3,4-Seco-Isopimarane Diterpenes from the Twigs and Leaves of Isodon Flavidus
Abstract
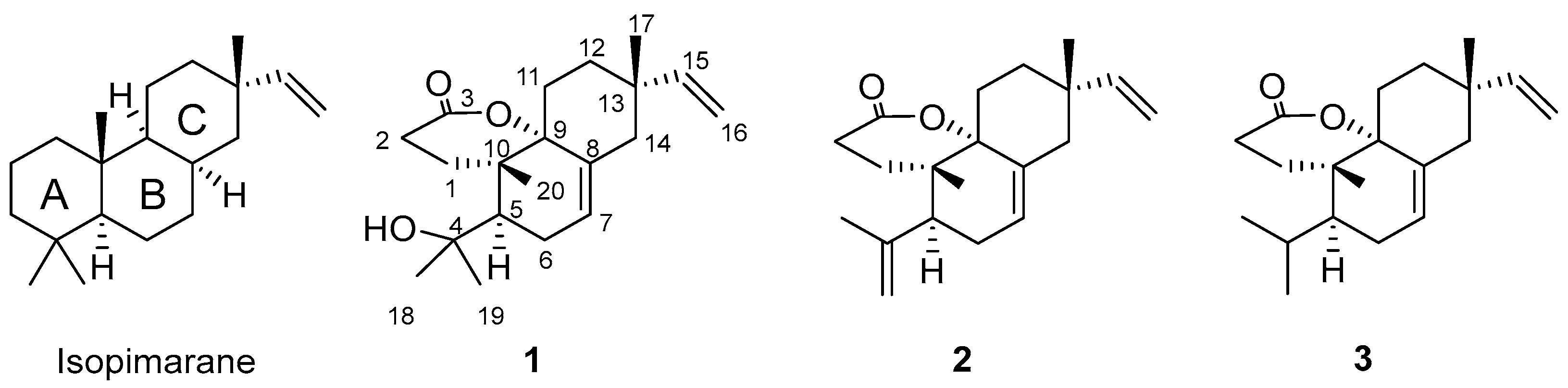
:1. Introduction
2. Results
2.1. Chemistry and Structure Elucidation
2.2. X-ray Crystallographic Analysis
2.3. Plausible Biogenetic Pathway of Fladins B–D (1–3)
2.4. Bioactivity Evaluation of Fladins B–D (1–3)
3. Discussion
4. Materials and Methods
4.1. General Experimental Procedures
4.2. Plant Materials
4.3. Extraction and Isolation
4.3.1. Fladin B (1)
4.3.2. Fladin C (2)
4.3.3. Fladin D (3)
4.4. Single Crystal X-ray Data of Fladin B (1)
4.5. Bioactivity Evaluation
5. Conclusions
Supplementary Materials
Author Contributions
Funding
Institutional Review Board Statement
Informed Consent Statement
Data Availability Statement
Acknowledgments
Conflicts of Interest
Sample Availability
References
- Newman, D.J.; Cragg, G.M. Natural Products as Sources of New Drugs over the Nearly Four Decades from 01/1981 to 09/2019. J. Nat. Prod. 2020, 83, 770–803. [Google Scholar] [CrossRef] [PubMed]
- Jian, B.; Zhang, H.; Liu, J. Structural Diversity and Biological Activities of Diterpenoids Derived from Euphorbia fischeriana Steud. Molecules 2018, 23, 935. [Google Scholar] [CrossRef] [PubMed] [Green Version]
- Hanson, J.R. Diterpenoids. Nat. Prod. Rep. 2007, 24, 1332–1341. [Google Scholar] [CrossRef] [PubMed]
- Ding, J.H.; Li, Z.H.; Feng, T.; Liu, J.K. A New Isopimarane diterpenoid from cultures of Inonotus sinensis. Chem. Nat. Compd. 2020, 56, 458–460. [Google Scholar] [CrossRef]
- Rozimamat, R.; Hu, R.; Aisa, H.A. New isopimarane diterpenes and nortriterpene with cytotoxic activity from Ephorbia alatavica Boiss. Fitoterapia 2018, 127, 328–333. [Google Scholar] [CrossRef]
- Win, N.N.; Ito, T.; Aimaiti, S.; Kodama, T.; Imagawa, H.; Ngwe, H.; Abe, I.; Morita, H. Kaempulchraols I-O: New isopimarane diterpenoids from Kaempferia pulchra rhizomes collected in Myanmar and their antiproliferative activity. Tetrahedron 2015, 71, 4707–4713. [Google Scholar] [CrossRef] [Green Version]
- Isca, V.M.S.; Andrade, J.; Fernandes, A.S.; Paixão, P.; Uriel, C.; Gómez, A.M.; Duarte, N.; Rijo, P. In vitro antimicrobial activity of isopimarane-type diterpenoids. Molecules 2020, 25, 4250. [Google Scholar] [CrossRef]
- Chokchaisiri, R.; Chaichompoo, W.; Chunglok, W.; Cheenpracha, S.; Ganranoo, L.; Phutthawong, N.; Bureekaew, S.; Suksamrarn, A. Isopimarane diterpenoids from the rhizomes of Kaempferia marginata and their potential anti-inflammatory activities. J. Nat. Prod. 2020, 83, 14–19. [Google Scholar] [CrossRef]
