Hydroxypyridinones as a Very Promising Platform for Targeted Diagnostic and Therapeutic Radiopharmaceuticals
Abstract
:1. Introduction
2. The General Structure of Targeted Metal-Based Radiopharmaceuticals
3. Siderophores, Bidentate Hydroxypyridinones and Multidentate Hydroxypyridinones
3.1. Siderophores, Bidentate Hydroxypyridinones
3.2. Multidentate Hydroxypyridinones
4. Diagnostic Radiopharmaceuticals Based on HOPOs
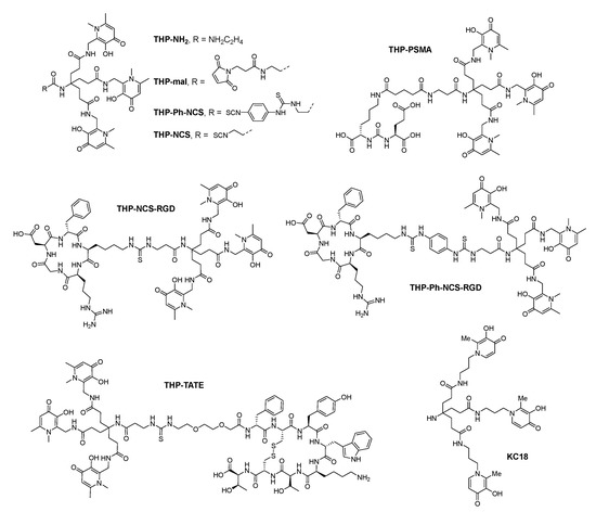
4.1. Radiopharmaceuticals Based on Ga-68 and Ga-67
4.1.1. Nuclear Property of 68Ga/67Ga
4.1.2. Chemical Property of 68Ga/67Ga
4.1.3. Common Bifunctional Chelators of Ga-68/Ga-67
4.1.4. HOPO-Based Bifunctional Chelators for Ga-68/Ga-67
4.2. Radiopharmaceuticals Based on Zr-89
4.2.1. Nuclear Property of 89Zr
4.2.2. Chemical Property of 89Zr
4.2.3. Common Bifunctional Chelators and HOPO-Based Bifunctional Chelators for 89Zr
5. Therapeutic Radiopharmaceuticals Based on HOPO Chelators
5.1. A Brief Introduction to Targeted Alpha Therapy (TAT)
5.2. HOPO-Based Bifunctional Chelators for Th-227
5.2.1. Nuclear Property of 227Th
5.2.2. Chemical Property of 227Th
5.2.3. Common Bifunctional Chelators and HOPO-Based Bifunctional Chelators for 227Th
6. Summary and Future Prospective
Author Contributions
Funding
Acknowledgments
Conflicts of Interest
Abbreviations
| AAZTA | 6-[Bis(carboxymethyl)amino]-1:4-bis(carboxymethyl)-6-methyl-1:4-diazepane |
| ADC | antibody drug conjugates |
| ANTA | N,N-Bis(carboxymethyl)-l-lysine |
| DEDPA | 6,6′-((ethane-1,2-diylbis(azanediyl))bis(methylene))dipicolinic acid |
| DFO | desferrioxamine B |
| DFT | density functional theory |
| DOTA | 1,4,7,10-tetraazacyclododecane-1,4,7,10-tetraacetic acid |
| DTPA | 2,2′,2′′,2′′′-((((carboxymethyl)azanediyl)bis(ethane-2,1-diyl))bis(azanetriyl))tetraacetic acid |
| DUPA | 2-[3-(1,3-dicarboxypropyl)-ureido]pentane-dioic acid |
| EDTA | ethylenediaminetetraacetic acid |
| FDA | US food & drug administration |
| FR | folate receptor |
| GEP-NETs | gastroenteropancreatic neuroendocrine tumors |
| HBED | bis(2-hydroxybenzyl)ethylene-diamine-diacetic acid |
| HBED-CC | 3,3′-(((ethane-1,2-diylbis((carboxymethyl)azanediyl))bis(methylene))bis(4-hydroxy-3,1-phenylene))dipropionic acid |
| HOPO | hydroxypyridinone |
| HP | hydroxypyridinone |
| LET | linear energy transfer |
| NETs | neuroendocrine tumors |
| NHL | non-Hodgkin’s lymphoma |
| NOTA | 1,4,7-triazacyclononane-1,4,7-triacetic acid |
| NOTP | ((1,4,7-triazonane-1,4,7-triyl)tris(methylene))tris(phosphonic acid) |
| NTA | nitrilotriacetic acid |
| NTP | nitrilo-tripropionic acid |
| mAbs | monoclonal antibodies |
| PET | positron emission tomography |
| PSMA | prostate specific membrane antigen |
| RBE | relative biological effectiveness |
| RGD | cyclic RGDfK peptide |
| SPECT | single photon emission computed tomography |
| TACD | 1,5,9-triazacyclododecane |
| TACN | 1,4,7-triazacyclononane |
| TAT | targeted alpha therapy |
| TATE | octreotate |
| THP | tris(hydroxypyridinone) |
| THPN | 1,3-propanediamine-N,N,N′,N′-tetrakis[(2-(aminomethyl)-3-hydroxy-1,6-dimethyl-4(1H)- pyridinone)acetamide] |
| TREN | tris(2-aminoethyl)amine |
| WT | weighting factor |
References
- Weber, W.A.; Czernin, J.; Anderson, C.J.; Badawi, R.D.; Barthel, H.; Bengel, F.; Bodei, L.; Buvat, I.; DiCarli, M.; Graham, M.M.; et al. The future of nuclear medicine, molecular imaging, and theranostics. J. Nucl. Med. 2020, 61, 263S–272S. [Google Scholar] [CrossRef] [PubMed]
- Ruth, T.J. The shortage of technetium-99 m and possible solutions. Annu. Rev. Nucl. Part. Sci. 2020, 70, 77–94. [Google Scholar] [CrossRef]
- Sgouros, G.; Bodei, L.; McDevitt, M.R.; Nedrow, J.R. Radiopharmaceutical therapy in cancer: Clinical advances and challenges. Nat. Rev. Drug Discov. 2020, 19, 589–608. [Google Scholar] [CrossRef] [PubMed]
- Dolgin, E. Drugmakers go nuclear, continuing push into radiopharmaceuticals. Nat. Biotechnol. 2021, 39, 647–649. [Google Scholar] [CrossRef]
- Kostelnik, T.I.; Orvig, C. Radioactive main group and rare earth metals for imaging and therapy. Chem. Rev. 2019, 119, 902–956. [Google Scholar] [CrossRef] [PubMed]
- Boros, E.; Packard, A.B. Radioactive transition metals for imaging and therapy. Chem. Rev. 2019, 119, 870–901. [Google Scholar] [CrossRef] [PubMed]
- Chomet, M.; van Dongen, G.A.; Vugts, D.J. State of the art in radiolabeling of antibodies with common and uncommon radiometals for preclinical and clinical immuno-PET. Bioconj. Chem. 2021, 32, 1315–1330. [Google Scholar] [CrossRef]
- Vermeulen, K.; Vandamme, M.; Bormans, G.; Cleeren, F. Design and challenges of radiopharmaceuticals. Semin. Nucl. Med. 2019, 49, 339–356. [Google Scholar] [CrossRef]
- Santos, M.A.; Marques, S.M.; Chaves, S. Hydroxypyridinones as “privileged” chelating structures for the design of medicinal drugs. Coord. Chem. Rev. 2012, 256, 240–259. [Google Scholar] [CrossRef]
- Santos, M.A.; Chaves, S. 3-Hydroxypyridinone derivatives as metal-sequestering agents for therapeutic use. Future Med. Chem. 2015, 7, 383–410. [Google Scholar] [CrossRef] [PubMed]
- Cusnir, R.; Imberti, C.; Hider, R.C.; Blower, P.J.; Ma, M.T. Hydroxypyridinone chelators: From iron scavenging to radiopharmaceuticals for PET imaging with gallium-68. Int. J. Mol. Sci. 2017, 18, 116. [Google Scholar] [CrossRef] [Green Version]
- Cilibrizzi, A.; Abbate, V.; Chen, Y.L.; Ma, Y.; Zhou, T.; Hider, R.C. Hydroxypyridinone journey into metal chelation. Chem. Rev. 2018, 118, 7657–7701. [Google Scholar] [CrossRef] [PubMed]
- Chaves, S.; Piemontese, L.; Hiremathad, A.; Santos, M.A. Hydroxypyridinone derivatives: A fascinating class of chelators with therapeutic applications-an update. Curr. Med. Chem. 2018, 25, 97–112. [Google Scholar] [CrossRef] [PubMed]
- Dong, L.L.; Shen, L.T. Progress and prospects of 3-hydroxy-4-pyridinone chelators in gallium radiopharmaceutical. J. Nucl. Radiochem. 2019, 41, 418–431. Available online: http://www.jnrc.org.cn/CN/10.7538/hhx.2018.YX.2018040 (accessed on 25 September 2021).
