Nipagin-Functionalized Porphyrazine and Phthalocyanine—Synthesis, Physicochemical Characterization and Toxicity Study after Deposition on Titanium Dioxide Nanoparticles P25
Abstract
1. Introduction
2. Results and Discussion
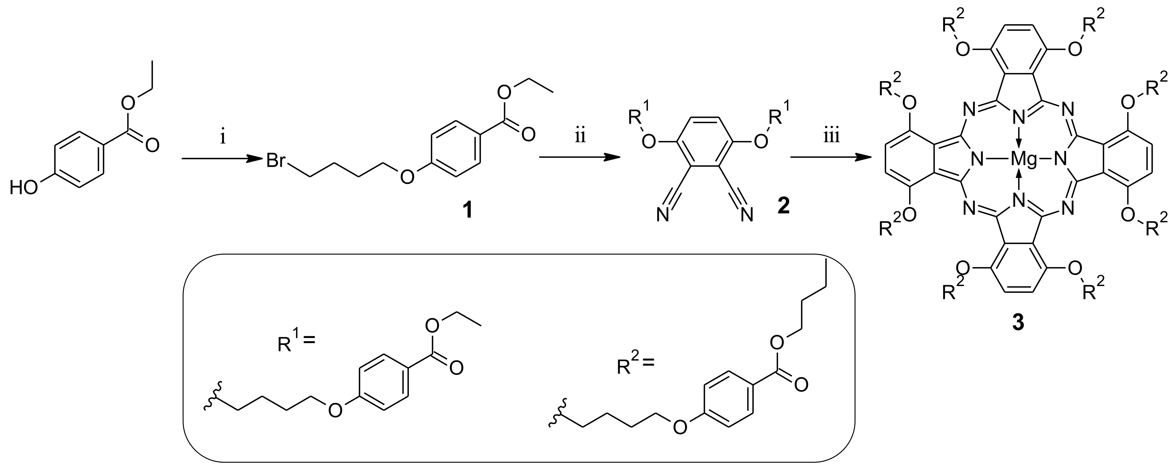
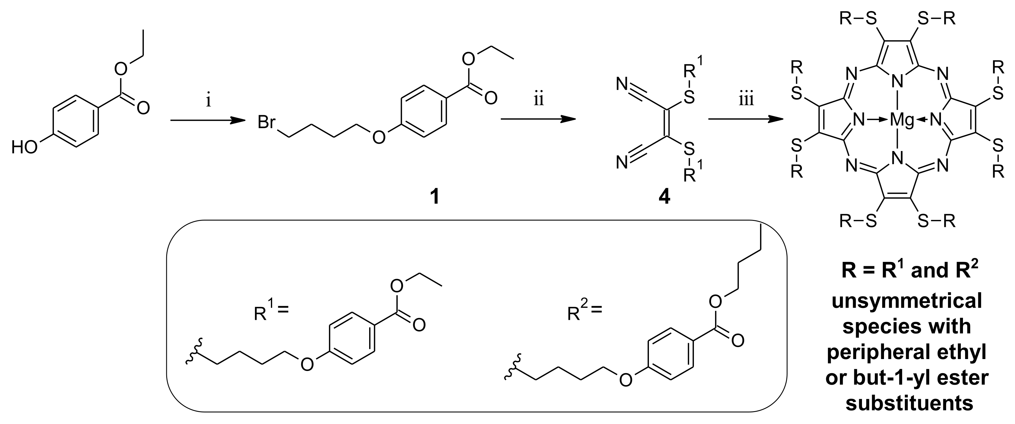
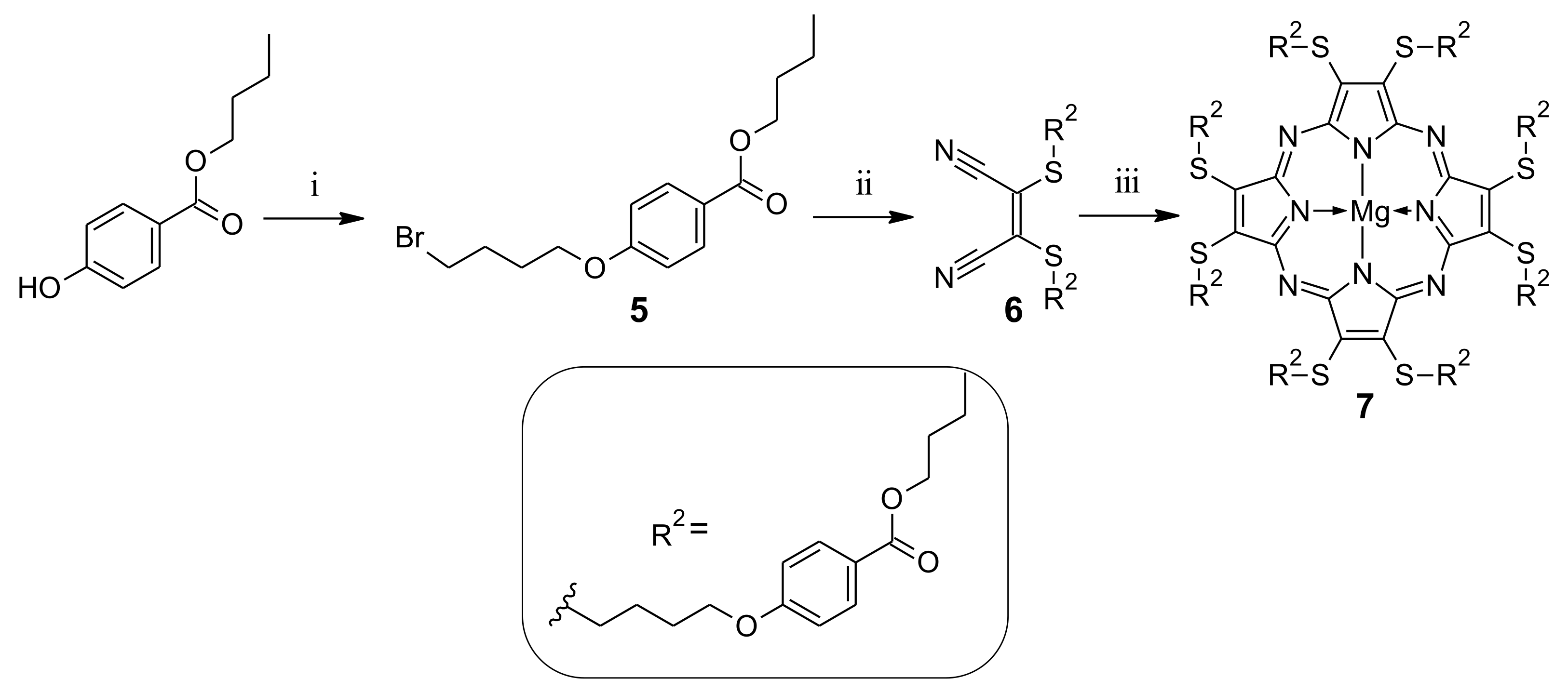
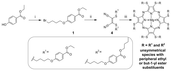
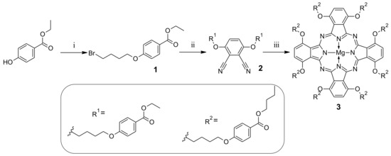
2.1. Synthesis and Characterization
2.2. TiO2 Deposition and Characterization
2.3. Spectral and Photochemical Studies
2.3.1. Absorption and Fluorescence
2.3.2. Singlet Oxygen Formation
2.3.3. Photostability
| Compound | Solvent | ΦFL | ΦP | ΦΔ | 
|---|---|---|---|---|
| 3 | DMF | 0.007 | 52.50 × 10−6 | 0.29 | 
| DMSO | 0.002 | 3.80 × 10−6 | 0.13 | |
| 7 | DMF | - | 3.08 × 10−6 | 0.02 | 
