Aromatic Rings as Molecular Determinants for the Molecular Recognition of Protein Kinase Inhibitors
Abstract
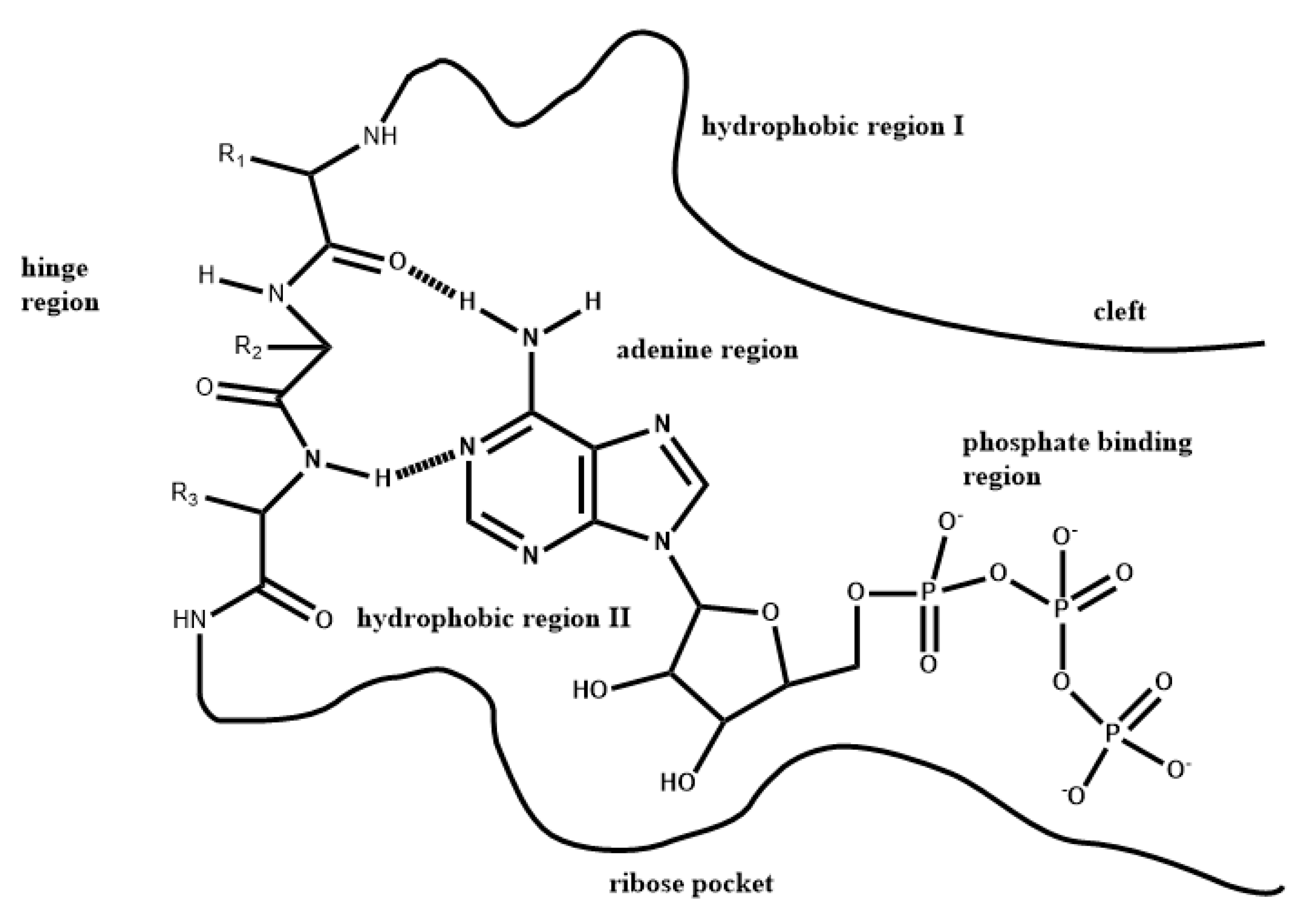
1. Introduction
2. Results
2.1. Data Mining of PKIs
2.2. Chemoinformatic Analysis of PKIs
2.2.1. Molecular Descriptors
2.2.2. Relationship between Aromatic Rings and Hydrogen Bonds
2.3. Aromatic Rings as Determinants for Molecular Recognition of PKIs
2.3.1. Modes of Non-Bonded Intermolecular Interactions

2.3.2. Strengths of Non-Bonded Intermolecular Interactions
3. Discussions
4. Theory and Methods
4.1. Data Mining of PKIs
- The 28 March 2018 release of the PDB was searched for Pfam [35] accession numbers PF00069, PF07714, PF00454, PF00794 and PF12330, resulting in a total of 4884 entries that contained protein kinases;
- Only high-resolution (2.5 Å or better) X-ray crystal structures of protein kinases complexed with bound PKIs were retained for further analysis. The reason for the cut-off is two-fold: (i) to ensure quality of the structures, and (ii) to ensure that selected PKIs have a sufficiently high binding affinity to kinase because the formation of a well-ordered ligand-protein co-crystal that is good enough for 2.5 Å resolution requires a reasonably high binding affinity [60];
- Multiple protein kinases bound with the same PKI were filtered out to retain one protein kinase only for each PKI.
