Common Trends and Differences in Antioxidant Activity Analysis of Phenolic Substances Using Single Electron Transfer Based Assays
Abstract
1. Introduction
- Bors 1—due to hydrogen bonding, the presence of a catechol group on the B-ring leads to a high stability of the antioxidant radical (AO·);
- Bors 2—a 2,3 double bond in combination with a 4-oxo group on the C-ring facilitates electron delocalization;
- Bors 3—the presence of OH groups at position 3 and 5 in combination with the 4-oxo group enables electron delocalization via hydrogen bonds.
2. Materials and Methods
3. Results and Discussion
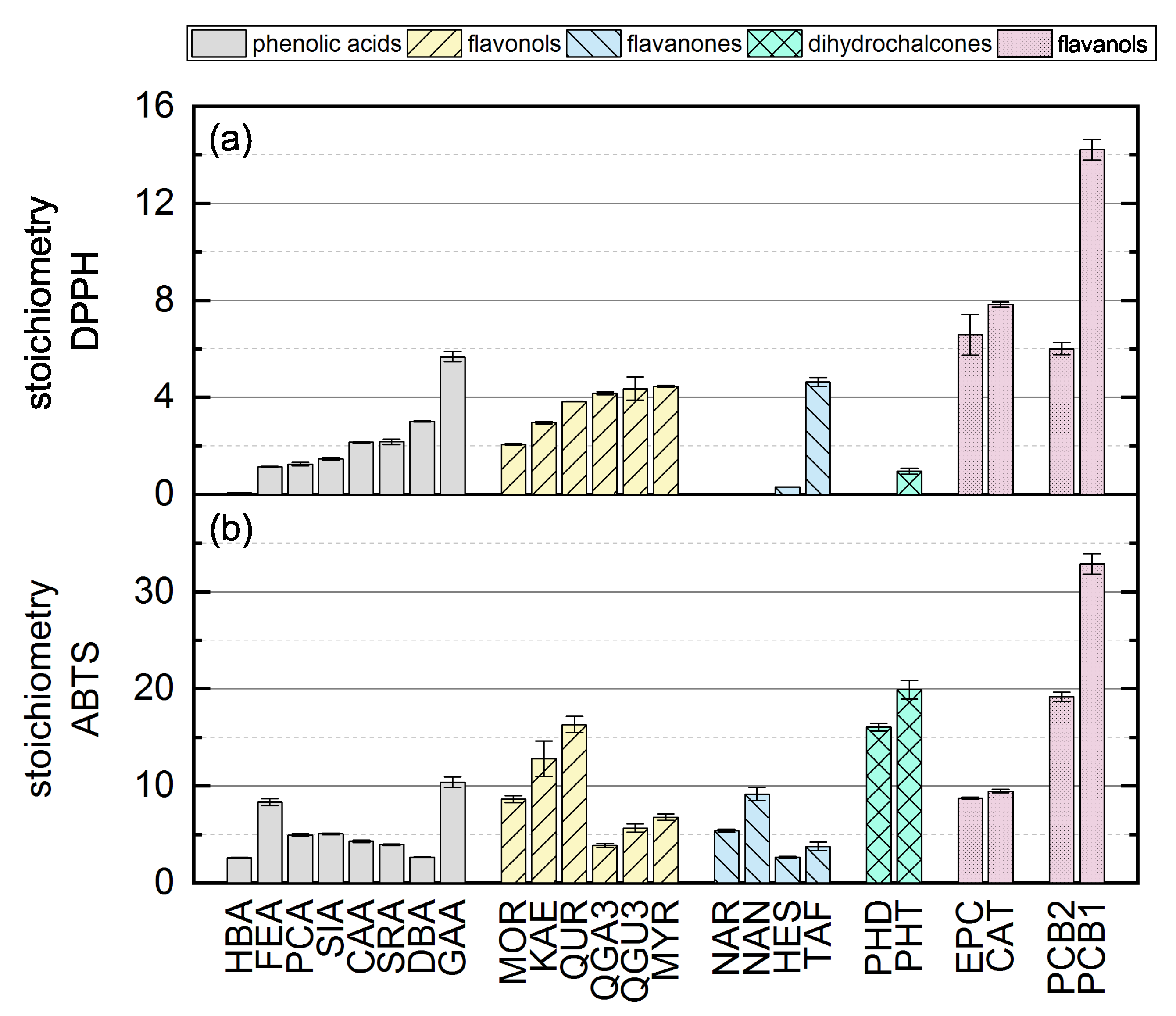
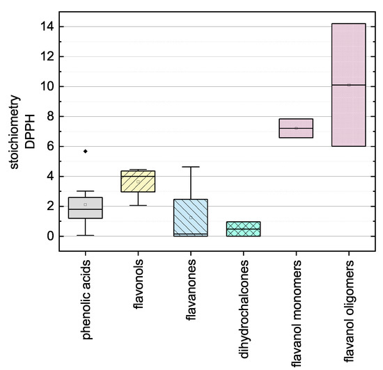
3.1. Antioxidant Activity Determined Using the DPPH Test
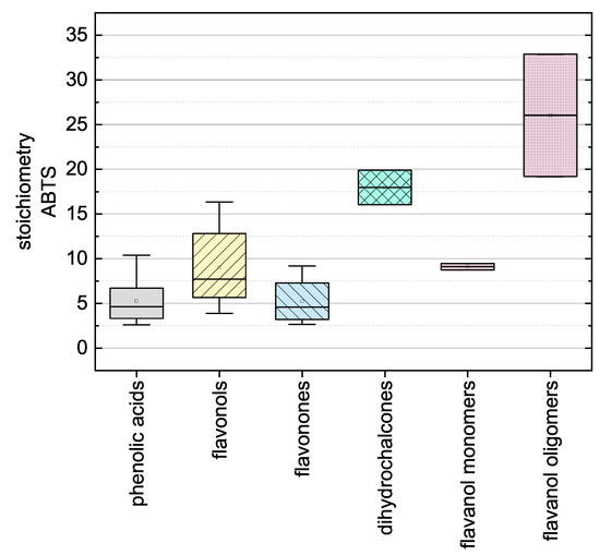
3.2. Antioxidant Activity Determined Using the ABTS Test
3.3. Comparison of the DPPH and ABTS Assays
4. Conclusions
Author Contributions
Funding
Institutional Review Board Statement
Informed Consent Statement
Data Availability Statement
Acknowledgments
Conflicts of Interest
Abbreviations
| ABTS | 2,2-azino-bis (3-ethylbenzothiazoline-6-sulfonic acid) |
| AOH | antioxidant |
| ARP | antiradical power |
| CAA | caffeic acid |
| CAT | (+)-catechin |
| DBA | 3,4-dihydroxybenzoic acid |
| DPPH | 2,2-diphenyl-1-picrylhydrazyl |
| EC50 | half maximal effective concentration |
| EPC | (−)-epicatechin |
| FEA | ferulic acid |
| GAA | gallic acid |
| HAT | hydrogen atom transfer |
| HBA | 4-hydroxybenzoic acid |
| HES | hesperetin |
| KAE | kaempferol |
| MOR | morin |
| MYR | myricetin |
| NAN | naringenin |
| NAR | narirutin |
| ORAC | oxygen radical absorbance capacity |
| PCA | p-coumaric acid |
| PCB1 | proanthocyanidin B1 |
| PCB2 | proanthocyanidin B2 |
| PDE | Proton Dissociation Enthalpy |
| PHD | phloridzin |
| PHT | phloretin |
| QGA3 | quercetin-3-D-galactosides |
| QGU3 | quercetin-3-D-glucosides |
| QUR | quercetin |
| SAR | structure-activity relationship |
| SET | single electron transfer |
| SET-PT | single electron transfer followed by a proton transfer |
| SIA | sinapic acid |
| SPLET | sequential proton loss electron transfer |
| SRA | siringic acid |
| TAF | taxifolin |
| TEAC | trolox equivalent antioxidant capacity |
References
- Zheng, W.; Wang, S.Y. Antioxidant activity and phenolic compounds in selected herbs. J. Agric. Food Chem. 2001, 49, 5165–5170. [Google Scholar] [CrossRef] [PubMed]
- Shahidi, F.; Zhong, H.J.; Ambigaipalan, P. Antioxidants: Regulatory status. In Bailey’s Industrial Oil and Fat Products; John Wiley & Sons, Ltd.: London, UK, 2005; pp. 1–21. [Google Scholar]