| DMSO | - | 2.66 × 10−6 | 0.09 | |
| ZnPc (reference) | DMF | 0.20 [59] | 10.2 × 10−6 [60] | 0.56 [61] | 
| DMSO | 0.17 [59] | 3.5 × 10−6 [60] | 0.67 [61] | |
| 9 | DMF DMSO | 0.17 [50] 0.04 [50] | 37.5 × 10−6 [50] 3.07 × 10−6 [50] | 0.13 [50] 0.11 [50] | 
| 10 | DMF DMSO | 0.046 [48] 0.012 [48] | 1.81 × 10−4 [48] 1.37 × 10−4 [48] | 0.14 [48] 0.14 [48] | 
| 11 | DMF DMSO | 0.008 [42] 0.002 [42] | 48.4 × 10−6 [42] 4.84 × 10−6 [42] | 0.05 [62] 0.08 [42] | 
| 12 | DMF DMSO | - - | 6.14 × 10−6 [53] - | 0.03 [51] - | 
2.4. Acute Toxicity Assessment
3. Materials and Methods
3.1. Materials and Instruments
3.2. Synthesis
3.2.1. Ethyl 4-(4-bromobutoxy)benzoate (1)
3.2.2. 1,2-Dicyano-3,6-bis [4-(4-ethoxycarbonylphenoxy)butyloxy]benzene (2)
3.2.3. Magnesium(II) 1,4,8,11,15,18,22,25-octakis [4-(4-butoxycarbonylphenoxy)butyloxy]phthalocyanine (3)
- i.