4.2. Chemoinformatic Analysis: Molecular Descriptors
4.3. Quantum Chemical Calculation of Intermolecular Interaction Energies
Supplementary Materials
Author Contributions
Funding
Institutional Review Board Statement
Informed Consent Statement
Data Availability Statement
Acknowledgments
Conflicts of Interest
Sample Availability
References
- Manning, G.; Plowman, G.D.; Hunter, T.; Sudarsanam, S. Evolution of protein kinase signaling from yeast to man. Trends Biochem. Sci. 2002, 27, 514–520. [Google Scholar] [CrossRef]
- Cohen, P. The regulation of protein function by multisite phosphorylation—A 25 year update. Trends Biochem. Sci. 2000, 25, 596–601. [Google Scholar] [CrossRef]
- Johnson, G.L.; Lapadat, R. Mitogen-activated protein kinase pathways mediated by ERK, JNK, and p38 protein kinases. Science 2002, 298, 1911–1912. [Google Scholar] [CrossRef] [PubMed]
- Gray, N.; Detivaud, L.; Doerig, C.; Meijer, L. ATP-site directed inhibitors of cyclin-dependent kinases. Curr. Med. Chem. 1999, 6, 859–875. [Google Scholar] [PubMed]
- Al-Obeidi, F.A.; Wu, J.J.; Lam, K.S. Protein tyrosine kinases: Structure, substrate specificity, and drug discovery. Biopolymers 1998, 47, 197–223. [Google Scholar] [CrossRef]
- Manning, G.; Whyte, D.B.; Martinez, R.; Hunter, T.; Sudarsanam, S. The protein kinase complement of the human genome. Science 2002, 298, 1912–1934. [Google Scholar] [CrossRef]
- Fabbro, D.; Cowan-Jacob, S.W.; Moebitz, H. Ten things you should know about protein kinases: IUPHAR Review 14. Br. J. Pharmacol. 2015, 172, 2675–2700. [Google Scholar] [CrossRef]
- Cohen, P. Protein kinases—The major drug targets of the twenty-first century? Nat. Rev. Drug Discov. 2002, 1, 309. [Google Scholar] [CrossRef]
- Hunter, T. Why nature chose phosphate to modify proteins. Philos. Trans. R. Soc. B Biol. Sci. 2012, 367, 2513. [Google Scholar] [CrossRef]
- Edelman, A.M.; Blumenthal, D.K.; Krebs, E.G. Protein serine/threonine kinases. Annu. Rev. Biochem. 1987, 56, 567–613. [Google Scholar] [CrossRef]
- Hanks, S.K.; Quinn, A.M.; Hunter, T. The protein kinase family: Conserved features and deduced phylogeny of the catalytic domains. Science 1988, 241, 42–52. [Google Scholar] [CrossRef]
- Malumbres, M.; Barbacid, M. To cycle or not to cycle: A critical decision in cancer. Nat. Rev. Cancer 2001, 1, 222–231. [Google Scholar] [CrossRef]
- Bridges, A.J. Chemical inhibitors of protein kinases. Chem. Rev. 2001, 101, 2541–2571. [Google Scholar] [CrossRef]
- Lee, J.C.; Kumar, S.; Griswold, D.E.; Underwood, D.C.; Votta, B.J.; Adams, J.L. Inhibition of p38 MAP kinase as a therapeutic strategy. Immunopharmacology 2000, 47, 185–201. [Google Scholar] [CrossRef]
- Fischer, P.M.; Lane, D.P. Inhibitors of cyclin-dependent kinases as anti-cancer therapeutics. Curr. Med. Chem. 2000, 7, 1213–1245. [Google Scholar] [CrossRef]