- Cui, H.P.; Shen, L.T. Alpha-emitting metallic radiopharmaceuticals: Current status and future prospects. J. Nucl. Radiochem. 2020, 42, 524–538. Available online: http://www.jnrc.org.cn/CN/10.7538/hhx.2020.YX.2020076 (accessed on 25 September 2021).
- Lewis, J.S.; Windhorst, A.D.; Zeglis, B. Radiopharmaceutical Chemistry, 1st ed.; Springer: Cham, Switzerland, 2019. [Google Scholar]
- Sneddon, D.; Cornelissen, B. Emerging chelators for nuclear imaging. Curr. Opin. Chem. Biol. 2021, 63, 152–162. [Google Scholar] [CrossRef]
- Raymond, K.N.; Allred, B.E.; Sia, A.K. Coordination chemistry of microbial iron transport. Acc. Chem. Res. 2015, 48, 2496–2505. [Google Scholar] [CrossRef] [PubMed]
- Hider, R.C.; Kong, X. Chemistry and biology of siderophores. Nat. Prod. Rep. 2010, 27, 637–657. [Google Scholar] [CrossRef] [PubMed]
- Bergeron, R.J.; McManis, J.S. Synthesis of catecholamide and hydroxamate siderophores. In CRC Handbook of Microbial Iron Chelates, 1st ed.; Winkelmann, G., Ed.; CRC Press: Boca Raton, FL, USA, 1991; pp. 271–308. [Google Scholar]
- Neilands, J.B. Siderophores: Structure and function of microbial iron transport compounds. J. Biol. Chem. 1995, 270, 26723–26726. [Google Scholar] [CrossRef] [PubMed] [Green Version]
- Hofmann, M.; Retamal-Morales, G.; Tischler, D. Metal binding ability of microbial natural metal chelators and potential applications. Nat. Prod. Rep. 2020, 37, 1262–1283. [Google Scholar] [CrossRef] [PubMed]
- Itoh, J.; Miyadoh, S.; Takahasi, S.; Amano, S.; Ezaki, N.; Yamada, Y. Studies on antibiotics BN-227 and BN-227-F, new antibiotics. I. Taxonomy, isolation and characterization. J. Antibiot. 1979, 32, 1089–1095. [Google Scholar] [CrossRef] [PubMed]
- Barker, W.R.; Callaghan, C.; Hill, L.; Noble, D.; Acred, P.; Harper, P.B.; Sowa, M.A.; Fletton, R.A. G1549, a new cyclic hydroxamic acid antibiotic, isolated from culture broth of Pseudomonas alcaligenes. J. Antibiot. 1979, 32, 1096–1103. [Google Scholar] [CrossRef]
- Zhou, T.; Ma, Y.; Kong, X.; Hider, R.C. Design of iron chelators with therapeutic application. Dalton Trans. 2012, 41, 6371–6389. [Google Scholar] [CrossRef] [PubMed]
- Kontoghiorghes, G.J. Design, properties, and effective use of the oral chelator L1 and other α-ketohydroxypyridines in the treatment of transfusional iron overload in thalassemia. Ann. N. Y. Acad. Sci. 1990, 612, 339–350. [Google Scholar] [CrossRef] [PubMed]
- Gama, S.; Dron, P.; Chaves, S.; Farkas, E.; Santos, M.A. A bis(3-hydroxy-4-pyridinone)-EDTA derivative as a strong chelator for M3+ hard metal ions: Complexation ability and selectivity. Dalton Trans. 2009, 31, 6141–6150. [Google Scholar] [CrossRef] [PubMed] [Green Version]
- Gorden, A.E.; Xu, J.; Raymond, K.N.; Durbin, P. Rational design of sequestering agents for plutonium and other actinides. Chem. Rev. 2003, 103, 4207–4782. [Google Scholar] [CrossRef] [PubMed]
- White, D.L.; Durbin, P.W.; Jeung, N.; Raymond, K.N. Specific sequestering agents for the actinides. 16. synthesis and initial biological testing of polydentate oxohydroxypyridinecarboxylate ligands. J. Med. Chem. 1988, 31, 11–18. [Google Scholar] [CrossRef] [PubMed]
- Raymond, K.N.; Pierre, V.C. Next generation, high relaxivity gadolinium MRI agents. Bioconjug. Chem. 2005, 16, 3–8. [Google Scholar] [CrossRef]
- Werner, E.J.; Datta, A.; Jocher, C.J.; Raymond, K.N. High-relaxivity MRI contrast agents: Where coordination chemistry meets medical imaging. Angew. Chem. Int. Ed. 2008, 47, 8568–8580. [Google Scholar] [CrossRef] [PubMed] [Green Version]
- Datta, A.; Raymond, K.N. Gd-hydroxypyridinone (HOPO)-based high-relaxivity magnetic resonance imaging (MRI) contrast agents. Acc. Chem. Res. 2009, 42, 938–947. [Google Scholar] [CrossRef] [PubMed] [Green Version]
- Xu, J.; O’Sullivan, B.; Raymond, K.N. Hexadentate hydroxypyridonate iron chelators based on TREN-Me-3,2-HOPO: Variation of cap size. Inorg. Chem. 2002, 41, 6731–6742. [Google Scholar] [CrossRef] [PubMed]
- Xu, J.; Franklin, S.J.; Whisenhunt, D.W., Jr.; Raymond, K.N. Gadolinium complex of tris[(3-hydroxy-1-methyl-2-oxo-1,2-didehydropyridine-4-carboxamido)ethyl]-amine: A new class of gadolinium magnetic resonance relaxation agents. J. Am. Chem. Soc. 1995, 117, 7245–7246. [Google Scholar] [CrossRef]
- Johnson, A.R.; O’Sulliva, B.; Raymond, K.N. Synthesis of a ligand based upon a new entry into the 3-hydroxy-N-alkyl-2(1H)-pyridinone ring system and thermodynamic evaluation of its gadolinium complex. Inorg. Chem. 2000, 39, 2652–2660. [Google Scholar] [CrossRef]
- Hajela, S.; Botta, M.; Giraudo, S.; Xu, J.; Raymond, K.N.; Aime, S. A tris-hydroxymethyl-substituted derivative of Gd-TREN-Me-3,2-HOPO: An MRI relaxation agent with improved efficiency. J. Am. Chem. Soc. 2000, 122, 11228–11229. [Google Scholar] [CrossRef]
- Meyer, M.; Telford, J.R.; Cohen, S.M.; White, D.J.; Xu, J.; Raymond, K.N. High-yield synthesis of the enterobactin trilactone and evaluation of derivative siderophore analogs. J. Am. Chem. Soc. 1997, 119, 10093–10103. [Google Scholar] [CrossRef]
- Xu, J.; Kullgren, B.; Durbin, P.W.; Raymond, K.N. Specific sequestering agents for the actinides. 28. synthesis and initial evaluation of multidentate 4-carbamoyl-3-hydroxy-1-methyl-2(1H)-pyridinone ligands for in vivo plutonium(IV) chelation. J. Med. Chem. 1995, 38, 2606–2614. [Google Scholar] [CrossRef] [PubMed]
- Xu, J.; Durbin, P.W.; Kullgren, B.; Ebbe, S.N.; Uhlir, L.C.; Raymond, K.N. Synthesis and initial evaluation for in vivo chelation of Pu(IV) of a mixed octadentate spermine-based ligand containing 4-carbamoyl-3-hydroxy-1-methyl-2(1H)-pyridinone and 6-carbamoyl-1-hydroxy-2(1H)-pyridinone. J. Med. Chem. 2002, 45, 3963–3971. [Google Scholar] [CrossRef]
