold Involves a Cryptic Amino Acid Conversion. Angew. Chem.-Int. Ed. 2014, 53, 13409–13413. [Google Scholar] [CrossRef] [PubMed]
- Araki, Y.; Awakawa, T.; Matsuzaki, M.; Cho, R.; Matsuda, Y.; Hoshino, S.; Shinohara, Y.; Yamamoto, M.; Kido, Y.; Inaoka, D.K.; et al. Complete Biosynthetic Pathways of Ascofuranone and Ascochlorin in Acremonium Egyptiacum. Proc. Natl. Acad. Sci. USA 2019, 116, 8269–8274. [Google Scholar] [CrossRef]
- Wick, J.; Heine, D.; Lackner, G.; Misiek, M.; Tauber, J.; Jagusch, H.; Hertweck, C.; Hoffmeister, D. A Fivefold Parallelized Biosynthetic Process Secures Chlorination of Armillaria Mellea (Honey Mushroom) Toxins. Appl. Environ. Microbiol. 2016, 82, 1196–1204. [Google Scholar] [CrossRef]
- Ugai, T.; Minami, A.; Tanaka, S.; Ozaki, T.; Liu, C.; Shigemori, H.; Hashimoto, M.; Oikawa, H. Biosynthetic Machinery of 6-Hydroxymellein Derivatives Leading to Cyclohelminthols and Palmaenones. ChemBioChem 2020, 21, 360–367. [Google Scholar] [CrossRef]
- Winter, J.M.; Sato, M.; Sugimoto, S.; Chiou, G.; Garg, N.K.; Tang, Y.; Watanabe, K. Identification and Characterization of the Chaetoviridin and Chaetomugilin Gene Cluster in Chaetomium Globosum Reveal Dual Functions of an Iterative Highly-Reducing Polyketide Synthase. J. Am. Chem. Soc. 2012, 134, 17900–17903. [Google Scholar] [CrossRef]
- Axley, M.J.; Kenigsberg, P.; Hager, L.P. Fructose Induces and Glucose Represses Chloroperoxidase MRNA Levels. J. Biol. Chem. 1986, 261, 15058–15061. [Google Scholar] [CrossRef]
- Blin, K.; Shaw, S.; Kloosterman, A.M.; Charlop-Powers, Z.; van Wezel, G.P.; Medema, M.H.; Weber, T. AntiSMASH 6.0: Improving Cluster Detection and Comparison Capabilities. Nucleic Acids Res. 2021, 49, W29–W35. [Google Scholar] [CrossRef]
- Menon, B.R.K.; Richmond, D.; Menon, N. Halogenases for Biosynthetic Pathway Engineering: Toward New Routes to Naturals and Non-Naturals. Catal. Rev. 2020, 62, 1–59. [Google Scholar] [CrossRef]
- Crowe, C.; Molyneux, S.; Sharma, S.V.; Zhang, Y.; Gkotsi, D.S.; Connaris, H.; Goss, R.J.M. Halogenases: A Palette of Emerging Opportunities for Synthetic Biology–Synthetic Chemistry and C–H Functionalisation. Chem. Soc. Rev. 2021, 50, 9443–9481. [Google Scholar] [CrossRef] [PubMed]
- Dachwitz, S.; Widmann, C.; Frese, M.; Niemann, H.H.; Sewald, N. Enzymatic Halogenation: Enzyme Mining, Mechanisms, and Implementation in Reaction Cascades. In Amino Acids, Peptides and Proteins; Royal Society of Chemistry: Cambridge, UK, 2020; Volume 44, pp. 1–43. [Google Scholar]
- Hager, L.; Morris, D.; Brown, F.; Eberwein, H. Chloroperoxidase: Utilization of Halogen Anions. J. Biol. Chem. 1966, 241, 1769–1777. [Google Scholar] [CrossRef]
- Verhaeghe, E.; Buisson, D.; Zekri, E.; Leblanc, C.; Potin, P.; Ambroise, Y. A Colorimetric Assay for Steady-State Analyses of Iodo- and Bromoperoxidase Activities. Anal. Biochem. 2008, 379, 60–65. [Google Scholar] [CrossRef] [PubMed]
- Jordan, P.; Vilter, H. Native Bromoperoxidases Do Not Bind to Nitrocellulose: Use of DEAE-Cellulose as an Alternative in Blotting. Electrophoresis 1990, 11, 653–655. [Google Scholar] [CrossRef] [PubMed]
- Nag, N.; Khan, H.; Tripathi, T. Strategies to Improve the Expression and Solubility of Recombinant Proteins in E. Coli. In Advances in Protein Molecular and Structural Biology Methods; Elsevier: Amsterdam, The Netherlands, 2022; pp. 1–12. [Google Scholar]
- Zemella, A.; Thoring, L.; Hoffmeister, C.; Kubick, S. Cell-Free Protein Synthesis: Pros and Cons of Prokaryotic and Eukaryotic Systems. ChemBioChem 2015, 16, 2420–2431. [Google Scholar] [CrossRef]
- Mamipour, M.; Yousefi, M.; Hasanzadeh, M. An Overview on Molecular Chaperones Enhancing Solubility of Expressed Recombinant Proteins with Correct Folding. Int. J. Biol. Macromol. 2017, 102, 367–375. [Google Scholar] [CrossRef] [PubMed]
- Hemrika, W.; Renirie, R.; Macedo-Ribeiro, S.; Messerschmidt, A.; Wever, R. Heterologous Expression of the Vanadium-Containing Chloroperoxidase from Curvularia Inaequalis in Saccharomyces Cerevisiae and Site-Directed Mutagenesis of the Active Site Residues His496, Lys353, Arg360, and Arg490. J. Biol. Chem. 1999, 274, 23820–23827. [Google Scholar] [CrossRef]
- Conesa, A.; van de Velde, F.; van Rantwijk, F.; Sheldon, R.A.; van den Hondel, C.A.M.J.J.; Punt, P.J. Expression of the Caldariomyces Fumago Chloroperoxidase in Aspergillus Niger and Characterization of the Recombinant Enzyme. J. Biol. Chem. 2001, 276, 17635–17640. [Google Scholar] [CrossRef]
- Zhou, H.; Qiao, K.; Gao, Z.; Vederas, J.C.; Tang, Y. Insights into Radicicol Biosynthesis via Heterologous Synthesis of Intermediates and Analogs. J. Biol. Chem. 2010, 285, 41412–41421. [Google Scholar] [CrossRef]
- Messerschmidt, A.; Prade, L.; Wever, R. Implications for the Catalytic Mechanism of the Vanadium-Containing Enzyme Chloroperoxidase from the Fungus Curvularia Inaequalis by X-Ray Structures of the Native and Peroxide Form. Biol. Chem. 1997, 378, 309–316. [Google Scholar] [CrossRef]
- Pickard, M.A.; Kadima, T.A.; Carmichael, R.D. Chloroperoxidase, a Peroxidase with Potential. J. Ind. Microbiol. 1991, 7, 235–241. [Google Scholar] [CrossRef]
