Abstract
Biogenic polyamines (PAs) are involved in the growth and development of normal cells, and their intracellular concentration is stable. The concentration of PAs in cancer cells is significantly increased to promote and sustain their rapid proliferation. Over the years, synthetic PAs, which differ in their structure, have demonstrated high antitumor activity and are involved in clinical trials. The chemical synthesis of PAs and their conjugates require the correct choice of synthetic pathways—methods for constructing conjugates and the orthogonal protection of amino groups. The most common methods of synthesis of PA conjugates are acylation of regioselectively protected PAs or their alkylation under the conditions of the Fukuyama reaction. One of the most promising methods of PA synthesis is the use of a multicomponent Ugi reaction, which allows various PAs to be obtained in high yields. In this review, we describe and analyze various approaches that are used in the synthesis of polyamines and their conjugates.
1. Introduction
Natural polyamines (PAs), as shown in Figure 1, are low-molecular-weight, positively charged molecules at the physiological pH. They are found in all eukaryotic cells in millimolar concentrations [1] and are involved in many physiological cellular functions, such as cell growth, proliferation, migration, differentiation, immunity, gene regulation, and DNA stability. In addition, they are indirectly involved in the synthesis of proteins and nucleic acids [2,3]. They can form complex structures with DNA, RNA, ATP, and certain types of proteins and phospholipids [4]. Fully protonated PAs cannot pass through the cell membrane by passive diffusion. In mammalian cells, exogenous PAs need active transport to cross the plasma membrane. Once inside the cell, they distribute in all cellular components, owing to their high solubility.
Figure 1.
Natural PAs.
In highly proliferative cells, the concentration of PAs increases sharply. In many types of cancer, the intracellular concentration of PAs was found to be 4–6 times higher than in corresponding normal tissues [5]. The concentration of PAs in a normal cell is maintained within a certain range. When its level is reduced, cell proliferation and migration stop. On the other hand, an excess of PAs leads to programmed cell death—apoptosis [6,7].
Of note, the lack of PAs in cells leads to the activation of apoptosis; therefore, a promising anticancer target is the inhibition of PA synthesis [8,9]. Additionally, Chen’s work [10] describes the mechanisms of trapping natural PAs in cells because of their binding to peptide-pillar[5]arene conjugates, which show high antitumor activity against breast cancer.