- Using 2 as a precursor
- ii.
- Using 8 as a precursor
3.2.4. 2,3-. Bis[4-(4-ethoxycarbonylphenoxy)butylsulfanyl]but-2-enedinitrile (4)
3.2.5. Butyl 4-(4-bromobutoxy)benzoate (5)
3.2.6. 2,3-Bis[4-(4-butoxycarbonylphenoxy)butylsulfanyl]but-2-enedinitrile (6)
3.2.7. 2,3,7,8,12,13,17,18-Octakis[4-(4-butoxycarbonylphenoxy)butylsulfanyl]porphyrazinato magnesium(II) (7)
3.2.8. 1,2-Dicyano-3,6-bis[4-(4-butoxycarbonylphenoxy)butyloxy]benzene (8)
3.3. Photochemical Studies
3.4. Deposition of 3 and 7 on TiO2 P25 Nanoparticles
3.5. Acute Toxicity Assessment
4. Conclusions
Supplementary Materials
Author Contributions
Funding
Institutional Review Board Statement
Informed Consent Statement
Data Availability Statement
Acknowledgments
Conflicts of Interest
Sample Availability
References
- Rodríguez-Morgade, M.S.; Stuzhin, P.A. The chemistry of porphyrazines: An overview. J. Porphyrins Phthalocyanines 2004, 8, 1129–1165. [Google Scholar] [CrossRef]
- Falkowski, M.; Rebis, T.; Piskorz, J.; Popenda, L.; Jurga, S.; Mielcarek, J.; Milczarek, G.; Goslinski, T. Multiwalled carbon nanotube/sulfanyl porphyrazine hybrids deposited on glassy carbon electrode—Effect of nitro peripheral groups on electrochemical properties. J. Porphyrins Phthalocyanines 2017, 21, 295–301. [Google Scholar] [CrossRef]
- Olgaç, R.; Baygu, Y.; Yıldız, B.; Gök, Y.; Köksoy, B.; Durmuş, M. Synthesis, characterization and photochemical properties of metallo porphyrazines substituted with alkyl linked carbazole, benzoazepine and phenothiazine moieties. J. Porphyrins Phthalocyanines 2017, 21, 599–610. [Google Scholar] [CrossRef]
- Chełminiak-Dudkiewicz, D.; Ziegler-Borowska, M.; Stolarska, M.; Sobotta, L.; Falkowski, M.; Mielcarek, J.; Goslinski, T.; Kowalonek, J.; Węgrzynowska-Drzymalska, K.; Kaczmarek, H. The chitosan—Porphyrazine hybrid materials and their photochemical properties. J. Photochemistry Photobiol. B Biol. 2018, 181, 1–13. [Google Scholar] [CrossRef]
- Yang, C.; Gao, L.; Zhang, B.; Zhang, Z.; Deng, K. Uniform Zinc Thioporphyrazine nanosphere by self-assembly and the photocatalytic performance. J. Porphyrins Phthalocyanines 2018, 22, 868–876. [Google Scholar] [CrossRef]
- Fernández-Ariza, J.; Urbani, M.; Rodríguez-Morgade, M.S.; Torres, T. Panchromatic photosensitizers based on push–pull, unsymmetrically substituted porphyrazines. Chem. Eur. J. 2018, 24, 2618–2625. [Google Scholar] [CrossRef]
- Piskorz, J.; Lijewski, S.; Gierszewski, M.; Gorniak, K.; Sobotta, L.; Wicher, B.; Tykarska, E.; Düzgüneş, N.; Konopka, K.; Sikorski, M.; et al. Sulfanyl porphyrazines: Molecular barrel-like self-assembly in crystals, optical properties and in vitro photodynamic activity towards cancer cells. Dyes Pigment. 2017, 136, 898–908. [Google Scholar] [CrossRef]
- Wöhrle, D.; Eskes, M.; Shigehara, K.; Yamada, A. A simple synthesis of 4,5-disubstituted 1,2-dicyanobenzenes and 2,3,9,10,16,17,23,24-octasubstituted phthalocyanines. Synthesis 1993, 1993, 194–196. [Google Scholar] [CrossRef]
- Taşkın, G.C.; Durmuş, M.; Yüksel, F.; Mantareva, V.; Kussovski, V.; Angelov, I.; Atilla, D. Axially paraben substituted silicon(iv) phthalocyanines towards dental pathogen streptococcus mutans: Synthesis, photophysical, photochemical and in vitro properties. J. Photochem. Photobiol. A Chem. 2015, 306, 31–40. [Google Scholar] [CrossRef]
- Masilela, N.; Kleyi, P.; Tshentu, Z.; Priniotakis, G.; Westbroek, P.; Nyokong, T. Photodynamic Inactivation of Staphylococcus Aureus Using Low Symmetrically Substituted Phthalocyanines Supported on a Polystyrene Polymer Fiber. Dyes Pigments 2013, 96, 500–508. [Google Scholar] [CrossRef]