- Bormann, S.; Gomez Baraibar, A.; Ni, Y.; Holtmann, D.; Hollmann, F. Specific Oxyfunctionalisations Catalysed by Peroxygenases: Opportunities, Challenges and Solutions. Catal. Sci. Technol. 2015, 5, 2038–2052. [Google Scholar] [CrossRef]
- Aoun, S.; Baboulène, M. Regioselective Bromohydroxylation of Alkenes Catalyzed by Chloroperoxidase: Advantages of the Immobilization of Enzyme on Talc. J. Mol. Catal.-B Enzym. 1998, 4, 101–109. [Google Scholar] [CrossRef]
- Wischang, D.; Hartung, J. Bromination of Phenols in Bromoperoxidase-Catalyzed Oxidations. Tetrahedron 2012, 68, 9456–9463. [Google Scholar] [CrossRef]
- van Deurzen, M.P.J.; van Rantwijk, F.; Sheldon, R.A. Synthesis of Substituted Oxindoles by Chloroperoxidase Catalyzed Oxidation of Indoles. J. Mol. Catal. B: Enzym. 1996, 2, 33–42. [Google Scholar] [CrossRef]
- Höfler, G.T.; But, A.; Hollmann, F. Haloperoxidases as Catalysts in Organic Synthesis. Org. Biomol. Chem. 2019, 17, 9267–9274. [Google Scholar] [CrossRef]
- Fernández-Fueyo, E.; H Younes, S.H.; van Rootselaar, S.; Aben, W.M.; Renirie, R.; Wever, R.; Holtmann, D.; J T Rutjes, F.P.; Hollmann, F. A Biocatalytic Aza-Achmatowicz Reaction. ACS Catal. 2016, 6, 5904–5907. [Google Scholar] [CrossRef]
- Yaipakdee, P.; Robertson, L.W. Enzymatic Halogenation of Flavanones and Flavones. Phytochemistry 2001, 57, 341–347. [Google Scholar] [CrossRef]
- Franssen, M.C.R.; van der Plas, H.C. The Chlorination of Barbituric Acid and Some of Its Derivatives by Chloroperoxidase. Bioorg. Chem. 1987, 15, 59–70. [Google Scholar] [CrossRef]
- Geigert, J.; Neidleman, S.L.; Dalietos, D.J. Novel Haloperoxidase Substrates. Alkynes and Cyclopropanes. J. Biol. Chem. 1983, 258, 2273–2277. [Google Scholar] [CrossRef]
- Vázquez-Duhalt, R.; Ayala, M.; Márquez-Rocha, F.J. Biocatalytic Chlorination of Aromatic Hydrocarbons by Chloroperoxidase of Caldariomyces Fumago. Phytochemistry 2001, 58, 929–933. [Google Scholar] [CrossRef]
- Younes, S.H.H.; Tieves, F.; Lan, D.; Wang, Y.; Süss, P.; Brundiek, H.; Wever, R.; Hollmann, F. Chemoenzymatic Halocyclization of γ,δ-Unsaturated Carboxylic Acids and Alcohols. ChemSusChem 2019, 12, 1–6. [Google Scholar] [CrossRef]
- Zeng, J.; Zhan, J. A Novel Fungal Flavin-Dependent Halogenase for Natural Product Biosynthesis. ChemBioChem 2010, 11, 2119–2123. [Google Scholar] [CrossRef] [PubMed]
- Zeng, J.; Lytle, A.K.; Gage, D.; Johnson, S.J.; Zhan, J. Specific Chlorination of Isoquinolines by a Fungal Flavin-Dependent Halogenase. Bioorg. Med. Chem. Lett. 2013, 23, 1001–1003. [Google Scholar] [CrossRef][Green Version]
- Timmins, A.; De Visser, S.P. Enzymatic Halogenases and Haloperoxidases: Computational Studies on Mechanism and Function. Adv. Protein Chem. Struct. Biol. 2015, 100, 113–151. [Google Scholar] [CrossRef]
- Sundaramoorthy, M.; Terner, J.; Poulos, T.L. The Crystal Structure of Chloroperoxidase: A Heme Peroxidase-Cytochrome P450 Functional Hybrid. Structure 1995, 3, 1367–1378. [Google Scholar] [CrossRef]
- Zong, Q.; Osmulski, P.A.; Hager, L.P. High-Pressure-Assisted Reconstitution of Recombinant Chloroperoxidase. Biochemistry 1995, 34, 12420–12425. [Google Scholar] [CrossRef]
- Butler, A.; Sandy, M. Mechanistic Considerations of Halogenating Enzymes. Nature 2009, 460, 848–854. [Google Scholar] [CrossRef]
- Kühnel, K.; Blankenfeldt, W.; Terner, J.; Schlichting, I. Crystal Structures of Chloroperoxidase with Its Bound Substrates and Complexed with Formate, Acetate, and Nitrate. J. Biol. Chem. 2006, 281, 23990–23998. [Google Scholar] [CrossRef]
- Sundaramoorthy, M.; Terner, J.; Poulos, T.L. Stereochemistry of the Chloroperoxidase Active Site: Crystallographic and Molecular-Modeling Studies. Chem. Biol. 1998, 5, 461–473. [Google Scholar] [CrossRef]
- Shaik, S.; Kumar, D.; De Visser, S.P. A Valence Bond Modeling of Trends in Hydrogen Abstraction Barriers and Transition States of Hydroxylation Reactions Catalyzed by Cytochrome P450 Enzymes. J. Am. Chem. Soc. 2008, 130, 10128–10140. [Google Scholar] [CrossRef] [PubMed]
- Hofrichter, M.; Ullrich, R. Heme-Thiolate Haloperoxidases: Versatile Biocatalysts with Biotechnological and Environmental Significance. Appl. Microbiol. Biotechnol. 2006, 71, 276–288. [Google Scholar] [CrossRef] [PubMed]
- Farhangrazi, Z.S.; Sinclair, R.; Yamazaki, I.; Powers, L.S. Haloperoxidase Activity of Phanerochaete Chrysosporium Lignin Peroxidases H2 and H8. Biochemistry 1992, 31, 10763–10768. [Google Scholar] [CrossRef]
- Ullrich, R.; Nueske, J.; Scheibner, K.; Spantzel, J.; Hofrichter, M. Novel Haloperoxidase from the Agaric Basidiomycete. Appl. Environ. Microbiol. 2004, 70, 4575–4581. [Google Scholar] [CrossRef]
- Piontek, K.; Ullrich, R.; Liers, C.; Diederichs, K.; Plattner, D.A.; Hofrichter, M. Crystallization of a 45 KDa Peroxygenase/Peroxidase from the Mushroom Agrocybe Aegerita and Structure Determination by SAD Utilizing Only the Haem Iron. Acta Crystallogr. Sect. F: Struct. Biol. Cryst. Commun. 2010, 66, 693–698. [Google Scholar] [CrossRef] [PubMed]
- Zamocky, M.; Obinger, C. Biocatalysis Based on Heme Peroxidases; Torres, E., Ayala, M., Eds.; Springer: Berlin/Heidelberg, Germany, 2010; ISBN 978-3-642-12626-0. [Google Scholar]