- Huang, H.; Tang, C.P.; Ke, C.Q.; Shu, R.G.; Ye, Y. 3,4-seco-Isopimarane and 3, 4-seco-pimarane diterpenoids from Callicarpa nudiflora. Chin. J. Nat. Med. 2021, 19, 632–640. [Google Scholar] [CrossRef]
- Li, J.X.; Li, Q.J.; Guan, Y.F.; Song, X.; Liu, Y.H.; Zhang, J.J.; Li, W.F.; Du, J.; Zhu, M.; Banas, J.A.; et al. Discovery of antifungal constituents from the Miao medicinal plant Isodon flavidus. J. Ethnopharmacol. 2016, 191, 372–378. [Google Scholar] [CrossRef] [Green Version]
- Sun, H.D.; Xu, Y.L.; Jiang, B. Diterpenoids from Isodon Species; Science Press: Beijing, China, 2001. [Google Scholar]
- Sun, H.D.; Huang, S.X.; Han, Q.B. Diterpenoids from Isodon species and their biological activities. Nat. Prod. Rep. 2006, 23, 673–698. [Google Scholar] [CrossRef] [PubMed]
- Dai, L.P.; Li, C.; Yang, H.Z.; Lu, Y.Q.; Yu, H.Y.; Gao, H.M.; Wang, Z.M. Three new cytotoxic ent-kaurane diterpenes from Isodon excisoides. Molecules 2015, 20, 17544–17556. [Google Scholar] [CrossRef] [PubMed] [Green Version]
- Huang, S.X.; Xiao, W.L.; Li, L.M.; Li, S.H.; Zhou, Y.; Ding, L.S.; Lou, L.G.; Sun, H.D. Bisrubescensins A-C: Three new dimeric ent-kauranoids isolated from Isodon rubescens. Org. Lett. 2006, 8, 1157–1160. [Google Scholar] [CrossRef] [PubMed]
- Zhao, Q.S.; Tian, J.; Yue, J.M.; Chen, S.N.; Lin, Z.W.; Sun, H.D. Diterpenoids from Isodon flavidus. Phytochemistry 1998, 48, 1025–1029. [Google Scholar] [CrossRef]
- Zou, J.; Pan, L.T.; Li, Q.J.; Zhao, J.H.; Pu, J.X.; Yao, P.; Gong, N.; Lu, Y.; Kondratyuk, T.P.; Pezzuto, J.M.; et al. Rubesanolides A and B: Diterpenoids from Isodon rubescens. Org. Lett. 2011, 13, 1406–1409. [Google Scholar] [CrossRef] [Green Version]
- Zou, J.; Pan, L.T.; Li, Q.J.; Pu, J.X.; Yao, P.; Zhu, M.; Banas, J.A.; Zhang, H.J.; Sun, H.D. Rubesanolides C-E: Abietane diterpenoids isolated from Isodon rubescens and evaluation of their anti-biofilm activity. Org. Biomol. Chem. 2012, 10, 5039–5044. [Google Scholar] [CrossRef] [Green Version]
- Wang, Z.; Xu, F.; Dong, H.; Node, M.; Fuji, K. The chemical structure of lophanic acid. Nat. Prod. Res. Dev. 1995, 4, 24–28. [Google Scholar]
- Zhao, M.Z.; Li, J.Q.; Zhang, Y.; Zhang, X.J.; Jiang, B. Study on chemical constituents from rhizome of Rabdosia flavida. J. Chin. Med. Mater. 2014, 37, 1193–1196. [Google Scholar]
- Li, J.Q.; Zhao, M.Z.; Zhang, Y.; Zhang, X.J.; Cheng, X.; Jiang, B. Chemical constituents from underground part of Isodon flavida. Chin. J. Exp. Tradit. Med. Formulae 2014, 24, 114–117. [Google Scholar]