- Streater, M.; Taylor, P.D.; Hider, R.C.; Porter, J. Novel 3-hydroxy-2(1H)-pyridinones. synthesis, iron(III)-chelating properties, and biological activity. J. Med. Chem. 1990, 33, 1749–1755. [Google Scholar] [CrossRef]
- Rai, B.L.; Khodr, H.; Hider, R.C. Synthesis, physico-chemical and iron(III)-chelating properties of novel hexadentate 3-hydroxy-2(1H)pyridinone ligands. Tetrahedron 1999, 55, 1129–1142. [Google Scholar] [CrossRef]
- Zhang, M.X.; Zhu, C.F.; Zhou, Y.J.; Kong, X.L.; Hider, R.C.; Zhou, T. Design, synthesis, and antimicrobial evaluation of hexadentate hydroxypyridinones with high iron(III) affinity. Chem. Biol. Drug Des. 2014, 84, 659–668. [Google Scholar] [CrossRef] [PubMed]
- Zhou, Y.J.; Liu, M.S.; Osamah, A.R.; Kong, X.L.; Alsam, S.; Battah, S.; Xie, Y.Y.; Hider, R.C.; Zhou, T. Hexadentate 3-hydroxypyridin-4-ones with high iron(III) affinity: Design, synthesis and inhibition on methicillin resistant staphylococcus aureus and pseudomonas strains. Eur. J. Med. Chem. 2015, 94, 8–21. [Google Scholar] [CrossRef] [PubMed]
- Xu, B.; Kong, X.L.; Zhou, T.; Qiu, D.H.; Chen, Y.L.; Liu, M.S.; Yang, R.H.; Hider, R.C. Synthesis, iron(III)-binding affinity and in vitro evaluation of 3-hydroxypyridin-4-one hexadentate ligands as potential antimicrobial agents. Bioorg. Med. Chem. Lett. 2011, 21, 6376–6380. [Google Scholar] [CrossRef]
- Zhou, T.; Kong, X.L.; Hider, R.C. Synthesis and iron chelating properties of hydroxypyridinone and hydroxypyranone hexadentate ligands. Dalton Trans. 2019, 48, 3459–3466. [Google Scholar] [CrossRef] [PubMed]
- Zhou, T.; Neubert, H.; Liu, D.Y.; Liu, Z.D.; Ma, Y.M.; Kong, X.L.; Luo, W.; Mark, S.; Hider, R.C. Iron binding dendrimers: A novel approach for the treatment of haemochromatosis. J. Med. Chem. 2006, 49, 4171–4182. [Google Scholar] [CrossRef] [PubMed]
- Berry, D.J.; Ma, Y.; Ballinger, J.R.; Tavaré, R.; Koers, A.; Sunassee, K.; Zhou, T.; Nawaz, S.; Mullen, G.E.; Hider, R.C.; et al. Efficient bifunctional gallium-68 chelators for positron emission tomography: Tris(hydroxypyridinone) ligands. Chem. Commun. 2011, 47, 7068–7070. [Google Scholar] [CrossRef] [PubMed]
- Santos, M.A. Hydroxypyridinone complexes with aluminium. In vitro/vivo studies and perspectives. Coord. Chem. Rev. 2002, 228, 187–203. [Google Scholar] [CrossRef]
- Grazina, R.; Gano, L.; Šebestík, J.; Santos, M.A. New tripodal hydroxypyridinone based chelating agents for Fe(III), Al(III) and Ga(III): Synthesis, physico-chemical properties and bioevaluation. J. Inorg. Biochem. 2009, 103, 262–273. [Google Scholar] [CrossRef] [PubMed]
- Chaves, S.; Marques, S.M.; Matos, A.M.; Nunes, A.; Gano, L.; Tuccinardi, T.; Martinelli, A.; Santos, M.A. New tris(hydroxypyridinones) as iron and aluminium sequestering agents: Synthesis, complexation and in vivo studies. Chem.-A Eur. J. 2010, 16, 10535–10545. [Google Scholar] [CrossRef] [PubMed]
- Chaves, S.; Mendonça, A.C.; Marques, S.M.; Prata, M.I.; Santos, A.C.; Martins, A.F.; Geraldes, C.F.; Santos, M.A. A gallium complex with a new tripodal tris-hydroxypyridinone for potential nuclear diagnostic imaging: Solution and in vivo studies of 67Ga-labeled species. J. Inorg. Biochem. 2011, 105, 31–38. [Google Scholar] [CrossRef]
- Shen, L.; Zhu, D. Progress and perspective of chelating agents for decorporation of actinides. Chin. J. Nucl. Sci. Eng. 1996, 16, 80–86. [Google Scholar]
- Zhu, D.H.; Kappel, M.J.; Raymond, K.N. Coordination chemistry of lanthanide catecholates. Inorg. Chim. Acta 1988, 147, 115–121. [Google Scholar] [CrossRef]
- Hara, Y.; Shen, L.; Tsubouchi, A.; Akiyama, M.; Umemoto, K. Tripodal peptide hydroxamates as siderophore models. Iron(III) binding with ligands containing H-(alanyl)n-beta-(N-hydroxy)alanyl strands (n = 1–3) anchored by nitrilotriacetic acid. Inorg. Chem. 2000, 39, 5074–5082. [Google Scholar] [CrossRef] [PubMed]
- Tsubouchi, A.; Shen, L.; Hara, Y.; Akiyama, M. Iron(III) complexation behavior of benzene-centered tripodal mono-, di- and tritopic ligands carrying a repeating -ahe-(ho)apr- sequence [ahe = 6-aminohexanoyl; (ho)apr = 3-(n-hydroxy)-aminopropanoyl]. New J. Chem. 2001, 25, 275–282. [Google Scholar] [CrossRef]
- Shen, L.T.; Yang, T.; Li, H.Y.; Hu, J.; Luo, Z.F. Synthesis of a novel chiral trihydroxamic acid containing L-pro-L-ala-L-ala-β-(HO)ala-OMe unit. Chin. Chem. Lett. 2006, 17, 751–754. [Google Scholar]
- Shen, L.; Zhao, H.Y.; Du, J.; Wang, F. Anti-tumor activities of four chelating agents against human neuroblastoma cells. In Vivo 2005, 19, 233–236. [Google Scholar] [PubMed]
- Shi, X.; Shen, L. Integrin αvβ3 receptor targeting PET/MRI dual-modal imaging probe based on the 64Cu labeled manganese ferrite nanoparticles. J. Inorg. Biochem. 2018, 186, 257–263. [Google Scholar] [CrossRef]
- Sun, Y.L. Synthesis and Structure Identification of Novel Macrocyclic Ligands Containing HOPO Group. Master’s Thesis, China Institute of Atomic Energy, Beijing, China, June 2010. [Google Scholar]
- Sun, Y.L.; Li, Z.M.; Shen, L.T. Synthesis of a new chelator with cyclen as the skeleton and containing 3-hydroxy-4-pyridinone functional group. In Proceedings of the Compilation of Abstracts of the 11th National Conference on Radiopharmaceuticals and Labeled Compounds, Guangzhou, China, 4–7 November 2011. [Google Scholar]
- Li, Z.M. Study on the Synthesis of TREN-3,4-HOPO. Master’s Thesis, China Institute of Atomic Energy, Beijing, China, June 2010. [Google Scholar]
- Dong, L.L.; Shen, L.T. Synthesis of a novel hexadentate chelator TMC(BuHP)3 based on 3-hydroxy-4-pyridinone groups. Chin. J. Syn. Chem. 2019, 27, 728–732. [Google Scholar]
- Dong, L.L. The Syntheses of Novel 3-hydroxyl-4-pyridone Hexadentate Chelators and Their Folate Conjugate. Ph.D. Thesis, China Institute of Atomic Energy, Beijing, China, June 2018. [Google Scholar]