- China, H.; Okada, Y.; Dohi, T. The Multiple Reactions in the Monochlorodimedone Assay: Discovery of Unique Dehalolactonizations under Mild Conditions. Asian J. Org. Chem. 2015, 4, 1065–1074. [Google Scholar] [CrossRef]
- Conesa, A.; Punt, P.J.; Van Den Hondel, C.A.M.J.J. Fungal Peroxidases: Molecular Aspects and Applications. J. Biotechnol. 2002, 93, 143–158. [Google Scholar] [CrossRef]
- Cherry, J.R.; Lamsa, M.H.; Schneider, P.; Vind, J.; Svendsen, A.; Jones, A.; Pedersen, A.H. Directed Evolution of a Fungal Peroxidase. Nat. Biotechnol. 1999, 17, 379–384. [Google Scholar] [CrossRef]
- Vilter, H. Peroxidases from Phaeophyceae: A Vanadium(V)-Dependent Peroxidase from Ascophyllum Nodosum. Phytochemistry 1984, 23, 1387–1390. [Google Scholar] [CrossRef]
- Agarwal, V.; Miles, Z.D.; Winter, J.M.; Eustáquio, A.S.; el Gamal, A.A.; Moore, B.S. Enzymatic Halogenation and Dehalogenation Reactions: Pervasive and Mechanistically Diverse. Chem. Rev. 2017, 117, 5619–5674. [Google Scholar] [CrossRef]
- Bertini, I.; Sigel, A.; Sigel, H. Handbook of Metalloproteins; Bertini, I., Sigel, A., Sigel, H., Eds.; John Wiley & Sons, Ltd.: New York, NY, USA, 2006; Volume 67, ISBN 0-8247-0520-3. [Google Scholar]
- Leblanc, C.; Vilter, H.; Fournier, J.B.; Delage, L.; Potin, P.; Rebuffet, E.; Michel, G.; Solari, P.L.; Feiters, M.C.; Czjzek, M. Vanadium Haloperoxidases: From the Discovery 30 Years Ago to X-ray Crystallographic and V K-Edge Absorption Spectroscopic Studies. Coord. Chem. Rev. 2015, 301–302, 134–146. [Google Scholar] [CrossRef]
- Messerschmidt, A.; Wever, R. X-ray Structure of a Vanadium-Containing Enzyme: Chloroperoxidase from the Fungus Curvularia Inaequalis. Proc. Natl. Acad. Sci. USA 1996, 93, 392–396. [Google Scholar] [CrossRef]
- Fournier, J.-B.; Leblanc, C. Halogenation and Vanadium Haloperoxidases. In Outstanding Marine Molecules; La Barre, S., Kornprobst, J.-M., Eds.; Wiley-VCH Verlag GmbH & Co. KGaA: Weinheim, Germany, 2014; pp. 225–242. ISBN 9783527334650. [Google Scholar]
- Neuwald, A.F. An Unexpected Structural Relationship between Integral Membrane Phosphatases and Soluble Haloperoxidases. Protein Sci. 1997, 6, 1764–1767. [Google Scholar] [CrossRef]
- Renirie, R.; Hemrika, W.; Wever, R. Peroxidase and Phosphatase Activity of Active-Site Mutants of Vanadium Chloroperoxidase from the Fungus Curvularia Inaequalis. Implications for the Catalytic Mechanisms. J. Biol. Chem. 2000, 275, 11650–11657. [Google Scholar] [CrossRef]
- Hasan, Z.; Renirie, R.; Kerkman, R.; Ruijssenaars, H.J.; Hartog, A.F.; Wever, R. Laboratory-Evolved Vanadium Chloroperoxidase Exhibits 100-Fold Higher Halogenating Activity at Alkaline PH: Catalytic Effects from First and Second Coordination Sphere Mutations. J. Biol. Chem. 2006, 281, 9738–9744. [Google Scholar] [CrossRef]
- Fournier, J.B.; Rebuffet, E.; Delage, L.; Grijol, R.; Meslet-Cladière, L.; Rzonca, J.; Potin, P.; Michel, G.; Czjzek, M.; Leblanc, C. The Vanadium Iodoperoxidase from the Marine Flavobacteriaceae Species Zobellia Galactanivorans Reveals Novel Molecular and Evolutionary Features of Halide Specificity in the Vanadium Haloperoxidase Enzyme Family. Appl. Environ. Microbiol. 2014, 80, 7561–7573. [Google Scholar] [CrossRef]
- Butler, A.; Carter-Franklin, J.N. The Role of Vanadium Bromoperoxidase in the Biosynthesis of Halogenated Marine Natural Products. Nat. Prod. Rep. 2004, 21, 180–188. [Google Scholar] [CrossRef]
- Carter-Franklin, J.N.; Butler, A. Vanadium Bromoperoxidase-Catalyzed Biosynthesis of Halogenated Marine Natural Products. J. Am. Chem. Soc. 2004, 126, 15060–15066. [Google Scholar] [CrossRef]
- Bar-Nun, N.; Shcolnick, S.; Mayer, A.M. Presence of a Vanadium-Dependent Haloperoxidase in Botrytis Cinerea. FEMS Microbiol. Lett. 2002, 217, 121–124. [Google Scholar] [CrossRef][Green Version]
- Plat, H.; Krenn, B.E.; Wever, R. The Bromoperoxidase from the Lichen Xanthoria Parietina Is a Novel Vanadium Enzyme. Biochem. J. 1987, 248, 277–279. [Google Scholar] [CrossRef]
- Chen, Z. Recent Development of Biomimetic Halogenation Inspired by Vanadium Dependent Haloperoxidase. Coord. Chem. Rev. 2022, 457, 214404. [Google Scholar] [CrossRef]
- Dong, J.J.; Ferná Ndez-Fueyo, E.; Li, J.; Guo, Z.; Renirie, R.; Wever, R.; Hollmann, F. Halofunctionalization of Alkenes by Vanadium Chloroperoxidase from Curvularia Inaequalis. Chem. Commun. 2017, 53, 6207. [Google Scholar] [CrossRef]
- Naapuri, J.M.; Wagner, P.K.; Hollmann, F.; Deska, J. Enzymatic Bromocyclization of A- and Γ-Allenols by Chloroperoxidase from Curvularia inaequalis. ChemistryOpen 2022, 11, e202100236. [Google Scholar] [CrossRef]
- Fernández-Fueyo, E.; van Wingerden, M.; Renirie, R.; Wever, R.; Ni, Y.; Holtmann, D.; Hollmann, F. Chemoenzymatic Halogenation of Phenols by Using the Haloperoxidase from Curvularia Inaequalis. ChemCatChem 2015, 7, 4035–4038. [Google Scholar] [CrossRef]
- Wiesner, W.; van Pée, K.H.; Lingens, F. Purification and Characterization of a Novel Bacterial Non-Heme Chloroperoxidase from Pseudomonas Pyrrocinia. J. Biol. Chem. 1988, 263, 13725–13732. [Google Scholar] [CrossRef]