- Huang, D.; Ou, B.; Prior, R.L. The chemistry behind antioxidant capacity assays. J. Agric. Food Chem. 2005, 53, 1841–1856. [Google Scholar] [CrossRef] [PubMed]
- Wright, J.S.; Johnson, E.R.; DiLabio, G.A. Predicting the activity of phenolic antioxidants: Theoretical method, analysis of substituent effects, and application to major families of antioxidants. J. Am. Chem. Soc. 2001, 123, 1173–1183. [Google Scholar] [CrossRef]
- Visioli, F.; Galli, C. Olive oil phenols and their potential effects on human health. J. Agric. Food Chem. 1998, 46, 4292–4296. [Google Scholar] [CrossRef]
- D Archivio, M.; Filesi, C.; Di Benedetto, R.; Gargiulo, R.; Giovannini, C.; Masella, R. Polyphenols, dietary sources and bioavailability. Ann. Ist. Super. Di Sanita 2007, 43, 348. [Google Scholar]
- Bors, W.; Heller, W.; Michel, C.; Saran, M. Radical Chemistry of Flavonoid Antioxidants. In Antioxidants in Therapy and Preventive Medicine; Emerit, I., Packer, L., Auclair, C., Eds.; Springer: Boston, MA, USA, 1990; pp. 165–170. [Google Scholar] [CrossRef]
- Van Acker, S.A.; Van Den Berg, D.J.; Tromp, M.N.; Griffioen, D.H.; Van Bennekom, W.P.; Van Der Vijgh, W.J.; Bast, A. Structural aspects of antioxidant activity of flavonoids. Free Radic. Biol. Med. 1996, 20, 331–342. [Google Scholar] [CrossRef]
- Wolfe, K.L.; Liu, R.H. Structure- activity relationships of flavonoids in the cellular antioxidant activity assay. J. Agric. Food Chem. 2008, 56, 8404–8411. [Google Scholar] [CrossRef] [PubMed]
- Prior, R.L.; Cao, G. Analysis of botanicals and dietary supplements for antioxidant capacity: A review. J. AOAC Int. 2000, 83, 950–956. [Google Scholar] [CrossRef] [PubMed]
- Re, R.; Pellegrini, N.; Proteggente, A.; Pannala, A.; Yang, M.; Rice-Evans, C. Antioxidant activity applying an improved ABTS radical cation decolorization assay. Free Radic. Biol. Med. 1999, 26, 1231–1237. [Google Scholar] [CrossRef]
- Sánchez-Moreno, C. Methods used to evaluate the free radical scavenging activity in foods and biological systems. Food Sci. Technol. Int. 2002, 8, 121–137. [Google Scholar] [CrossRef]
- Shang, Y.J.; Qian, Y.P.; Liu, X.D.; Dai, F.; Shang, X.L.; Jia, W.Q.; Liu, Q.; Fang, J.G.; Zhou, B. Radical-scavenging activity and mechanism of resveratrol-oriented analogues: Influence of the solvent, radical, and substitution. J. Org. Chem. 2009, 74, 5025–5031. [Google Scholar] [CrossRef]
- Zou, T.B.; He, T.P.; Li, H.B.; Tang, H.W.; Xia, E.Q. The structure-activity relationship of the antioxidant peptides from natural proteins. Molecules 2016, 21, 72. [Google Scholar] [CrossRef] [PubMed]
