Abstract
Thiazoles are important scaffolds in organic chemistry. Biosynthesis of thiazoles is considered to be an excellent target for the design of novel classes of therapeutic agents. In this study, a new series of 2-ethylidenehydrazono-5-arylazothiazoles 5a–d and 2-ethylidenehydrazono-5-arylazo- thiazolones 8a–d were synthesized via the cyclocondensation reaction of the appropriate hydrazonyl halides 4a–d and 7a–d with ethylidene thiosemicarbazide 3, respectively. Furthermore, the thiosemicarbazide derivative 3 was reacted with different bromoacetyl compounds 10–12 to afford the respective thiazole derivatives 13–15. Chemical composition of the novel derivatives was established on bases of their spectral data (FTIR, 1H-NMR, 13C-NMR and mass spectrometry) and microanalytical data. The newly synthesized derivatives were screened for their in vitro anti-hepatic cancer potency using an MTT assay. Moreover, an in silico technique was used to assess the interaction modes of the compounds with the active site of Rho6 protein. The docking studies of the target Rho6 with the newly synthesized fourteen compounds showed good docking scores with acceptable binding interactions. The presented results revealed that the newly synthesized compounds exhibited promising inhibition activity against hepatic cancer cell lines (HepG2).
1. Introduction
In the scope of our program, we are aiming to synthesize biologically active compounds from available inexpensive starting materials [1,2,3,4,5,6,7,8,9,10,11,12,13,14,15,16]. Functionalized thiazoles have gained much attention owing to their biological importance [17,18] such as anti-Trypanosoma cruzi agent [19], human adenosine A3 receptor antagonists [20], antiviral [21], HIV-protease inhibitory agents [22], antimicrobial [23], cytotoxic and anticancer agents [24,25]. Compounds possess two thiazole rings either connected through a linker as in bis-thiazoles, or directly connected showed promising biological activity such as DNA replication inhibitors in the cancer cells and HIV-protease inhibitors [26,27]. It was also reported that thiazoles have an anti-biofilm effect against Pseudomonas aeruginosa [28].
Cancer is a disease characterized by uncontrolled cell growth with the potential to invade other parts of the body. Hepatic cancer is the most common type of primary liver cancer, which causes death in people with cirrhosis. The Rho family of GTPases is a family of small signaling G proteins. They are important regulators of cell cycle progression, and are responsible for gene expression [29,30,31]. Homo sapiens Rho6 protein works as a sensitive molecular switch existing either in an active GDP-bound form or an active GTP-bound form. Exchange from GDP to GTP is catalyzed by the guanidine exchange factor (GEF), leading to activation in response to various upstream signals. On the other hand, GTPase-activating protein (GAP) increases the intrinsic GTPase activity, resulting in the inactivation of the protein. The overexpression of Rho6 protein has been found to be increased in some human cancers, including hepatocellular carcinoma (HCC) [32]. Therefore, herein we decided to search for novel thiazole derivatives as anticancer agents based on a computer-aided docking approach.
2. Results and Discussion
2.1. Chemistry
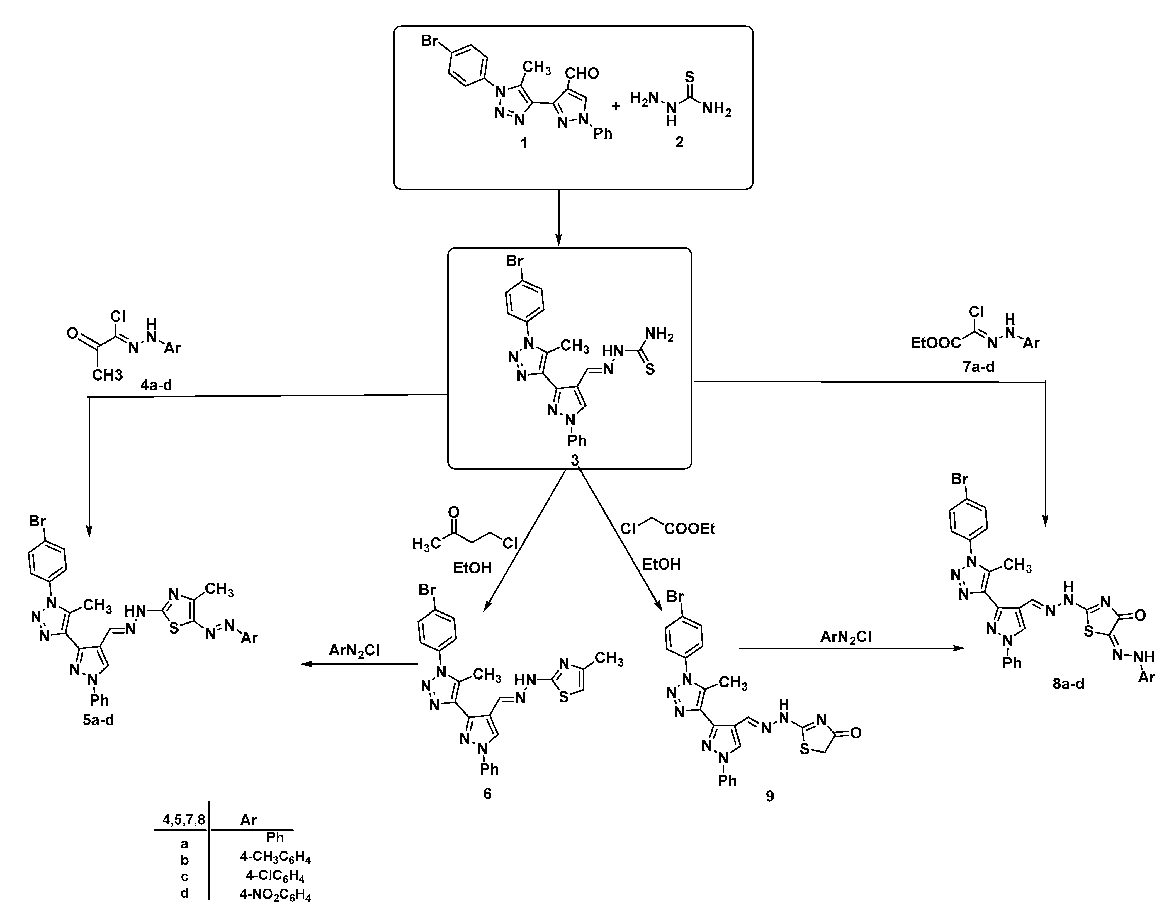
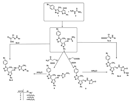
3-(1-(4-bromophenyl)-5-methyl-1H-1,2,3-triazol-4-yl)-1-phenyl-1H-pyrazole-4-carbaldehyde 1 was reacted with thiosemicarbazide 2 to give the corresponding ethylidene thiosemicarbazone 3. We launched our research on the reactions of ethylidenethiosemi carbazone 3 with the appropriate α-keto hydrazonoyl halides 4a–d in dioxane with catalytic amount of triethylamine (TEA) (Scheme 1). The structures of isolated products 5a–h were confirmed by elemental analysis together with spectral data. For example, the IR spectra of the new compounds revealed in each case the absorption bands in the region 3265–3436 and 1590–1610 cm−1 owing to the (NH) and (C=N) groups, respectively. In 1H-NMR spectra, all the products showed characteristic singlet signals in the region δ 11.34–11.73 ppm (D2O exchangeable), referred to as the −NH protons. Based on the demonstrated results, the products isolated from the reactions of 3 with 4a–h can be assigned (Scheme 1).