- Hofmann, B.; Tölzer, S.; Pelletier, I.; Altenbuchner, J.; van Pée, K.H.; Hecht, H.J. Structural Investigation of the Cofactor-Free Chloroperoxidases. J. Mol. Biol. 1998, 279, 889–900. [Google Scholar] [CrossRef]
- Pelletier, I.; Altenbuchner, J.; Mattes, R. A Catalytic Triad Is Required by the Non-Heme Haloperoxidases to Perform Halogenation. Biochim. Biophys. Acta (BBA)/Protein Struct. Mol. 1995, 1250, 149–157. [Google Scholar] [CrossRef]
- Picard, M.; Gross, J.; Lübbert, E.; Tölzer, S.; Krauss, S.; Van Pée, K.H.; Berkessel, A. Metal-Free Bacterial Haloperoxidases as Unusual Hydrolases: Activation of H2O2 by the Formation of Peracetic Acid. Angew. Chem. Int. Ed. Engl. 1997, 36, 1196–1199. [Google Scholar] [CrossRef]
- Xu, G.; Wang, B.G. Independent Evolution of Six Families of Halogenating Enzymes. PLoS ONE 2016, 11, 1–13. [Google Scholar] [CrossRef]
- Hecht, H.J.; Sobek, H.; Haag, T.; Pfeifer, O.; van Pée, K.-H. The Metal-Ion-Free Oxidoreductase from Streptomyces Aureofaciens Has an α/β Hydrolase Fold. Nat. Struct. Biol. 1994, 1, 532–537. [Google Scholar] [CrossRef]
- Dairi, T.; Nakano, T.; Aisaka, K.; Katsumata, R.; Hasegawa, M. Cloning and Nucleotide Sequence of the Gene Responsible for Chlorination of Tetracycline. Biosci. Biotechnol. Biochem. 1995, 59, 1099–1106. [Google Scholar] [CrossRef]
- Neubauer, P.R.; Widmann, C.; Wibberg, D.; Schröder, L.; Frese, M.; Kottke, T.; Kalinowski, J.; Niemann, H.H.; Sewald, N. A Flavin-Dependent Halogenase from Metagenomic Analysis Prefers Bromination over Chlorination. PLoS ONE 2018, 13, e0196797. [Google Scholar] [CrossRef]
- Latham, J.; Brandenburger, E.; Shepherd, S.A.; Menon, B.R.K.; Micklefield, J. Development of Halogenase Enzymes for Use in Synthesis. Chem. Rev. 2018, 118, 232–269. [Google Scholar] [CrossRef]
- Dong, C.; Flecks, S.; Unversucht, S.; Haupt, C.; Naismith, J.H. The Structure of Tryptophan 7-Halogenase (PrnA) Suggests a Mechanism for Regioselective Chlorination. Science 2005, 309, 2216–2219. [Google Scholar] [CrossRef]
- Yeh, E.; Blasiak, L.C.; Koglin, A.; Drennan, C.L.; Walsh, C.T. Chlorination by a Long-Lived Intermediate in the Mechanism of Flavin-Dependent Halogenases. Biochemistry 2007, 46, 1284–1292. [Google Scholar] [CrossRef]
- Flecks, S.; Patallo, E.P.; Zhu, X.; Ernyei, A.J.; Seifert, G. New Insights into the Mechanism of Enzymatic Chlorination of Tryptophan. Angew. Chem. Int. Ed. Engl. 2008, 47, 9533–9536. [Google Scholar] [CrossRef]
- Miller, K.A.; Figueroa, M.; Valente, M.W.N.; Greshock, T.J.; Mata, R.; Williams, R.M. Calmodulin Inhibitory Activity of the Malbrancheamides and Various Analogs. Bioorg. Med. Chem. Lett. 2008, 18, 6479–6481. [Google Scholar] [CrossRef][Green Version]
- Andorfer, C.; Lewis, J. Understanding and Improving the Activity of Flavin Dependent Halogenases via Random and Targeted Mutagenesis. Annu. Rev. Biochem. 2018, 87, 159–185. [Google Scholar] [CrossRef]
- Eichhorn, E.; Van Der Ploeg, J.R.; Leisinger, T. Characterization of a Two-Component Alkanesulfonate Monooxygenase from Escherichia Coli. J. Biol. Chem. 1999, 274, 26639–26646. [Google Scholar] [CrossRef]
- Yeh, E.; Cole, L.J.; Barr, E.W.; Bollinger, J.M.; Ballou, D.P.; Walsh, C.T. Flavin Redox Chemistry Precedes Substrate Chlorination during the Reaction of the Flavin-Dependent Halogenase RebH. Biochemistry 2006, 45, 7904–7912. [Google Scholar] [CrossRef]
- Tran, P.N.; Yen, M.R.; Chiang, C.Y.; Lin, H.C.; Chen, P.Y. Detecting and Prioritizing Biosynthetic Gene Clusters for Bioactive Compounds in Bacteria and Fungi. Appl. Microbiol. Biotechnol. 2019, 103, 3277–3287. [Google Scholar] [CrossRef]
- Walsh, C.T.; Garneau-Tsodikova, S.; Howard-Jones, A.R. Biological Formation of Pyrroles: Nature’s Logic and Enzymatic Machinery. Nat. Prod. Rep. 2006, 23, 517–531. [Google Scholar] [CrossRef]
- Hohaus, K.; Altmann, A.; Burd, W.; Fischer, I.; Hammer, P.E.; Hill, D.S.; Ligon, J.M.; van Pée, K.-H. NADH-Dependent Halogenases Are More Likely To Be Involved in Halometabolite Biosynthesis Than Haloperoxidases. Angew. Chem. Int. Ed. Engl. 1997, 36, 2012–2013. [Google Scholar] [CrossRef]
- Tola, M.; Kebede, B. Occurrence, Importance and Control of Mycotoxins: A Review. Cogent Food Agric. 2016, 2, 1–12. [Google Scholar] [CrossRef]
- Shinohara, C.; Chikanishi, T.; Nakashima, S.; Hashimoto, A.; Hamanaka, A.; Endo, A.; Hasumi, K. Enhancement of Fibrinolytic Activity of Vascular Endothelial Cells by Chaetoglobosin A, Crinipellin B, Geodin and Triticone B. J. Antibiot. 2000, 53, 262–268. [Google Scholar] [CrossRef]
- Chooi, Y.-H.; Cacho, R.; Tang, Y. Identification of the Viridicatumtoxin and Griseofulvin Gene Clusters from Penicillium Aethiopicum. Chem. Biol. 2010, 17, 483–494. [Google Scholar] [CrossRef]
- Chankhamjon, P.; Tsunematsu, Y.; Ishida-Ito, M.; Sasa, Y.; Meyer, F.; Boettger-Schmidt, D.; Urbansky, B.; Menzel, K.D.; Scherlach, K.; Watanabe, K.; et al. Regioselective Dichlorination of a Non-Activated Aliphatic Carbon Atom and Phenolic Bismethylation by a Multifunctional Fungal Flavoenzyme. Angew. Chem.-Int. Ed. 2016, 55, 11955–11959. [Google Scholar] [CrossRef]