- Di Meo, F.; Lemaur, V.; Cornil, J.; Lazzaroni, R.; Duroux, J.L.; Olivier, Y.; Trouillas, P. Free radical scavenging by natural polyphenols: Atom versus electron transfer. J. Phys. Chem. A 2013, 117, 2082–2092. [Google Scholar] [CrossRef] [PubMed]
- Lemańska, K.; Szymusiak, H.; Tyrakowska, B.; Zieliński, R.; Soffers, A.E.; Rietjens, I.M. The influence of pH on antioxidant properties and the mechanism of antioxidant action of hydroxyflavones. Free Radic. Biol. Med. 2001, 31, 869–881. [Google Scholar] [CrossRef]
- Benzie, I.F.; Strain, J. [2] Ferric reducing/antioxidant power assay: Direct measure of total antioxidant activity of biological fluids and modified version for simultaneous measurement of total antioxidant power and ascorbic acid concentration. Methods Enzymol. 1999, 299, 15–27. [Google Scholar]
- Foti, M.C.; Daquino, C.; Geraci, C. Electron-transfer reaction of cinnamic acids and their methyl esters with the DPPH• radical in alcoholic solutions. J. Org. Chem. 2004, 69, 2309–2314. [Google Scholar] [CrossRef] [PubMed]
- Xiao, Z.; Wang, Y.; Wang, J.; Li, P.; Ma, F. Structure-antioxidant capacity relationship of dihydrochalcone compounds in Malus. Food Chem. 2019, 275, 354–360. [Google Scholar] [CrossRef]
- Zheng, Y.Z.; Deng, G.; Liang, Q.; Chen, D.F.; Guo, R.; Lai, R.C. Antioxidant activity of quercetin and its glucosides from propolis: A theoretical study. Sci. Rep. 2017, 7, 7543. [Google Scholar] [CrossRef] [PubMed]
- Wang, G.; Xue, Y.; An, L.; Zheng, Y.; Dou, Y.; Zhang, L.; Liu, Y. Theoretical study on the structural and antioxidant properties of some recently synthesised 2, 4, 5-trimethoxy chalcones. Food Chem. 2015, 171, 89–97. [Google Scholar] [CrossRef] [PubMed]
- Xue, Y.; Zheng, Y.; Zhang, L.; Wu, W.; Yu, D.; Liu, Y. Theoretical study on the antioxidant properties of 2’-hydroxychalcones: H-atom vs. electron transfer mechanism. J. Mol. Model. 2013, 19, 3851–3862. [Google Scholar] [CrossRef] [PubMed]
- Brand-Williams, W.; Cuvelier, M.E.; Berset, C. Use of a free radical method to evaluate antioxidant activity. LWT-Food Sci. Technol. 1995, 28, 25–30. [Google Scholar] [CrossRef]
- Sánchez-Moreno, C.; Larrauri, J.A.; Saura-Calixto, F. A procedure to measure the antiradical efficiency of polyphenols. J. Sci. Food Agric. 1998, 76, 270–276. [Google Scholar] [CrossRef]
- Litwinienko, G.; Ingold, K. Abnormal solvent effects on hydrogen atom abstractions. 1. The reactions of phenols with 2, 2-diphenyl-1-picrylhydrazyl (dpph•) in alcohols. J. Org. Chem. 2003, 68, 3433–3438. [Google Scholar] [CrossRef] [PubMed]
- Bibi Sadeer, N.; Montesano, D.; Albrizio, S.; Zengin, G.; Mahomoodally, M.F. The versatility of antioxidant assays in food science and safety—Chemistry, applications, strengths, and limitations. Antioxidants 2020, 9, 709. [Google Scholar] [CrossRef] [PubMed]