- Vashurin, A.; Kuzmin, I.; Mayzlish, V.; Razumov, M.; Golubchikov, O.; Koifman, O. Kinetics and mechanism of the oxidation of dithiocarbamic acids in the presence of Co(II) phthalocyaninetetacarboxylic acid. J. Serb. Chem. Soc. 2016, 81, 1025–1036. [Google Scholar] [CrossRef]
- Vashurin, A.; Maizlish, V.; Kuzmin, I.; Znoyko, S.; Morozova, A.; Razumov, M.; Koifman, O. Symmetrical and difunctional substituted cobalt phthalocyanines with benzoic acids fragments: Synthesis and catalytic activity. J. Porphyrins Phthalocyanines 2017, 21, 37–47. [Google Scholar] [CrossRef]
- Pires, I.S.; O’Boyle, Q.T.; Munoz, C.J.; Savla, C.; Cabrales, P.; Palmer, A.F. Enhanced photodynamic therapy using the apohemoglobin-haptoglobin complex as a carrier of aluminum phthalocyanine. ACS Appl. Bio Mater. 2020, 3, 4495–4506. [Google Scholar] [CrossRef]
- Rak, J.; Pouckova, P.; Benes, J.; Vetvicka, D. Drug delivery systems for phthalocyanines for photodynamic therapy. Anticancer Res. 2019, 39, 3323–3339. [Google Scholar] [CrossRef]
- Chrishtop, V.V.; Demidov, V.I.; Tomilova, I.K.; Nikonorova, V.G.; Tarasuk, I.A.; Botnar, A.A.; Vashurin, A.S.; Marfin, Y.S. Assessment of acute toxicity of cobalt tetrasulfophthalocyaninate by intravenous injection on Wistar rats. MHC 2020, 13, 7–12. [Google Scholar] [CrossRef]
- Ghosh, S.; Carter, K.A.; Lovell, J.F. Liposomal formulations of photosensitizers. Biomaterials 2019, 218, 119341. [Google Scholar] [CrossRef]
- Sobotta, L.; Skupin-Mrugalska, P.; Piskorz, J.; Mielcarek, J. porphyrinoid photosensitizers mediated photodynamic inactivation against bacteria. Eur. J. Med. Chem. 2019, 175, 72–106. [Google Scholar] [CrossRef]
- Chelminiak-Dudkiewicz, D.; Rybczynski, P.; Smolarkiewicz-Wyczachowski, A.; Mlynarczyk, D.T.; Wegrzynowska-Drzymalska, K.; Ilnicka, A.; Goslinski, T.; Marszałł, M.P.; Ziegler-Borowska, M. Photosensitizing potential of tailored magnetite hybrid nanoparticles functionalized with levan and zinc (II) phthalocyanine. Appl. Surf. Sci. 2020, 524, 146602. [Google Scholar] [CrossRef]
- Aksenova, N.A.; Savko, M.A.; Uryupina, O.Y.; Roldugin, V.I.; Timashev, P.S.; Kuz’min, P.G.; Shafeev, G.A.; Solov’eva, A.B. Effect of the preparation method of silver and gold nanoparticles on the photosensitizing properties of tetraphenylporphyrin–amphiphilic polymer—Nanoparticle systems. Russ. J. Phys. Chem. 2017, 91, 124–129. [Google Scholar] [CrossRef]
- Bera, K.; Maiti, S.; Maity, M.; Mandal, C.; Maiti, N.C. Porphyrin–Gold nanomaterial for efficient drug delivery to cancerous cells. ACS Omega 2018, 3, 4602–4619. [Google Scholar] [CrossRef]
- Setaro, F.; Wennink, J.W.H.; Mäkinen, P.I.; Holappa, L.; Trohopoulos, P.N.; Ylä-Herttuala, S.; van Nostrum, C.F.; de la Escosura, A.; Torres, T. Amphiphilic phthalocyanines in polymeric micelles: A supramolecular approach toward efficient third-generation photosensitizers. J. Mater. Chem. B 2020, 8, 282–289. [Google Scholar] [CrossRef]
- Baugh, S.D.P.; Yang, Z.; Leung, D.K.; Wilson, D.M.; Breslow, R. Cyclodextrin dimers as cleavable carriers of photodynamic sensitizers. J. Am. Chem. Soc. 2001, 123, 12488–12494. [Google Scholar] [CrossRef]
- Rotas, G.; Martín-Gomis, L.; Ohkubo, K.; Fernández-Lázaro, F.; Fukuzumi, S.; Tagmatarchis, N.; Sastre-Santos, Á. Axially substituted silicon phthalocyanine as electron donor in a dyad and triad with azafullerene as electron acceptor for photoinduced charge separation. Chem. A Eur. J. 2016, 22, 15137–15143. [Google Scholar] [CrossRef] [PubMed]