- Gkotsi, D.S.; Dhaliwal, J.; McLachlan, M.M.; Mulholand, K.R.; Goss, R.J. Halogenases: Powerful Tools for Biocatalysis (Mechanisms Applications and Scope). Curr. Opin. Chem. Biol. 2018, 43, 119–126. [Google Scholar] [CrossRef]
- Frese, M.; Sewald, N. Enzymatic Halogenation of Tryptophan on a Gram Scale. Angew. Chem.-Int. Ed. 2015, 54, 298–301. [Google Scholar] [CrossRef]
- Büchler, J.; Papadopoulou, A.; Buller, R. Recent Advances in Flavin-Dependent Halogenase Biocatalysis: Sourcing, Engineering, and Application. Catalysts 2019, 19, 1030. [Google Scholar] [CrossRef]
- Schnepel, C.; Minges, H.; Frese, M.; Sewald, N. A High-Throughput Fluorescence Assay to Determine the Activity of Tryptophan Halogenases. Angew. Chem.-Int. Ed. 2016, 55, 14159–14163. [Google Scholar] [CrossRef]
- Payne, J.T.; Poor, C.B.; Lewis, J.C. Directed Evolution of Rebh for Site-Selective Halogenation of Large Biologically Active Molecules. Angew. Chem.-Int. Ed. 2015, 54, 4226–4230. [Google Scholar] [CrossRef]
- Roy, A.D.; Grüschow, S.; Cairns, N.; Goss, R.J.M. Gene Expression Enabling Synthetic Diversification of Natural Products: Chemogenetic Generation of Pacidamycin Analogs. J. Am. Chem. Soc. 2010, 132, 12243–12245. [Google Scholar] [CrossRef]
- Glenn, W.S.; Nims, E.; O’Connor, S.E. Reengineering a Tryptophan Halogenase to Preferentially Chlorinate a Direct Alkaloid Precursor. J. Am. Chem. Soc. 2011, 133, 19346–19349. [Google Scholar] [CrossRef]
- Fraley, A.E.; Sherman, D.H. Enzyme Evolution in Fungal Indole Alkaloid Biosynthesis. FEBS J. 2020, 287, 1381–1402. [Google Scholar] [CrossRef]
- Hillwig, M.L.; Liu, X. A New Family of Iron-Dependent Halogenases Acts on Freestanding Substrates. Nat. Chem. Biol. 2014, 10, 921–923. [Google Scholar] [CrossRef]
- Matthews, M.; Krest, C.; Barr, E.; Vaillancourt, F.; Walsh, C.; Green, M.; Krebs, C.; Bollinger, J. Substrate-Triggered Formation and Remarkable Stability of the CH-Cleaving Chloroferryl Intermediate in the Aliphatic Halogenase, SyrB2. Biochemistry 2009, 48, 4331–4343. [Google Scholar] [CrossRef]
- Zhang, X.; Wang, Z.; Gao, J.; Liu, W. Chlorination versus Hydroxylation Selectivity Mediated by the Non-Heme Iron Halogenase WelO5. Phys. Chem. Chem. Phys. 2020, 22, 8699–8712. [Google Scholar] [CrossRef]
- Vaillancourt, F.H.; Yin, J.; Walsh, C.T. From The Cover: SyrB2 in Syringomycin E Biosynthesis Is a Nonheme FeII -Ketoglutarate- and O2-Dependent Halogenase. Proc. Natl. Acad. Sci. USA 2005, 102, 10111–10116. [Google Scholar] [CrossRef]
- Jiang, W.; Heemstra, J.R.; Forseth, R.R.; Neumann, C.S.; Manaviazar, S.; Schroeder, F.C.; Hale, K.J.; Walsh, C.T. Biosynthetic Chlorination of the Piperazate Residue in Kutzneride Biosynthesis by KthP. Biochemistry 2011, 50, 6063–6072. [Google Scholar] [CrossRef]
- Rhew, R.C.; Østergaard, L.; Saltzman, E.S.; Yanofsky, M.F. Genetic Control of Methyl Halide Production in Arabidopsis. Curr. Biol. 2003, 13, 1809–1813. [Google Scholar] [CrossRef]
- Watling, R.; Harper, D.B. Chloromethane Production by Wood-Rotting Fungi and an Estimate of the Global Flux to the Atmosphere. Mycol. Res. 1998, 102, 769–787. [Google Scholar] [CrossRef]
- McKinnie, S.M.K.; Miles, Z.D.; Jordan, P.A.; Awakawa, T.; Pepper, H.P.; Murray, L.A.M.; George, J.H.; Moore, B.S. Total Enzyme Syntheses of Napyradiomycins A1 and B1. J. Am. Chem. Soc. 2018, 140, 17840–17845. [Google Scholar] [CrossRef]
- Kaysser, L.; Bernhardt, P.; Nam, S.-J.; Loesgen, S.; Ruby, J.G.; Skewes-Cox, P.; Jensen, P.R.; Fenical, W.; Moore, B.S. Merochlorins A–D, Cyclic Meroterpenoid Antibiotics Biosynthesized in Divergent Pathways with Vanadium-Dependent Chloroperoxidases. J. Am. Chem. Soc. 2012, 134, 11988–11991. [Google Scholar] [CrossRef]
- Murphy, C.D.; Schaffrath, C.; O’Hagan, D. Fluorinated Natural Products: The Biosynthesis of Fluoroacetate and 4-Fluorothreonine in Streptomyces Cattleya. Chemosphere 2003, 52, 455–461. [Google Scholar] [CrossRef]
- Sander, T.; Freyss, J.; Von Korff, M.; Rufener, C. DataWarrior: An Open-Source Program for Chemistry Aware Data Visualization and Analysis. J. Chem. Inf. Model. 2015, 55, 460–473. [Google Scholar] [CrossRef]
- Djoumbou Feunang, Y.; Eisner, R.; Knox, C.; Chepelev, L.; Hastings, J.; Owen, G.; Fahy, E.; Steinbeck, C.; Subramanian, S.; Bolton, E.; et al. ClassyFire: Automated Chemical Classification with a Comprehensive, Computable Taxonomy. J. Cheminform. 2016, 8, 1–20. [Google Scholar] [CrossRef]
- Arai, M.; Yamamoto, K.; Namatame, I.; Tomoda, H.; Omura, S. New Monordens Produced by Amidepsine-Producing Fungus Humicola Sp. FO-2942. J. Antibiot. 2003, 56, 526–532. [Google Scholar] [CrossRef]
- Shigemori, H.; Tanabe, Y.; Matsumoto, T.; Hosoya, T.; Sato, H. Palmaerins A-D, New Chlorinated and Brominated Dihydroisocoumarins with Antimicrobial and Plant Growth Regulating Activities from Discomycete Lachnum Palmae. HETEROCYCLES 2013, 87, 1481. [Google Scholar] [CrossRef]
- Li, H.; Liao, Z.-B.; Tang, D.; Han, W.-B.; Zhang, Q.; Gao, J.-M. Polyketides from Two Chaetomium Species and Their Biological Functions. J. Antibiot. 2018, 71, 677–681. [Google Scholar] [CrossRef]