- Villaño, D.; Fernández-Pachón, M.; Moyá, M.L.; Troncoso, A.; García-Parrilla, M. Radical scavenging ability of polyphenolic compounds towards DPPH free radical. Talanta 2007, 71, 230–235. [Google Scholar] [CrossRef]
- Goupy, P.; Dufour, C.; Loonis, M.; Dangles, O. Quantitative kinetic analysis of hydrogen transfer reactions from dietary polyphenols to the DPPH radical. J. Agric. Food Chem. 2003, 51, 615–622. [Google Scholar] [CrossRef] [PubMed]
- Mishra, K.; Ojha, H.; Chaudhury, N.K. Estimation of antiradical properties of antioxidants using DPPH assay: A critical review and results. Food Chem. 2012, 130, 1036–1043. [Google Scholar] [CrossRef]
- Bondet, V.; Brand-Williams, W.; Berset, C. Kinetics and mechanisms of antioxidant activity using the DPPH. free radical method. LWT Food Sci. Technol. 1997, 30, 609–615. [Google Scholar] [CrossRef]
- Musa, K.H.; Abdullah, A.; Al-Haiqi, A. Determination of DPPH free radical scavenging activity: Application of artificial neural networks. Food Chem. 2016, 194, 705–711. [Google Scholar] [CrossRef]
- Tabart, J.; Kevers, C.; Pincemail, J.; Defraigne, J.O.; Dommes, J. Comparative antioxidant capacities of phenolic compounds measured by various tests. Food Chem. 2009, 113, 1226–1233. [Google Scholar] [CrossRef]
- Atkins, P.W.; De Paula, J. Chapter 22 The rates of chemical reactions. In Physical Chemistry, 8th ed.; Oxford University Press: Oxford, UK, 2006; p. 797. [Google Scholar]
- Cai, Y.Z.; Sun, M.; Xing, J.; Luo, Q.; Corke, H. Structure–radical scavenging activity relationships of phenolic compounds from traditional Chinese medicinal plants. Life Sci. 2006, 78, 2872–2888. [Google Scholar] [CrossRef]
- Csepregi, K.; Neugart, S.; Schreiner, M.; Hideg, É. Comparative evaluation of total antioxidant capacities of plant polyphenols. Molecules 2016, 21, 208. [Google Scholar] [CrossRef]
- Bendary, E.; Francis, R.; Ali, H.; Sarwat, M.; El Hady, S. Antioxidant and structure–activity relationships (SARs) of some phenolic and anilines compounds. Ann. Agric. Sci. 2013, 58, 173–181. [Google Scholar] [CrossRef]
- Alcalde, B.; Granados, M.; Saurina, J. Exploring the antioxidant features of polyphenols by spectroscopic and electrochemical methods. Antioxidants 2019, 8, 523. [Google Scholar] [CrossRef] [PubMed]
- Apak, R.; Güçlü, K.; Demirata, B.; Özyürek, M.; Çelik, S.E.; Bektaşoğlu, B.; Berker, K.I.; Özyurt, D. Comparative evaluation of various total antioxidant capacity assays applied to phenolic compounds with the CUPRAC assay. Molecules 2007, 12, 1496–1547. [Google Scholar] [CrossRef] [PubMed]