Scheme 1.
Synthesis of new thiazole derivatives 5a–d and thiazolone derivatives 8a–d.
Authentic samples of 5a–d could be prepared via alternative synthetic pathway. Here, ethylidenethiosemi carbazone 3 was reacted with chloroacetone under thermal conditions to give thiazole derivative 6. Coupling of the latter product 6 with the appropriate arene diazonium chloride give the respective authentic samples 5a–d (Scheme 1).
In a similar manner, thiosemicarbazone derivative 3 was reacted with ethyl (N-arylhydrazono)chloroacetates 7a–d in dioxane in the presence of TEA, affording in each case a single isolable product 8a–d. The structures of 8a–d were elucidated based on spectral data and elemental analysis (see Experimental part). For instance, the IR spectra of the products showed, in each case, one carbonyl band at 1695–1710 cm−1 and two NH bands in the regions 3334–3325 and 3259–3250 cm−1. Their mass spectra of the latter products revealed in each case, the molecular ion peaks at the expected m/z values and their elemental analysis data were consistent with the assigned structures. The thiazolidinone compound 9 was obtained by reaction of the thiosemicarbazone derivative 3 with ethyl chloroacetate in ethanol, in the presence of anhydrous sodium acetate. Coupling of the latter product 9 with arenediazonium chloride in ethanol give products identical in all aspects with the respective authentic samples 8a–d (Scheme 1).
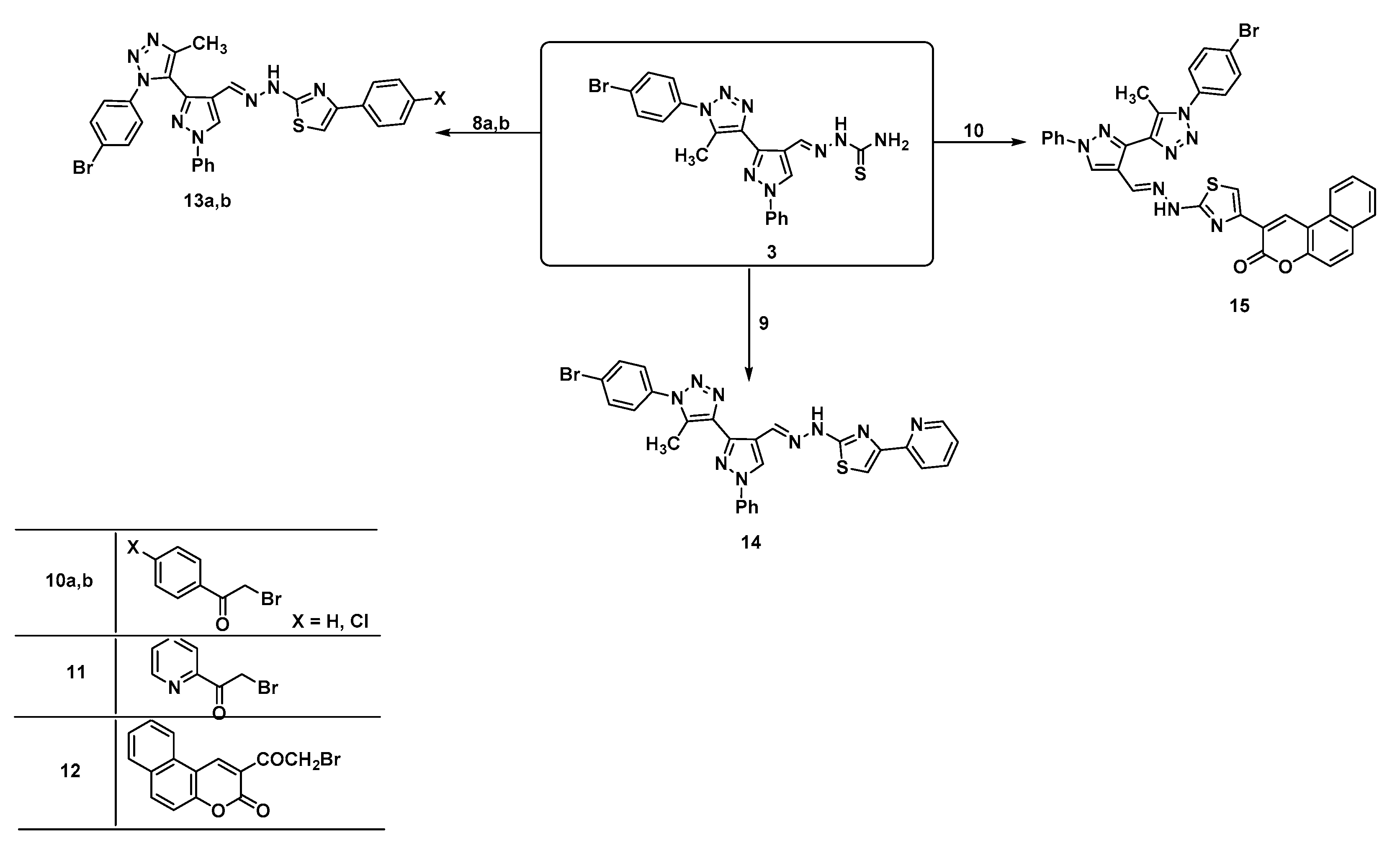
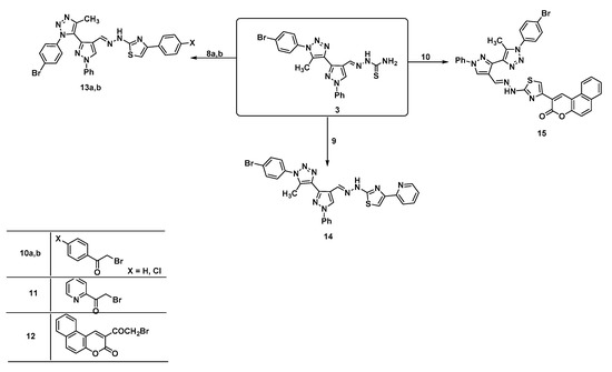
On the other hand, the thiosemicarbazone derivative 3 was reacted with different bromoacetyl compounds 10–12 to afford the respective thiazole derivatives 13–15 (Scheme 2).
Scheme 2.
Synthesis of thiazole derivatives 13–15.
