Schemes for Single Electron Transistor Based on Double Quantum Dot Islands Utilizing a Graphene Nanoscroll, Carbon Nanotube and Fullerene
Abstract
1. Introduction
2. Theoretical Model and Results
2.1. The Current Models of SETs
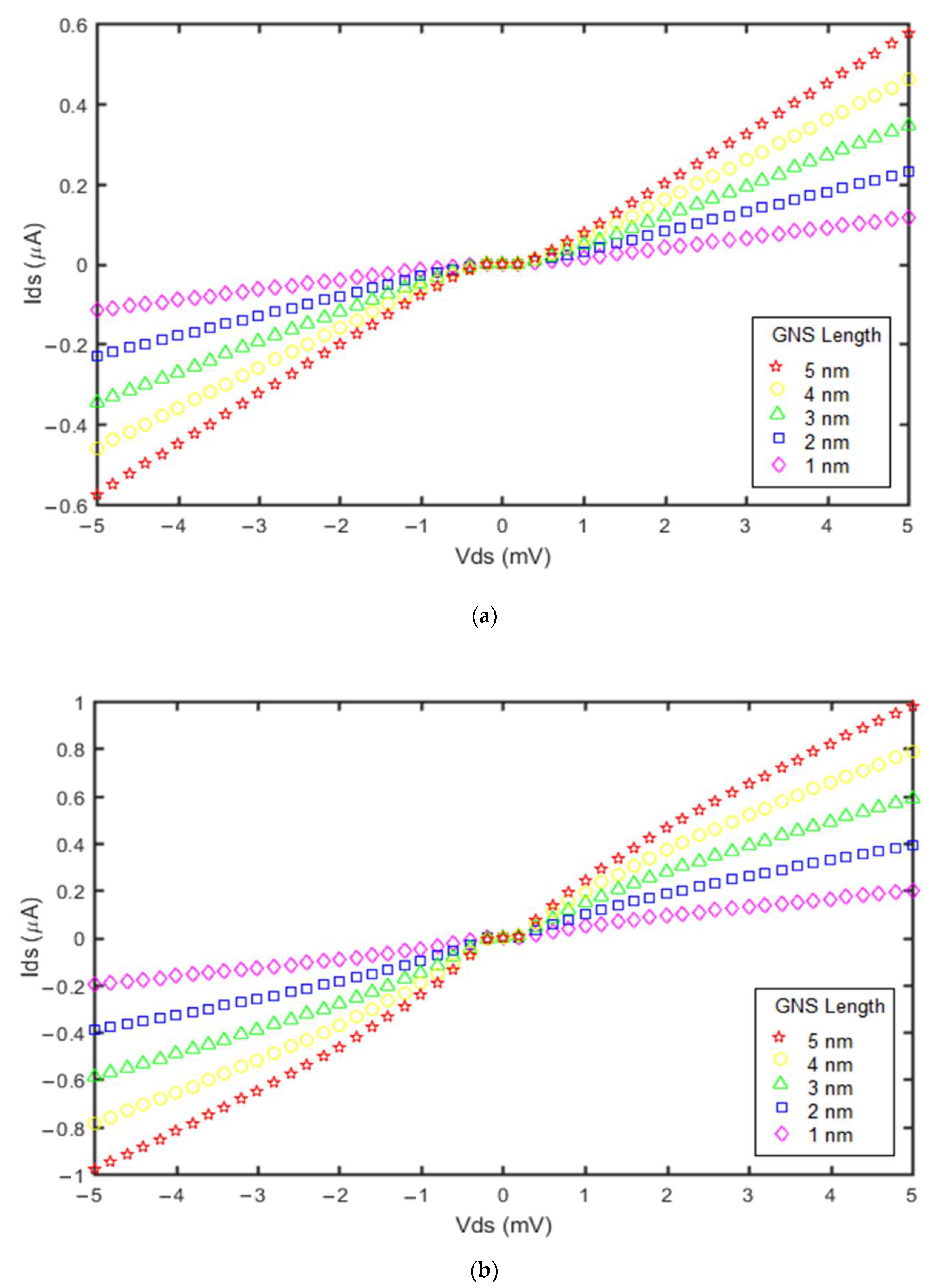
2.2. Results and Discussion
3. Conclusions
Author Contributions
Funding
Institutional Review Board Statement
Informed Consent Statement
Data Availability Statement
Acknowledgments
Conflicts of Interest
Sample Availability
References
- Xu, Q.; Scuri, G.; Mathewson, C.; Kim, P.; Nuckolls, C.; Bouilly, D. Single Electron Transistor with Single Aromatic Ring Molecule Covalently Connected to Graphene Nanogaps. Nano Lett. 2017, 17, 5335–5341. [Google Scholar] [CrossRef]
- Zharinov, V.S.; Picot, T.; Scheerder, J.E.; Janssens, E.; Vondel, J. Room temperature single electron transistor based on a size-selected aluminium cluster. Nanoscale 2020, 12, 1164–1170. [Google Scholar] [CrossRef] [PubMed]
- Fulton, T.A.; Dolan, G.J. Observation of single-electron charging effects in small tunnel junctions. Phys. Rev. Lett. 1987, 59, 109–112. [Google Scholar] [CrossRef]
- Park, H.; Park, J.; Lim, A.K.L.; Anderson, E.H.; Alivisatos, A.P.; McEuen, P.L. Nano mechanical oscillations in a single-C60 transistor. Nature 2000, 407, 57–60. [Google Scholar] [CrossRef]
- Shorokhov, V.V.; Presnov, D.E.; Amitonov, S.V.; Pashkin, Y.A.; Krupenin, V.A. Single-electron tunneling through an individual arsenic dopant in silicon. Nanoscale 2017, 9, 613–620. [Google Scholar] [CrossRef]
- Averin, D.V.; Likharev, K.K. Coulomb blockade of single-electron tunneling, and coherent oscillations in small tunnel junctions. J. Low Temp. Phys. 1986, 62, 345–373. [Google Scholar] [CrossRef]
- Park, J.; Pasupathy, A.N.; Goldsmith, J.I.; Chang, C.; Yaish, Y.; Petta, J.R.; Rinkoski, M.; Sethna, J.P.; Abruña, H.D.; McEuenand, P.L.; et al. Coulomb blockade and the Kondo effect in single-atom transistors. Nature 2002, 417, 722–725. [Google Scholar] [CrossRef] [PubMed]
- Durrani, A.K.Z. Coulomb blockade, single-electron transistors and circuits in silicon. Phys. E 2003, 17, 572–578. [Google Scholar] [CrossRef]
- C Welker, A.; Weis, J. Single-electron current gain in a quantum dot with three leads. J. Phys. D Appl. Phys. 2020, 53, 105105. [Google Scholar] [CrossRef]