- Ma, X.; Li, H.; Dong, J.; Qian, W. Determination of hydrogen peroxide scavenging activity of phenolic acids by employing gold nanoshells precursor composites as nanoprobes. Food Chem. 2011, 126, 698–704. [Google Scholar] [CrossRef]
- Jing, P.; Zhao, S.J.; Jian, W.J.; Qian, B.J.; Dong, Y.; Pang, J. Quantitative studies on structure-DPPH• scavenging activity relationships of food phenolic acids. Molecules 2012, 17, 12910–12924. [Google Scholar] [CrossRef]
- Velkov, Z.A.; Kolev, M.K.; Tadjer, A.V. Modeling and statistical analysis of DPPH scavenging activity of phenolics. Collect. Czechoslov. Chem. Commun. 2007, 72, 1461–1471. [Google Scholar] [CrossRef]
- Bandonienė, D.; Murkovic, M.; Pfannhauser, W.; Venskutonis, P.; Gruzdienė, D. Detection and activity evaluation of radical scavenging compounds by using DPPH free radical and on-line HPLC-DPPH methods. Eur. Food Res. Technol. 2002, 214, 143–147. [Google Scholar] [CrossRef]
- Ordoudi, S.A.; Tsimidou, M.Z.; Vafiadis, A.P.; Bakalbassis, E.G. Structure- DPPH• scavenging activity relationships: Parallel study of catechol and guaiacol acid derivatives. J. Agric. Food Chem. 2006, 54, 5763–5768. [Google Scholar] [CrossRef] [PubMed]
- Kwek, S.; Leong, L.; Bettens, R. Effects of Different Functional Group on Antioxidant Activity; Department of Chemistry, Faculty of Science, National University of Singapore: Singapore, 2003. [Google Scholar]
- Hirata, A.; Murakami, Y.; Shoji, M.; Kadoma, Y.; Fujisawa, S. Kinetics of radical-scavenging activity of hesperetin and hesperidin and their inhibitory activity on COX-2 expression. Anticancer Res. 2005, 25, 3367–3374. [Google Scholar] [PubMed]
- Tsimogiannis, D.I.; Oreopoulou, V. The contribution of flavonoid C-ring on the DPPH free radical scavenging efficiency. A kinetic approach for the 3′, 4′-hydroxy substituted members. Innov. Food Sci. Emerg. Technol. 2006, 7, 140–146. [Google Scholar] [CrossRef]
- Zhou, K.; Yin, J.J.; Yu, L.L. ESR determination of the reactions between selected phenolic acids and free radicals or transition metals. Food Chem. 2006, 95, 446–457. [Google Scholar] [CrossRef]
- Terpinc, P.; Abramovič, H. A kinetic approach for evaluation of the antioxidant activity of selected phenolic acids. Food Chem. 2010, 121, 366–371. [Google Scholar] [CrossRef]
- Rice-Evans, C.A.; Miller, N.J.; Paganga, G. Structure-antioxidant activity relationships of flavonoids and phenolic acids. Free Radic. Biol. Med. 1996, 20, 933–956. [Google Scholar] [CrossRef]