- Krohn, K.; Bahramsari, R.; Flörke, U.; Ludewig, K.; Kliche-Spory, C.; Michel, A.; Aust, H.-J.; Draeger, S.; Schulz, B.; Antus, S. Dihydroisocoumarins from Fungi: Isolation, Structure Elucidation, Circular Dichroism and Biological Activity. Phytochemistry 1997, 45, 313–320. [Google Scholar] [CrossRef]
- Ogawa, T.; Ando, K.; Aotani, Y.; Shinoda, K.; Tanaka, T.; Tsukuda, E.; Yoshida, M.; Matsuda, Y. RES-1214-1 and-2, Novel Non-Peptidic Endothelin Type A Receptor Antagonists Produced by Pestalotiopsis Sp. J. Antibiot. 1995, 48, 1401–1406. [Google Scholar] [CrossRef][Green Version]
- Millot, M.; Tomasi, S.; Studzinska, E.; Rouaud, I.; Boustie, J. Cytotoxic Constituents of the Lichen Diploicia Canescens. J. Nat. Prod. 2009, 72, 2177–2180. [Google Scholar] [CrossRef]
- Wang, J.-F.; Zhou, L.-M.; Chen, S.-T.; Yang, B.; Liao, S.-R.; Kong, F.-D.; Lin, X.-P.; Wang, F.-Z.; Zhou, X.-F.; Liu, Y.-H. New Chlorinated Diphenyl Ethers and Xanthones from a Deep-Sea-Derived Fungus Penicillium Chrysogenum SCSIO 41001. Fitoterapia 2018, 125, 49–54. [Google Scholar] [CrossRef]
- Rukachaisirikul, V.; Satpradit, S.; Klaiklay, S.; Phongpaichit, S.; Borwornwiriyapan, K.; Sakayaroj, J. Polyketide Anthraquinone, Diphenyl Ether, and Xanthone Derivatives from the Soil Fungus Penicillium Sp. PSU-RSPG99. Tetrahedron 2014, 70, 5148–5152. [Google Scholar] [CrossRef]
- Bunbamrung, N.; Intaraudom, C.; Dramae, A.; Boonyuen, N.; Chanthaket, R.; Rachtawee, P.; Pittayakhajonwut, P. Antagonistic Metabolites Produced by the Fungus Curvularia Sp. BCC52426 against Aspergillus Sp. BCC51998. Phytochem. Lett. 2018, 26, 33–37. [Google Scholar] [CrossRef]
- Yao, Q.; Wang, J.; Zhang, X.; Nong, X.; Xu, X.; Qi, S. Cytotoxic Polyketides from the Deep-Sea-Derived Fungus Engyodontium Album DFFSCS021. Mar. Drugs 2014, 12, 5902–5915. [Google Scholar] [CrossRef]
- Niu, S.; Liu, D.; Hu, X.; Proksch, P.; Shao, Z.; Lin, W. Spiromastixones A–O, Antibacterial Chlorodepsidones from a Deep-Sea-Derived Spiromastix Sp. Fungus. J. Nat. Prod. 2014, 77, 1021–1030. [Google Scholar] [CrossRef]
- Morshed, M.T.; Vuong, D.; Crombie, A.; Lacey, A.E.; Karuso, P.; Lacey, E.; Piggott, A.M. Expanding Antibiotic Chemical Space around the Nidulin Pharmacophore. Org. Biomol. Chem. 2018, 16, 3038–3051. [Google Scholar] [CrossRef]
- Chen, W.; Chen, R.; Liu, Q.; He, Y.; He, K.; Ding, X.; Kang, L.; Guo, X.; Xie, N.; Zhou, Y.; et al. Orange, Red, Yellow: Biosynthesis of Azaphilone Pigments in Monascus Fungi. Chem. Sci. 2017, 8, 4917–4925. [Google Scholar] [CrossRef]
- Sato, M.; Winter, J.M.; Kishimoto, S.; Noguchi, H.; Tang, Y.; Watanabe, K. Combinatorial Generation of Chemical Diversity by Redox Enzymes in Chaetoviridin Biosynthesis. Org. Lett. 2016, 18, 1446–1449. [Google Scholar] [CrossRef] [PubMed]
- Chen, C.; Tao, H.; Chen, W.; Yang, B.; Zhou, X.; Luo, X.; Liu, Y. Recent Advances in the Chemistry and Biology of Azaphilones. RSC Adv. 2020, 10, 10197–10220. [Google Scholar] [CrossRef] [PubMed]
- McMurry, J. Organic Chemistry, 8th ed.; Brooks, C., Ed.; Brooks/Cole Cengage Learning: Florence, KY, USA, 2012; ISBN 9780840054449. [Google Scholar]
- Kim, K.M.; Park, I.H. A Convenient Halogenation of α,β-Unsaturated Carbonyl Compounds with OXONE® and Hydrohalic Acid (HBr, HCl). Synthesis 2004, 2641–2644. [Google Scholar] [CrossRef]
- Mukhopadhyay, T.; Bhat, R.G.; Roy, K.; Vijayakumar, E.K.S.; Ganguli, B.N. Aranochlor A and Aranochlor B, Two New Metabolites from Pseudoarachniotus Roseus: Production, Isolation, Structure Elucidation and Biological Properties. J. Antibiot. 1998, 51, 439–441. [Google Scholar] [CrossRef][Green Version]
- Amagata, T.; Tanaka, M.; Yamada, T.; Minoura, K.; Numata, A. Gymnastatins and Dankastatins, Growth Inhibitory Metabolites of a Gymnascella Species from a Halichondria Sponge. J. Nat. Prod. 2008, 71, 340–345. [Google Scholar] [CrossRef]
- Konaklieva, M.I.; Dahl, M.L.; Turos, E. Halogenation Reactions of Epoxides. Tetrahedron Lett. 1992, 33, 7093–7096. [Google Scholar] [CrossRef]
- Engler, M.; Anke, T.; Sterner, O.; Brandt, U. Pterulinic Acid and Pterulone, Two Novel Inhibitors of NADH: Ubiquinone Oxidoreductase (Complex I) Produced by a Pterula Species. I. Production, Isolation and Biological Activities. J. Antibiot. 1997, 50, 325–329. [Google Scholar] [CrossRef]
- Kornsakulkarn, J.; Thongpanchang, C.; Chainoy, R.; Choowong, W.; Nithithanasilp, S.; Thongpanchang, T. Bioactive Metabolites from Cultures of Basidiomycete Favolaschia Tonkinensis. J. Nat. Prod. 2010, 73, 759–762. [Google Scholar] [CrossRef]
- Lemaire, P.; Balme, G.; Desbordes, P.; Vors, J.P. Efficient Syntheses of Pterulone, Pterulone B and Related Analogues. Org. Biomol. Chem. 2003, 1, 4209–4219. [Google Scholar] [CrossRef]
- Almeida, C.; Pérez-Victoria, I.; González-Menéndez, V.; de Pedro, N.; Martín, J.; Crespo, G.; Mackenzie, T.; Cautain, B.; Reyes, F.; Vicente, F.; et al. Non-Geminal Aliphatic Dihalogenation Pattern in Dichlorinated Diaporthins from Hamigera Fusca NRRL 35721. J. Nat. Prod. 2018, 81, 1488–1492. [Google Scholar] [CrossRef]
- Cai, R.; Wu, Y.; Chen, S.; Cui, H.; Liu, Z.; Li, C.; She, Z. Peniisocoumarins A–J: Isocoumarins from Penicillium Commune QQF-3, an Endophytic Fungus of the Mangrove Plant Kandelia Candel. J. Nat. Prod. 2018, 81, 1376–1383. [Google Scholar] [CrossRef] [PubMed]