- Sun, Y.; Motekaitis, R.J.; Martell, A.E. A novel iron sequestering agent: Synthesis and iron-chelating properties of 1,1,1-tris(3-hydroxy-2-oxo-1,2-dihydro-1-pyridylpropoxymethyl) ethane. Inorg. Chim. Acta 1998, 281, 60–63. [Google Scholar] [CrossRef]
- Harrington, J.M.; Chittamuru, S.; Dhungana, S.; Jacobs, H.K.; Gopalan, A.S.; Crumbliss, A.L. Synthesis and iron sequestration equilibria of novel exocyclic 3-hydroxy-2-pyridinone donor group siderophore mimics. Inorg. Chem. 2010, 49, 8208–8221. [Google Scholar] [CrossRef] [Green Version]
- Gibson, S.; Fernando, R.; Jacobs, H.K.; Gopalan, A.S. Preparation of 3-benzyloxy-2-pyridinone functional linkers: Tools for the synthesis of 3,2-hydroxypyridinone (HOPO) and HOPO/hydroxamic acid chelators. Tetrahedron 2015, 71, 9271–9281. [Google Scholar] [CrossRef] [Green Version]
- Buchwalder, C.; Rodriguez-Rodriguez, C.; Schaffer, P.; Karagiozov, S.K.; Saatchi, K.; Häfeli, U.O. A new tetrapodal 3-hydroxy-4-pyridinone ligand for complexation of 89zirconium for positron emission tomography (PET) imaging. Dalton Trans. 2017, 46, 9654–9663. [Google Scholar] [CrossRef] [PubMed]
- Workman, D.G.; Hunter, M.; Dover, L.G.; Tétard, D. Synthesis of novel iron(III) chelators based on triaza macrocycle backbone and 1-hydroxy-2(H)-pyridin-2-one coordinating groups and their evaluation as antimicrobial agents. J. Inorg. Biochem. 2016, 160, 49–58. [Google Scholar] [CrossRef] [Green Version]
- Workman, D.G.; Hunter, M.; Wang, S.; Brandel, J.; Hubscher, V.; Dover, L.G.; Tétard, D. The influence of linkages between 1-hydroxy-2(1H)-pyridinone coordinating groups and a tris(2-aminoethyl)amine core in a novel series of synthetic hexadentate iron(III) chelators on antimicrobial activity. Bioorg. Chem. 2020, 95, 103465. [Google Scholar] [CrossRef] [PubMed]
- Stradling, G.N.; Gray, S.A.; Moody, J.C.; Hodgson, A.; Raymond, K.N.; Durbin, P.W.; Rodgers, S.J.; White, D.L.; Turowski, P.N. The efficacy of DFO-HOPO, DTPA-DX and DTPA for enhancing the excretion of plutonium and americium from the rat. Int. J. Radiat. Biol. 1991, 59, 1269–1277. [Google Scholar] [CrossRef] [PubMed]
- Choi, T.A.; Endsley, A.N.; Bunin, D.I.; Colas, C.; An, D.D.; Morales-Rivera, J.A.; Villalobos, J.A.; Shinn, W.M.; Dabbs, J.E.; Chang, P.Y.; et al. Biodistribution of the multidentate hydroxypyridinonate ligand [14C]-3,4,3-LI(1,2-HOPO), a potent actinide decorporation agent. Drug Dev. Res. 2015, 76, 107–122. [Google Scholar] [CrossRef] [PubMed] [Green Version]
- Carter, K.P.; Deblonde, G.J.-P.; Lohrey, T.D.; Bailey, T.A.; An, D.D.; Shield, K.M.; Lukens, W., Jr.; Abergel, R.J. Developing scandium and yttrium coordination chemistry to advance theranostic radiopharmaceuticals. Commun. Chem. 2020, 3, 61. [Google Scholar] [CrossRef]
- Ricano, A.; Captain, I.; Carter, K.P.; Nell, B.P.; Deblonde, G.J.; Abergel, R.J. Combinatorial design of multimeric chelating peptoids for selective metal coordination. Chem. Sci. 2019, 10, 6834–6843. [Google Scholar] [CrossRef] [PubMed] [Green Version]
- Phipps, M.; Cingoranelli, S.; Ferdous, J.; Bhupathiraju, N.V.S.D.; Lapi, S.; Lewis, J.; Francesconi, L.; Deri, M. Evaluation of [47Sc]Sc-HOPO toward radioscandium based radiopharmaceuticals. Nucl. Med. Bio. 2021, 96–97, S91–S92. [Google Scholar] [CrossRef]
- Mishiro, K.; Hanaoka, H.; Yamaguchi, A.; Ogawa, K. Radiotheranostics with radiolanthanides: Design, development strategies, and medical applications. Coord. Chem. Rev. 2019, 383, 104–131. [Google Scholar] [CrossRef]
- Van de Voorde, M.; Van Hecke, K.; Cardinaels, T.; Binnemans, K. Radiochemical processing of nuclear-reactor-produced radiolanthanides for medical applications. Coord. Chem. Rev. 2019, 382, 103–125. [Google Scholar] [CrossRef]
- Müller, C.; Domnanich, K.A.; Umbricht, C.A.; van der Meulen, N.P. Scandium and terbium radionuclides for radiotheranostics: Current state of development towards clinical application. Br. J. Radiol. 2018, 91, 20180074. [Google Scholar] [CrossRef] [PubMed]
- Blower, J.E.; Cooper, M.S.; Imberti, C.; Ma, M.T.; Marshall, C.; Young, J.D.; Blower, P.J. The radiopharmaceutical chemistry of the radionuclides of gallium and indium. In Radiopharmaceutical Chemistry, 1st ed.; Lewis, J.S., Windhorst, A.D., Zeglis, B., Eds.; Springer: Cham, Switzerland, 2019; pp. 255–272. [Google Scholar]
- Harris, W.R.; Pecoraro, V.L. Thermodynamic binding constants for gallium transferrin. Biochemistry 1983, 22, 292–299. [Google Scholar] [CrossRef] [PubMed]
- Green, M.A.; Welch, M.J. Gallium radiopharmaceutical chemistry. Int. J. Rad. Appl. Instrum. B Nucl. Med. Bio. 1989, 16, 435–448. [Google Scholar] [CrossRef]
- Velikyan, I. Prospective of 68Ga-radiopharmaceutical development. Theranostics 2014, 4, 47–80. [Google Scholar] [CrossRef] [PubMed] [Green Version]
- Fani, M.; André, J.P.; Maecke, H.R. 68Ga-PET: A powerful generator-based alternative to cyclotron based PET radiopharmaceuticals. Contrast Media Mol. I 2008, 3, 53–63. [Google Scholar] [CrossRef] [PubMed]
- Bartholomä, M.D. Recent developments in the design of bifunctional chelators for metal-based radiopharmaceuticals used in positron emission tomography. Inorg. Chim. Acta 2012, 389, 36–51. [Google Scholar] [CrossRef]
- Kandioller, W.; Kurzwernhart, A.; Hanif, M.; Meier, S.M.; Henke, H.; Keppler, B.K.; Hartinger, C.G. Pyrone derivatives and metals: From natural products to metal-based drugs. J. Organomet. Chem. 2011, 696, 999–1010. [Google Scholar] [CrossRef]
- Benešová, M.; Schäfer, M.; Bauder-Wüst, U.; Afshar-Oromieh, A.; Kratochwil, C.; Mier, W.; Haberkorn, U.; Kopka, K.; Eder, M. Preclinical evaluation of a tailor-made DOTA-conjugated PSMA inhibitor with optimized linker moiety for imaging and endoradiotherapy of prostate cancer. J. Nucl. Med. 2015, 56, 914–920. [Google Scholar] [CrossRef] [PubMed] [Green Version]
