Two-Step Derivatization of Amino Acids for Stable-Isotope Dilution GC–MS Analysis: Long-Term Stability of Methyl Ester-Pentafluoropropionic Derivatives in Toluene Extracts
Abstract
1. Introduction
2. Materials and Methods
2.1. Chemicals and Materials
2.2. Derivatization Procedures for Amino Acids in Human Urine Samples
2.3. Quantitative GC–MS Analyses of Amino Acids
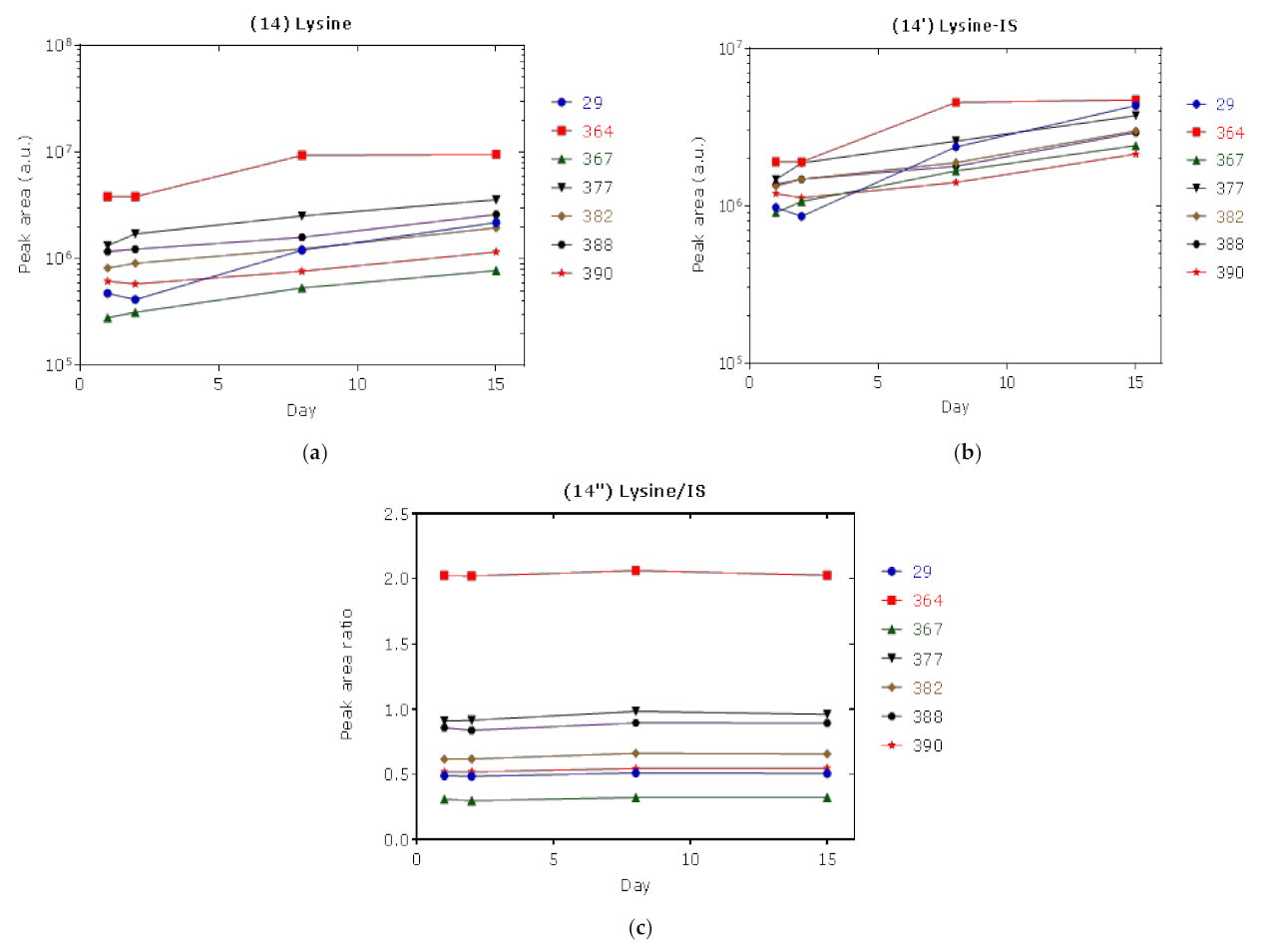
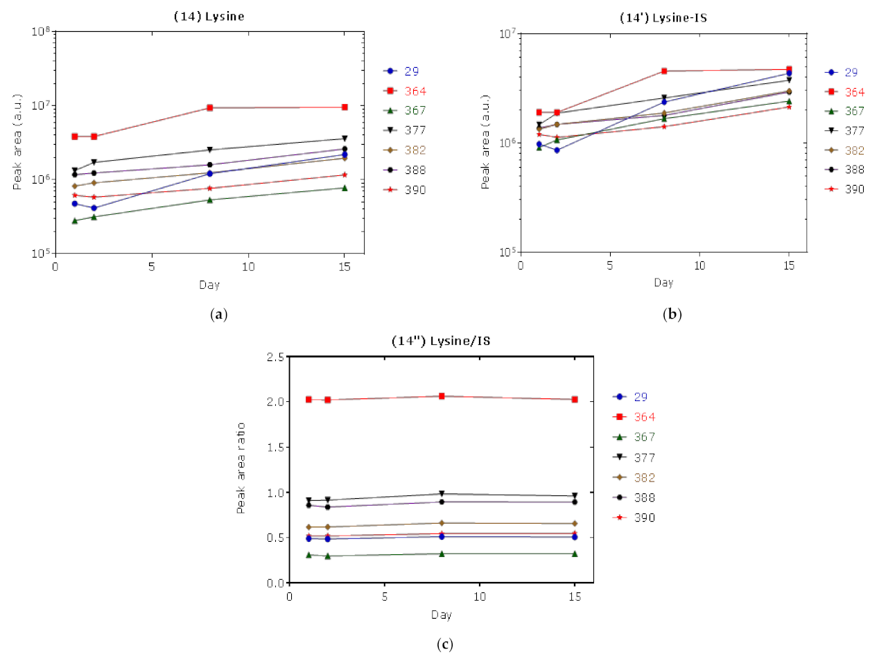
3. Results and Discussion
4. Conclusions
Supplementary Materials
Author Contributions
Funding
Institutional Review Board Statement
Informed Consent Statement
Data Availability Statement
Acknowledgments
Conflicts of Interest
Sample Availability
References
- Hušek, P.; Macek, K. Gas chromatography of amino acids. J. Chromatogr. A 1975, 113, 139–230. [Google Scholar] [CrossRef]
- Hušek, P.; Švagera, Z.; Hanzlíková, D.; Řimnáčová, L.; Zahradníčková, H.; Opekarová, I.; Šimek, P. Profiling of urinary amino-carboxylic metabolites by in-situ heptafluorobutyl chloroformate mediated sample preparation and gas-mass spectrometry. J. Chromatogr. A 2016, 1443, 211–232. [Google Scholar] [CrossRef] [PubMed]
- Ferré, S.; González-Ruiz, V.; Guillarme, D.; Rudaz, S. Analytical strategies for the determination of amino acids: Past, present and future trends. J Chromatogr. B 2019, 1132, 121819. [Google Scholar] [CrossRef] [PubMed]
- Xu, W.; Zhong, C.; Zou, C.; Wang, B.; Zhang, N. Analytical methods for amino acid determination in organisms. Amino Acids 2020, 52, 1071–1088. [Google Scholar] [CrossRef] [PubMed]
- Tsikas, D. De novo synthesis of trideuteromethyl esters of amino acids for use in GC-MS and GC-tandem MS exemplified for ADMA in human plasma and urine: Standardization, validation, comparison and proof of evidence for their aptitude as internal standards. J. Chromatogr. B 2009, 877, 2308–2320. [Google Scholar] [CrossRef] [PubMed]
- Bollenbach, A.; Hanff, E.; Beckmann, B.; Kruger, R.; Tsikas, D. GC-MS quantification of urinary symmetric dimethylarginine (SDMA), a whole-body symmetric L-arginine methylation index. Anal. Biochem. 2018, 556, 40–44. [Google Scholar] [CrossRef] [PubMed]