- Kleshch, V.I.; Porshyn, V.; Orekhov, A.S.; Orekhov, A.S.; Lützenkirchen-Hecht, D.; Obraztsovae, A.N. Carbon single-electron point source controlled by Coulomb blockade. Carbon 2021, 171, 154–160. [Google Scholar] [CrossRef]
- Schoonveld, W.A.; Wildeman, J.; Fichou, D.; Bobbert, P.A.; van Wees, B.J.; Klapwijk, T.M. Coulomb-blockade transport in single-crystal organic thin-film transistors. Nature 2000, 404, 977–980. [Google Scholar] [CrossRef] [PubMed]
- Ray, S.J.; Kamalakar, M.V.; Chowdhury, R. Ab initio studies of phosphorene island single electron transistor. J. Phys. Condens. Matter. 2016, 28, 195302. [Google Scholar]
- Ihn, T.; Güttinger, J.; Molitor, F.; Schnez, S.; Schurtenberger, E.; Jacobsen, A.; Hellmüller, S.; Frey, T.; Dröscher, S.; Stampfer, C.; et al. Graphene single-electron transistors. Mater. Today 2010, 13, 44–50. [Google Scholar] [CrossRef]
- Geim, A.K.; Novoselov, K.S. The rise of graphene. Nat. Mater. 2007, 6, 183–191. [Google Scholar] [CrossRef] [PubMed]
- Sharma, A.; Anu; Khan, M.S.; Husain, M.; Khan, M.S.; Srivastava, A. Sensing of CO and NO on Cu-doped MoS2 Monolayer Based Single Electron Transistor: A First Principles Study. IEEE Sens. J. 2018, 18, 2853–2860. [Google Scholar] [CrossRef]
- Ozfidan, I.; Korkusinski, M.; Hawrylak, P. Electronic properties and electron–electron interactions in graphene quantum dots. Phys. Status Solidi. RRL 2016, 10, 13–23. [Google Scholar] [CrossRef]
- Tang, Y.; Amlani, I.; Orlov, A.O.; Snider, G.L.; Fay, P.J. Operation of single-walled carbon nanotube as a radio-frequency single-electron transistor. Nanotechnology 2007, 18, 445203. [Google Scholar] [CrossRef][Green Version]
- Zhang, H.; Zhuo, Y.; Zhang, X.; Zhang, L.; Xu, P.; Tian, H.; Lin, S.; Zhang, Q.; Xie, S.; Zheng, L. Synthesis of Fullerenes from a Nonaromatic Chloroform through a Newly Developed Ultrahigh-Temperature Flash Vacuum Pyrolysis Apparatus. Nanomaterials 2021, 11, 3033. [Google Scholar] [CrossRef]
- Khademhosseini, V.; Dideban, D.; Ahmadi, M.T.; Ismail, R. An analytical approach to model capacitance and resistance of capped carbon nanotube single electron transistor. AEU Int. J. Electron. Commun. 2018, 90, 97–102. [Google Scholar] [CrossRef]