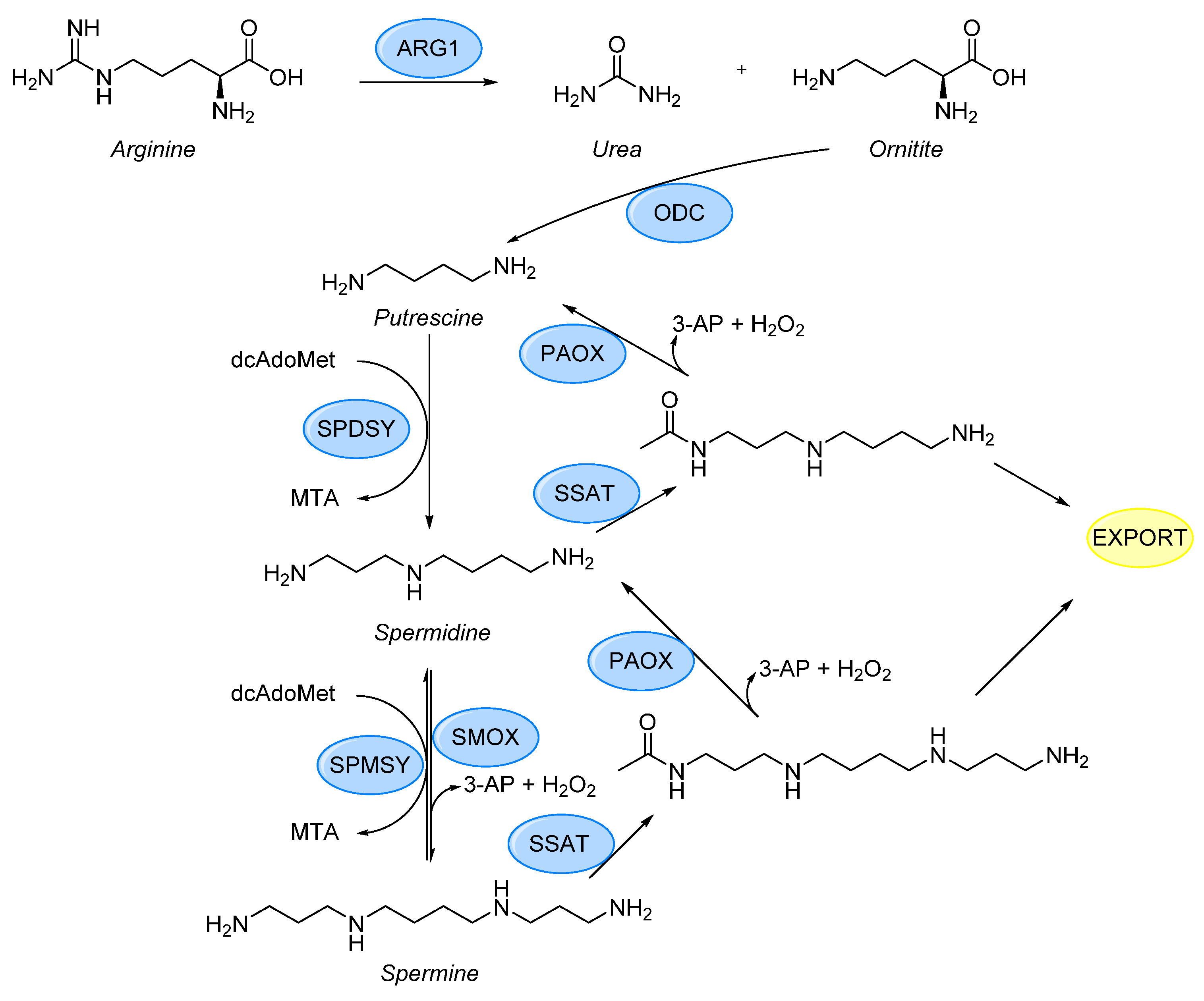
The complete metabolism of PAs involves seven enzymatic reactions (Figure 2). In mammalian cells, the first step is the conversion of arginine to ornithine by the enzyme arginase. Ornithine can also enter the cell from the circulating blood plasma, where it is decarboxylated by ornithine decarboxylase (ODC) to form putrescine. Putrescine is converted to spermidine by aminopropyl transferase and spermidine synthase. Spermidine is further converted to spermine. Methionine adenosyltransferase transforms methionine to S-adenosylmethionine (AdoMet), which is then decarboxylated by S-adenosylmethionine decarboxylase (AdoMetDC) to form the aminopropyl intermediate dcAdoMet. The side-product in this reaction—5′-methylthioadenosine—is converted back to adenosine.
Figure 2.
Polyamine metabolism.
The number of PAs in the cell is carefully controlled by a combination of three key enzymes: ODC, AdoMetDC, and N1-acetyltransferase (SSAT). PA biosynthesis is regulated by ODC and AdoMetDC, and the catabolism is regulated by N1-acetyltransferase (SSAT). The activity of biosynthetic enzymes is low in non-proliferating cells, but it increases in response to various growth stimuli [5]. Potential cancer chemoprevention strategies include the inhibition of PA synthesis or induction of PA catabolism. An increased PA concentration is associated with a high rate of cell proliferation, a decrease in apoptosis, and an increase in the expression of genes that affect tumor invasion and metastasis [11].
PAs can be trapped from exogenous sources. The polyamine transport system (PTS) is known to involve the absorption and withdrawal of PAs, which are necessary for their processing. The molecular structure of the mammalian PTS still remains, but the most preferred PA transport is linked to glypican-mediated endocytosis, pinocytosis, and caveolin-mediated endocytosis [12,13]. PTS is not highly specific and can transfer other molecules (Figure 3), such as paraquat, methylglyoxal bis(guanylhydrazon) (MGBG), mepacrine, and polyamine-based compounds. The amount of transported compound increases when the delivering molecule resembles the structure of spermidine or spermine. Additionally, the data in the literature indicate that the primary amino groups in the PA structure are not sufficient for their uptake [14]. PTS can be considered a target for cytotoxic polyamine-conjugated drugs [15].