2.2. Docking Study, SAR Analysis and ADMET Properties
The new synthetic compounds were subjected to dock with the active site of Rho6 protein using PyRx-virtual screening software 0.8. The theoretical binding mode of interactions of the fourteen compounds against the binding site was investigated using molecular docking studies. The crystal structure of the human RND1 GTPase in the active GTP bound state (ID: 2CLS) with resolution 2.31 Å was retrieved from RCSB for further study. All water molecules and ligand were removed from the PDB file. The grid box with dimension 25 Å × 25 Å × 25 Å was centered at the active site of the target. Nine conformers for each docked compound were obtained from the docking process, and the conformation with the best scored pose and the lowest binding energy was selected for further study. The docking scores were expressed in negative energy terms, measured in kcal/mol unit, and sorted depending on the higher negative value which implies the best affinity towards the target. The 2D and 3D representations of the non-covalent interactions of protein-compound complex were visualized using Discovery Studio 3.5 [33] as represented in Figure 1. Table 1 contains the docking results, beside the potential interferences (hydrogen bonds, π-π stacking, π-cation and π-sigma), bond lengths between the compounds and Rho6. Compound 1 with binding energy −6.8 kcal.mol−1, docked with the target through arene-cation and arene-sigma interactions with Lys106 at the distances of 4.95 and 3.46 Å respectively. In addition, compounds 3 and 14 docked with the residue Arg96 through arene-cation contacts at the distances of 3.98, and 4.02 Å respectively. In addition, compound 14 showed one hydrogen bond interaction with Ser95 at 2.95 For the set of derivatives 5a–5d; the compound 5a with phenyl ring showed binding energy −8.2 kcal.mol−1 docked with the residue Arg96 through arene-cation interaction at the distances of 3.95 Å. On the other hand, introducing of electron donating group as –Me to phenyl ring as in compound 5b, increases the docking energy to −9.2 kcal.mol−1 [34]. Compound 5b (−9.4 kcal.mol−1) exhibited H-bonding and arene-cation interactions with Gln158 and Arg108 at 1.97 and 4.02 Å, respectively. Introducing of electron withdrawing groups on phenyl ring causes lower activity than electron donating groups [34]. For compounds 5c and 5d with electron withdrawing groups like −Cl (−9.0 kcal.mol−1) and –NO2 (−9.1 kcal.mol−1), they exhibited H-bonds and arene-cation interactions with the active site of the target. For other set of derivatives 8a–8d; the compound 8a exhibited two hydrogen bonding interactions with Ser64 and Trp66 at 2.10, and 1.96 Å, respectively. Compound 8b with electron donating group exhibited high docking score (−9.9 kcal.mol−1) showed three H-bonding interactions with Gln158 and Leu159. Compounds 8c and 8d with electron withdrawing groups –Cl (weak) and –NO2 (strong) exhibited lower scores than compound with electron donating group –CH3. For compound 13a, two H-bonds and one arene-cation interactions were formed with the target through Ser95, Glu138 and Arg96 at the distances of 2.50, 2.15 and 4.10 Å respectively. Meanwhile, the molecular docking of compound 13b showed one hydrogen bond contact with Asp132 at 2.99 Å. Finally, compound 15 (with the binding energy of −9.2 kcal.mol−1) revealed two arene-cation interactions with Lys15 at the distances of 5.74 and 5.50 Å, respectively. The protein-compound interaction maps of 2D and 3D for some molecules are depicted in Figure 1. The other docked molecules with the target are represented in Supplementary Materials as Figure S1.
Figure 1.
2D and 3D representations of Rho6-compound complexes. Hydrogen bonds are represented in green and blue dotted lines, while π-stacking are shown in orange lines.
Table 1.
Molecular docking results for the screened compounds and Rho6 protein.
The pharmacokinetics and physicochemical properties, as tabulated in Table 2, provide a quantitative description of what the human body does to a compound that is administrated. According to Lipinski’s rule of five (RO5), most of the synthesized compounds follow the criteria for orally active drugs. Therefore, they may be considered as potential drug candidates against cancer.
Table 2.
List of ADME and physicochemical properties of the title compounds 1–15.
2.3. Biological Activity
Anti-proliferative Activity
The novel derivatives 5–15 were screened for their cytotoxicity against the BALB/3T3 (murine fibroblast) and the human liver carcinoma cell line (HepG2) using doxorubicin as standard drug with IC50 value 3.56 ± 0.46 µg/mL in MTT assay. Cytotoxic activities were expressed as the mean IC50 of three independent experiments. The results are tabulated in Table 3.
Table 3.
Antiproliferative activity of the new derivatives towards liver (HepG2) and normal (BALAB/3T3) cell lines.
Compounds were tested in concentrations from 100 to 0.1 µg/mL. Nd: no detectable activity in the used concentrations. Concentration of DMSO: 1%.
3. Conclusions
In our ongoing efforts to develop novel and potential biologically and pharmaceutically active compounds, this work described an efficient approach for the synthesis of novel thiazole derivatives. They were characterized by IR, 1H-NMR, 13C-NMR, MS and elemental analysis. An in silico study was carried out to identify the potency of the newly synthesized compounds. The molecular docking study revealed that all the synthesized compounds exhibited good binding energy towards the target Rho6. Overall, the newly synthesized compounds represent encouraging starting points for the development of new drug candidates as anti-hepatic cancer agents.
4. Experimental
4.1. Chemistry
Experimental Instrumentation
All melting points were determined on an electrothermal apparatus and are uncorrected. IR spectra were recorded (KBr discs) on a Shimadzu FT-IR 8201 PC spectrophotometer1H-NMR and 13C-NMR spectra were recorded in DMSO-d6 solutions on BRUKER 400 Chemical shifts are expressed in ppm units using TMS as an internal reference. Mass spectra were recorded on a GC-MS QP1000 EX Shimadzu Elemental analyses were carried out at the Microanalytical Center of Cairo University.
2-((3-(1-(4-bromophenyl)-5-methyl-1H-1,2,3-triazol-4-yl)-1-phenyl-1H-pyrazol-4-yl)methylene)hydrazine-1-carbothioamide (3) Yellow crystals; (69% yield); mp 168–170 °C (EtOH); IR (KBr): v/cm−1 3436 (broad, NH, NH2), 3092, 2929 (CH), 1620(C=C), 1595 (C=N); 1H-NMR (DMSO-d6): δ 2.49 (s, 3H, CH3), 7.40(s, 2H, NH2), 7.57–8.51 (m, 9H, Ar-H), 8.73(s, 1H, pyrazole-H5), 9.26(s, 1H, CH-aliphatic), 11.51 (s, 1H, NH); 13C-NMR (DMSO-d6): δ 9.6, 119.9, 123.1, 126.2, 128.1, 129.3, 131.6, 133.5, 134.9, 139.7, 141.3, 143.3, 143.9,170.5; MS m/z (%): 481 (M+, 13). Anal. Calcd for C20H17BrN8S (481.38): C, 49.90; H, 3.56; N, 23.28. Found C, 49.96; H, 3.52; N, 23.25%.
Reactions of 2-((3-(1-(4-bromophenyl)-5-methyl-1H-1,2,3-triazol-4-yl)-1-phenyl-1H- pyrazol-4-yl)methylene)hydrazine-1-carbothioamide (3) with hydrazonoyl halides 4a–d and 7a–d.
General procedure: A mixture of 2-((3-(1-(4-bromophenyl)-5-methyl-1H-1,2,3-tria zol-4-yl)-1-phenyl-1H-pyrazol-4-yl)methylene)hydrazine-1-carbothioamide (3) (10 mmol) and appropriate hydrazonoyl halides 3a–h (1 mmol) in dioxane (15 mL) containing triethylamine (0.1 g, 1 mmol) was refluxed until all the starting materials were consumed (4a–d and 7a–d as monitored by TLC). Excess of solvent was removed under reduced pressure. The product separated was filtered, dried and recrystallized from the appropriate solvent to give compounds 4a–d and 7a–d. The products, together with their physical constants, are listed below.