- Natella, F.; Nardini, M.; Di Felice, M.; Scaccini, C. Benzoic and cinnamic acid derivatives as antioxidants: Structure-activity relation. J. Agric. Food Chem. 1999, 47, 1453–1459. [Google Scholar] [CrossRef]
- Nenadis, N.; Tsimidou, M. Observations on the estimation of scavenging activity of phenolic compounds using rapid 1, 1-diphenyl-2-picrylhydrazyl (DPPH•) tests. J. Am. Oil Chem. Soc. 2002, 79, 1191. [Google Scholar] [CrossRef]
- Jabbari, M.; Jabbari, A. Antioxidant potential and DPPH radical scavenging kinetics of water-insoluble flavonoid naringenin in aqueous solution of micelles. Colloids Surfaces A Physicochem. Eng. Asp. 2016, 489, 392–399. [Google Scholar] [CrossRef]
- Lu, Y.; Foo, L.Y. Antioxidant and radical scavenging activities of polyphenols from apple pomace. Food Chem. 2000, 68, 81–85. [Google Scholar] [CrossRef]
- Tian, X.; Schaich, K. Effects of molecular structure on kinetics and dynamics of the trolox equivalent antioxidant capacity assay with ABTS+•. J. Agric. Food Chem. 2013, 61, 5511–5519. [Google Scholar] [CrossRef] [PubMed]







| Group | Reference Standard | Sample Code | Side Group | ||||||
|---|---|---|---|---|---|---|---|---|---|
| phenolic acids | 1 | 3 | 4 | 5 | |||||
![]() | caffeic acids | CAA | (CH)2COOH | OH | OH | H | |||
| 3,4-dihydroxybenzoic acid | DBA | COOH | OH | OH | H | ||||
| ferulic acid | FEA | (CH)2COOH | OH | OCH3 | H | ||||
| gallic acid | GAA | COOH | OH | OH | OH | ||||
| 4-hydroxybenzoic acid | HBA | COOH | H | OH | H | ||||
| p-coumaric aicid | PCA | (CH)2COOH | H | OH | H | ||||
| sinapic acid | SIA | (CH)2COOH | OCH3 | OH | OCH3 | ||||
| siringic acid | SRA | COOH | OCH3 | OH | OCH3 | ||||
| flavonols | 2 | 3 | 4 | 5 | 3 | 5 | 7 | ||
![]() | kaempferol | KAE | H | H | OH | H | OH | OH | OH |
| myricetin | MYR | H | OH | OH | OH | OH | OH | OH | |
| morin | MOR | OH | H | OH | H | OH | OH | OH | |
| quercetin-3-D-galactoside | QGA3 | H | OH | OH | H | Glc | OH | OH | |
| quercetin-3-D-glucoside | QGU3 | H | OH | OH | H | Gal | OH | OH | |
| quercetin | QUR | H | OH | OH | H | OH | OH | OH | |
| flavanones | 3 | 4 | 5 | 7 | |||||
![]() | hesperetin | HES | OH | OCH3 | OH | OH | |||
| narirutin | NAR | H | OH | OH | 2 Glc | ||||
| naringenin | NAN | H | OH | OH | OH | ||||
| taxifolin | TAF | OH | OH | OH | OH | ||||
| dihydrochalcones | 4 | 2 | 4 | 6 | |||||
![]() | phloridzin | PHD | OH | OH | OH | Glc | |||
| phloretin | PHT | OH | OH | OH | OH | ||||
| flavanols | 3 | 4 | 3 | 4 | 5 | 7 | |||
![]() | (+)-catechin | CAT | OH | OH | OH | H | OH | OH | |
| (−)-epicatechin | EPC | OH | OH | OH | H | OH | OH | ||
| proanthocyanidin B1 | PCB1 | OH | OH | OH | CAT | OH | OH | ||