Figure 3.
Synthetic polyamines that penetrate cells.
In this regard, PAs are potential influencers on cellular processes. Some of their synthetic analogs have already found applications in preclinical and clinical trials [16,17,18,19,20,21,22].
Several synthetic approaches to obtaining analogs and conjugates of PAs are known. The optimal synthetic strategy depends on the structure of the desired molecules. In this review, we describe and analyze various approaches that have been used in the synthesis of polyamines and their conjugates.
2. Methods for Polyamines Synthesis
2.1. Alkylation
The simplest way to obtain amine derivatives that include PAs is via their N-alkylation with haloalkanes, which usually leads to the formation of a mixture of secondary amines 2, tertiary amines 3, or quaternary ammonium salts 4 (Scheme 1) [23].
Scheme 1.
Alkylation of amines.
In the synthesis of anti-tuberculosis agents based on pentacycloundecane tetramines, an excess of starting cyclic diamines (piperazine or homopiperazine) was successfully used to obtain the desired molecule 8 (Scheme 2) [24,25]. Alkylation with crotyl bromide 5 gave compound 6, which was refluxed with the pre-synthesized tosylate 7 to form tetramine 8 with different chain lengths in high yields.
Scheme 2.
Synthesis of pentacycloundecane tetramines: (a) Diamine, CH2Cl2, −78 °C; (b) K2CO3, CH3CN.
The alkylation of amines was also used in the synthesis of PA–naphthalimide conjugates 12a,b (Scheme 3). Bromides 10a,b reacted with di-Boc-protected homospermidine 9, and the unstable intermediate formed with a free amino group required complicated purification. In this regard, the fully protected compounds 11a,b were prepared in 40% yield in two steps. After Boc removal under acidic conditions, compounds 12a,b were obtained as hydrochloride salts in 60% yield [26].
Scheme 3.
Synthesis of PA–naphthalimide conjugates. (a) K2CO3, CH3CN, then Boc2O, CH3CN; (b) HCl/EtOH.
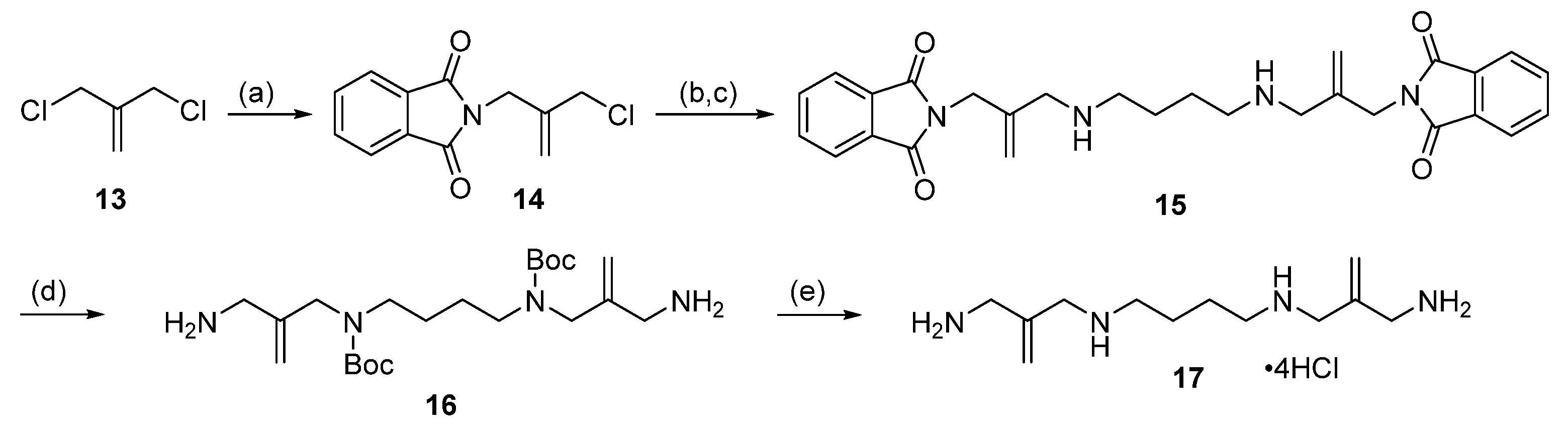
Another method used for grafting an amino group into a substrate molecule is the Gabriel reaction, where phthalimide is initially reacted with alkyl halides followed by the cleavage of the intermediate. In this case, the interaction of 3-chloro-2-chloromethyl-1-propene 13 and potassium phthalimide gave a mono alkylated adduct 14, which then reacted with oNs-protected putrescine (Scheme 4). After the Boc-protection of the secondary amino group 15, phthalimide was removed by hydrazine to form tetramine 17 [27].