- CCDC1033449 (1) Contains the Supplementary Crystallographic Data for This Paper. These Data Can Be Obtained Free of Charge from the Cambridge Crystallographic Data Centre. Available online: www.ccdc.cam.ac.uk/data_request/cif (accessed on 10 November 2014).
- The Editorial Committee of Flora of Guizhou. Flora of Guizhou (Guizhou Zhiwu Zhi); Guizhou People Press: Guiyang, China, 1986. [Google Scholar]
- Flack, H.D. On enantiomorph--polarity estimation. Acta Crystallogr. Sect. A 1983, A39, 876–881. [Google Scholar] [CrossRef]
- Flack, H.D.; Bernardinelli, G. The use of X-ray crystallography to determine absolute configuration. Chirality 2008, 20, 681–690. [Google Scholar] [CrossRef] [PubMed]
- Kim, C.S.; Choi, S.U.; Lee, K.R. Three new diterpenoids from the leaves of Thuja orientalis. Planta Med. 2012, 78, 485–487. [Google Scholar] [CrossRef] [PubMed] [Green Version]
- Zhao, J.; Zhu, H.J.; Zhou, X.J.; Yang, T.H.; Wang, Y.Y.; Su, J.; Li, Y.; Cheng, Y.X. Diterpenoids from the feces of Trogopterus xanthipes. J. Nat. Prod. 2010, 73, 865–869. [Google Scholar] [CrossRef] [PubMed]
- Jutiviboonsuk, A.; Zhang, H.J.; Tan, G.T.; Ma, C.; Hung, N.V.; Cuong, N.M.; Bunyapraphatsara, N.; Soejarto, D.D.; Fong, H.H.S. Bioactive constituents from roots of Bursera tonkinensis. Phytochemistry 2005, 66, 2745–2751. [Google Scholar] [CrossRef] [PubMed]
- Xu, X.Y.; Tsang, S.W.; Guan, Y.F.; Liu, K.L.; Pan, W.H.; Lam, C.S.; Lee, K.M.; Xia, Y.X.; Xie, W.J.; Wong, W.Y.; et al. The in vitro and in vivo antitumor effects of plant-derived miliusanes and their induction of cellular senescence. J. Med. Chem. 2019, 62, 1541–1561. [Google Scholar] [CrossRef]
- Wong-Deyrup, S.W.; Song, X.; Ng, T.W.; Liu, X.B.; Zeng, J.G.; Qing, Z.X.; Deyrup, S.T.; He, Z.D.; Zhang, H.J. Plant-derived isoquinoline alkaloids that target ergosterol biosynthesis discovered by using a novel antifungal screening tool. Biomed. Pharmacother. 2021, 137, 111348. [Google Scholar] [CrossRef]
- Yang, H.C.; Mikami, Y.; Yazawa, K.; Taguchi, H.; Nishimura, K.; Miyaji, M.; Branchini, M.L.M.; Aoki, F.H.; Yamamoto, K. Colorimetric MTT assessment of antifungal activity of D0870 against fluconazole-resistant Candida albicans: Kolorimetrischer MTT-Test zum Nachweis antimyzetischer Aktivität von D0870 gegen Fluconazol-resistente Candida albicans-Stämme. Mycoses 2008, 41, 477–480. [Google Scholar] [CrossRef]
- M38-A2; Reference Method For Broth Dilution Antifungal Susceptibility Testing of Filamentous Fungi. Approved Standard-Second Edition; Clinical and Laboratory Standards Institute: Malvern, PA, USA, 2008.