2-(2-(3-(1-(4-bromophenyl)-5-methyl-1H-1,2,3-triazol-4-yl)-1-phenyl-1H-pyrazol-4-yl) methylene)hydrazinyl)-4-methyl-5-(-phenyldiazenyl)thiazole (5a)
Red crystals; (72% yield); mp 210–212 °C (Ethanol); IR (KBr): v/cm−1 3368 (NH), 3072, 2920 (CH), 1620(C=C), 1600 (C=N); 1H-NMR (DMSO-d6): δ 2.49 (s, 3H, CH3), 2.61(s, 3H, CH3), 7.39–8.56 (m, 14H, Ar-H), 8.70(s, 1H, pyrazole-H5), 9.29(s, 1H, CH-aliphatic, CH=N), 11.56 (s, 1H, NH); 13C-NMR (DMSO-d6): δ 9.6, 119.6, 123.5, 126.2, 128.4, 129.3, 131.6, 133.5, 135.9, 139.7, 143.3, 143.6, 147.9, 164.9; MS m/z (%): 623 (M+, 100). Anal. Calcd for C29H23BrN10S (623.54): C, 55.86; H, 3.72; N, 22.46. Found C, 55.92; H, 3.65; N, 22.41%.
2-(2-(3-(1-(4-bromophenyl)-5-methyl-1H-1,2,3-triazol-4-yl)-1-phenyl-1H-pyrazol-4-yl)methylene)hydrazinyl)-4-methyl-5-p-tolyldiazenyl)thiazole(5b)
Red crystals; (65% yield); mp 193–195 °C (Ethanol); IR (KBr): v/cm−1 3404 (NH), 3080, 2972 (CH), 1615(C=C), 1596 (C=N); 1H-NMR (DMSO-d6): δ 2.35 (s, 3H, CH3), 2.59 (s, 3H, CH3), 2.61(s, 3H, CH3), 7.44-8.59 (m, 13H, Ar-H), 8.77(s, 1H, pyrazole-H5), 9.30 (s, 1H, CH-aliphatic, CH=N), 11.51 (s, 1H, NH); 13C-NMR (DMSO-d6): δ 9.6, 9.7, 119.8, 123.7, 126.2, 128.8, 129.2, 131.9, 133.6, 138.6, 144.3, 143.6, 147.8, 167.6; MS m/z (%): 637 (M+, 14). Anal. Calcd for C30H25BrN10S (637.56): C, 56.52; H, 3.95; N, 21.97. Found C, 56.58; H, 3.91; N, 21.92%.
2-(2-(3-(1-(4-bromophenyl)-5-methyl-1H-1,2,3-triazol-4-yl)-1-phenyl-1H-pyrazol-4-yl)methylene)hydrazinyl)-5-(4-chlorophenyl)diazenyl)-4-methylthiazole (5c)
Red crystals; (65% yield); mp 205-207 °C (Ethanol); IR (KBr): v/cm−1 3338 (NH), 3046, 2977 (CH), 1620 (C=C), 1592 (C=N); 1H-NMR (DMSO-d6): δ 2.58 (s, 3H, CH3), 2.60 (s, 3H, CH3), 7.40–8.62 (m, 13H, Ar-H), 8.81 (s, 1H, pyrazole-H5), 9.30 (s, 1H, CH-aliphatic, CH=N), 11.62 (s, 1H, NH); 13C-NMR (DMSO-d6): δ 9.9, 119.8, 123.7, 126.2, 128.8, 129.4, 131.9, 133.8, 138.6, 144.3, 143.8, 147.8, 167.6; MS m/z (%): 659 (M+, 2, 20), 657 (M+, 15). Anal. Calcd for C29H22BrClN10S (657.98): C, 52.94; H, 3.37; N, 21.29. Found C, 52.89; H, 3.29; N, 21.25%.
2-(2-(3-(1-(4-bromophenyl)-5-methyl-1H-1,2,3-triazol-4-yl)-1-phenyl-1H-pyrazol-4- yl)methylene)hydrazinyl)-4-methyl-5-(4-nitrophenyl)diazenyl)thiazole (5d)
Red crystals; (75% yield); mp 161–163 °C (Ethanol); IR (KBr): v/cm−1 3425 (NH), 3051, 2927 (CH), 1620(C=C), 1590 (C=N); 1H-NMR (DMSO-d6): δ 2.27 (s, 3H, CH3), 2.48(s,3H, CH3), 7.42–8.57 (m, 13H, Ar-H), 8.76 (s, 1H, pyrazole-H5), 9.31 (s, 1H, CH-aliphatic, CH=N), 11.51 (s, 1H, NH); 13C-NMR (DMSO-d6): δ 9.7, 119.8, 123.7, 126.2, 128.8, 129.2, 131.9, 133.6, 138.6, 144.3, 143.6, 147.8, 167.6; MS m/z (%): 668 (M+, 6). Anal. Calcd for C29H22BrN11O2S (668.53): C, 52.10; H, 3.32; N, 23.05. Found C, 52.15; H, 3.29; N, 23.01%.
Alternate method for 5a–d: 2-(2-((3-(1-(4-bromophenyl)-5-methyl-1H-1,2,3-triazol-4-yl)-1-phenyl-1H-pyrazol-4-yl)methylene)hydrazinyl)-4-methylthiazole (6). To a solution of thiosemicarbazone 3 (2.40 g, 5 mmol) in EtOH (20 mL), chloroacetone (0.46 g, 5mmol) was added. The mixture was refluxed for 6-8 h (monitored by TLC), and then left to cool. The solid product was filtered off, washed with EtOH and recrystallized from dioxane to afford the thiazole derivative 6 as yellow solid, mp 184–186 °C (AcOH); IR (KBr): v/cm−1 3428 (NH), 3056, 2915 (CH), 1620(C=C), 1597 (C=N); 1H-NMR (DMSO-d6): δ 2.28 (s, 3H, CH3), 2.50 (s,3H, CH3), 6.37(s, 1H, thiazole-5), 7.40–8.62 (m, 9H, Ar-H), 8.62(s, 1H, pyrazole-H5), 9.30(s, 1H, CH-aliphatic, CH=N), 11.52 (s, 1H, NH); 13C-NMR (DMSO-d6): δ 9.6, 9.7, 119.5, 122.8, 123.5, 126.2, 128.4, 129.3, 132.6, 133.5, 136.9, 139.7, 143.3, 144.6, 148.9, 162; MS m/z (%): 519 (M+, 27). Anal. Calcd for C23H19BrN8S (519.43): C, 53.18; H, 3.69; N, 21.57. Found C, 52.24; H, 3.65; N, 21.54%.
Coupling of thiazole 6 with arenediazonium chlorides To a solution of 6 (0.51 g, 10 mmol) in ethanol (20 mL), cooled to 0–5 °C in an ice bath, was added, portion-wise, to a cold solution of arenediazonium chloride (prepared by diazotizing aniline derivatives (10 mmol) dissolved in hydrochloric acid (6 M, 10 mL) with a solution of sodium nitrite (0.73 g, 10 mmol) in water (5 mL)). After the complete addition of the diazonium salt, the reaction mixture was stirred for a further 30 min in an ice bath. The solid that separated was filtered off, washed with water and finally recrystallized from DMF to give products proven to be identical in all respects (mp, mixed mp and IR spectra) with compounds 5a–h which obtained from reaction of 3 with 4a–d. 2-(2-(3-(1-(4-bromophenyl)-5-methyl-1H-1,2,3-triazol-4-yl)-1-phenyl-1H-pyrazol-4-yl)methylene)hydrazinyl)-5-(2-phenylhydrazono)thiazol-4(5H)-one (8a)
Yellow solid; (61% yield); mp 160–162 °C (Ethanol); IR (KBr): v/cm−1 3433, 3253 (2NH), 3051, 2922 (CH), 1685 (C=O), 1619 (C=C), 1595 (C=N); 1H-NMR (DMSO-d6): δ 2.53 (s, 3H, CH3), 7.60–8.64 (m, 14H, Ar-H), 8.84 (s, 1H, pyrazole-H5), 9.39 (s, 1H, CH-aliphatic, CH=N), 11.34, 11.64 (s, 2H, 2NH); 13C-NMR (DMSO-d6): δ 9.8, 117.7, 119.9, 123.5, 126.2, 127.7, 128.4, 129.3, 131.6, 133.5, 135.9, 139.7, 143.3, 143.6, 147.9, 170.2; MS m/z (%): 637 (M+, 25). Anal. Calcd for C28H21BrN10OS (637.56): C, 53.77; H, 3.38; N, 22.39. Found C, 53.82; H, 3.33; N, 22.32%.
