Development of Flow Cytometric Assay for Detecting Papillary Thyroid Carcinoma Related hsa-miR-146b-5p through Toehold-Mediated Strand Displacement Reaction on Magnetic Beads
Abstract
1. Introduction
2. Materials and Methods
2.1. Materials and Reagents
2.2. Cell Culture and Tissue Sample Collection
2.3. The Extraction of miRNAs
2.4. Preparation of MB-Probe Conjugates
2.5. Detection of hsa-miR-146b-5p
3. Results
3.1. Principle of the TSDR-Based Flow Cytometric Assay
3.2. Optimization of the Experimental Conditions
3.3. Detection Performance of the TSDR-Based Flow Cytometric Assay
3.4. Specificity of the TSDR-Based Flow Cytometric Assay
3.5. Detection of Intracellular hsa-miR-146b-5p
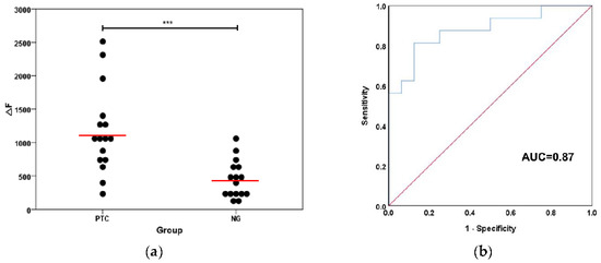
3.6. Detection of hsa-miR-146b-5p in Clinical Tissue Samples
4. Conclusions
Author Contributions
Funding
Institutional Review Board Statement
Informed Consent Statement
Data Availability Statement
Conflicts of Interest
Sample Availability
References
- Lee, R.C.; Feinbaum, R.L.; Ambros, V. The C. elegans heterochronic gene lin-4 encodes small RNAs with antisense complementarity to lin-14. Cell 1993, 75, 843–854. [Google Scholar] [CrossRef]
- Bartel, D.P. MicroRNAs: Target recognition and regulatory functions. Cell 2009, 136, 215–233. [Google Scholar] [CrossRef]
- Krol, J.; Loedige, I.; Filipowicz, W. The widespread regulation of microRNA biogenesis, function and decay. Nat. Rev. Genet. 2010, 11, 597–610. [Google Scholar] [CrossRef] [PubMed]
- Bushati, N.; Cohen, S.M. microRNA functions. Annu. Rev. Cell Dev. Biol. 2007, 23, 175–205. [Google Scholar] [CrossRef] [PubMed]
- Rupaimoole, R.; Slack, F.J. MicroRNA therapeutics: Towards a new era for the management of cancer and other diseases. Nat. Rev. Drug Discov. 2017, 16, 203–222. [Google Scholar] [CrossRef]
- Hayes, J.; Peruzzi, P.P.; Lawler, S. MicroRNAs in cancer: Biomarkers, functions and therapy. Trends Mol. Med. 2014, 20, 460–469. [Google Scholar] [CrossRef] [PubMed]
- Kosaka, N.; Iguchi, H.; Ochiya, T. Circulating microRNA in body fluid: A new potential biomarker for cancer diagnosis and prognosis. Cancer Sci. 2010, 101, 2087–2092. [Google Scholar] [CrossRef]
- Válóczi, A.; Hornyik, C.; Varga, N.; Burgyán, J.; Kauppinen, S.; Havelda, Z. Sensitive and specific detection of microRNAs by northern blot analysis using LNA-modified oligonucleotide probes. Nucleic Acids Res. 2004, 32, e175. [Google Scholar] [CrossRef]
- Roy, S.; Soh, J.H.; Ying, J.Y. A microarray platform for detecting disease-specific circulating miRNA in human serum. Biosens. Bioelectron. 2016, 75, 238–246. [Google Scholar] [CrossRef]
- Chen, C.; Ridzon, D.A.; Broomer, A.J.; Zhou, Z.; Lee, D.H.; Nguyen, J.T.; Barbisin, M.; Xu, N.L.; Mahuvakar, V.R.; Andersen, M.R.; et al. Real-time quantification of microRNAs by stem-loop RT-PCR. Nucleic Acids Res. 2005, 33, e179. [Google Scholar] [CrossRef]