- Myers, M.R.; He, W.; Hulme, C. Inhibitors of tyrosine kinases involved in inflammation and autoimmune disease. Curr. Pharm. Des. 1997, 3, 473–502. [Google Scholar]
- Melnikova, I.; Golden, J. Targeting Protein Kinases; Nature Publishing Group: Berlin, Germany, 2004. [Google Scholar]
- Cohen, P.; Alessi, D.R. Kinase Drug Discovery—What’s Next in the Field? ACS Chem. Biol. 2013, 8, 96–104. [Google Scholar] [CrossRef]
- Davies, S.P.; Reddy, H.; Caivano, M.; Cohen, P. Specificity and mechanism of action of some commonly used protein kinase inhibitors. Biochem. J. 2000, 351, 95–105. [Google Scholar] [CrossRef]
- Zhang, J.; Yang, P.L.; Gray, N.S. Targeting cancer with small molecule kinase inhibitors. Nat. Rev. Cancer 2009, 9, 28. [Google Scholar] [CrossRef]
- Pillai, P.; Surenya, R.S.; VNair, S.; Lakshmanan, V.K. Cancer Kinases and its Novel Inhibitors: Past, Present and Future Challenges. Curr. Drug Targets 2015, 16, 1233–1245. [Google Scholar] [CrossRef]
- Liu, Y.; Gray, N.S. Rational design of inhibitors that bind to inactive kinase conformations. Nat. Chem. Biol. 2006, 2, 358–364. [Google Scholar] [CrossRef]
- Zuccotto, F.; Ardini, E.; Casale, E.; Angiolini, M. Through the “Gatekeeper Door”: Exploiting the Active Kinase Conformation. J. Med. Chem. 2010, 53, 2681–2694. [Google Scholar] [CrossRef]
- Traxler, P.; Furet, P. Strategies toward the design of novel and selective protein tyrosine kinase inhibitors. Pharmacol. Ther. 1999, 82, 195–206. [Google Scholar] [CrossRef]
- Van Linden, O.P.; Kooistra, A.J.; Leurs, R.; De Esch, I.J.; De Graaf, C. KLIFS: A Knowledge-Based Structural Database To Navigate Kinase-Ligand Interaction Space. J. Med. Chem. 2014, 57, 249–277. [Google Scholar] [CrossRef]
- Demetri, G.D.; Von Mehren, M.; Blanke, C.D.; Van den Abbeele, A.D.; Eisenberg, B.; Roberts, P.J.; Heinrich, M.C.; Tuveson, D.A.; Singer, S.; Janicek, M.; et al. Efficacy and safety of imatinib mesylate in advanced gastrointestinal stromal tumors. N. Engl. J. Med. 2002, 347, 472–480. [Google Scholar] [CrossRef]
- Roskoski, R. Properties of FDA-approved small molecule protein kinase inhibitors: A 2020 update. Pharmacol. Res. 2020, 144, 19–50. [Google Scholar] [CrossRef]
- Bournez, C.; Carles, F.; Peyrat, G.; Aci-Sèche, S.; Bourg, S.; Meyer, C.; Bonnet, P. Comparative Assessment of Protein Kinase Inhibitors in Public Databases and in PKIDB. Molecules 2020, 25, 3226. [Google Scholar] [CrossRef] [PubMed]
- Bhullar, K.S.; Lagarón, N.O.; McGowan, E.M.; Parmar, I.; Jha, A.; Hubbard, B.P.; Rupasinghe, H.V. Kinase-targeted cancer therapies: Progress, challenges and future directions. Mol. Cancer 2018, 17, 48. [Google Scholar] [CrossRef] [PubMed]
- Ferguson, F.M.; Gray, N.S. Kinase inhibitors: The road ahead. Nat. Rev. Drug Discov. 2018, 17, 353. [Google Scholar] [CrossRef] [PubMed]
- Krishnamurty, R.; Maly, D.J. Biochemical Mechanisms of Resistance to Small-Molecule Protein Kinase Inhibitors. ACS Chem. Biol. 2010, 5, 121–138. [Google Scholar] [CrossRef] [PubMed]