Scheme 4.
Gabriel PA synthesis. (a) N-Potassium phthalimide, DMF; (b) oNs2Put, K2CO3, DMF; (c) PhSH, K2CO3, DMF; (d) Boc2O, dioxane, then N2H4⋅H2O, EtOH; and (e) HCl/MeOH.
2.2. Acylation
A conversion of amines to amides by N-acylation is one of the fundamental, reversible organic reactions that are catalyzed either by acids or bases [28]. In the synthesis of a PA-benzotriazole derivative 21a–f (Scheme 5), an amide linker was formed by the treatment of carboxylic acid 18 with amine 19a–f in the presence of BOP [29].
Scheme 5.
Synthesis of benzotriazole conjugates. (a) BOP, TEA, DCM, DMF; (b) HCl/dioxane.
Biocatalysts make obtaining enantiomerically pure compounds in high yields possible. The stereoselective synthesis of PA precursors from non-activated esters and α,ω-diamines catalyzed by Candida antarctica lipase (CAL) in organic solvent gave bis-(amidoesters) as the only product [30]. Further conversion of enzymatically obtained precursors into PAs was carried out according to the simple two-stage protocol: ammonolysis and subsequent reduction.
CAL catalyzes the enantioselective acylation of racemic diamines, leading to optically active bis-(amidoesters) with a moderate to excellent enantiomeric excess (ee). In the case of rac-1,2-diaminopropane and dimethylmalonate 22, the resulting ee of (R)-(+)-bis-(amidoester) 23 was more than 95% (Scheme 6). The subsequent reduction of amide groups yielded optically active PA 24 [30].
Scheme 6.
Synthesis of PA using lipase. (a) rac-1,2-diaminopropane, CAL, dioxane; (b) NH3·MeOH; and (c) BH3·THF.
2.3. Imine Formation
One method for the synthesis of PAs utilizes the Schiff bases, followed by their reduction [23].
The action of excess 2-butyne-1,4-diamine (25) on 3-azidopropanal leads to iminoazide 26, which can be reduced by sodium cyanoborohydride to form azido alkyne 27. The reduction of compound 26 with lithium aluminum hydride gives triaminoalkene 28, whereas its reduction by triphenylphosphine leads to tri-amino alkyne 29 (Scheme 7) [31].
Scheme 7.
Synthesis of PAs through Schiff bases: (a) 3-azidopropanal, MeOH; (b) NaBH3CN, MeOH; (c) LiAlH4, THF; and (d) Ph3P, THF.
The Golding method is also for the synthesis of secondary amines and uses a dibenzyltriazone protecting group (DBT) (Scheme 8). The azide 30 is first converted to the corresponding iminophosphorane, followed by treatment with the aldehyde. The resulting product is reduced to form a protected spermidine derivative 31. The removal of the DBT group is carried out in an aqueous solution of piperidine to give spermidine [23].
Scheme 8.
Synthesis of triamines by the Golding method. (a) PMe3, THF, DBT(CH2)3CHO; (b) NaBH4, EtOH; and (c) piperidine, MeOH.
2.4. Michael Reaction
The addition reaction of amines to a Michael acceptor such as acrylonitrile is a frequently used method for the synthesis of PAs. Thus, the Michael reaction with the participation of primary amine 32 and acrylonitrile led to mixtures of mono- (33) and bis-cyanoethylated (34) amines, which could be reduced to linear or branched PAs (Scheme 9) [23]. Then, the secondary nitrogen of the linear diamine 33 can be protected with methyl chloroformate to yield compound 35. The cyanide group is then reduced by hydrogen on Raney-Ni followed by cyclization to give compound 36.