- Chen, J.; Zhou, X.; Ma, Y.; Lin, X.; Dai, Z.; Zou, X. Asymmetric exponential amplification reaction on a toehold/biotin featured template: An ultrasensitive and specific strategy for isothermal microRNAs analysis. Nucleic Acids Res. 2016, 44, e130. [Google Scholar] [CrossRef]
- Tian, W.; Li, P.; He, W.; Liu, C.; Li, Z. Rolling circle extension-actuated loop-mediated isothermal amplification (RCA-LAMP) for ultrasensitive detection of microRNAs. Biosens. Bioelectron. 2019, 128, 17–22. [Google Scholar] [CrossRef]
- Lin, S.; Yao, G.; Qi, D.; Li, Y.; Deng, C.; Yang, P.; Zhang, X. Fast and efficient proteolysis by microwave-assisted protein digestion using trypsin-immobilized magnetic silica microspheres. Anal. Chem. 2008, 80, 3655–3665. [Google Scholar] [CrossRef] [PubMed]
- Riahi, R.; Mach, K.E.; Mohan, R.; Liao, J.C.; Wong, P.K. Molecular detection of bacterial pathogens using microparticle enhanced double-stranded DNA probes. Anal. Chem. 2011, 83, 6349–6354. [Google Scholar] [CrossRef]
- Zhang, Q.; Wang, F.; Zhang, H.; Zhang, Y.; Liu, M.; Liu, Y. Universal Ti(3)C(2) MXenes Based Self-Standard Ratiometric Fluorescence Resonance Energy Transfer Platform for Highly Sensitive Detection of Exosomes. Anal. Chem. 2018, 90, 12737–12744. [Google Scholar] [CrossRef] [PubMed]
- Qiu, L.; Zhang, Y.; Liu, C.; Li, Z. A versatile size-coded flow cytometric bead assay for simultaneous detection of multiple microRNAs coupled with a two-step cascading signal amplification. Chem. Commun. 2017, 53, 2926–2929. [Google Scholar] [CrossRef] [PubMed]
- Zhang, D.Y.; Winfree, E. Control of DNA strand displacement kinetics using toehold exchange. J. Am. Chem. Soc. 2009, 131, 17303–17314. [Google Scholar] [CrossRef] [PubMed]
- Bi, S.; Yue, S.; Zhang, S. Hybridization chain reaction: A versatile molecular tool for biosensing, bioimaging, and biomedicine. Chem. Soc. Rev. 2017, 46, 4281–4298. [Google Scholar] [CrossRef]
- Wang, D.; Tang, W.; Wu, X.; Wang, X.; Chen, G.; Chen, Q.; Li, N.; Liu, F. Highly selective detection of single-nucleotide polymorphisms using a quartz crystal microbalance biosensor based on the toehold-mediated strand displacement reaction. Anal. Chem. 2012, 84, 7008–7014. [Google Scholar] [CrossRef]
- Khodakov, D.A.; Khodakova, A.S.; Linacre, A.; Ellis, A.V. Toehold-mediated nonenzymatic DNA strand displacement as a platform for DNA genotyping. J. Am. Chem. Soc. 2013, 135, 5612–5619. [Google Scholar] [CrossRef] [PubMed]
- Zhang, J.; Wang, L.L.; Hou, M.F.; Xia, Y.K.; He, W.H.; Yan, A.; Weng, Y.P.; Zeng, L.P.; Chen, J.H. A ratiometric electrochemical biosensor for the exosomal microRNAs detection based on bipedal DNA walkers propelled by locked nucleic acid modified toehold mediate strand displacement reaction. Biosens. Bioelectron. 2018, 102, 33–40. [Google Scholar] [CrossRef] [PubMed]
- Zhang, N.; Shi, X.M.; Guo, H.Q.; Zhao, X.Z.; Zhao, W.W.; Xu, J.J.; Chen, H.Y. Gold Nanoparticle Couples with Entropy-Driven Toehold-Mediated DNA Strand Displacement Reaction on Magnetic Beads: Toward Ultrasensitive Energy-Transfer-Based Photoelectrochemical Detection of miRNA-141 in Real Blood Sample. Anal. Chem. 2018, 90, 11892–11898. [Google Scholar] [CrossRef] [PubMed]