- Kayacelebi, A.A.; Beckmann, B.; Gutzki, F.M.; Jordan, J.; Tsikas, D. GC-MS and GC-MS/MS measurement of the cardiovascular risk factor homoarginine in biological samples. Amino Acids 2014, 46, 2205–2217. [Google Scholar] [CrossRef] [PubMed]
- Hanff, E.; Ruben, S.; Kreuzer, M.; Bollenbach, A.; Kayacelebi, A.A.; Das, A.M.; von Versen-Höynck, F.; von Kaisenberg, C.; Haffner, D.; Ückert, S.; et al. Development and validation of GC-MS methods for the comprehensive analysis of amino acids in plasma and urine and applications to the HELLP syndrome and pediatric kidney transplantation: Evidence of altered methylation, transamidination, and arginase activity. Amino Acids 2019, 51, 529–547. [Google Scholar] [CrossRef] [PubMed]
- Ruiz-Matute, A.I.; Hernández-Hernández, O.; Rodríguez-Sánchez, S.; Sanz, M.L.; Martínez-Castro, I. Derivatization of carbohydrates for GC and GC-MS analyses. J. Chromatogr. B 2011, 879, 1226–1240. [Google Scholar] [CrossRef] [PubMed]
- Frenay, A.R.; Kayacelebi, A.A.; Beckmann, B.; Soedamah-Muhtu, S.S.; de Borst, M.H.; van den Berg, E.; van Goor, H.; Bakker, S.J.; Tsikas, D. High urinary homoarginine excretion is associated with low rates of all-cause mortality and graft failure in renal transplant recipients. Amino Acids 2015, 47, 1827–1836. [Google Scholar] [CrossRef] [PubMed]
- Schwedhelm, E.; Tsikas, D.; Gutzki, F.M.; Frölich, J.C. Gas chromatographic-tandem mass spectrometric quantification of free 3-nitrotyrosine in human plasma at the basal state. Anal. Biochem. 1999, 276, 195–203. [Google Scholar] [CrossRef] [PubMed]
- Tsikas, D.; Böhmer, A.; Mitschke, A. Gas chromatography-mass spectrometry analysis of nitrite in biological fluids without derivatization. Anal. Chem. 2010, 82, 5384–5390. [Google Scholar] [CrossRef] [PubMed]
- Quéro, A.; Jousse, C.; Lequart-Pillon, M.; Gontier, E.; Guillot, X.; Courtois, B.; Courtois, J.; Pau-Roblot, C. Improved stability of TMS derivatives for the robust quantification of plant polar metabolites by gas chromatography-mass spectrometry. J. Chromatogr. B 2014, 970, 36–43. [Google Scholar] [CrossRef] [PubMed]