- Spang, P.; Herrmann, C.; Roesch, F. Bifunctional gallium-68 chelators: Past, present, and future. Semin. Nucl. Med. 2016, 46, 373. [Google Scholar] [CrossRef] [PubMed] [Green Version]
- Price, E.W.; Orvig, C. Matching chelators to radio-metals for radiopharmaceuticals. Chem. Soc. Rev. 2014, 43, 260–290. [Google Scholar] [CrossRef]
- Pfister, J.; Summer, D.; Rangger, C.; Petrik, M.; von Guggenberg, E.; Minazzi, P.; Giovenzana, G.B.; Aloj, L.; Decristoforo, C. Influence of a novel, versatile bifunctional chelator on theranostic properties of a minigastrin analogue. EJNMMI Res. 2015, 5, 74. [Google Scholar] [CrossRef] [PubMed] [Green Version]
- Tsionou, M.I.; Knapp, C.E.; Foley, C.A.; Munteanu, C.R.; Cakebread, A.; Imberti, C.; Eykyn, T.R.; Young, J.D.; Paterson, B.M.; Blower, P.J.; et al. Comparison of macrocyclic and acyclic chelators for gallium-68 radiolabelling. RSC Adv. 2017, 7, 49586–49599. [Google Scholar] [CrossRef] [PubMed] [Green Version]
- Govindan, S.V.; Michel, R.B.; Griffiths, G.L.; Goldenberg, D.M.; Mattes, M.J. Deferoxamine as a chelator for 67Ga in the preparation of antibody conjugates. Nucl. Med. Biol. 2005, 32, 513–519. [Google Scholar] [CrossRef]
- Ebenhan, T.; Vorster, M.; Marjanovic-Painter, B.; Wagener, J.; Suthiram, J.; Modiselle, M.; Mokaleng, B.; Zeevaart, J.R.; Sathekge, M. Development of a single vial kit solution for radiolabeling of 68Ga-DKFZ-PSMA-11 and its performance in prostate cancer patients. Molecules 2015, 20, 14860–14878. [Google Scholar] [CrossRef] [PubMed]
- Ramogida, C.F.; Cawthray, J.F.; Boros, E.; Ferreira, C.L.; Patrick, B.O.; Adam, M.J.; Orvig, C. H2CHX dedpa and H4CHX octapa-chiral acyclic chelating ligands for 67/68Ga and 111In radiopharmaceuticals. Inorg. Chem. 2015, 54, 2017–2031. [Google Scholar] [CrossRef] [PubMed]
- Ma, M.T.; Cullinane, C.; Imberti, C.; Torres, J.B.; Terry, S.Y.; Roselt, P.; Hicks, R.J.; Blower, P.J. New tris(hydroxypyridinone) bifunctional chelators containing isothiocyanate groups provide a versatile platform for rapid one-step labeling and PET imaging with 68Ga3+. Bioconjug. Chem. 2016, 27, 309–318. [Google Scholar] [CrossRef] [Green Version]
- Ma, M.T.; Cullinane, C.; Waldeck, K.; Roselt, P.; Hicks, R.J.; Blower, P.J. Rapid kit-based 68Ga-labelling and PET imaging with THP-Tyr3-octreotate: A preliminary comparison with DOTA-Tyr3-octreotate. EJNMMI Res. 2015, 5, 52. [Google Scholar] [CrossRef] [PubMed] [Green Version]
- Nawaz, S.; Mullen, G.E.; Sunassee, K.; Bordoloi, J.; Blower, P.J.; Ballinger, J.R. Simple, mild, one-step labelling of proteins with gallium-68 using a tris(hydroxypyridinone) bifunctional chelator: A 68Ga-THP-scFv targeting the prostate-specific membrane antigen. EJNMMI Res. 2017, 7, 86. [Google Scholar] [CrossRef] [Green Version]
- Young, J.D.; Abbate, V.; Imberti, C.; Meszaros, L.K.; Ma, M.T.; Terry, S.Y.; Hider, R.C.; Mullen, G.E.; Blower, P.J. 68Ga-THP-PSMA: A PET imaging agent for prostate cancer offering rapid, room temperature, one-step kit-based radiolabeling. J. Nucl. Med. 2017, 58, 1270–1277. [Google Scholar] [CrossRef] [PubMed] [Green Version]
- Afshar-Oromieh, A.; Zechmann, C.M.; Malcher, A.; Eder, M.; Eisenhut, M.; Linhart, H.G.; Holland-Letz, T.; Hadaschik, B.A.; Giesel, F.L.; Debus, J.; et al. Comparison of PET imaging with a 68Ga-labelled PSMA ligand and 18F-choline-based PET/CT for the diagnosis of recurrent prostate cancer. Eur. J. Nucl. Med. Mol. Imaging 2014, 41, 11–20. [Google Scholar] [CrossRef] [PubMed] [Green Version]
- Eiber, M.; Maurer, T.; Souvatzoglou, M.; Beer, A.J.; Ruffani, A.; Haller, B.; Graner, F.P.; Kübler, H.; Haberhorn, U.; Eisenhut, M.; et al. Evaluation of hybrid 68Ga-PSMA-ligand PET/CT in 248 patients with biochemical recurrence after radical prostatectomy. J. Nucl. Med. 2015, 56, 668–674. [Google Scholar] [CrossRef] [PubMed] [Green Version]
- Hofman, M.S.; Eu, P.; Jackson, P.; Hong, E.; Binns, D.; Iravani, A.; Murphy, D.; Mitchell, C.; Siva, S.; Hicks, R.J.; et al. Cold kit PSMA PET imaging: Phase I study of 68Ga-THP-PSMA PET/CT in patients with prostate cancer. J. Nucl. Med. 2018, 59, 625–631. [Google Scholar] [CrossRef] [PubMed] [Green Version]
- Nurchi, V.M.; Cappai, R.; Chand, K.; Chaves, S.; Gano, L.; Crisponi, G.; Peana, M.; Zoroddu, M.A.; Santos, M.A. New strong extrafunctionalizable tris(3,4-HP) and bis(3,4-HP) metal sequestering agents: Synthesis, solution and in vivo metal chelation. Dalton Trans. 2019, 48, 16167–16183. [Google Scholar] [CrossRef] [PubMed]
- Yang, C.H. Study on the Synthesis of a Novel gallium-68/67 3-hydroxy-4-pyridone Bifunctional Chelating Agent. Master’s Thesis, China Institute of Atomic Energy, Beijing, China, June 2009. [Google Scholar]
- Yang, C.H.; Shen, L.T.; Li, H.Y.; Deng, X.R. Synthesis of a novel 3-hydroxy-4-pyridone based bifunctional chelator for gallium-68. In Proceedings of the Compilation of Abstracts of the 10th National Conference on Radiopharmaceuticals and Labeled Compounds, Wuxi, China, 6–9 November 2009. [Google Scholar]
- Tian, Q. Synthesis of a Novel 67/68Ga Bifunctional Chelating Ligand. Master’s Thesis, China Institute of Atomic Energy, Beijing, China, June 2011. [Google Scholar]
- Dong, L.L.; Shen, L.T. Design and synthesis of novel gallium-68 bifunctional chelating agents based on 3-hydroxy-4-pyridinone units. In Proceedings of the Abstract of the 2nd Chinese Chemistry Letters Symposium on Chemistry and Chemical Engineering, Chengdu, China, 15–17 September 2017. [Google Scholar]
- Dong, L.L.; Shen, L.T. Design and syntheses of a novel tris(3-hydroxy-4-pyridinone) ligand and its folate conjugate. J. Nucl. Med. 2018, 59, 1058. Available online: https://jnm.snmjournals.org/content/59/supplement_1/1058 (accessed on 25 September 2021).