- Lu, H.; Ding, B.; Tong, L.; Wu, F.; Yi, X.; Wang, J. Toehold-Mediated Strand Displacement Reaction for Dual-Signal Electrochemical Assay of Apolipoprotein E Genotyping. Acs Sens. 2020, 5, 2959–2965. [Google Scholar] [CrossRef]
- Kong, Y.; Liu, X.; Liu, C.; Xue, Q.; Li, X.; Wang, H. A dandelion-like liposomes-encoded magnetic bead probe-based toehold-mediated DNA circuit for the amplification detection of MiRNA. Analyst 2019, 144, 4694–4701. [Google Scholar] [CrossRef] [PubMed]
- Zhu, D.; Lu, B.; Zhu, Y.; Ma, Z.; Wei, Y.; Su, S.; Wang, L.; Song, S.; Zhu, Y.; Wang, L.; et al. Cancer-Specific MicroRNA Analysis with a Nonenzymatic Nucleic Acid Circuit. Acs Appl. Mater. Interfaces 2019, 11, 11220–11226. [Google Scholar] [CrossRef]
- Oishi, M.; Sugiyama, S. An Efficient Particle-Based DNA Circuit System: Catalytic Disassembly of DNA/PEG-Modified Gold Nanoparticle-Magnetic Bead Composites for Colorimetric Detection of miRNA. Small 2016, 12, 5153–5158. [Google Scholar] [CrossRef] [PubMed]
- Yue, S.; Zhao, T.; Bi, S.; Zhang, Z. Programmable strand displacement-based magnetic separation for simultaneous amplified detection of multiplex microRNAs by chemiluminescence imaging array. Biosens. Bioelectron. 2017, 98, 234–239. [Google Scholar] [CrossRef]
- Cooper, D.S.; Doherty, G.M.; Haugen, B.R.; Kloos, R.T.; Lee, S.L.; Mandel, S.J.; Mazzaferri, E.L.; McIver, B.; Pacini, F.; Schlumberger, M.; et al. Revised American Thyroid Association management guidelines for patients with thyroid nodules and differentiated thyroid cancer. Thyroid 2009, 19, 1167–1214. [Google Scholar] [CrossRef] [PubMed]
- Lubitz, C.C.; Sosa, J.A. The changing landscape of papillary thyroid cancer: Epidemiology, management, and the implications for patients. Cancer 2016, 122, 3754–3759. [Google Scholar] [CrossRef]
- Haugen, B.R.; Alexander, E.K.; Bible, K.C.; Doherty, G.M.; Mandel, S.J.; Nikiforov, Y.E.; Pacini, F.; Randolph, G.W.; Sawka, A.M.; Schlumberger, M.; et al. 2015 American Thyroid Association Management Guidelines for Adult Patients with Thyroid Nodules and Differentiated Thyroid Cancer: The American Thyroid Association Guidelines Task Force on Thyroid Nodules and Differentiated Thyroid Cancer. Thyroid 2016, 26, 1–133. [Google Scholar] [CrossRef]
- McLeod, D.S.A.; Zhang, L.; Durante, C.; Cooper, D.S. Contemporary Debates in Adult Papillary Thyroid Cancer Management. Endocr. Rev. 2019, 40, 1481–1499. [Google Scholar] [CrossRef]
- He, H.; Jazdzewski, K.; Li, W.; Liyanarachchi, S.; Nagy, R.; Volinia, S.; Calin, G.A.; Liu, C.G.; Franssila, K.; Suster, S.; et al. The role of microRNA genes in papillary thyroid carcinoma. Proc. Natl. Acad. Sci. USA 2005, 102, 19075–19080. [Google Scholar] [CrossRef] [PubMed]