- Zhang, H.J.; Rumschlag-Booms, E.; Guan, Y.F.; Wang, D.Y.; Liu, K.L.; Li, W.F.; Nguyen, V.H.; Cuong, N.M.; Soejarto, D.D.; Fong, H.H.S.; et al. Potent inhibitor to drug-resistant HIV-1 strains identified from the medicinal plant Justicia gendarussa. J. Nat. Prod. 2017, 80, 1798–1807. [Google Scholar] [CrossRef] [Green Version]
- Rumschlag-Booms, E.; Zhang, H.J.; Soejarto, D.D.; Fong, H.H.S.; Rong, L.J. Development of an antiviral screening protocol: One-Stone-Two-birds. J. Antivir. Antiretrovir. 2011, 3, 8–10. [Google Scholar] [CrossRef] [Green Version]
- Sheldrick, G.M. A short history of SHELX. Acta Cryst. A. 2008, 64, 112–122. [Google Scholar] [CrossRef] [Green Version]
- Sheldrick, G.M. SHELXTL-PC (Version 5.1); Siemens Analytical Instruments, Inc: Madison, WI, USA, 1997. [Google Scholar]





| No. | 1 a | 2 b | 3 a | |||
|---|---|---|---|---|---|---|
| δH, (J in Hz) | δC | δH, (J in Hz) | δC | δH, (J in Hz) | δC | |
| 1α | 1.95 (m) | 27.2 t | 1.73 (m) | 27.4 t | 1.92 (m) | 26.4 t |
| 1β | 2.45 (m) | 1.91 (m) | 1.94 (m) | |||
| 2α | 2.40 (ddd, 19.6, 7.3, 1.0) | 27.2 t | 2.47 (dd, 19.1, 7.3) | 26.5 t | 2.41 (m) | 26.7 t |
| 2β | 3.13 (ddd, 19.6, 11.0, 8.8) | 2.60 (m) | 2.46 (m) | |||
| 3 | - | 172.7 s | - | 171.0 s | - | 170.8 s |
| 4 | - | 74.6 s | - | 145.4 s | 1.93 (m) | 25.5 d |
| 5 | 2.07 (m) | 43.8 d | 2.66 (dd, 8.0, 4.0) | 43.0 d | 1.78 (m) | 38.8 d |
| 6α | 1.96 (m) | 28.0 t | 1.93 (m) | 28.9 t | 1.97 (m) | 22.2 t |
| 6β | 2.51 (m) | 2.31 (m) | 2.00 (m) | |||
| 7 | 5.57 (dt, 5.6, 2.1) | 127.5 d | 5.63 (m) | 127.2 d | 5.66 (dd, 4.2, 3.8) | 127.6 d |
| 8 | - | 132.8 s | - | 133.1 s | - | 132.8 s |
| 9 | - | 87.0 s | - | 86.5 s | - | 87.4 s |
| 10 | - | 37.8 s | - | 36.8 s | - | 37.2 s |
| 11α | 1.75 (ddd, 13.6, 3.6, 3.6) | 27.2 t | 1.77 (dd, 14.2, 2.7) | 28.5 t | 1.79 (m) | 28.4 t |
| 11β | 2.07 (m) | 1.98 (m) | 1.95 (m) | |||
| 12α | 1.33 (m) | 31.6 t | 1.34 (m) | 31.6 t | 1.31 (dt, 8.8, 2.9) | 31.6 t |
| 12β | 1.83(m) | 1.96 (m) | 1.95 (m) | |||
| 13 | - | 36.6 s | - | 36.6 s | - | 36.8 s |
| 14α | 1.82 (m) | 42.6 t | 1.75 (d, 3.0) | 42.6 t | 1.79 (m) | 42.7 t |
| 14β | 2.51 (m) | 2.57 (d, 3.0) | 2.54 (m) | |||