2-(2-(3-(1-(4-bromophenyl)-5-methyl-1H-1,2,3-triazol-4-yl)-1-phenyl-1H-pyrazol-4-yl)methylene)hydrazinyl)-5-(2-(p-tolyl)hydrazono)thiazol-4(5H)-one (8b)
Yellow solid; (82% yield); mp 175–177 °C (Ethanol); IR (KBr): v/cm−1 3432, 3251 (2NH), 3101, 2930 (CH), 1697(C=O), 1610(C=C), 1600 (C=N); 1H-NMR (DMSO-d6): δ 2.46 (s, 3H, CH3), 2.67 (s, 3H, CH3), 7.37–8.56 (m, 13H, Ar-H), 8.81 (s, 1H, pyrazole-H5), 9.30 (s, 1H, CH-aliphatic, CH=N), 11.55 (s, broad, 2H, 2NH); 13C-NMR (DMSO-d6): δ 9.6, 117.7, 119.9, 123.5, 126.2, 127.7, 128.4, 129.3, 131.6, 133.5, 135.9, 139.7, 143.3, 143.6, 147.9, 170; MS m/z (%): 639 (M+, 57). Anal. Calcd for C29H23BrN10OS (639.54): C, 54.46; H, 3.63; N, 21.90 Found C, 54.52; H, 3.59; N, 21.82%. 2-(2-(3-(1-(4-bromophenyl)-5-methyl-1H-1,2,3-triazol-4-yl)-1-phenyl-1H-pyrazol-4-yl)methylene)hydrazinyl)-5-(2-(4-chlorophenyl)hydrazono)thiazol-4(5H)-one(8c)
Yellow solid; (73% yield); mp 181–183 °C (Ethanol); IR (KBr): v/cm−1 3425, 3166 (2NH), 3110, 2974 (CH), 1697 (C=O), 1610(C=C), 1592 (C=N); 1H-NMR (DMSO-d6): δ 2.53 (s, 3H, CH3), 7.51–8.65 (m, 13H, Ar-H), 8.84 (s, 1H, pyrazole-H5), 9.31 (s, 1H, CH-aliphatic, CH=N), 11.59, 11.73 (s, 2H, 2NH); 13C-NMR (DMSO-d6): δ 9.6, 117.7, 119.9, 123.5, 126.2,127.7, 128.4, 129.3, 131.6, 133.5, 135.9, 139.7, 143.3, 143.6, 147.9, 170; MS m/z (%):659 (M+, 73). Anal. Calcd for C28H20BrClN10OS (659.95): C, 50.96; H, 3.05; N, 21.22. Found C, 50.91; H, 3.01; N, 21.17%.
2-(2-(3-(1-(4-bromophenyl)-5-methyl-1H-1,2,3-triazol-4-yl)-1-phenyl-1H-pyrazol-4-yl)methylene)hydrazinyl)-5-(2-(4-nitrophenyl)hydrazono)thiazol-4(5H)-one (8d)
Yellow solid; (68% yield); mp 152–154 °C (Ethanol); IR (KBr): v/cm−1 3423, 3265 (2NH), 3125, 2970 (CH), 1705 (C=O), 1620(C=C), 1600 (C=N); 1H-NMR (DMSO-d6): δ 2.50 (s,3H, CH3), 7.45-8.57 (m, 13H, Ar-H), 8.77 (s, 1H, pyrazole-H5), 9.29 (s, 1H, CH-aliphatic, CH=N), 11.56 (s, broad, 2H, 2NH); 13C-NMR (DMSO-d6): δ 9.8, 117.9, 119.9, 123.7, 126.4, 127.7, 128.4, 129.3, 131.6, 133.5, 135.9,139.7, 143.5, 143.8, 147.9, 170.4; MS m/z (%): 670 (M+, 100). Anal. Calcd for C28H20BrN11O3S (670.51): C, 50.16; H, 3.01; N, 22.98 Found C, 50.12; H, 2.97; N, 22.92%.
Alternate method for 8a–d: Synthesis of 2-(2-((3-(1-(4-bromophenyl)-5-methyl-1H-1,2,3-triazol-4-yl)-1-phenyl-1H-pyrazol-4-yl)methylene)hydrazinyl)thiazol-4(5H)-one (9) To a mixture of thiosemicarbazone 3 (4.8 g, 10mmol) and anhydrous sodium acetate (0.33 g, 4 mmol) in EtOH (20 mL), ethyl chloroacetate (1.22 g, 10 mmol) was added, and then mixture was refluxed for 6–8 h (monitored by TLC), and then left to cool. The solid product was filtered off, washed with water and recrystallized from AcOH to afford the thiazolone derivative 9 as brown solid (75% yield); mp 222–224 °C (AcOH); IR (KBr): v/cm−1 3423 (NH), 3129, 2917 (CH), 1712(C=O), 1620(C=C), 1600 (C=N); 1H-NMR (DMSO-d6): δ 2.50 (s, 3H, CH3), 4.2(s, 2H, CH2), 7.45–8.57 (m, 9H, Ar-H), 8.72 (s, 1H, pyrazole-H5), 9.29(s, 1H, CH-aliphatic, CH=N), 11.56 (s, 1H, NH); 13C-NMR (DMSO-d6): δ 9.6, 36.4, 119.6, 123.5, 127.2, 128.4, 129.3, 131.6, 133.5, 135.9, 139.7, 143.3, 143.6, 158.3, 176.4; MS m/z (%): 521 (M+, 100). Anal. Calcd for C22H17BrN8OS (521.40): C, 50.68; H, 3.29; N, 21.49 Found C, 50.73; H, 3.26; N, 21.45%.
Coupling of thiazole 9 with arenediazonium chlorides: A solution of 9 (0.10 g, 2 mmol) in ethanol (20 mL), cooled to 0–5 °C in an ice bath, was added portion-wise to a cold solution of arenediazonium chloride [prepared by diazotizing aniline derivatives (2 mmol) dissolved in hydrochloric acid (6 M, 2 mL) with a solution of sodium nitrite (0.14 g, 2 mmol) in water (3 mL)]. After the complete addition of the diazonium salt, the reaction mixture was stirred for a further 30 min in an ice bath. The solid that separated was filtered off, washed with water and finally recrystallized from EtOH to give products proved to be identical in all respects (mp, mixed mp and IR spectra) with compounds 8a–d, obtained from reaction of 3 with 7a–d.