- Khademhosseini, V.; Dideban, D.; Ahmadi, M.T. The current analysis of a single electron transistor based on double graphene nanoscroll island. Solid State Commun. 2021, 327, 114234. [Google Scholar] [CrossRef]
- QuantumATK S-2021.06 Documentation. Available online: https://docs.quantumatk.com/ (accessed on 16 November 2021).
- Schroeder, V.; Savagatrup, S.; He, M.; Lin, S.; Swager, T.M. Carbon Nanotube Chemical Sensors. Chem. Rev. 2019, 119, 599–663. [Google Scholar] [CrossRef]
- Anusha, T.; SaiBhavani, K.; Kumar, J.V.S.; Kumar Brahman, P. Designing and fabrication of electrochemical nanosensor employing fullerene-C60 and bimetallic nanoparticles composite film for the detection of vitamin D3 in blood samples. Diam. Relat. Mater. 2020, 104, 107761. [Google Scholar] [CrossRef]
- Ansaloni, F.; Chatterjee, A.; Bohuslavskyi, H.; Bertrand, B.; Hutin, L.; Vinet, M.; Kuemmeth, F. Single-electron operations in a foundry-fabricated array of quantum dots. Nat. Commun. 2020, 11, 6399. [Google Scholar] [CrossRef]
- Jo, M.; Kaizawa, T.; Arita, M.; Fujiwara, A.; Ono, Y.; Inokawa, H.; Choi, J.-B.; Takahashi, Y. Fabrication of double-dot single-electron transistor in silicon nanowire. Thin Solid Films 2010, 518, 186–189. [Google Scholar] [CrossRef][Green Version]
- Thomas, J.; Bradford, J.; Cheng, T.S.; Summerfield, A.; Wrigley, J.; Mellor, C.J.; Khlobystov, A.N.; Foxon, C.T.; Eaves, L.; Novikov, S.V.; et al. Step-flow growth of graphene-boron nitride lateral heterostructures by molecular beam epitaxy. 2D Mater. 2020, 7, 035014. [Google Scholar] [CrossRef]
- Wen, Y.; Ares, N.; Schupp, F.J.; Pei, T.; Briggs, G.A.D.; Laird, E.A. A coherent nanomechanical oscillator driven by single-electron tunneling. Nat. Phys. 2020, 16, 75–82. [Google Scholar] [CrossRef] [PubMed]
- DumoulinStuyck, N.; Li, R.; Kubicek, S.; Mohiyaddin, F.A.; Jussot, J.; Chan, B.T.; Simion, G.; Govoreanu, B.; Heyns, M.; Radu, I. An integrated silicon MOS single-electron transistor charge sensor for spin-based quantum information processing. IEEE Electron Device Lett. 2020, 41, 1253–1256. [Google Scholar]
- Rani, S.; Ray, S.J. Detection of gas molecule using C3N island single electron transistor. Carbon 2019, 144, 235–240. [Google Scholar] [CrossRef]
- Long, K.; Zhang, X. Memristive-synapse spiking neural networks based on single-electron transistors. J. Comput. Electron. 2020, 19, 435–450. [Google Scholar] [CrossRef]