- Badrinarayan, P.; Sastry, G.N. Rational Approaches Towards Lead Optimization of Kinase Inhibitors: The Issue of Specificity. Curr. Pharm. Des. 2013, 19, 4714–4738. [Google Scholar] [CrossRef]
- Liao, J.J.L. Molecular recognition of protein kinase binding pockets for design of potent and selective kinase inhibitors. J. Med. Chem. 2007, 50, 409–424. [Google Scholar] [CrossRef]
- Berman, H.M.; Westbrook, J.; Feng, Z.; Gilliland, G.; Bhat, T.N.; Weissig, H.; Shindyalov, I.N.; Bourne, P.E. The protein data bank. Nucleic Acids Res. 2000, 28, 235–242. [Google Scholar] [CrossRef]
- Bateman, A.; Coin, L.; Durbin, R.; Finn, R.D.; Hollich, V.; Griffiths-Jones, S.; Khanna, A.; Marshall, M.; Moxon, S.; Sonnhammer, E.L.; et al. The Pfam protein families database. Nucleic Acids Res. 2004, 32 (Suppl. 1), D138–D141. [Google Scholar] [CrossRef] [PubMed]
- Todeschini, R.; Consonni, V. Handbook of Molecular Descriptors; John Wiley & Sons: Hoboken, NJ, USA, 2008; Volume 11. [Google Scholar]
- Lipinski, C.A.; Lombardo, F.; Dominy, B.W.; Feeney, P.J. Experimental and computational approaches to estimate solubility and permeability in drug discovery and development settings. Adv. Drug Deliv. Rev. 1997, 23, 3–25. [Google Scholar] [CrossRef]
- Veber, D.F.; Johnson, S.R.; Cheng, H.Y.; Smith, B.R.; Ward, K.W.; Kopple, K.D. Molecular properties that influence the oral bioavailability of drug candidates. J. Med. Chem. 2002, 45, 2615–2623. [Google Scholar] [CrossRef] [PubMed]
- Persch, E.; Dumele, O.; Diederich, F. Molecular Recognition in Chemical and Biological Systems. Angew. Chem. Int. Ed. 2015, 54, 3290–3327. [Google Scholar] [CrossRef]
- Bissantz, C.; Kuhn, B.; Stahl, M. A Medicinal Chemist’s Guide to Molecular Interactions. J. Med. Chem. 2010, 53, 5061–5084. [Google Scholar] [CrossRef]
- Hunter, C.A.; Singh, J.; Thornton, J.M. π-π interactions: The geometry and energetics of phenylalanine-phenylalanine interactions in proteins. J. Mol. Biol. 1991, 218, 837–846. [Google Scholar] [CrossRef]
- Nishio, M.; Umezawa, Y.; Fantini, J.; Weiss, M.S.; Chakrabarti, P. CH-π hydrogen bonds in biological macromolecules. Phys. Chem. Chem. Phys. 2014, 16, 12648–12683. [Google Scholar] [CrossRef]
- Gallivan, J.P.; Dougherty, D.A. Cation-π interactions in structural biology. Proc. Natl. Acad. Sci. USA 1999, 96, 9459–9464. [Google Scholar] [CrossRef] [PubMed]
- Brandl, M.; Weiss, M.S.; Jabs, A.; Sühnel, J.; Hilgenfeld, R. Ch⋯ π-interactions in proteins. J. Mol. Biol. 2001, 307, 357–377. [Google Scholar] [CrossRef] [PubMed]
- Mohan, N.; Vijayalakshmi, K.P.; Koga, N.; Suresh, C.H. Comparison of aromatic NH··· π, OH··· π, and CH··· π interactions of alanine using MP2, CCSD, and DFT methods. J. Comput. Chem. 2010, 31, 2874–2882. [Google Scholar] [CrossRef]