- Mphuthi, N.G.; Adekunle, A.S.; Fayemi, O.E.; Olasunkanmi, L.O.; Ebenso, E.E. Phthalocyanine doped metal oxide nanoparticles on multiwalled carbon nanotubes platform for the detection of dopamine. Sci. Rep. 2017, 7, 43181. [Google Scholar] [CrossRef] [PubMed]
- Liu, Q.; Yang, Y.; Lv, X.; Ding, Y.; Zhang, Y.; Jing, J.; Xu, C. One-step synthesis of uniform nanoparticles of porphyrin functionalized ceria with promising peroxidase mimetics for h2o2 and glucose colorimetric detection. Sens.Actuators B Chem. 2017, 240, 726–734. [Google Scholar] [CrossRef]
- Dube, E.; Soy, R.; shumba, M.; Nyokong, T. Photophysicochemical behaviour of phenoxy propanoic acid functionalised zinc phthalocyanines when grafted onto iron oxide and silica nanoparticles: Effects in photodynamic antimicrobial chemotherapy. J. Luminescence 2021, 234, 117939. [Google Scholar] [CrossRef]
- Ziental, D.; Czarczynska-Goslinska, B.; Mlynarczyk, D.T.; Glowacka-Sobotta, A.; Stanisz, B.; Goslinski, T.; Sobotta, L. Titanium dioxide nanoparticles: Prospects and applications in medicine. Nanomaterials 2020, 10, 387. [Google Scholar] [CrossRef] [PubMed]
- Musial, J.; Krakowiak, R.; Mlynarczyk, D.T.; Goslinski, T.; Stanisz, B.J. Titanium dioxide nanoparticles in food and personal care products—What do we know about their safety? Nanomaterials 2020, 10, 1110. [Google Scholar] [CrossRef]
- Forsyth, T.P.; Williams, D.B.G.; Montalban, A.G.; Stern, C.L.; Barrett, A.G.M.; Hoffman, B.M. A facile and regioselective synthesis of trans-heterofunctionalized porphyrazine derivatives. J. Org. Chem. 1998, 63, 331–336. [Google Scholar] [CrossRef]
- Linstead, R.P.; Whalley, M. 944. Conjugated macrocylces. Part XXII. Tetrazaporphin and its metallic derivatives. J. Chem. Soc. 1952, 4839–4846. [Google Scholar] [CrossRef]
- Michel, S.L.J.; Hoffman, B.M.; Baum, S.M.; Barrett, A.G.M. Peripherally functionalized porphyrazines: Novel metallomacrocycles with broad, untapped potential. In Progress in Inorganic Chemistry; Karlin, K.D., Ed.; John Wiley & Sons, Inc.: New York, NY, USA, 2002; pp. 473–590. ISBN 978-0471435105. [Google Scholar]
- Arango, V.; Domínguez, J.J.; Cardona, W.; Robledo, S.M.; Muñoz, D.L.; Figadere, B.; Jairo Sáez, J. Synthesis and leishmanicidal activity of quinoline–triclosan and quinoline–eugenol hybrids. Med Chem Res 2012, 21, 3445–3454. [Google Scholar] [CrossRef]
- Sułek, A.; Pucelik, B.; Kuncewicz, J.; Dubin, G.; Dąbrowski, J.M. Sensitization of TiO2 by halogenated porphyrin derivatives for visible light biomedical and environmental photocatalysis. Catalysis Today 2019, 335, 538–549. [Google Scholar] [CrossRef]
- Oliveira, D.F.M.; Batista, P.S.; Muller, P.S.; Velani, V.; França, M.D.; de Souza, D.R.; Machado, A.E.H. Evaluating the effectiveness of photocatalysts based on titanium dioxide in the degradation of the dye ponceau 4R. Dyes Pigments 2012, 92, 563–572. [Google Scholar] [CrossRef]
- Zhang, L.; Cole, J.M. Anchoring groups for dye-sensitized solar cells. ACS Appl. Mater. Interf. 2015, 7, 3427–3455. [Google Scholar] [CrossRef]
- Altın, İ.; Sökmen, M.; Bıyıklıoğlu, Z. Quaternized zincv(II) phthalocyanine-sensitized TiO2: Surfactant-modified sol–gel synthesis, characterization and photocatalytic applications. Desalination Water Treat. 2016, 57, 16196–16207. [Google Scholar] [CrossRef]