| 15 | 5.80 (dd, 17.5, 10.7) | 149.2 d | 5.82 (dd, 17.5, 10.5) | 149.1 d | 5.82 (dd, 17.5, 10.7) | 149.2 d |
| 16α | 4.89 (dd, 10.7, 1.2) | 110.2 t | 4.89 (d, 10.8) | 110.2 t | 4.90 (dd, 10.8, 1.2) | 110.2 t |
| 16β | 4.94 (dd, 17.5, 1.2) | 4.95 (d, 10.5) | 4.96 (dd, 17.2, 1.2) | |||
| 17 | 0.88 (s) | 21.2 q | 0.90 (s) | 21.3 q | 0.89 (s) | 21.2 q |
| 18 | 1.28 (s) | 34.4 q | 1.84 (s) | 23.1 q | 0.97 (d, 7.2) | 25.0 q |
| 19α | 1.33 (s) | 26.4 q | 4.92 (br s) | 115.9 t | 0.94 (d, 6.8) | 19.0 q |
| 19β | 4.98 (br s) | |||||
| 20 | 1.14 (s) | 19.9 q | 1.08 (s) | 19.1 q | 1.01 (s) | 19.0 q |
| D—H···A | D—H | H···A | D···A | D—H···A |
|---|---|---|---|---|
| O1—H1···O2i | 0.82 | 2.13 | 2.810 (4) | 140.3 |
| Symmetry code: (i) −x + 2, y − 1/2, −z + 2. | ||||
Publisher’s Note: MDPI stays neutral with regard to jurisdictional claims in published maps and institutional affiliations. |
© 2022 by the authors. Licensee MDPI, Basel, Switzerland. This article is an open access article distributed under the terms and conditions of the Creative Commons Attribution (CC BY) license (https://creativecommons.org/licenses/by/4.0/).
Share and Cite
Li, W.-F.; Liang, Z.-M.; Zhao, C.-L.; Tsang, N.Y.; Li, J.-X.; Liu, Y.-H.; He, K.; Pan, L.-T.; Rong, L.; Zou, J.; et al. 3,4-Seco-Isopimarane Diterpenes from the Twigs and Leaves of Isodon Flavidus. Molecules 2022, 27, 3098. https://doi.org/10.3390/molecules27103098
Li W-F, Liang Z-M, Zhao C-L, Tsang NY, Li J-X, Liu Y-H, He K, Pan L-T, Rong L, Zou J, et al. 3,4-Seco-Isopimarane Diterpenes from the Twigs and Leaves of Isodon Flavidus. Molecules. 2022; 27(10):3098. https://doi.org/10.3390/molecules27103098
Chicago/Turabian StyleLi, Wan-Fei, Zheng-Ming Liang, Chen-Liang Zhao, Nga Yi Tsang, Ji-Xin Li, Ya-Hua Liu, Kang He, Lu-Tai Pan, Lijun Rong, Juan Zou, and et al. 2022. "3,4-Seco-Isopimarane Diterpenes from the Twigs and Leaves of Isodon Flavidus" Molecules 27, no. 10: 3098. https://doi.org/10.3390/molecules27103098
APA StyleLi, W.-F., Liang, Z.-M., Zhao, C.-L., Tsang, N. Y., Li, J.-X., Liu, Y.-H., He, K., Pan, L.-T., Rong, L., Zou, J., & Zhang, H.-J. (2022). 3,4-Seco-Isopimarane Diterpenes from the Twigs and Leaves of Isodon Flavidus. Molecules, 27(10), 3098. https://doi.org/10.3390/molecules27103098