2-(2-((3-(1-(4-bromophenyl)-4-methyl-1H-1,2,3-triazol-5-yl)-1-phenyl-1H-pyrazol-4-yl)methylene)hydrazinyl)-4-phenylthiazole (13a)
Brown solid; (68% yield); mp 210–112 °C (Acetic acid); IR (KBr): v/cm−1 3429 (NH), 3025, 2922 (CH), 1600 (C=N); 1H-NMR (DMSO-d6): δ 2.49 (s,3H, CH3), 7.26–8.48 (m, 14H, Ar-H), 8.67(s,1H, thazole-H5), 8.81(s, 1H, pyrazole-H5), 8.94(s, 1H, CH-aliphatic, CH=N), 11.52 (s, 1H, NH); δ 9.6, 119.6, 123.5, 126.2, 128.4, 129.3, 131.6, 133.5, 139.7, 143.3, 143.6, 147.9, 165.3; MS m/z (%):581 (M+, 73). Anal. Calcd for C28H21BrN8S (581.50): C, 57.83; H, 3.64; N, 19.27 Found C, 57.92; H, 3.59; N, 19.22%.
2-(2-((3-(1-(4-bromophenyl)-4-methyl-1H-1,2,3-triazol-5-yl)-1-phenyl-1H-pyrazol-4-yl)methylene)hydrazinyl)-4-(4-chlorophenyl)thiazole (13b)
Brown solid; (68% yield); mp 228–230 °C (Acetic acid); IR (KBr): v/cm−1 3435 (NH), 3029, 2927 (CH), 1610 (C=N); 1H-NMR (DMSO-d6): δ 2.59(s,3H, CH3), 7.23–8.49 (m, 13H, Ar-H), 8.76(s,1H, thazole-H5), 8.87(s, 1H, pyrazole-H5), 8.98 (s, 1H, CH-aliphatic, CH=N), 11.71 (s, 1H, NH); δ 9.8, 120.0, 123.7, 126.2, 128.4, 129.3, 131.6, 133.5, 139.7, 143.3, 143.6, 147.9, 165.5; MS m/z (%): 615 (M+, 30). Anal. Calcd for C28H20BrClN8S (615.94): C, 54.60; H, 3.27; N, 18.19 Found C, 54.69; H, 3.25; N, 18.12%.
2-(2-((3-(1-(4-bromophenyl)-5-methyl-1H-1,2,3-triazol-4-yl)-1-phenyl-1H-pyrazol-4-yl)methylene)hydrazinyl)-4-(pyridin-2-yl)thiazole (14)
Yellow solid; (62% yield); mp 192–194 °C (Acetic acid); IR (KBr): v/cm−1 3395 (NH), 3029, 2921 (CH), 1600 (C=N); 1H-NMR (DMSO-d6): δ 2.49 (s,3H, CH3), 7.37–8.59 (m, 8H, Ar-H), 8.72 (s,1H, thazole-H5), 8.91(s, 1H, pyrazole-H5), 9.01(s, 1H, CH-aliphatic, CH=N), 11.52 (s, 1H, NH); 13C-NMR (DMSO-d6): δ 9.6, 119.6, 123.5, 126.2, 128.4, 129.3, 131.6, 133.5, 135.9, 139.7, 143.3, 143.6, 147.9, 165.3; MS m/z (%): 582 (M+, 72). Anal. Calcd for C27H20BrN9S (582.48): C, 55.67; H, 3.46; N, 21.64 Found C, 55.74; H, 3.42; N, 21.61%.
2-(2-(2-((3-(1-(4-bromophenyl)-5-methyl-1H-1,2,3-triazol-4-yl)-1-phenyl-1H-pyrazol-4-yl)methylene)hydrazinyl)thiazol-4-yl)-3H-benzochromen-3-one (15)
Yellow solid; (69% yield); mp 122–224 °C (EtOH); IR (KBr): v/cm−1 3384 (NH), 3027, 2915 (CH), 1605 (C=N); 1H-NMR (DMSO-d6): δ 2.50 (s,3H, CH3), 7.41–8.45 (m, 15H, Ar-H), 8.49 (s, 1H, coumarine-H4), 8.81 (s,1H, pyrazole-H5), 8.93 (s, 1H, thiazole-H5), 9.40 (s, 1H, CH-aliphatic, CH=N), 11.53 (s, 1H, NH); 13C-NMR (DMSO-d6): δ 9.6, 114.3, 115.6, 123.5, 126.2, 128.4, 129.3, 131.5, 133.5, 135.9, 139.7, 143.3, 143.6, 147.9, 151.2, 162.9, 172.2; MS m/z (%): 699 (M+, 39). Anal. Calcd for C35H23BrN8O2S (699.59): C, 60.09; H, 3.31; N, 16.02 Found C, 60.17; H, 3.27; N, 15.96%.
4.2. Computational Studies
In this work, the binding of newly synthesized compounds to Rho6 was theoretically investigated using a computer-based docking approach. The X-ray crystal structure of the target Rho6 is retrieved from the RCSB Protein Data Bank web server (www.rcsb.org/pdb/) [35]. The two-dimensional chemical structures of the compounds are drawn using Chem Draw Ultra 0.7, and then converted to SDF format using Open Babel 2.4.1 tool [36]. The docking area is selected by generating a grid box centered at x, y and z coordinates. The in silico docking study between the newly compounds and the binding site pocket of the target is carried out using a PyRx 8.0 tool [37]. In a docking simulation, the compounds are assumed to be flexible, and the docking tool is allowed to rotate all the rotatable bonds of the compounds to obtain the best and optimized conformer of the docked molecule. The Lamarckian genetic algorithm (LGA) is used as a scoring function to calculate the different conformers of each docked compound [38]. Prediction of pharmacokinetics and physicochemical parameters of the target compounds plays an integral role in drug discovery [9]. The evaluation of drug-likeness properties for all compounds is performed using the SwissADME and Mol inspiration web-based servers [39,40]. These tools are used to evaluate the compounds based on Lipinski’s rule of five (RO5), which states that an active oral drug should qualify the following parameters: the molecular mass MW should be ≤500 g/mol; the logarithm of partition coefficient between n-octanol and water log P should be <5; the number of hydrogen bond acceptors should be nOH 2.0–20.0; the number of hydrogen bond donors nOHNH should be 0.0–6.0; and the number of rotatable bonds should be ≤10 [41]. Compounds violating more than one of these rules may have bioavailability problems.
4.3. Biological Activity
The cytotoxic evaluation of the synthesized compounds was carried out at the Regional Center for Mycology and Biotechnology at Al-Azhar University, Cairo, Egypt, according to the reported methods [42,43].
Supplementary Materials
Figure S1: 2D and 3D representations of Rho6-compound complexes.
Author Contributions
All the authors designed the study, synthesize the organic compounds, and they confirmed the chemical composition of these compounds using physical and chemical analysis. All authors were responsible for in silico molecular docking studies and revised the drafts and agreed on the final version to be submitted. All authors have read and agreed to the published version of the manuscript.
Funding
This research received no external funding.
Institutional Review Board Statement
Not applicable.
Informed Consent Statement
Not applicable.
Data Availability Statement
All data generated or analyzed during this study are included in this manuscript.
Conflicts of Interest
The authors declare no conflict of interest.
Sample Availability
Samples of the compounds are not available from the authors.