- Fakayode, O.J.; Songca, S.P.; Oluwafemi, O.S. Singlet oxygen generation potential of thiolated methoxy-polyethyleneglycol encapsulated superparamagnetic iron oxide nanoparticles-gold core-shell meso-5, 10, 15, 20-tetrakis (4-hydroxyphenyl) porphyrin. Mater. Lett. 2017, 199, 37–40. [Google Scholar] [CrossRef]
- Krakowiak, R.; Musial, J.; Frankowski, R.; Spychala, M.; Mielcarek, J.; Dobosz, B.; Krzyminiewski, R.; Sikorski, M.; Bendzinska-Berus, W.; Tykarska, E.; et al. Phthalocyanine-grafted titania nanoparticles for photodegradation of ibuprofen. Catalysts 2020, 10, 1328. [Google Scholar] [CrossRef]
- Kozlov, N.K.; Natashina, U.A.; Tamarov, K.P.; Gongalsky, M.B.; Solovyev, V.V.; Kudryavtsev, A.A.; Sivakov, V.; Osminkina, L.A. Recycling of silicon: From industrial waste to biocompatible nanoparticles for nanomedicine. Mater. Res. Express 2017, 4, 095026. [Google Scholar] [CrossRef]
- Kasprzycki, P.; Sobotta, L.; Lijewski, S.; Wierzchowski, M.; Goslinski, T.; Mielcarek, J.; Radzewicz, C.; Fita, P. Unusual cis-diprotonated forms and fluorescent aggregates of non-peripherally alkoxy-substituted metallophthalocyanines. Phys. Chem. Chem. Phys. 2017, 19, 21390–21400. [Google Scholar] [CrossRef]
- Khelevina, O.G.; Malyasova, A.S. 40 Years with porphyrazines. J. Porphyrins Phthalocyanines 2019, 23, 1251–1264. [Google Scholar] [CrossRef]
- Stolarska, M.; Glowacka-Sobotta, A.; Mlynarczyk, D.T.; Dlugaszewska, J.; Goslinski, T.; Mielcarek, J.; Sobotta, L. Photodynamic activity of tribenzoporphyrazines with bulky periphery against wound bacteria. IJMS 2020, 21, 6145. [Google Scholar] [CrossRef]
- Taştemel, A.; Karaca, B.Y.; Durmuş, M.; Bulut, M. Photophysical and photochemical properties of novel metallophthalocyanines bearing 7-Oxy-3-(m -methoxyphenyl) coumarin groups. J. Luminescence 2015, 168, 163–171. [Google Scholar] [CrossRef]
- Kobayashi, N.; Sasaki, N.; Higashi, Y.; Osa, T. Regiospecific and nonlinear substituent effects on the electronic and fluorescence spectra of phthalocyanines. Inorg. Chem. 1995, 34, 1636–1637. [Google Scholar] [CrossRef]
- Marini, A.; Muñoz-Losa, A.; Biancardi, A.; Mennucci, B. What is solvatochromism? J. Phys. Chem. B 2010, 114, 17128–17135. [Google Scholar] [CrossRef] [PubMed]
- Isago, H.; Kagaya, Y.; Matsushita, A. Solvatochromic shift of phthalocyanine q-band governed by a single solvent parameter. Chem. Lett. 2004, 33, 862–863. [Google Scholar] [CrossRef]
- Güzel, E.; Çetin, Ş.; Günsel, A.; Bilgiçli, A.T.; Şişman, İ.; Yarasir, M.N. Comparative studies of photophysical and electrochemical properties of sulfur-containing substituted metal-free and metallophthalocyanines. Res. Chem. Intermed. 2018, 44, 971–989. [Google Scholar] [CrossRef]
- Sobotta, L.; Fita, P.; Szczolko, W.; Wrotynski, M.; Wierzchowski, M.; Goslinski, T.; Mielcarek, J. Functional singlet oxygen generators based on porphyrazines with peripheral 2,5-dimethylpyrrol-1-yl and dimethylamino groups. J. Photochem. Photobiol. A Chem. 2013, 269, 9–16. [Google Scholar] [CrossRef]
- DeRosa, M.C.; Crutchley, R.J. Photosensitized singlet oxygen and its applications. Coord. Chem. Rev. 2002, 233, 351–371. [Google Scholar] [CrossRef]
- Sobotta, L.; Dlugaszewska, J.; Gierszewski, M.; Tillo, A.; Sikorski, M.; Tykarska, E.; Mielcarek, J.; Goslinski, T. Photodynamic inactivation of enterococcus faecalis by non-peripherally substituted magnesium phthalocyanines entrapped in lipid vesicles. J. Photochem. Photobiol. B Biol. 2018, 188, 100–106. [Google Scholar] [CrossRef]