- Bonini, C.; Righi, G. Regio- and Chemoselective Synthesis of Halohydrins by Cleavage of Oxiranes with Metal Halides. Synthesis 1994, 1994, 225–238. [Google Scholar] [CrossRef]
- Stewart, C.A.; VanderWerf, C.A. Reaction of Propylene Oxide with Hydrogen Halides. J. Am. Chem. Soc. 1954, 76, 1259–1264. [Google Scholar] [CrossRef]
- Schafhauser, T.; Kirchner, N.; Kulik, A.; Huijbers, M.M.E.; Flor, L.; Caradec, T.; Fewer, D.P.; Gross, H.; Jacques, P.; Jahn, L.; et al. The Cyclochlorotine Mycotoxin Is Produced by the Nonribosomal Peptide Synthetase CctN in Talaromyces Islandicus (‘Penicillium Islandicum’). Environ. Microbiol. 2016, 18, 3728–3741. [Google Scholar] [CrossRef]
- Jiang, Y.; Ozaki, T.; Liu, C.; Igarashi, Y.; Ye, Y.; Tang, S.; Ye, T.; Maruyama, J.; Minami, A.; Oikawa, H. Biosynthesis of Cyclochlorotine: Identification of the Genes Involved in Oxidative Transformations and Intramolecular O,N-Transacylation. Org. Lett. 2021, 23, 2616–2620. [Google Scholar] [CrossRef]
- Kropp, P.J.; Daus, K.A.; Crawford, S.D.; Tubergen, M.W.; Kepler, K.D.; Craig, S.L.; Wilson, V.P. Surface-Mediated Reactions. 1. Hydrohalogenation of Alkenes and Alkynes. J. Am. Chem. Soc. 1990, 112, 7433–7434. [Google Scholar] [CrossRef]
- Wang, W.-X.; Cheng, G.-G.; Li, Z.-H.; Ai, H.-L.; He, J.; Li, J.; Feng, T.; Liu, J.-K. Curtachalasins, Immunosuppressive Agents from the Endophytic Fungus Xylaria Cf. Curta. Org. Biomol. Chem. 2019, 17, 7985–7994. [Google Scholar] [CrossRef]
- Wang, W.-X.; Lei, X.; Yang, Y.-L.; Li, Z.-H.; Ai, H.-L.; Li, J.; Feng, T.; Liu, J.-K. Xylarichalasin A, a Halogenated Hexacyclic Cytochalasan from the Fungus Xylaria Cf. Curta. Org. Lett. 2019, 21, 6957–6960. [Google Scholar] [CrossRef]
- Hemberger, Y.; Xu, J.; Wray, V.; Proksch, P.; Wu, J.; Bringmann, G. Pestalotiopens A and B: Stereochemically Challenging Flexible Sesquiterpene-Cyclopaldic Acid Hybrids from Pestalotiopsis Sp. Chem.-A Eur. J. 2013, 19, 15556–15564. [Google Scholar] [CrossRef]
- Wolpert, T.J.; Macko, V.; Acklin, W.; Jaun, B.; Arigoni, D. Structure of Minor Host-Selective Toxins From Cochliobolus victoriae. Experientia 1986, 42, 1296–1299. [Google Scholar] [CrossRef]
- Ngokpol, S.; Suwakulsiri, W.; Sureram, S.; Lirdprapamongkol, K.; Aree, T.; Wiyakrutta, S.; Mahidol, C.; Ruchirawat, S.; Kittakoop, P. Drimane Sesquiterpene-Conjugated Amino Acids from a Marine Isolate of the Fungus Talaromyces minioluteus (Penicillium minioluteum). Mar. Drugs 2015, 13, 3567–3580. [Google Scholar] [CrossRef] [PubMed]
- Kessler, S.C.; Zhang, X.; McDonald, M.C.; Gilchrist, C.L.M.; Lin, Z.; Rightmyer, A.; Solomon, P.S.; Turgeon, B.G.; Chooi, Y.-H. Victorin, the Host-Selective Cyclic Peptide Toxin from the Oat Pathogen Cochliobolus Victoriae, Is Ribosomally Encoded. Proc. Natl. Acad. Sci. USA 2020, 117, 24243–24250. [Google Scholar] [CrossRef] [PubMed]
- Flatt, P.M.; O’Connell, S.J.; McPhail, K.L.; Zeller, G.; Willis, C.L.; Sherman, D.H.; Gerwick, W.H. Characterization of the Initial Enzymatic Steps of Barbamide Biosynthesis. J. Nat. Prod. 2006, 69, 938–944. [Google Scholar] [CrossRef] [PubMed]























), chlorine and bromine (◇), chlorine and iodine (▽), and bromine and iodine (□). Structures for which a halogenating enzyme was described as being involved in their biosynthesis appeared as colored: in green for hybrid enzyme, in blue for flavin-dependent halogenases (FDH), and in red for haloperoxidases (HPO). Finally, the type of halogen bond for each molecule is represented by a halo surrounding the marker, which is blue for haloarenes, turquoise for haloalkenes, red for haloalkanes, and green for haloalkynes. Classification of the structures according to their halogen bonds was performed using the classyfireR package on R Cran [147] and the Chebi descriptors. Black and numerated circles (1 to 10) correspond to studied and detailed clusters in the present review.
), chlorine and bromine (◇), chlorine and iodine (▽), and bromine and iodine (□). Structures for which a halogenating enzyme was described as being involved in their biosynthesis appeared as colored: in green for hybrid enzyme, in blue for flavin-dependent halogenases (FDH), and in red for haloperoxidases (HPO). Finally, the type of halogen bond for each molecule is represented by a halo surrounding the marker, which is blue for haloarenes, turquoise for haloalkenes, red for haloalkanes, and green for haloalkynes. Classification of the structures according to their halogen bonds was performed using the classyfireR package on R Cran [147] and the Chebi descriptors. Black and numerated circles (1 to 10) correspond to studied and detailed clusters in the present review.









| Enzyme Class | Entry * | Protein Names | Organism | Strain | Ref. |
|---|---|---|---|---|---|
| Heme-dependent haloperoxidase (EC 1.11.1.10) | P04963 | Chloroperoxidase CPO | Leptoxyphium fumago (Caldariomyces fumago) | [27] | |
| Vanadium-dependent haloperoxidases (EC 1.11.1.10) | P49053 | Vanadium chloroperoxidase vCPO | Curvularia inaequalis | [28] | |