References
- Abdelhamid, A.O.; El-Idreesy, T.T.; Abdelriheem, N.A.; Dawoud, H.R. Green One-Pot Solvent-Free Synthesis of Pyrazolo [1, 5-a] pyrimidines, Azolo [3, 4-d] pyridiazines, and Thieno [2, 3-b] pyridines Containing Triazole Moiety. J. Heterocycl. Chem. 2016, 53, 710–718. [Google Scholar] [CrossRef]
- Rashdan, H.R.M.; Gomha, S.M.; El-Gendey, M.S.; El-Hashash, M.A.; Soliman, A.M.M. Eco-friendly one-pot synthesis of some new pyrazolo [1, 2-b] phthalazinediones with antiproliferative efficacy on human hepatic cancer cell lines. Green Chem. Lett. Rev. 2018, 11, 264–274. [Google Scholar] [CrossRef]
- Rashdan, H.R.M.; Nasr, S.M.; El-Refai, H.A.; Abdel-Aziz, M.S. A novel approach of potent antioxidant and antimicrobial agents containing coumarin moiety accompanied with cytotoxicity studies on the newly synthesized derivatives. J. Appl. Pharm. Sci. 2017, 7, 186–196. [Google Scholar]
- El-Hashash, M.A.; Sherif, S.M.; Badawy, A.A.; Rashdan, H.R. Facial synthesis of some new pyrazolopyridine, barbituric and thiobarbituric acid derivatives with antimicrobial activities. J. Adv. Res. 2014, 2, 900–913. [Google Scholar]
- Abdelhamid, A.O.; Abdel-Riheem, N.A.; El-Idreesy, T.T.; Rashdan, H.R.M. Synthesis of 5-arylazothiazoles, pyridines and thieno [2, 3-b] pyridines derivatives containing 1, 2, 3-triazole moiety. Chem. Eur. J. 2012, 3, 322–331. [Google Scholar] [CrossRef]
- Rashdan, H.R.; Roaiah, H.M.; Muhammad, Z.A.; Wietrzyk, J.; Milczarek, M.; Soliman, A.M. Design, efficient synthesis, mechanism of reaction and antiproliferative activity against cancer and normal cell lines of a novel class of fused pyrimidine derivatives. Acta Pol. Pharm. 2018, 75, 679–688. [Google Scholar]
- El-Hashash, M.A.; Sherif, S.M.; Badawy, A.A.; Rashdan, H.R. Synthesis of some new antimicrobial 5, 6, 7, 8-tetrahydro-pyrimido [4, 5-b] quinolone derivatives. Der Pharm. Chem. 2014, 6, 23–29. [Google Scholar]
- El-Hashash, M.A.; Sherif, S.M.; Badawy, A.A.; Rashdan, H.R. Synthesis of Potent Antimicrobial Pyrrole Derivatives. IJAR 2014, 2, 1022–1035. [Google Scholar]
- El-Naggar, M.; Mohamed, M.E.; Mosallam, A.M.; Salem, W.; Rashdan, H.R.; Abdelmonsef, A.H. Synthesis, Characterization, Antibacterial Activity, and Computer-Aided Design of Novel Quinazolin-2, 4-dione Derivatives as Potential Inhibitors Against Vibrio cholerae. Evol. Bioinform. 2020, 16, 1176934319897596. [Google Scholar] [CrossRef]
- Abdel-Aziem, A.; Rashdan, H.R.M.; Mohamed Ahmed, E.; Shabaan, S.N. Synthesis and cytotoxic activity of some novel benzocoumarin derivatives under solvent free conditions. Green Chem. Lett. Rev. 2019, 12, 9–18. [Google Scholar] [CrossRef]
- Rashdan, H.R.; Farag, M.M.; El-Gendey, M.S.; Mounier, M.M. Toward Rational Design of Novel Anti-Cancer Drugs Based on Targeting, Solubility, and Bioavailability Exemplified by 1, 3, 4-Thiadiazole Derivatives Synthesized Under Solvent-Free Conditions. Molecules 2019, 24, 2371. [Google Scholar] [CrossRef] [PubMed]
- Abdelhamid, A.O.; Abdel-Riheem, N.A.; El-Idreesy, T.T.; Rashdan, H. Synthesis of some new azolotriazine, 4-arylazopyrazole and pyridine derivatives containing 1, 2, 3-triazole moiety. Int. J. 2013, 1, 729–745. [Google Scholar]
- Elnaggar, D.H.; Abdel Hafez, N.A.; Rashdan, H.R.M.; Abdelwahed, N.A.; Awad, H.M.; Ali, K.A. Synthesis, Antimicrobial and Antitumor Evaluations of a New Class of Thiazoles Substituted on the Chromene Scaffold. Mini. Rev. Med. Chem. 2019, 19, 1717–1725. [Google Scholar] [CrossRef] [PubMed]
- Rashdan, H.R.M.; Abdel-Aziem, A.; El-Naggar, D.H.; Nabil, S. Synthesis and biological evaluation of some new pyridines, isoxazoles and isoxazolopyridazines bearing 1, 2, 3-triazole moiety. Acta Pol. Pharm. 2019, 2019 76, 469–482. [Google Scholar]
- Shehadi, I.A.; Rashdan, H.R.; Abdelmonsef, A.H. Homology Modeling and Virtual Screening Studies of Antigen MLAA-42 Protein: Identification of Novel Drug Candidates against Leukemia—An In Silico Approach. Comput. Math Methods Med. 2020. [Google Scholar] [CrossRef]
- El-Naggar, M.; El-All, A.S.A.; El-Naem, S.I.; Abdalla, M.M.; Rashdan, H.R. New Potent 5α-Reductase and Aromatase Inhibitors Derived from 1, 2, 3-Triazole Derivative. Molecules 2020, 25, 672. [Google Scholar] [CrossRef]
- Kashyap, S.J.; Garg, V.K.; Sharma, P.K.; Kumar, N.; Dudhe, R.; Gupta, J.K. Thiazoles: Having diverse biological activities. Med. Chem. Res. 2012, 21, 2123–2132. [Google Scholar] [CrossRef]
- Gupta, V.; Kant, V. A review on biological activity of imidazole and thiazole moieties and their derivatives. Sci. Int. 2013, 1, 253–260. [Google Scholar] [CrossRef]
- da Silva, E.B.; e Silva, D.A.O.; Oliveira, A.R.; da Silva Mendes, C.H.; dos Santos, T.A.R.; da Silva, A.C.; de Castro, M.C.A.; Ferreira, R.S.; Moreira, D.R.M.; de Oliveira Cardoso, M.V. Desing and synthesis of potent anti-Trypanosoma cruzi agents new thiazoles derivatives which induce apoptotic parasite death. Eur. J. Med. Chem. 2017, 130, 39–50. [Google Scholar] [CrossRef]
- Bhattacharya, P.; Leonard, J.T.; Roy, K. Exploring QSAR of thiazole and thiadiazole derivatives as potent and selective human adenosine A3 receptor antagonists using FA and GFA techniques. Bioorg. Med. Chem. 2005, 13, 1159–1165. [Google Scholar] [CrossRef]
- El-Sabbagh, O.I.; Baraka, M.M.; Ibrahim, S.M.; Pannecouque, C.; Andrei, G.; Snoeck, R.; Balzarini, J.; Rashad, A.A. Synthesis and antiviral activity of new pyrazole and thiazole derivatives. Eur. J. Med. Chem. 2009, 44, 3746–3753. [Google Scholar] [CrossRef]