Scheme 9.
Synthesis of cyanoethylated amines. (a) Acrylonitrile, MeOH, (b) methyl chloroformate, Et3N, C6H6; (c) H2, Raney-Ni, NH3, MeOH; and (d) MeONa/MeOH.
2.5. Mitsunobu Reaction
The Mitsunobu reaction is a useful way to synthesize Pas from alcohols, diethyl azodicarboxylate (DEAD), triphenylphosphine (Ph3P), and sulfonamides. The reaction, which occurs under mild conditions, is often used in the synthesis of natural and other complex compounds. In [32], the reaction between ©-3-(N-methyltrifluoromathenesulfonamido)butan-1-ol 37 and 1,7-bis-(trifluoromethanesulfonamido)heptane 38 in the presence of DEAD and triphenylphosphine resulted in compound 39, which was further subjected to protection/deprotection procedures to form optically active tetramine 40 (Scheme 10). N,N,N′,N′-tetramethylazodicarboxamide (TMAD) or 1,1′-(azodicarbonyl)dipiperidine (ADDP) can also be used as an activating agent in a Mitsunobu reaction.
Scheme 10.
Synthesis of PAs by Mitsunobu reaction: (a) DEAD, Ph3P, THF; (b) Na, NH3, THF, tBuOH; (c) Boc2O, H2O; and (d) HCl/MeOH.
2.6. Fukuyama Amine Synthesis
Fukuyama amine synthesis provides powerful access to secondary amines 49 under mild reaction conditions. Nitrobenzenesulfonamide 48 (nosyl (Ns) amide) is acidic enough to be alkylated under Mitsunobu conditions, which is possible using weak bases and alkyl halides.
This method was demonstrated in [33], where spermine was converted to a per-nosyl derivative 41 with subsequent modification of the terminal nitrogen atom by compound 42 to form an asymmetric derivative 43. Further cross-linking was performed using 1,4-ditosyloxybutane to form a symmetric product 44. The subsequent removal of nosyl protecting groups was carried out in the presence of PhSH to form the desired product 45. Refluxing 45 in TFA gave dimeric PA with 16 amino groups (Scheme 11).
Scheme 11.
Reagents and conditions: (a) NsCl, TEA, DCM; (b) CsCO3, DMF; (c) 1,4-ditosyloxybutane, CsCO3, DMF; (d) PhSH, K2CO3, MeCN; and (e) TFA, anisole.