- Abdullah, M.I.; Junit, S.M.; Ng, K.L.; Jayapalan, J.J.; Karikalan, B.; Hashim, O.H. Papillary Thyroid Cancer: Genetic Alterations and Molecular Biomarker Investigations. Int. J. Med. Sci. 2019, 16, 450–460. [Google Scholar] [CrossRef] [PubMed]
- Chou, C.K.; Liu, R.T.; Kang, H.Y. MicroRNA-146b: A Novel Biomarker and Therapeutic Target for Human Papillary Thyroid Cancer. Int. J. Mol. Sci. 2017, 18, 636. [Google Scholar] [CrossRef] [PubMed]
- Boufraqech, M.; Klubo-Gwiezdzinska, J.; Kebebew, E. MicroRNAs in the thyroid. Best Pract. Res. Clin. Endocrinol. Metab. 2016, 30, 603–619. [Google Scholar] [CrossRef] [PubMed]
- Jia, M.; Shi, Y.; Li, Z.; Lu, X.; Wang, J. MicroRNA-146b-5p as an oncomiR promotes papillary thyroid carcinoma development by targeting CCDC6. Cancer Lett. 2019, 443, 145–156. [Google Scholar] [CrossRef] [PubMed]
- Li, L.; Lv, B.; Chen, B.; Guan, M.; Sun, Y.; Li, H.; Zhang, B.; Ding, C.; He, S.; Zeng, Q. Inhibition of miR-146b expression increases radioiodine-sensitivity in poorly differential thyroid carcinoma via positively regulating NIS expression. Biochem. Biophys. Res. Commun. 2015, 462, 314–321. [Google Scholar] [CrossRef] [PubMed]
- Riesco-Eizaguirre, G.; Wert-Lamas, L.; Perales-Patón, J.; Sastre-Perona, A.; Fernández, L.P.; Santisteban, P. The miR-146b-3p/PAX8/NIS Regulatory Circuit Modulates the Differentiation Phenotype and Function of Thyroid Cells during Carcinogenesis. Cancer Res. 2015, 75, 4119–4130. [Google Scholar] [CrossRef] [PubMed]
- Xue, T.; Bongu, S.R.; Huang, H.; Liang, W.; Wang, Y.; Zhang, F.; Liu, Z.; Zhang, Y.; Zhang, H.; Cui, X. Ultrasensitive detection of microRNA using a bismuthene-enabled fluorescence quenching biosensor. Chem. Commun. 2020, 56, 7041–7044. [Google Scholar] [CrossRef]
- Huang, C.H.; Huang, T.T.; Chiang, C.H.; Huang, W.T.; Lin, Y.T. A chemiresistive biosensor based on a layered graphene oxide/graphene composite for the sensitive and selective detection of circulating miRNA-21. Biosens. Bioelectron. 2020, 164, 112320. [Google Scholar] [CrossRef]
- Park, Y.; Lee, C.Y.; Kang, S.; Kim, H.; Park, K.S.; Park, H.G. Universal, colorimetric microRNA detection strategy based on target-catalyzed toehold-mediated strand displacement reaction. Nanotechnology 2018, 29, 085501. [Google Scholar] [CrossRef] [PubMed]
- Chou, C.K.; Chen, R.F.; Chou, F.F.; Chang, H.W.; Chen, Y.J.; Lee, Y.F.; Yang, K.D.; Cheng, J.T.; Huang, C.C.; Liu, R.T. miR-146b is highly expressed in adult papillary thyroid carcinomas with high risk features including extrathyroidal invasion and the BRAF(V600E) mutation. Thyroid 2010, 20, 489–494. [Google Scholar] [CrossRef] [PubMed]
- Lima, C.R.; Geraldo, M.V.; Fuziwara, C.S.; Kimura, E.T.; Santos, M.F. MiRNA-146b-5p upregulates migration and invasion of different Papillary Thyroid Carcinoma cells. BMC Cancer 2016, 16, 108. [Google Scholar] [CrossRef] [PubMed]









| Name | Sequence (5′ to 3′) |
|---|---|
| p-DNA | Biotin-T10-AGCCTATGGAATTCAGTTCTCA |
| f-DNA | FAM-TGAGAACTGAATTCCA |
| hsa-miR-146b-5p | UGAGAACUGAAUUCCAUAGGCU |