- Zhao, L.; Ni, Y.; Su, M.; Li, H.; Dong, F.; Chen, W.; Wei, R.; Zhang, L.; Guiraud, S.P.; Martin, F.P.; et al. High Throughput and Quantitative Measurement of Microbial Metabolome by Gas Chromatography/Mass Spectrometry Using Automated Alkyl Chloroformate Derivatization. Anal. Chem. 2017, 89, 5565–5577. [Google Scholar] [CrossRef] [PubMed]



| Amino Acid | Derivative | AA/IS (m/z) | Retention Time (min) | Dwell Time (ms) | IS (µM) |
|---|---|---|---|---|---|
| Ala | Me-PFP | 229/232 | 3.73/3.70 | 100 | 220 |
| Thr | Me-(PFP)2 | 259/262 | 4.07/4.05 | 50 | 165 |
| Gly | Me-PFP | 215/218 | 4.22/4.20 | 50 | 1100 |
| Val | Me-PFP | 257/260 | 4.44/4.42 | 50 | 33 |
| Ser | Me-(PFP)2 | 207/210 | 4.46/4.43 | 50 | 330 |
| Leu/Ile | Me-PFP | 271/274 | 5.09/5.07 | 100 | 88 |
| Asn/Asp | (Me)2-PFP | 287/293 | 6.74/6.69 | 50 | 82.5 |
| Pro | Me-PFP | 255/258 | 7.18/7.16 | 100 | 22 |
| Gln/Glu | (Me)2-PFP | 301/307 | 7.93/7.89 | 100 | 275 |
| Met | Me-PFP | 289/292 | 7.94/7.92 | 100 | 55 |
| Orn/Cit | Me-(PFP)2 | 418/421 | 8.60/8.58 | 50 | 27.5 |
| Phe | Me-PFP | 305/308 | 8.73/8.71 | 50 | 88 |
| Tyr | Me-PFP | 233/236 | 9.06/9.04 | 100 | 110 |
| Lys | Me-(PFP)2 | 432/425 | 9.51/9.49 | 50 | 110 |
| Arg | Me-(PFP)3 | 586/589 | 9.60/9.58 | 50 | 55 |
| hArg | Me-(PFP)3 | 600/603 | 10.39/10.37 | 100 | 5.5 |
| Trp | Me-(PFP)2 | 233/236 | 11.48/11.45 | 50 | 55 |
| Amino Acid | Mean Peak Area Ratio (d0/d3) | CV (%) | Inter-Indivual Variation | |||
|---|---|---|---|---|---|---|
| Day 1 | Day 2 | Day 8 | Day 15 | All Days | CV (%) | |
| Ala | 0.427 | 0.417 | 0.413 | 0.415 | 1.49 | 74–79 |
| Thr | 0.653 | 0.666 | 0.588 | 0.584 | 6.87 | 30–32 |
| Gly | 0.538 | 0.535 | 0.550 | 0.561 | 2.18 | 41–44 |
| Val | 0.966 | 0.960 | 0.813 | 0.805 | 10.1 | 29–36 |
| Ser | 0.724 | 0.721 | 0.767 | 0.782 | 4.10 | 36–37 |
| Leu/Ile | 0.580 | 0.575 | 0.564 | 0.554 | 2.04 | 49–50 |
| Asn/Asp | 2.204 | 2.216 | 2.506 | 2.571 | 8.07 | 32–37 |
| Pro | 0.081 | 0.081 | 0.079 | 0.077 | 2.41 | 21–25 |