- Newkome, G.R.; Behera, R.K.; Moorefield, C.N.; Baker, G.R. Chemistry of micelles. 18. Cascade polymers: Syntheses and characterization of one-directional arborols based on adamantine. J. Org. Chem. 1991, 56, 7162–7167. [Google Scholar] [CrossRef]
- Zhou, X.; Dong, L.L.; Li, Y.Y.; Cui, M.C.; Shen, L.T. Design and synthesis of a new conjugate of a tris(3-hydroxy-4-pyridinone) chelator (KC18) for potential use as gallium-68-labeled prostate-specific membrane antigen (PSMA) radiopharmaceutical. Results Chem. 2021, 3, 100240. [Google Scholar] [CrossRef]
- Kaplon, H.; Reichert, J.M. Antibodies to watch in 2021. mAbs 2021, 13, 1860476. [Google Scholar] [CrossRef] [PubMed]
- Mestel, R. Cancer: Imaging with antibodies. Nature 2017, 543, 743–746. [Google Scholar] [CrossRef] [PubMed]
- Wei, W.; Rosenkrans, Z.T.; Liu, J.; Huang, G.; Luo, Q.Y.; Cai, W. ImmunoPET: Concept, design, and applications. Chem. Rev. 2020, 120, 3787–3851. [Google Scholar] [CrossRef] [PubMed]
- van Dongen, G.A.; Beaino, W.; Windhorst, A.D.; Zwezerijnen, G.J.; Oprea-Lager, D.E.; Hendrikse, N.H.; van Kuijk, C.; Boellaard, R.; Huisman, M.C.; Vugts, D.J. The role of 89Zr-immuno-PET in navigating and derisking the development of biopharmaceuticals. J. Nucl. Med. 2021, 62, 438–445. [Google Scholar] [CrossRef]
- McKnight, B.N.; Viola-Villegas, N.T. 89Zr-immunoPET companion diagnostics and their impact in clinical drug development. J. Label. Comp. Radiopharm. 2018, 61, 727–738. [Google Scholar] [CrossRef]
- Dilworth, J.R.; Pascu, S.I. The chemistry of PET imaging with zirconium-89. Chem. Soc. Rev. 2018, 47, 2554–2571. [Google Scholar] [CrossRef] [PubMed]
- Marquez-Nostra, B.V.; Viola, N. The radiopharmaceutical chemistry of zirconium-89. In Radiopharmaceutical Chemistry, 1st ed.; Lewis, J.S., Windhorst, A.D., Zeglis, B., Eds.; Springer: Cham, Switzerland, 2019; pp. 371–390. [Google Scholar]
- Bhatt, N.B.; Pandya, D.N.; Wadas, T.J. Recent advances in zirconium-89 chelator development. Molecules 2018, 23, 638. [Google Scholar] [CrossRef] [Green Version]
- Meijs, W.E.; Herscheid, J.D.; Haisma, H.J.; Pinedo, H.M. Evaluation of desferal as a bifunctional chelating agent for labeling antibodies with Zr-89. Appl. Radiat. Isot. 1992, 43, 1443–1447. [Google Scholar] [CrossRef]
- Deri, M.A.; Ponnala, S.; Zeglis, B.M.; Pohl, G.; Dannenberg, J.J.; Lewis, J.S.; Francesconi, L.C. Alternative chelator for 89Zr radiopharmaceuticals: Radiolabeling and evaluation of 3,4,3-(LI-1,2-HOPO). J. Med. Chem. 2014, 57, 4849–4860. [Google Scholar] [CrossRef] [PubMed] [Green Version]
- Ma, M.; Meszaros, L.K.; Paterson, B.M.; Berry, D.; Cooper, M.S.; Ma, Y.; Hider, R.; Blower, P.J. Tripodal tris(hydroxypyridinone) ligands for immunoconjugate PET imaging with 89Zr4+: Comparison with desferrioxamine-B. Dalton Trans. 2015, 44, 4884–4900. [Google Scholar] [CrossRef] [PubMed] [Green Version]
- Tinianow, J.N.; Pandya, D.N.; Pailloux, S.L.; Ogasawara, A.; Vanderbilt, A.N.; Gill, H.S.; Williams, S.P.; Wadas, T.J.; Magda, D.; Marik, J. Evaluation of a 3-hydroxypyridin-2-one (2,3-HOPO) based macrocyclic chelator for 89Zr4+ and its use for immunoPET imaging of HER2 positive model of ovarian carcinoma in mice. Theranostics 2016, 6, 511–521. [Google Scholar] [CrossRef]
- Bhupathiraju, N.V.; Younes, A.; Cao, M.; Ali, J.; Cicek, H.T.; Tully, K.M.; Ponnala, S.; Babich, J.W.; Deri, M.A.; Lewis, J.S.; et al. Improved synthesis of the bifunctional chelator p-SCN-Bn-HOPO. Org. Biomol. Chem. 2019, 17, 6866–6871. [Google Scholar] [CrossRef] [PubMed]
- Roy, J.; Jagoda, E.M.; Basuli, F.; Vasalatiy, O.; Phelps, T.E.; Wong, K.; Ton, A.T.; Hagemann, U.B.; Cuthbertson, A.S.; Cole, P.E.; et al. In vitro and in vivo comparison of 3,2-HOPO versus deferoxamine-based chelation of zirconium-89 to the antimesothelin antibody anetumab. Cancer Biother. Radio. 2021, 36, 316–325. [Google Scholar] [CrossRef] [PubMed]
- Available online: Clinicaltrials.gov (accessed on 14 September 2021).