- Ringer, A.L.; Senenko, A.; Sherrill, C.D. Models of S/π interactions in protein structures: Comparison of the H2S–benzene complex with PDB data. Protein Sci. 2007, 16, 2216–2223. [Google Scholar] [CrossRef] [PubMed]
- Tsuzuki, S.; Honda, K.; Uchimaru, T.; Mikami, M.; Tanabe, K. Origin of the Attraction and Directionality of the NH/π Interaction: Comparison with OH/π and CH/π Interactions. J. Am. Chem. Soc. 2000, 122, 11450–11458. [Google Scholar] [CrossRef]
- Mahadevi, A.S.; Sastry, G.N. Cation-pi Interaction: Its Role and Relevance in Chemistry, Biology, and Material Science. Chem. Rev. 2013, 113, 2100–2138. [Google Scholar] [CrossRef]
- Meyer, E.A.; Castellano, R.K.; Diederich, F. Interactions with aromatic rings in chemical and biological recognition. Angew. Chem. Int. Ed. 2003, 42, 1210–1250. [Google Scholar] [CrossRef]
- Bender, A.T.; Gardberg, A.; Pereira, A.; Johnson, T.; Wu, Y.; Grenningloh, R.; Head, J.; Morandi, F.; Haselmayer, P.; Liu-Bujalski, L. Ability of Bruton’s Tyrosine Kinase Inhibitors to Sequester Y551 and Prevent Phosphorylation Determines Potency for Inhibition of Fc Receptor but not B-Cell Receptor Signaling. Mol. Pharmacol. 2017, 91, 208–219. [Google Scholar] [CrossRef]
- Okamoto, K.; Ikemori-Kawada, M.; Jestel, A.; von König, K.; Funahashi, Y.; Matsushima, T.; Tsuruoka, A.; Inoue, A.; Matsui, J. Distinct Binding Mode of Multikinase Inhibitor Lenvatinib Revealed by Biochemical Characterization. ACS Med. Chem. Lett. 2015, 6, 89–94. [Google Scholar] [CrossRef]
- Grimme, S. Semiempirical hybrid density functional with perturbative second-order correlation. J. Chem. Phys. 2006, 124, 034108. [Google Scholar] [CrossRef]
- Zhu, Y. Molecular Recognition of Protein Kinase Inhibitors: A Data Mining and Advanced Quantum Chemical Study. Ph.D Thesis, University of Toledo, Toledo, OH, USA, 2019. [Google Scholar]
- Sander, T.; Freyss, J.; von Korff, M.; Rufener, C. DataWarrior: An open-source program for chemistry aware data visualization and analysis. J. Chem. Inf. Model. 2015, 55, 460–473. [Google Scholar] [CrossRef] [PubMed]
- Mauri, A.; Consonni, V.; Pavan, M.; Todeschini, R. Dragon software: An easy approach to molecular descriptor calculations. Match 2006, 56, 237–248. [Google Scholar]
- Lovering, F.; Bikker, J.; Humblet, C. Escape from Flatland: Increasing Saturation as an Approach to Improving Clinical Success. J. Med. Chem. 2009, 52, 6752–6756. [Google Scholar] [CrossRef]
- Ritchie, T.J.; Macdonald, S.J.F. The impact of aromatic ring count on compound developability—Are too many aromatic rings a liability in drug design? Drug Discov. Today 2009, 14, 1011–1020. [Google Scholar] [CrossRef]
- Mao, L.; Wang, Y.; Liu, Y.; Hu, X. Multiple intermolecular interaction modes of positively charged residues with adenine in ATP-binding proteins. J. Am. Chem. Soc. 2003, 125, 14216–14217. [Google Scholar] [CrossRef]