| proanthocyanidin B2 | PCB2 | OH | OH | OH | EPC | OH | OH | ||
| Group | Sample Code | Stoichiometry (5 min) | Stoichiometry (30 min) | Stoichiometry (Steady Sate) | Kinetic Behavior | Stoichiometry (Literature) | Sources |
|---|---|---|---|---|---|---|---|
| phenolic acids | CAA | 2.20 ± 0.06 | 2.24 ± 0.04 | 2.15 ± 0.03 | fast | 1.7–4.54 | [18,23,27,42] |
| DBA | 2.51 ± 0.04 | 2.93 ± 0.11 | 3.01 ± 0.02 | medium | 2.1–2.8 | [27,43,44] | |
| FEA | 0.78 ± 0.02 | 1.11 ± 0.02 | 1.14 ± 0.01 | medium | 1.1–1.39 | [23,27,29,42] | |
| GAA | 5.13 ± 0.26 | 5.71 ± 0.23 | 5.68 ± 0.21 | fast | 5.6–7.14 | [23,27,29] | |
| HBA | 0.07 ± 0.00 | 0.06 ± 0.01 | 0.06 ± 0.01 | fast | 0 | [35] | |
| PCA | 0.14 ± 0.01 | 0.27 ± 0.03 | 1.25 ± 0.07 | slow | 0.9 | [18] | |
| SIA | 1.26 ± 0.04 | 1.31 ± 0.03 | 1.46 ± 0.06 | medium | 1.2 | [18] | |
| SRA | 1.57 ± 0.10 | 2.12 ± 0.10 | 2.17 ± 0.10 | medium | 2.7 | [27] | |
| flavonols | KAE | 2.96 ± 0.05 | 2.91 ± 0.05 | 2.96 ± 0.04 | fast | 1.8 | [27] |
| MOR | 1.95 ± 0.02 | 2.05 ± 0.03 | 2.06 ± 0.03 | medium | 1.8 | [27] | |
| MYR | 3.26 ± 0.21 | 4.38 ± 0.03 | 4.46 ± 0.04 | medium | 7.6 | [27] | |
| QGA3 | 2.33 ± 0.10 | 4.01 ± 0.09 | 4.17 ± 0.05 | medium | - | ||
| QUR | 2.27 ± 0.13 | 3.81 ± 0.02 | 3.83 ± 0.02 | medium | 4.86–5.2 | [27,28] | |
| QGU3 | 3.23 ± 0.08 | 4.43 ± 0.27 | 4.36 ± 0.47 | medium | 3.78 | [28] | |
| flavonones | HES | 0.12 ± 0.01 | 0.27 ± 0.01 | 0.30 ± 0.10 | slow | 0.9 | [45] |
| NAN | 0 | 0 | 0 | - | 0 | [35] | |
| NAR | 0 | 0 | 0 | - | - | ||
| TAF | 2.89 ± 0.06 | 4.15 ± 0.09 | 4.63 ± 0.19 | slow | 4.18 | [46] | |
| dihydrochalcones | PHD | 0 | 0 | 0 | - | - | |
| PHT | 0.16 ± 0.01 | 0.65 ± 0.03 | 0.96 ± 0.13 | slow | - | ||
| flavanols | CAT | 2.39 ± 0.09 | 3.58 ± 0.05 | 7.84 ± 0.10 | slow | 3.72–4.5 | [27,28] |
| EPC | 1.84 ± 0.01 | 2.51 ± 0.16 | 6.58 ± 0.84 | slow | 3.96–6.6 | [27,28] | |
| PCB1 | 8.83 ± 0.13 | 12.29 ± 0.25 | 14.21 ± 0.42 | slow | 7.6 | [27] | |
| PCB2 | 4.19 ± 0.36 | 5.81 ± 0.13 | 6.01 ± 0.26 | medium | 7.4 | [27] |
| Group | Sample Code | Stoichiometry (5 min) | Stoichiometry (30 min) | Stoichiometry (Steady Sate) | Kinetic Behavior |
|---|---|---|---|---|---|
| phenolic acids | CAA | 3.93 ± 0.14 | 4.35 ± 0.10 | 4.31 ± 0.13 | medium |
| DBA | 2.60 ± 0.06 | 2.61 ± 0.06 | 2.66 ± 0.04 | fast | |
| FEA | 6.14 ± 0.25 | 8.46 ± 0.41 | 8.34 ± 0.37 | medium | |
| GAA | 8.47 ± 0.35 | 10.77 ± 0.50 | 10.38 ± 0.54 | medium | |
| HBA | 2.60 ± 0.02 | 2.59 ± 0.02 | 2.61 ± 0.02 | fast | |
| PCA | 4.58 ± 0.38 | 5.17 ± 0.23 | 4.95 ± 0.16 | fast | |
| SIA | 4.21 ± 0.06 | 5.04 ± 0.08 | 5.07 ± 0.08 | medium | |
| SRA | 3.98 ± 0.06 | 4.21 ± 0.05 | 3.96 ± 0.08 | fast | |