- Doss, M.L.; Lalitha, K. Molecular docking studies of thiazole Schiff’s bases as HIV1-protease inhibitors. J. Curr. Chem. Pharm. Sci. 2011, 1. [Google Scholar]
- Kashyap, A.; Adhikari, N.; Das, A.; Shakya, A.; Ghosh, S.K.; Singh, U.P.; Bhat, H.R. Review on Synthetic Chemistry and Antibacterial Importance of Thiazole Derivatives. Curr. Drug Discov. Technol. 2018, 15, 214–228. [Google Scholar] [CrossRef] [PubMed]
- Morigi, R.; Locatelli, A.; Leoni, A.; Rambaldi, M. Recent patents on thiazole derivatives endowed with antitumor activity. Recent Pat Anticancer Drug Discov. 2015, 10, 280–297. [Google Scholar] [CrossRef] [PubMed]
- Desai, N.; Bhatt, N.; Somani, H.; Trivedi, A. Synthesis, antimicrobial and cytotoxic activities of some novel thiazole clubbed 1, 3, 4-oxadiazoles. Eur. J. Med. Chem. 2013, 67, 54–59. [Google Scholar] [CrossRef]
- Zaharia, V.; Ignat, A.; Palibroda, N.; Ngameni, B.; Kuete, V.; Fokunang, C.N.; Moungang, M.L.; Ngadjui, B.T. Synthesis of some p-toluenesulfonyl-hydrazinothiazoles and hydrazino-bis-thiazoles and their anticancer activity. Eur. J. Med. Chem. 2010, 45, 5080–5085. [Google Scholar] [CrossRef] [PubMed]
- Aly, A.A.; Hassan, A.A.; Bräse, S.; Ibrahim, M.A.; Abd Al-Latif, E.-S.S.; Spuling, E.; Nieger, M. 1, 3, 4-Thiadiazoles and 1, 3-thiazoles from one-pot reaction of bisthioureas with 2-(bis (methylthio) methylene) malononitrile and ethyl 2-cyano-3, 3-bis (methylthio) acrylate. J. Sulphur. Chem. 2017, 38, 69–75. [Google Scholar] [CrossRef]
- Li, S.; Chen, S.; Fan, J.; Cao, Z.; Ouyang, W.; Tong, N.; Hu, X.; Hu, J.; Li, P.; Feng, Z. Anti-biofilm effect of novel thiazole acid analogs against Pseudomonas aeruginosa through IQS pathways. Eur. J. Med. Chem. 2018, 145, 64–73. [Google Scholar] [CrossRef] [PubMed]
- Parri, M.; Chiarugi, P. Rac and Rho GTPases in cancer cell motility control. Cell Commun. Signal. 2010, 8, 23. [Google Scholar] [CrossRef]
- Dasari, T.; Kondagari, B.; Dulapalli, R.; Abdelmonsef, A.H.; Mukkera, T.; Padmarao, L.S.; Malkhed, V.; Vuruputuri, U. Design of novel lead molecules against RhoG protein as cancer target–a computational study. J. Biomol. Struct. Dyn. 2017, 35, 3119–3139. [Google Scholar] [CrossRef] [PubMed]
- Abdelmonsef, A.H. Computer-aided identification of lung cancer inhibitors through homology modeling and virtual screeningEgypt. J. Medical Hum. Genet. 2019, 20, 6. [Google Scholar] [CrossRef]
- Jung, H.; Yoon, S.R.; Lim, J.; Cho, H.J.; Lee, H.G. Dysregulation of Rho GTPases in Human Cancers. Cancers 2020, 12, 1179. [Google Scholar] [CrossRef] [PubMed]
- Ramatenki, V.; Potlapally, S.R.; Dumpati, R.K.; Vadija, R.; Vuruputuri, U. Homology modeling and virtual screening of ubiquitin conjugation enzyme E2A for designing a novel selective antagonist against cancer. J. Recept. Signal Transduct. Res. 2015, 35, 536–549. [Google Scholar] [CrossRef] [PubMed]
- Haredi Abdelmonsef, A.; Eldeeb Mohamed, M.; El-Naggar, M.; Temairk, H.; Mohamed Mosallam, A. Novel quinazolin-2, 4-dione hybrid molecules as possible inhibitors against Malaria: Synthesis and In silico molecular docking studies. Front. Mol. Biosci. 2020, 7, 105. [Google Scholar] [CrossRef] [PubMed]
- Burley, S.K. Rcsb Protein Data Bank: Sustaining a Living Digital Data Resource that Enables Breakthroughs in Scientific Research and Biomedical Education. Biophys. J. 2019, 116, 329a. [Google Scholar] [CrossRef]
- O’Boyle, N.M.; Banck, M.; James, C.A.; Morley, C.; Vandermeersch, T.; Hutchison, G.R. Open Babel: An open chemical toolbox. J. Cheminformatics 2011, 3, 33. [Google Scholar] [CrossRef] [PubMed]
- Dallakyan, S.; Olson, A.J. Small-Molecule Library Screening by Docking with PyRx; Humana Press: New York, NY, USA, 2015; pp. 243–250. [Google Scholar]
- Nncube, N.B.; Ramharack, P.; Soliman, M.E. Using bioinformatics tools for the discovery of Dengue RNA-dependent RNA polymerase inhibitors. Peer J. 2018, 6, e5068. [Google Scholar] [CrossRef]
- Daina, A.; Michielin, O.; Zoete, V. SwissADME: A free web tool to evaluate pharmacokinetics, drug-likeness and medicinal chemistry friendliness of small molecules. Sci. Rep. 2017, 7, 42717. [Google Scholar] [CrossRef]
- El-Maghraby, A.M.; Abdelmonsef, A.H. Synthesis, characterization and Insilico molecular docking studies of novel chromene derivatives as Rab23 inhibitors. Egypt J. Chem. 2020, 63, 4–5. [Google Scholar] [CrossRef]
- Lipinski, C.A.; Lombardo, F.; Dominy, B.W.; Feeney, P.J. Experimental and computational approaches to estimate solubility and permeability in drug discovery and development settings. Adv. Drug Deliv. Rev. 1997, 23, 3–25. [Google Scholar] [CrossRef]
- Banasiak, D.; Barnetson, A.R.; Odell, R.A.; Mameghan, H.; Russell, P.J. Comparison between the clonogenic, MTT, and SRB assays for determining radiosensitivity in a panel of human bladder cancer cell lines and a ureteral cell line. Radiat. Oncol. Investig. 1999, 7, 77–85. [Google Scholar] [CrossRef]
- Boeckmann, B.; Bairoch, A.; Apweiler, R.; Blatter, M.-C.; Estreicher, A.; Gasteiger, E.; Martin, M.J.; Michoud, K.; O’Donovan, C.; Phan, I. The SWISS-PROT protein knowledgebase and its supplement TrEMBL in 2003. Nucleic Acids Res. 2003, 31, 365–370. [Google Scholar] [CrossRef] [PubMed]
Publisher’s Note: MDPI stays neutral with regard to jurisdictional claims in published maps and institutional affiliations. |
© 2021 by the authors. Licensee MDPI, Basel, Switzerland. This article is an open access article distributed under the terms and conditions of the Creative Commons Attribution (CC BY) license (http://creativecommons.org/licenses/by/4.0/).





