- Gierszewski, M.; Falkowski, M.; Sobotta, L.; Stolarska, M.; Popenda, L.; Lijewski, S.; Wicher, B.; Burdzinski, G.; Karolczak, J.; Jurga, S.; et al. Porphyrazines with peripheral isophthaloxyalkylsulfanyl substituents and their optical properties. J. Photochem. Photobiol. A Chem. 2015, 307–308, 54–67. [Google Scholar] [CrossRef]
- Piskorz, J.; Skupin, P.; Lijewski, S.; Korpusinski, M.; Sciepura, M.; Konopka, K.; Sobiak, S.; Goslinski, T.; Mielcarek, J. Synthesis, physical–chemical properties and in vitro photodynamic activity against oral cancer cells of novel porphyrazines possessing fluoroalkylthio and dietherthio substituents. J. Fluor. Chem. 2012, 135, 265–271. [Google Scholar] [CrossRef]
- Stolarska, M.; Glowacka-Sobotta, A.; Ziental, D.; Dlugaszewska, J.; Falkowski, M.; Mielcarek, J.; Goslinski, T.; Sobotta, L. Photochemical properties and photocytotoxicities against wound bacteria of sulfanyl porphyrazines with bulky peripheral substituents. J. Organomet. Chem. 2021, 934, 121669. [Google Scholar] [CrossRef]
- Bonnett, R.; Martınez, G. Photobleaching of sensitisers used in photodynamic therapy. Tetrahedron 2001, 57, 9513–9547. [Google Scholar] [CrossRef]
- Kuznetsova, N.A.; Kaliya, O.L. Oxidative photobleaching of phthalocyanines in solution. J. Porphyrins Phthalocyanines 2012, 16, 705–712. [Google Scholar] [CrossRef]
- Dilber, G.; Altunparmak, H.; Nas, A.; Kantekin, H.; Durmuş, M. The peripheral and non-peripheral 2H-benzotriazole substituted phthalocyanines: Synthesis, characterization, photophysical and photochemical studies of zinc derivatives. Spectrochim. Acta Part A Molec. Biomolec. Spectrosc. 2019, 217, 128–140. [Google Scholar] [CrossRef]
- Sergeeva, N.N.; Senge, M.O. Photochemical transformations involving magnesium porphyrins and phthalocyanines. In PATAI’S Chemistry of Functional Groups; Rappoport, Z., Ed.; John Wiley & Sons, Ltd.: Chichester, UK, 2009; pp. 189–218. ISBN 978-0470682531. [Google Scholar]
- Słota, R.; Dyrda, G. UV Photostability of metal phthalocyanines in organic solvents. Inorg. Chem. 2003, 42, 5743–5750. [Google Scholar] [CrossRef]
- Ogunsipe, A.; Maree, D.; Nyokong, T. Solvent effects on the photochemical and fluorescence properties of zinc phthalocyanine derivatives. J. Molec. Struct. 2003, 650, 131–140. [Google Scholar] [CrossRef]
- Sobotta, L.; Lijewski, S.; Dlugaszewska, J.; Nowicka, J.; Mielcarek, J.; Goslinski, T. Photodynamic inactivation of enterococcus faecalis by conjugates of zinc (II) phthalocyanines with thymol and carvacrol loaded into lipid vesicles. Inorgan. Chim. Acta 2019, 489, 180–190. [Google Scholar] [CrossRef]
- Ogunsipe, A.; Durmuş, M.; Atilla, D.; Gürek, A.G.; Ahsen, V.; Nyokong, T. Synthesis, photophysical and photochemical studies on long chain zinc phthalocyanine derivatives. Synth. Metals 2008, 158, 839–847. [Google Scholar] [CrossRef]
- Mlynarczyk, D.T.; Lijewski, S.; Falkowski, M.; Piskorz, J.; Szczolko, W.; Sobotta, L.; Stolarska, M.; Popenda, L.; Jurga, S.; Konopka, K.; et al. Dendrimeric sulfanyl porphyrazines: Synthesis, physico-chemical characterization, and biological activity for potential applications in photodynamic therapy. ChemPlusChem 2016, 81, 460–470. [Google Scholar] [CrossRef]
- Johnson, B.T. Microtox® acute toxicity test. In Small-Scale Freshwater Toxicity Investigations: Toxicity Test Methods; Blaise, C., Férard, J.F., Eds.; Springer: Dordrecht, The Netherlands, 2005; pp. 69–105. ISBN 978-1402031205. [Google Scholar]
- Niemirycz, E.; Nichthauser, J.; Staniszewska, M.; Nałęcz-Jawecki, G.; Bolałek, J. The microtox® biological test: Application in toxicity evaluation of surface waters and sediments in Poland. Oceanol. Hydrobiol. Stud. 2007, 36, 151–163. [Google Scholar] [CrossRef]