| hsa-miR-146a-5p | UGAGAACUGAAUUCCAUGGGUU |
| hsa-miR-21 | UAGCUUAUCAGACUGAUGUUGA |
| hsa-miR-221 | AGCUACAUUGUCUGCUGGGUUUC |
| hsa-miR-222 | CUCAGUAGCCAGUGUAGAUCCU |
| Patients Number | Gander | Age | Diagnosis | TNM |
|---|---|---|---|---|
| 1 | Female | 30 | PTC | T1aN0M0 |
| 2 | Male | 40 | NG | / |
| 3 | Female | 28 | PTC | T1bN1bM0 |
| 4 | Female | 44 | NG | / |
| 5 | Male | 40 | PTC | T1bN1bM0 |
| 6 | Male | 47 | NG | / |
| 7 | Female | 28 | PTC | T1bN1aM0 |
| 8 | Female | 43 | NG | / |
| 9 | Male | 46 | PTC | T1aN0M0 |
| 10 | Male | 49 | NG | / |
| 11 | Female | 48 | PTC | T1aN0M0 |
| 12 | Female | 46 | NG | / |
| 13 | Female | 46 | PTC | T1bN1aM0 |
| 14 | Female | 51 | NG | / |
| 15 | Female | 58 | PTC | T1aN1aM0 |
| 16 | Male | 55 | NG | / |
| 17 | Female | 52 | PTC | T1aN0M0 |
| 18 | Female | 51 | NG | / |
| 19 | Female | 55 | PTC | T1aN0M0 |
| 20 | Female | 48 | NG | / |
| 21 | Female | 25 | PTC | T2N1bM0 |
| 22 | Female | 42 | NG | / |
| 23 | Male | 49 | PTC | T1aN1aM0 |
| 24 | Female | 52 | NG | / |
| 25 | Female | 53 | PTC | T1aN1aM0 |
| 26 | Female | 66 | NG | / |
| 27 | Male | 36 | PTC | T1aN1aM0 |
| 28 | Female | 44 | NG | / |
| 29 | Male | 73 | PTC | T1bN1bM0 |
| 30 | Male | 65 | NG | / |
| 31 | Female | 48 | PTC | T1aN1aM0 |
| 32 | Male | 55 | NG | / |
Publisher’s Note: MDPI stays neutral with regard to jurisdictional claims in published maps and institutional affiliations. |
© 2021 by the authors. Licensee MDPI, Basel, Switzerland. This article is an open access article distributed under the terms and conditions of the Creative Commons Attribution (CC BY) license (http://creativecommons.org/licenses/by/4.0/).
Share and Cite
Wu, Y.; Gao, J.; Wei, J.; Zhou, J.; Meng, X.; Wang, Z. Development of Flow Cytometric Assay for Detecting Papillary Thyroid Carcinoma Related hsa-miR-146b-5p through Toehold-Mediated Strand Displacement Reaction on Magnetic Beads. Molecules 2021, 26, 1628. https://doi.org/10.3390/molecules26061628
Wu Y, Gao J, Wei J, Zhou J, Meng X, Wang Z. Development of Flow Cytometric Assay for Detecting Papillary Thyroid Carcinoma Related hsa-miR-146b-5p through Toehold-Mediated Strand Displacement Reaction on Magnetic Beads. Molecules. 2021; 26(6):1628. https://doi.org/10.3390/molecules26061628
Chicago/Turabian StyleWu, Yue, Jiaxue Gao, Jia Wei, Jingjing Zhou, Xianying Meng, and Zhenxin Wang. 2021. "Development of Flow Cytometric Assay for Detecting Papillary Thyroid Carcinoma Related hsa-miR-146b-5p through Toehold-Mediated Strand Displacement Reaction on Magnetic Beads" Molecules 26, no. 6: 1628. https://doi.org/10.3390/molecules26061628
APA StyleWu, Y., Gao, J., Wei, J., Zhou, J., Meng, X., & Wang, Z. (2021). Development of Flow Cytometric Assay for Detecting Papillary Thyroid Carcinoma Related hsa-miR-146b-5p through Toehold-Mediated Strand Displacement Reaction on Magnetic Beads. Molecules, 26(6), 1628. https://doi.org/10.3390/molecules26061628