2.7. Solid-Phase Synthesis
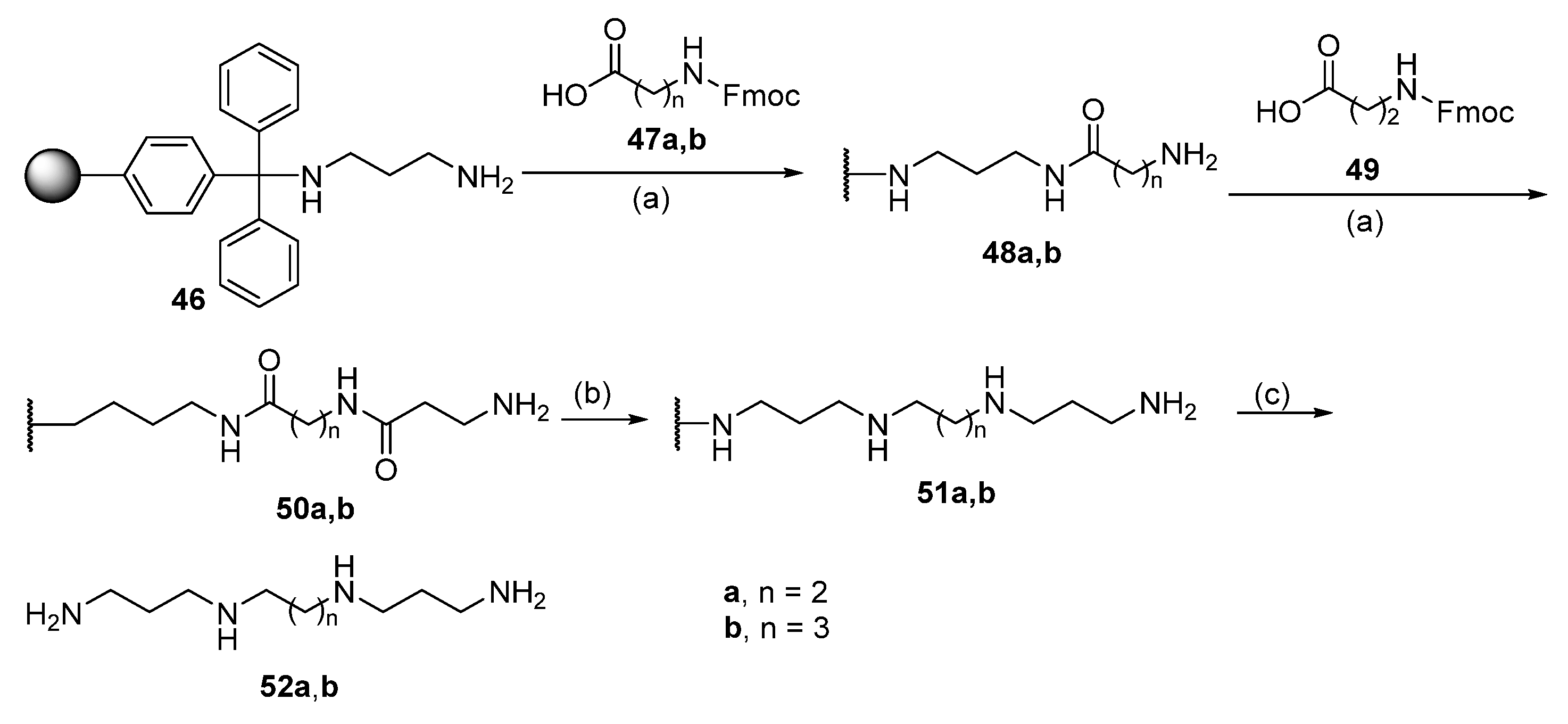
In contrast to synthesis in solution, solid-phase organic synthesis significantly simplifies the stages of isolation and purification of the target PAs. In a work that described the synthesis of PAs in the solid phase, propanediamine was first attached to resin to form N-trityl-propanediamine 46 (Scheme 12) [34]. Further chain extension was carried out using the activated ester method using the treatment of amine 46 with acids 47a,b and 49 in the presence of HBTU and HOBt. The reduction of amides 50a,b was achieved under mild conditions with borane to give tetramines 51a,b. Finally, resin removal in the presence of TFA and tris-(trimethylsilyl)silane (TTMSS) resulted in the desired PAs 52a,b.
Scheme 12.
Synthesis of PAs in the solid phase. (a) HBTU, HOBt, DIPEA, DMF, then piperidine, DMF; (b) BH3·THF; and (c) TFA, TTMSS, H2O.
The 2-chlorotrityl resin is the most recent resin modification used for solid-phase synthesis. The presence of the electron-withdrawing group improves its acidic stability and broadens its applications for acid-sensitive reactions. For a comparison, Table 1 shows the stability of trityl and 2-chlorotrityl esters of 4-hydroxypentanoic acid [35]. The application of 2-chlorotrityl resins was illustrated for the solid-phase synthesis of PAs [36,37,38].
Table 1.
Time required to remove 50% of the protective group.
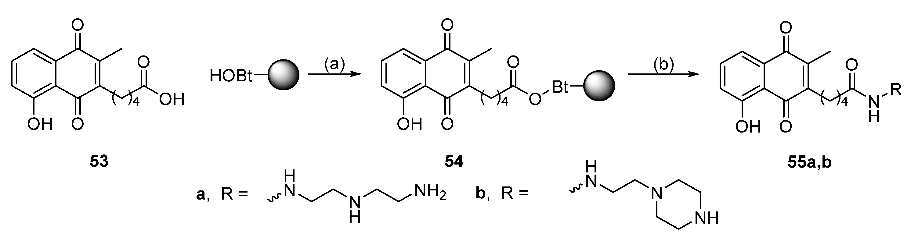
For the synthesis of PA–naphthoquinone conjugates 55a,b, HOBt-modified resin was used as an activating agent for N-nucleophiles (Scheme 13). The synthesis of amides 55a,b was carried out as a two-stage procedure: (i) the formation of a polymer-bound activated carboxylic acid ester 54 using PyBrop and naphthoquinone-carboxylic acid 53, and (ii) the interaction with primary amines and cleavage of the amides. The polymer reagent acts as a leaving group; hence, simple filtration allows the desired compound 55a,b to be easily isolated [39].