- Daghrir, R.; Dimboukou-Mpira, A.; Seyhi, B.; Drogui, P. Photosonochemical degradation of butyl-paraben: Optimization, toxicity and kinetic studies. Sci. Total Environ. 2014, 490, 223–234. [Google Scholar] [CrossRef]
- Seotsanyana-Mokhosi, I.; Kuznetsova, N.; Nyokong, T. Photochemical studies of tetra-2, 3-pyridinoporphyrazines. J. Photochem. Photobiol. A Chem. 2001, 140, 215–222. [Google Scholar] [CrossRef]
- Kuznetsova, N.A.; Okunchikov, V.V.; Derkacheva, V.M.; Kaliya, O.L.; Lukyanets, E.A. Photooxidation of metallophthalocyanines: The effects of singlet oxygen and PcM-O 2 complex formation. J. Porphyrins Phthalocyanines 2005, 9, 393–397. [Google Scholar] [CrossRef]
- Kuznetsova, N.A.; Makarov, D.A.; Yuzhakova, O.A.; Solovieva, L.I.; Kaliya, L.O. Study on the photostability of water-soluble Zn (II) and Al (III) phthalocyanines in aqueous solution. J. Porphyrins Phthalocyanines 2010, 14, 968–974. [Google Scholar] [CrossRef]
- Chauke, V.; Ogunsipe, A.; Durmuş, M.; Nyokong, T. Novel gallium (III) phthalocyanine derivatives—Synthesis, photophysics and photochemistry. Polyhedron 2007, 26, 2663–2671. [Google Scholar] [CrossRef]
- Lü, X.; Li, J.; Wang, C.; Duan, M.; Luo, Y.; Yao, G.; Wang, J.L. Enhanced photoactivity of CuPp-TiO2 photocatalysts under visible light irradiation. Appl. Surf. Sci. 2010, 257, 795–801. [Google Scholar] [CrossRef]








| Material | Measured Particle Size [nm] | Polydispersity Index a | 
|---|---|---|
| P25 | 132.1 ± 85.1 | 0.42 | 
| 3@P25 | 148.4 ± 99.3 | 0.45 | 
| 7@P25 | 159.1 ± 101.2 | 0.40 | 
| Publisher’s Note: MDPI stays neutral with regard to jurisdictional claims in published maps and institutional affiliations. | 
© 2021 by the authors. Licensee MDPI, Basel, Switzerland. This article is an open access article distributed under the terms and conditions of the Creative Commons Attribution (CC BY) license (https://creativecommons.org/licenses/by/4.0/).
Share and Cite
Mlynarczyk, D.T.; Ziental, D.; Kolasinski, E.; Sobotta, L.; Koczorowski, T.; Mielcarek, J.; Goslinski, T. Nipagin-Functionalized Porphyrazine and Phthalocyanine—Synthesis, Physicochemical Characterization and Toxicity Study after Deposition on Titanium Dioxide Nanoparticles P25. Molecules 2021, 26, 2657. https://doi.org/10.3390/molecules26092657
Mlynarczyk DT, Ziental D, Kolasinski E, Sobotta L, Koczorowski T, Mielcarek J, Goslinski T. Nipagin-Functionalized Porphyrazine and Phthalocyanine—Synthesis, Physicochemical Characterization and Toxicity Study after Deposition on Titanium Dioxide Nanoparticles P25. Molecules. 2021; 26(9):2657. https://doi.org/10.3390/molecules26092657
Chicago/Turabian StyleMlynarczyk, Dariusz T., Daniel Ziental, Emil Kolasinski, Lukasz Sobotta, Tomasz Koczorowski, Jadwiga Mielcarek, and Tomasz Goslinski. 2021. "Nipagin-Functionalized Porphyrazine and Phthalocyanine—Synthesis, Physicochemical Characterization and Toxicity Study after Deposition on Titanium Dioxide Nanoparticles P25" Molecules 26, no. 9: 2657. https://doi.org/10.3390/molecules26092657
APA StyleMlynarczyk, D. T., Ziental, D., Kolasinski, E., Sobotta, L., Koczorowski, T., Mielcarek, J., & Goslinski, T. (2021). Nipagin-Functionalized Porphyrazine and Phthalocyanine—Synthesis, Physicochemical Characterization and Toxicity Study after Deposition on Titanium Dioxide Nanoparticles P25. Molecules, 26(9), 2657. https://doi.org/10.3390/molecules26092657
 
         
                                                


 
       