| Diamond | Vds min (V), Vds max (V) | ∆Vds (V) | Vg min (V), Vg max (V) | ∆Vg (V) | Area of Diamonds (V2) | Total Areas (V2) |
|---|---|---|---|---|---|---|
| double GNS-CNT diamond 1 | −0.465, 0.483 | 0.948 | −0.958, −0.502 | 0.456 | 0.216 | 0.366 |
| double GNS-CNT diamond 2 | −0.493, −0.075 | 0.418 | −0.313, −0.294 | 0.019 | 0.003 | |
| double GNS-CNT diamond 3 | −0.446, 0.465 | 0.911 | 0.056, 0.379 | 0.323 | 0.147 | |
| double GNS- C60 diamond 1 | −0.725, 0.744 | 1.469 | −1.470, −0.749 | 0.721 | 0.529 | 1.372 |
| double GNS- C60 diamond 2 | −0.799, 0.818 | 1.617 | −0.721, 0.066 | 0.787 | 0.636 | |
| double GNS- C60 diamond 3 | −0.446, 0.483 | 0.929 | 0.075, 0.521 | 0.446 | 0.207 |
Publisher’s Note: MDPI stays neutral with regard to jurisdictional claims in published maps and institutional affiliations. |
© 2022 by the authors. Licensee MDPI, Basel, Switzerland. This article is an open access article distributed under the terms and conditions of the Creative Commons Attribution (CC BY) license (https://creativecommons.org/licenses/by/4.0/).
Share and Cite
Khademhosseini, V.; Dideban, D.; Ahmadi, M.T.; Heidari, H. Schemes for Single Electron Transistor Based on Double Quantum Dot Islands Utilizing a Graphene Nanoscroll, Carbon Nanotube and Fullerene. Molecules 2022, 27, 301. https://doi.org/10.3390/molecules27010301
Khademhosseini V, Dideban D, Ahmadi MT, Heidari H. Schemes for Single Electron Transistor Based on Double Quantum Dot Islands Utilizing a Graphene Nanoscroll, Carbon Nanotube and Fullerene. Molecules. 2022; 27(1):301. https://doi.org/10.3390/molecules27010301
Chicago/Turabian StyleKhademhosseini, Vahideh, Daryoosh Dideban, Mohammad Taghi Ahmadi, and Hadi Heidari. 2022. "Schemes for Single Electron Transistor Based on Double Quantum Dot Islands Utilizing a Graphene Nanoscroll, Carbon Nanotube and Fullerene" Molecules 27, no. 1: 301. https://doi.org/10.3390/molecules27010301
APA StyleKhademhosseini, V., Dideban, D., Ahmadi, M. T., & Heidari, H. (2022). Schemes for Single Electron Transistor Based on Double Quantum Dot Islands Utilizing a Graphene Nanoscroll, Carbon Nanotube and Fullerene. Molecules, 27(1), 301. https://doi.org/10.3390/molecules27010301