| Gln/Glu | 2.754 | 2.754 | 3.505 | 3.372 | 12.9 | 36–39 |
| Met | 1.526 | 1.531 | 1.889 | 1.869 | 11.9 | 18–20 |
| Orn/Cit | 1.091 | 1.096 | 1.103 | 1.100 | 0.47 | 34–35 |
| Phe | 0.381 | 0.338 | 0.350 | 0.348 | 5.25 | 64–67 |
| Tyr | 0.812 | 0.813 | 0.818 | 0.804 | 0.71 | 47–49 |
| Lys | 0.818 | 0.814 | 0.855 | 0.845 | 2.41 | 67–70 |
| Arg | 0.437 | 0.430 | 0.438 | 0.434 | 0.83 | 52–55 |
| hArg a | 0.126 | 0.130 | 0.142 | 0.144 | 6.53 | 89–93 |
| Trp | 0.427 | 0.417 | 0.413 | 0.415 | 1.67 | 74–79 |
Publisher’s Note: MDPI stays neutral with regard to jurisdictional claims in published maps and institutional affiliations. |
© 2021 by the authors. Licensee MDPI, Basel, Switzerland. This article is an open access article distributed under the terms and conditions of the Creative Commons Attribution (CC BY) license (http://creativecommons.org/licenses/by/4.0/).
Share and Cite
Baskal, S.; Bollenbach, A.; Tsikas, D. Two-Step Derivatization of Amino Acids for Stable-Isotope Dilution GC–MS Analysis: Long-Term Stability of Methyl Ester-Pentafluoropropionic Derivatives in Toluene Extracts. Molecules 2021, 26, 1726. https://doi.org/10.3390/molecules26061726
Baskal S, Bollenbach A, Tsikas D. Two-Step Derivatization of Amino Acids for Stable-Isotope Dilution GC–MS Analysis: Long-Term Stability of Methyl Ester-Pentafluoropropionic Derivatives in Toluene Extracts. Molecules. 2021; 26(6):1726. https://doi.org/10.3390/molecules26061726
Chicago/Turabian StyleBaskal, Svetlana, Alexander Bollenbach, and Dimitrios Tsikas. 2021. "Two-Step Derivatization of Amino Acids for Stable-Isotope Dilution GC–MS Analysis: Long-Term Stability of Methyl Ester-Pentafluoropropionic Derivatives in Toluene Extracts" Molecules 26, no. 6: 1726. https://doi.org/10.3390/molecules26061726
APA StyleBaskal, S., Bollenbach, A., & Tsikas, D. (2021). Two-Step Derivatization of Amino Acids for Stable-Isotope Dilution GC–MS Analysis: Long-Term Stability of Methyl Ester-Pentafluoropropionic Derivatives in Toluene Extracts. Molecules, 26(6), 1726. https://doi.org/10.3390/molecules26061726