| flavonols | KAE | 3.89 ± 0.46 | 5.33 ± 0.74 | 12.81 ± 1.82 | slow |
| MOR | 8.64 ± 0.36 | 8.96 ± 0.50 | 7.45 ± 0.34 | medium | |
| MYR | 6.09 ± 0.16 | 6.86 ± 0.22 | 6.78 ± 0.18 | medium | |
| QGA3 | 2.79 ± 0.09 | 3.69 ± 0.18 | 3.88 ± 0.20 | medium | |
| QGU3 | 4.29 ± 0.19 | 5.84 ± 0.39 | 5.64 ± 0.43 | medium | |
| QUR | 9.67 ± 0.82 | 11.38 ± 0.28 | 12.42 ± 0.64 | slow | |
| flavonones | HES | 2.93 ± 0.16 | 3.11 ± 0.11 | 2.66 ± 0.09 | fast |
| NAN | 2.68 ± 0.21 | 4.63 ± 0.44 | 9.17 ± 0.69 | slow | |
| NAR | 0.69 ± 0.22 | 2.28 ± 0.34 | 5.39 ± 0.14 | slow | |
| TAF | 3.14 ± 0.12 | 3.76 ± 0.39 | 3.76 ± 0.43 | fast | |
| dihydrochalcones | PHD | 5.20 ± 0.07 | 9.08 ± 0.06 | 16.05 ± 0.40 | slow |
| PHT | 6.50 ± 0.29 | 12.56 ± 0.50 | 19.90 ± 0.96 | slow | |
| flavanols | CAT | 9.30 ± 0.18 | 10.00 ± 0.26 | 9.47 ± 0.18 | medium |
| EPC | 8.16 ± 0.05 | 8.78 ± 0.14 | 8.74 ± 0.12 | medium | |
| PCB1 | 26.57 ± 0.41 | 31.48 ± 0.52 | 32.87 ± 1.06 | medium | |
| PCB2 | 15.22 ± 0.23 | 18.61 ± 0.45 | 19.19 ± 0.50 | medium |
Publisher’s Note: MDPI stays neutral with regard to jurisdictional claims in published maps and institutional affiliations. |
© 2021 by the authors. Licensee MDPI, Basel, Switzerland. This article is an open access article distributed under the terms and conditions of the Creative Commons Attribution (CC BY) license (http://creativecommons.org/licenses/by/4.0/).
Share and Cite
Platzer, M.; Kiese, S.; Herfellner, T.; Schweiggert-Weisz, U.; Miesbauer, O.; Eisner, P. Common Trends and Differences in Antioxidant Activity Analysis of Phenolic Substances Using Single Electron Transfer Based Assays. Molecules 2021, 26, 1244. https://doi.org/10.3390/molecules26051244
Platzer M, Kiese S, Herfellner T, Schweiggert-Weisz U, Miesbauer O, Eisner P. Common Trends and Differences in Antioxidant Activity Analysis of Phenolic Substances Using Single Electron Transfer Based Assays. Molecules. 2021; 26(5):1244. https://doi.org/10.3390/molecules26051244
Chicago/Turabian StylePlatzer, Melanie, Sandra Kiese, Thomas Herfellner, Ute Schweiggert-Weisz, Oliver Miesbauer, and Peter Eisner. 2021. "Common Trends and Differences in Antioxidant Activity Analysis of Phenolic Substances Using Single Electron Transfer Based Assays" Molecules 26, no. 5: 1244. https://doi.org/10.3390/molecules26051244
APA StylePlatzer, M., Kiese, S., Herfellner, T., Schweiggert-Weisz, U., Miesbauer, O., & Eisner, P. (2021). Common Trends and Differences in Antioxidant Activity Analysis of Phenolic Substances Using Single Electron Transfer Based Assays. Molecules, 26(5), 1244. https://doi.org/10.3390/molecules26051244