- Humphrey, W.; Dalke, A.; Schulten, K. VMD: Visual molecular dynamics. J. Mol. Graph. Model. 1996, 14, 33–38. [Google Scholar] [CrossRef]
- Mueller, I. Guidelines for the successful generation of protein-ligand complex crystals. Acta Crystallogr. Sect. D Struct. Biol. 2017, 73, 79–92. [Google Scholar] [CrossRef]
- Mao, L.; Wang, Y.; Liu, Y.; Hu, X. Molecular determinants for ATP-binding in proteins: A data mining and quantum chemical analysis. J. Mol. Biol. 2004, 336, 787–807. [Google Scholar] [CrossRef]
- Liu, Y.M.; Hu, X.H. Molecular determinants for binding of ammonium ion in the ammonia transporter AmtB—A quantum chemical analysis. J. Phys. Chem. A 2006, 110, 1375–1381. [Google Scholar] [CrossRef]
- Neese, F. Software update: The ORCA program system, version 4.0. Wiley Interdiscip. Rev. Comput. Mol. Sci. 2018, 8, e1327. [Google Scholar] [CrossRef]
- Weigend, F.; Ahlrichs, R. Balanced basis sets of split valence, triple zeta valence and quadruple zeta valence quality for H to Rn: Design and assessment of accuracy. Phys. Chem. Chem. Phys. 2005, 7, 3297–3305. [Google Scholar] [CrossRef]
- Grimme, S.; Ehrlich, S.; Goerigk, L. Effect of the Damping Function in Dispersion Corrected Density Functional Theory. J. Comput. Chem. 2011, 32, 1456–1465. [Google Scholar] [CrossRef]
- Weigend, F. A fully direct RI-HF algorithm: Implementation, optimised auxiliary basis sets, demonstration of accuracy and efficiency. Phys. Chem. Chem. Phys. 2002, 4, 4285–4291. [Google Scholar] [CrossRef]
- Boys, S.F.; Bernardi, F. The calculation of small molecular interactions by the differences of separate total energies. Some procedures with reduced errors. Mol. Phys. 1970, 19, 553–566. [Google Scholar] [CrossRef]
- Schmidt, M.W.; Baldridge, K.K.; Boatz, J.A.; Elbert, S.T.; Gordon, M.S.; Jensen, J.H.; Koseki, S.; Matsunaga, N.; Nguyen, K.A.; Su, S.; et al. General Atomic and Molecular Electronic-Structure System. J. Comput. Chem. 1993, 14, 1347–1363. [Google Scholar] [CrossRef]





| Name | Description |
|---|---|
| MW | Molecular weight |
| nHDon | Number of donor atoms for hydrogen bond (HB) |
| nHAcc | Number of acceptor atoms for HB |
| SA | Total surface area |
| TPSA | Topological polar surface area |
| nSK | Number of non-H atoms |
| nsp3 | Number of sp3 hybridized carbon atoms |
| RBN | Number of rotatable bonds |
| ARR | Aromatic ratio |
| cLogP | Calculated partition coefficient between octanol and water |
| nAR | Number of aromatic rings |
| Fsp3 | Fraction of sp3 carbon atoms |
| Molecular Descriptor | Min | Median | Max | Average | Ro5 a | Veber b |
|---|---|---|---|---|---|---|
| MW (Da) | 94.12 | 390.29 | 1057.11 | 390.76 ± 2.28 | 85.4% | - |
| nHDon | 0 | 2 | 16 | 2.21 ± 0.03 | 99.2% | 83.5% c |
| nHAcc | 1 | 7 | 27 | 6.77 ± 0.05 | 96.6% | |
| cLogP | −5.95 | 2.58 | 7.94 | 2.60 ± 0.03 | 94.1% | - |
| SA (Å2) | 77.39 | 289.53 | 761.02 | 289.47 ± 1.69 | - | - |