- Targeted Alpha Therapy Working Group. Targeted alpha therapy, an emerging class of cancer agents: A review. JAMA Oncol. 2018, 4, 1765–1772. [Google Scholar] [CrossRef] [PubMed]
- Sgouros, G.; Ballangrud, A.M.; Jurcic, J.G.; McDevitt, M.R.; Humm, J.L.; Erdi, Y.E.; Mehta, B.M.; Finn, R.D.; Larson, S.M.; Scheinberg, D.A. Pharmacokinetics and dosimetry of an α-particle emitter antibody: 213Bi-HuM195 (anti-CD33) in patients with leukemia. J. Nucl. Med. 1999, 40, 1935–1946. Available online: https://jnm.snmjournals.org/content/40/11/1935 (accessed on 25 September 2021). [PubMed]
- Mulford, D.A.; Scheinberg, D.A.; Jurcic, J.G. The promise of targeted α-particle therapy. J. Nucl. Med. 2005, 46, 199s–204s. Available online: https://jnm.snmjournals.org/content/46/1_suppl/199S (accessed on 25 September 2021). [PubMed]
- Wilbur, D.S. The radiopharmaceutical chemistry of alpha-emitting radionuclides. In Radiopharmaceutical Chemistry, 1st ed.; Lewis, J.S., Windhorst, A.D., Zeglis, B., Eds.; Springer: Cham, Switzerland, 2019; pp. 409–424. [Google Scholar]
- Nonnekens, J.; Chatalic, K.L.; Molkenboer-kuenen, J.D.; Beerens, C.E.; Bruchertseifer, F.; Morgenstern, A.; Veldhoven-Zweistra, J.; Schottelius, M.; Wester, H.J.; van Gent, D.C.; et al. 213Bi-Labeled prostate-specific membrane antigen-targeting agents induce DNA double-strand breaks in prostate cancer xenografts. Cancer Biother. Radiopharm. 2017, 32, 67–73. [Google Scholar] [CrossRef]
- Hall, E.J.; Giaccia, A.J. Radiobiology for the Radiologist, 7th ed.; Lippincott Williams & Wilkins: Philadelphia, PA, USA, 2012; pp. 104–113. [Google Scholar]
- Eychenne, R.; Chérel, M.; Haddad, F.; Guérard, F.; Gestin, J.F. Overview of the most promising radionuclides for targeted alpha therapy: The “hopeful eight”. Pharmaceutics 2021, 13, 906. [Google Scholar] [CrossRef] [PubMed]
- Tutson, C.D.; Gorden, A.E. Thorium coordination: A comprehensive review based on coordination number. Coordin. Chem. Rev. 2017, 333, 27–43. [Google Scholar] [CrossRef] [Green Version]
- Natrajan, L.S.; Swinburne, A.N.; Andrews, M.B. Redox and environmentally relevant aspects of actinide(IV) coordination chemistry. Coordin. Chem. Rev. 2014, 266–267, 171–193. [Google Scholar] [CrossRef]
- King, A.P.; Lin, F.I.; Escorcia, F.E. Why bother with alpha particles? Eur. J. Nucl. Med. Mol. Imaging 2021. [Google Scholar] [CrossRef] [PubMed]
- Hatcher-Lamarre, J.L.; Sanders, V.A.; Rahman, M.; Cutler, C.S.; Francesconi, L.C. Alpha emitting nuclides for targeted therapy. Nucl. Med. Biol. 2021, 92, 228–240. [Google Scholar] [CrossRef] [PubMed]
- Frantellizzi, V.; Cosma, L.; Brunotti, G.; Pani, A.; Spanu, A.; Nuvoli, S.; De Cristofaro, F.; Civitelli, L.; De Vincentis, G. Targeted alpha therapy with thorium-227. Cancer Biother. Radiopharm. 2020, 35, 437–445. [Google Scholar] [CrossRef] [PubMed]
- Hagemann, U.B.; Wickstroem, K.; Hammer, S.; Bjerke, R.M.; Zitzmann-Kolbe, S.; Ryan, O.B.; Karlsson, J.; Scholz, A.; Hennekes, H.; Mumberg, D.; et al. Advances in precision oncology: Targeted thorium-227 conjugates as a new modality in targeted alpha therapy. Cancer Biother. Radiopharm. 2020, 35, 497–510. [Google Scholar] [CrossRef] [PubMed] [Green Version]
- Abergel, R.J.; Durbin, P.W.; Kullgren, B.; Ebbe, S.N.; Xu, J.; Chang, P.Y.; Bunin, D.I.; Blakely, E.A.; Bjornstad, K.A.; Rosen, C.J.; et al. Biomimetic actinide chelators: An update on the preclinical development of the orally active hydroxypyridonate decorporation agents 3,4,3-LI(1,2-HOPO) and 5-LIO(Me-3,2-HOPO). Health Phys. 2010, 99, 401–407. [Google Scholar] [CrossRef] [PubMed]
- Deblonde, G.J.; Sturzbecher-Hoehne, M.; Abergel, R.J. Solution thermodynamic stability of complexes formed with the octadentate hydroxypyridinonate ligand 3,4,3-LI(1,2-HOPO): A critical feature for efficient chelation of lanthanide(IV) and actinide(IV) ions. Inorg. Chem. 2013, 52, 8805–8811. [Google Scholar] [CrossRef] [Green Version]
- Sturzbecher-Hoehne, M.; Deblonde, G.J.; Abergel, R.J. Solution thermodynamic evaluation of hydroxypyridinonate chelators 3,4,3-LI(1,2-HOPO) and 5-LIO(Me-3,2-HOPO) for UO2(VI) and Th(IV) decorporation. Radiochim. Acta 2013, 101, 359–366. [Google Scholar] [CrossRef]
- Ramdahl, T.; Bonge-Hansen, H.T.; Ryan, O.B.; Larsen, Å.; Herstad, G.; Sandberg, M.; Bjerke, R.M.; Grant, D.; Brevik, E.M.; Cuthbertson, A.S. An efficient chelator for complexation of thorium-227. Bioorg. Med. Chem. Lett. 2016, 26, 4318–4321. [Google Scholar] [CrossRef] [PubMed] [Green Version]
- Deblonde, G.J.; Lohrey, T.D.; Booth, C.H.; Carter, K.P.; Parker, B.F.; Larsen, Å.; Smeets, R.; Ryan, O.B.; Cuthbertson, A.S.; Abergel, R.J. Solution thermodynamics and kinetics of metal complexation with a hydroxypyridinone chelator designed for thorium-227 targeted alpha therapy. Inorg. Chem. 2018, 57, 14337–14346. [Google Scholar] [CrossRef] [PubMed]
- Hagemann, U.B.; Wickstroem, K.; Wang, E.; Shea, A.O.; Sponheim, K.; Karlsson, J.; Bjerke, R.M.; Ryan, O.B.; Cuthbertson, A.S. In vitro and in vivo efficacy of a novel CD33-targeted thorium-227 conjugate for the treatment of acute myeloid leukemia. Mol. Cancer Ther. 2016, 15, 2422–2431. [Google Scholar] [CrossRef] [PubMed] [Green Version]
- Hagemann, U.B.; Mihaylova, D.; Uran, S.R.; Borrebaek, J.; Grant, D.; Bjerke, R.M.; Karlsson, J.; Cuthbertson, A.S. Targeted alpha therapy using a novel CD70 targeted thorium-227 conjugate in in vitro and in vivo models of renal cell carcinoma. Oncotarget 2017, 8, 56311–56326. [Google Scholar] [CrossRef] [PubMed] [Green Version]