| P79087 (unreviewed) | Vanadium chloroperoxidase EdCPO | Alternaria didymospora (Embellisia didymospora) | [29] | ||
| Flavin-dependent halogenases (EC 1.14.14.-) | L0E155 | Flavin-dependent halogenase malA | Malbranchea aurantiaca | [30] | |
| B3FWT7 | Non-heme halogenase rdc2 | Metacordyceps chlamydosporia (Pochonia chlamydosporia) | [31] | ||
| C5H881 | Non-heme halogenase radH | Floropilus chiversii (Chaetomium chiversii) | [32] | ||
| A0A1R3RGJ2 | Ochratoxin halogenase OTAhal | Aspergillus carbonarius | ITEM 5010 | [33] | |
| A2R6G7 | Ochratoxin halogenase ota5 | Aspergillus niger | CBS 513.88/FGSC A1513 | [34] | |
| A0A067XMV4 | Flavin-dependent halogenase ptaM | Pestalotiopsis fici | W106-1/CGMCC3.15140 | [35] | |
| Q0CCX4 | Sulochrin halogenase GedL | Aspergillus terreus | NIH 2624/FGSC A1156 | [36] | |
| D7PI14 | Halogenase gsfI | Penicillium aethiopicum | [37] | ||
| Q2UPC7 | Flavine halogenase aclH | Aspergillus oryzae | ATCC 42,149/RIB 40 | [38] | |
| A0A455R7M0 | Flavine halogenase ascD | Acremonium egyptiacum (Oospora egyptiaca) | [39] | ||
| G3FLZ7 | Flavin-dependent halogenase armH1 | Armillaria mellea | [40] | ||
| G3FLZ8 | Flavin-dependent halogenase armH2 | Armillaria mellea | [40] | ||
| A0A0U2JT80 | Flavin-dependent halogenase armH3 | Armillaria mellea | [40] | ||
| A0A0U3AL34 | Flavin-dependent halogenase armH4 | Armillaria mellea | [40] | ||
| A0A0U3C228 | Flavin-dependent halogenase armH5 | Armillaria mellea | [40] | ||
| N/A ** | Flavin-dependent halogenase chmK | Helminthosporium velutinum | yone96 | [41] | |
| N/A ** | Flavin-dependent halogenase chmN | Helminthosporium velutinum | yone96 | [41] | |
| N/A ** | Flavin-dependent halogenase ploK | Lachnum palmae | NBRC 106495 | [41] | |
| N/A ** | Flavin-dependent halogenase ploN | Lachnum palmae | NBRC 106495 | [41] | |
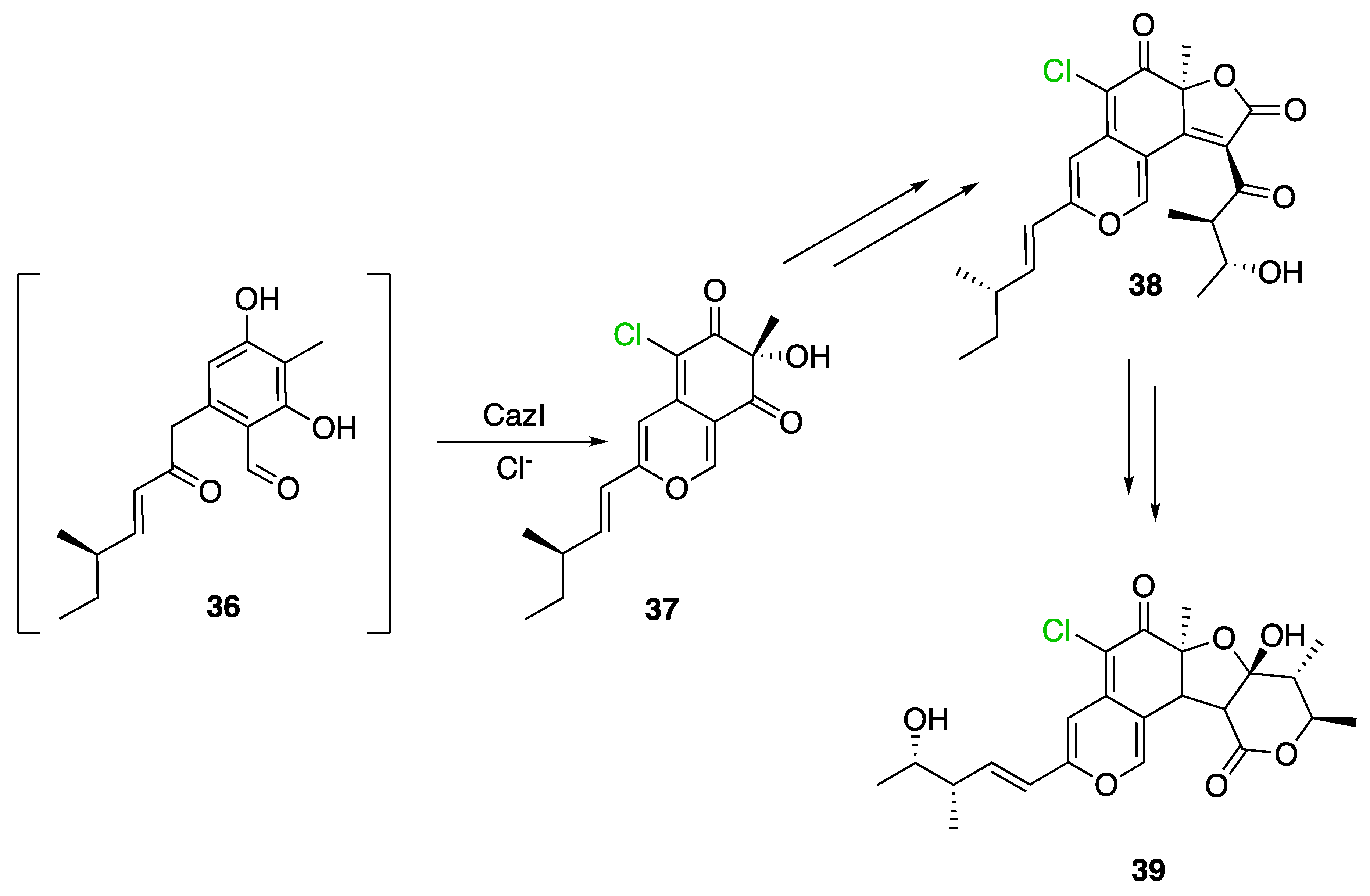
| N/A ** | Flavin-dependent halogenase CazI | Chaetomium globosum | [42] |
| Reaction | Substrate | Enzyme and Reagents | Product | Refs. |
|---|---|---|---|---|
| Sulfoxidation | ![]() | rCfuCPO + H2O2 | ![]() | [59] |
| Epoxidation | ![]() | rCfuCPO + H2O2 | ![]() | [59] |
| Halohydroxylation of alkene | ![]() | nCfuCPO or rCivCPO + H2O2 + X− | ![]() | [60] |
| Halogenation of phenol | ![]() | nvHPO or rhHPO + H2O2 + X− | ![]() | [61] |
| Oxidation of indole | ![]() | nCfuCPO + H2O2 | ![]() | [62] |
| Oxidation of pyrrole | ![]() | nCfuCPO + H2O2 | ![]() | [62] |
| Achmatowicz reaction | ![]() | rvHPO or rhHPO + H2O2 + X− | ![]() | [63,64] |
| Flavone and flavanone halogenation | ![]() | nCfuCPO + H2O2 + X− | ![]() | [65] |
| Halogenation of barbituric acid and derivatives | ![]() | nCfuCPO + H2O2 + X− | ![]() | [66] |
| Halohydroxylation of alkyne | ![]() | nCfuCPO + H2O2 + X− | ![]() | [67] |
| Halogenation and opening of cyclopropane | ![]() | nCfuCPO + H2O2 + X− | ![]() | [67] |
| Halogenation of aromatic compound | ![]() | nCfuCPO + H2O2 + Cl− | ![]() | [68] |
| Halolactonization of unsaturated carboxylic acid | ![]() | rCivCPO + H2O2 + X− | ![]() | [69] |
| Haloetherification of alkenol | ![]() | rCivCPO + H2O2 + X− | ![]() | [69] |
| Reaction | Substrate | Enzyme and Reagents | Product | Ref. |
|---|---|---|---|---|
| Halogenation of dihydro-resorcylide | ![]() | rRdc2 + O2 FADH2 + X− | ![]() | [70] |
| Halogenation of zearalenone | ![]() | rRdc2 + O2 + FADH2 + X− | ![]() | [70] |
| Halogenation of curvularin | ![]() | rRdc2 + O2 + FADH2 + X− | ![]() | [70] |
| Halogenation of curcumin | ![]() | rRdc2 + O2 + FADH2 + X− | ![]() | [70] |
| Chlorination of 4-hydroxyisoquinoline | ![]() | rRdc2 + O2 + FADH2 + Cl− | ![]() | [71] |
| Chlorination of 6-hydroxyisoquinoline | ![]() | rRadH/rRdc2 + O2 + FADH2 + Cl− | ![]() | [71] |
Publisher’s Note: MDPI stays neutral with regard to jurisdictional claims in published maps and institutional affiliations. |
© 2022 by the authors. Licensee MDPI, Basel, Switzerland. This article is an open access article distributed under the terms and conditions of the Creative Commons Attribution (CC BY) license (https://creativecommons.org/licenses/by/4.0/).
Share and Cite
Cochereau, B.; Meslet-Cladière, L.; Pouchus, Y.F.; Grovel, O.; Roullier, C. Halogenation in Fungi: What Do We Know and What Remains to Be Discovered? Molecules 2022, 27, 3157. https://doi.org/10.3390/molecules27103157
Cochereau B, Meslet-Cladière L, Pouchus YF, Grovel O, Roullier C. Halogenation in Fungi: What Do We Know and What Remains to Be Discovered? Molecules. 2022; 27(10):3157. https://doi.org/10.3390/molecules27103157
Chicago/Turabian StyleCochereau, Bastien, Laurence Meslet-Cladière, Yves François Pouchus, Olivier Grovel, and Catherine Roullier. 2022. "Halogenation in Fungi: What Do We Know and What Remains to Be Discovered?" Molecules 27, no. 10: 3157. https://doi.org/10.3390/molecules27103157
APA StyleCochereau, B., Meslet-Cladière, L., Pouchus, Y. F., Grovel, O., & Roullier, C. (2022). Halogenation in Fungi: What Do We Know and What Remains to Be Discovered? Molecules, 27(10), 3157. https://doi.org/10.3390/molecules27103157









