| TPSA (Å2) | 16.61 | 94.06 | 457.72 | 95.64 ± 0.72 | - | 92.9% |
| RBN | 0 | 5 | 32 | 4.77 ± 0.06 | - | 96.7% |
| ARR | 0 | 0.58 | 1 | 0.59 ± 0.00 | - | - |
| nAR | 0 | 3 | 8 | 3.04 ± 0.02 | - | - |
| Nsp3 | 0 | 6 | 31 | 6.38 ± 0.09 | - | - |
| nSK | 7 | 28 | 74 | 27.81 ± 0.17 | - | - |
| Fsp3 | 0 | 0.30 | 1.36 | 0.31 ± 0.00 | - | - |
| Number of Aromatic Rings | Number of PKIs | Percentage (%) | Average of WHBC |
|---|---|---|---|
| 0 | 1 | 0.05 | 0.474 ± 0 |
| 1 | 117 | 5.47 | 0.381 ± 0.013 |
| 2 | 507 | 23.70 | 0.369 ± 0.005 |
| 3 | 819 | 38.29 | 0.326 ± 0.003 |
| 4 | 570 | 26.65 | 0.296 ± 0.003 |
| 5 and more | 125 | 5.84 | 0.293 ± 0.004 |
| Residue | Interaction Mode | |||
|---|---|---|---|---|
| Met477 | H-bond, CH–π | −4.1 | 3.8 | −0.3 |
| Lys481 | H-bond | −3.6 | 3.3 | −0.3 |
| Tyr476 | π–π, CH–π | −4.0 | 2.5 | −1.5 |
| Phe540 | π–π, NH–π | −2.8 | 0.4 | −2.4 |
| Lys430 | cation–π, NH–π, CH–π | −12.8 | 5.4 | −7.3 |
| Val416 | CH–π | −3.0 | 0.1 | −2.9 |
| Ala428 | CH–π | −1.5 | -0.1 | −1.6 |
| Val458 | CH–π | −1.2 | -0.1 | −1.3 |
| Ile472 | CH–π | −1.4 | 0.0 | −1.4 |
| Leu528 | CH–π | −3.9 | 1.2 | −2.7 |
| Leu542 | CH–π | −1.4 | 0.0 | −1.4 |
| Table | Residue | Interaction Mode | Combined Energy (kcal/mol) | |
|---|---|---|---|---|
| Hydrogen Bonding | Met477 | H-bond, CH–π | −0.3 | −0.6 |
| Lys481 | H-bond | −0.3 | ||
| non-bonded π-interactions | Tyr476 | π–π, CH–π | −1.5 | −22.5 |
| Phe540 | π–π, NH–π | −2.4 | ||
| Lys430 | cation–π, NH–π, CH–π | −7.3 | ||
| Val416 | CH–π | −2.9 | ||
| Ala428 | CH–π | −1.6 | ||
| Val458 | CH–π | −1.3 | ||
| Ile472 | CH–π | −1.4 | ||
| Leu528 | CH–π | −2.7 | ||
| Leu542 | CH–π | −1.4 |
Publisher’s Note: MDPI stays neutral with regard to jurisdictional claims in published maps and institutional affiliations. |
© 2021 by the authors. Licensee MDPI, Basel, Switzerland. This article is an open access article distributed under the terms and conditions of the Creative Commons Attribution (CC BY) license (http://creativecommons.org/licenses/by/4.0/).
Share and Cite
Zhu, Y.; Alqahtani, S.; Hu, X. Aromatic Rings as Molecular Determinants for the Molecular Recognition of Protein Kinase Inhibitors. Molecules 2021, 26, 1776. https://doi.org/10.3390/molecules26061776
Zhu Y, Alqahtani S, Hu X. Aromatic Rings as Molecular Determinants for the Molecular Recognition of Protein Kinase Inhibitors. Molecules. 2021; 26(6):1776. https://doi.org/10.3390/molecules26061776
Chicago/Turabian StyleZhu, Yan, Saad Alqahtani, and Xiche Hu. 2021. "Aromatic Rings as Molecular Determinants for the Molecular Recognition of Protein Kinase Inhibitors" Molecules 26, no. 6: 1776. https://doi.org/10.3390/molecules26061776
APA StyleZhu, Y., Alqahtani, S., & Hu, X. (2021). Aromatic Rings as Molecular Determinants for the Molecular Recognition of Protein Kinase Inhibitors. Molecules, 26(6), 1776. https://doi.org/10.3390/molecules26061776