- Ferrier, M.G.; Li, Y.; Chyan, M.K.; Wong, R.; Li, L.; Spreckelmeyer, S.; Hamlin, D.K.; Mastren, T.; Fassbender, M.E.; Orvig, C.; et al. Thorium chelators for targeted alpha therapy: Rapid chelation of thorium-226. J. Label. Compd. Radiopharm. 2020, 63, 502–516. [Google Scholar] [CrossRef] [PubMed]
- Radchenko, V.; Morgenstern, A.; Jalilian, A.R.; Ramogida, C.F.; Cutler, C.; Duchemin, C.; Hoehr, C.; Haddad, F.; Bruchertseifer, F.; Gausemel, H.; et al. Production and supply of α-particle-emitting radionuclides for targeted α-therapy. J. Nucl. Med. 2021, 62, 1495–1503. [Google Scholar] [CrossRef]
- Boniolo, F.; Dorigatti, E.; Ohnmacht, A.J.; Saur, D.; Schubert, B.; Menden, M.P. Artificial intelligence in early drug discovery enabling precision medicine. Expert Opin. Drug Discov. 2021, 16, 991–1007. [Google Scholar] [CrossRef] [PubMed]
- Ataeinia, B.; Heidari, P. Artificial intelligence and the future of diagnostic and therapeutic radiopharmaceutical development: In silico smart molecular design. PET Clin. 2021, 16, 513–523. [Google Scholar] [CrossRef] [PubMed]













| Nuclide | t1/2 | Type of Decay | Energy (keV) | Imaging Application |
|---|---|---|---|---|
| 99mTc | 6.01 h | γ | 140 | SPECT |
| 123I | 13.2 h | γ EC 1/Auger | 159 <5 | SPECT |
| 131I | 8.0 d | γ β− | 364 192 (mean) | SPECT |
| 67Ga | 78.3 h | γ | 93 keV (38%); 184 keV (24%); 300 keV (22%) | SPECT |
| 111In | 2.80 d | γ | 171 keV; 245 keV | SPECT |
| 201Tl | 3.042 d | γ | 167 | SPECT |
| 153Sm | 46.5 h | β− | 807 | SPECT |
| 18F | 110 min | β+ | 633 | PET |
| γ | 140 | |||
| 68Ga | 68 min | γ | 1080 | PET |
| β+ | 1899; 822 | |||
| 64Cu | 12.8 h | β− β+ | 573 655 | PET |
| 89Zr | 78.4 h | β+ γ | 902 900 | PET |
| 44Sc | 3.97 h | β+ | 632 | PET |
| 86Y | 14.74 h | β+ | 3141 | PET |
| γ | 1080 | |||
| 152Tb | 17.5 h | β+ | 1140 | PET |
| 82Rb | 1.258 min | β+ | 4400 | PET |
| 124I | 4.2 d | β+ Annihilation radiation | 687 + 975 β+ (mean) 511 γ | PET |
| Nuclide | t1/2 | Emission | Energy [MeV]avg |
|---|---|---|---|
| 131I | 8.0 d | β− | 0.192 (mean) |
| 89Sr | 50.56 d | β− | 0.587 |
| 177Lu | 6.65 d | β− | 0.134 |
| 153Sm | 46.5 h | β− | 0.807 |
| 90Y | 64.0 h | β− | 0.934 |
| 223Ra | 11.4 d | α | 5.8–7.5 |
| β− | 0.173–0.495 | ||
| 225Ac | 9.92 d | α | 5.8–8.4 |
| β | 0.198–0.660 | ||
| 212Bi | 60.6 min | α | 6.05 |
| β− | 0.56–0.77 | ||
| 213Bi | 45.6 min | β− | 0.198–0.660 |
| α | 5.9–8.4 | ||
| 227Th | 18.9 d | α | 5.8–7.5 |
| β− | 0.173–0.495 | ||
| 211At | 7.214 h | α | 5.87 (41.8%) |
| 67Ga | 3.26 d | Auger e− | >0.0075 |
| CE | ~0.08–0.09 | ||
| 111In | 2.80 d | Auger e− | >0.019 |
| CE | ~0.14–0.22 | ||
| 47Sc | 3.35 d | β− | 0.162 |
| 149Tb | 4.1 h | α | 3.97 |
| β+ | 0.725 |
| Ligand | Structure | pKa1 | pKa2 | logβ3 | pFe3+ |
|---|---|---|---|---|---|
| N,N-Dimethyl-2,3-dihydroxybenzamide (DMB) | ![]() | 8.4 | 12.1 | 40.2 | 15 |
| Acetohydroxamic acid | ![]() | - | 9.4 | 28.3 | 13 |
| 1-Hydroxypyridin-2-one | ![]() | - | 5.8 | 27 | 16 |
| 1-Methyl-3-hydroxypyridin-2-one | ![]() | 0.2 | 8.6 | 32 | 16 |
| 1,2-Dimethyl-3-hydroxypyridin-4-one (deferiprone) | ![]() | 3.6 | 9.9 | 37.2 | 20 |
| Nuclear Properties | 66Ga | 67Ga | 68Ga |
|---|---|---|---|
| Production Method | 66Zn(p,n)66Ga | 68Zn(p,2n)67Ga | 68Ge/68Ga generator |
| Decay process | EC 1(43%)/β+(57%)→66Zn | EC(100%)→67Zn | EC(11%)/β+(89%)→68Zn |
| Half-life time | 9.5 h | 78.3 h | 68 min |
| γ ray abundance | 511 keV (114%) | 93 keV (38%); 184 keV (24%); 300 keV (22%) | 511 keV (178%) |
| Nuclear Properties | 89Zr |
|---|---|
| Production Method | 89Y(p,n)89Zr |
| Decay process | EC(77%)/β+(23%)→89mY |
| Half-life time | 78.4 h |
| γ ray abundance | 909 keV (99.9%); 1657 keV (0.1%); 1713 keV (0.8%) |
| Nuclear Properties | 227Th |
|---|---|
| Production Method | 227Ac→227Th |
| Decay process | α→223Ra |
| Half-life time | 18.72 d |
| α-emission energy (% abundance) | 5709 keV (8.3%); 5713 keV (5.0%); 5757 keV (20.4%); 5978 keV (23.5%); 6038 keV (24.2%) |
Publisher’s Note: MDPI stays neutral with regard to jurisdictional claims in published maps and institutional affiliations. |
© 2021 by the authors. Licensee MDPI, Basel, Switzerland. This article is an open access article distributed under the terms and conditions of the Creative Commons Attribution (CC BY) license (https://creativecommons.org/licenses/by/4.0/).
Share and Cite
Zhou, X.; Dong, L.; Shen, L. Hydroxypyridinones as a Very Promising Platform for Targeted Diagnostic and Therapeutic Radiopharmaceuticals. Molecules 2021, 26, 6997. https://doi.org/10.3390/molecules26226997
Zhou X, Dong L, Shen L. Hydroxypyridinones as a Very Promising Platform for Targeted Diagnostic and Therapeutic Radiopharmaceuticals. Molecules. 2021; 26(22):6997. https://doi.org/10.3390/molecules26226997
Chicago/Turabian StyleZhou, Xu, Linlin Dong, and Langtao Shen. 2021. "Hydroxypyridinones as a Very Promising Platform for Targeted Diagnostic and Therapeutic Radiopharmaceuticals" Molecules 26, no. 22: 6997. https://doi.org/10.3390/molecules26226997
APA StyleZhou, X., Dong, L., & Shen, L. (2021). Hydroxypyridinones as a Very Promising Platform for Targeted Diagnostic and Therapeutic Radiopharmaceuticals. Molecules, 26(22), 6997. https://doi.org/10.3390/molecules26226997