Scheme 13.
Synthesis of PA–naphthoquinone conjugates in the solid phase. (a) PyBrop, DIEA, DMF; (b) RNH2, TEA, DMF.
2.8. Regioselective Protection of Amino Groups
An optimal choice of protecting groups is necessary to create unsymmetric PA derivatives substituted at the terminal amino groups. Scheme 14 describes an elegant method for the synthesis of tri-Boc spermine 58 with a free terminal amino group that can be further modified (e.g., the creation of Schiff base, acylation, or alkylation) [40]. Spermine reacts with a stoichiometric amount of 2-hydroxybenzaldehyde to give the Schiff’s base 57. Boc protection, followed by the removal of the 2-hydroxybenzimide group by methoxyamine, gives tri-Boc-protected spermine 58 at 45% yield [41].
Scheme 14.
Reagents and conditions: (a) 2-Hydroxybenzaldehyde, 25% MeOH-DCM; (b) Boc2O, MeOH; and (c) CH3ONH2/Na2CO3.
Another method of creating a free terminal amino group utilizes 0.5 eq. ethyl trifluoroacetate, which allows compound 58 to be obtained in a good yield over three steps (Scheme 15) [42].
Scheme 15.
Reagents and conditions: (a) F3CCOOEt, MeOH, then Boc2O, and then aq. NH3 in MeOH.
Furthermore, another technique for the regioselective protection of PAs involves spermine treatment with two-fold excess of ethyl trifluoroacetate to protect the primary amino groups (Scheme 16) [43,44]. In this approach, secondary amino groups were protected by Boc2O to form compound 59. The subsequent hydrolysis of trifluoroacetates with NaOH led to the formation of compound 60 with free terminal nitrogen atoms.
Scheme 16.
Synthesis of regioselectively protected spermine. Reagents and conditions: (a) ethyl trifluoroacetate, EtOAc, then Boc2O, TEA, EtOAc; (b) NaOH, MeOH.
2.9. Cleavage of the Nitrogen-Containing Cycle
A method for obtaining PAs is the cleavage of a nitrogen-containing ring by the addition of an alkene or amine. Indium bromide [45], iron complexes [46], and scandium(III) triflate [47] can efficiently catalyze the aminolysis of aziridines 62 with aromatic amines 63 under mild conditions to form corresponding vicinal diamines 64 in high yields (Scheme 17).
Scheme 17.
Opening of the aziridine ring. (a) 1 mol-% FeCl2(mep), 0.1 eq AgSbF6, DCM; (b) 1 mol-% Sc(OTf)3, DCM; and (c) 0.1 eq InBr3, DCM.
2.10. Opening of the Oxygen-Containing Cycle
Oxiranes are characterized by high reactivity under the action of nucleophilic agents such as hydroxide and alkoxide ions, amines, Grignard reagents, and hydride ions. In the first step, the oxygen atom of the oxirane ring is protonated to form the oxonium ion. Then, the three-membered ring opening under the action of N-nucleophile occurs strictly stereospecifically by an SN2 mechanism, accompanied by the inversion of the configuration of the asymmetric centrum [48]. The opening of the oxirane ring of compound 66 with the N-nucleophiles 65a–c mainly occurs at the terminal carbon atom (Scheme 18) [49,50].
Scheme 18.
Synthesis of amino alcohols by opening the oxirane ring.
3. Reduction
The reduction of nitrogen-containing functional groups is a key method for the preparation of PAs. Most reduction reactions are carried out in the presence of reagents that transfer hydrogen from aluminum, boron, and silicon compounds. Some of these reagents provide a significant degree of chemo- and stereoselectivity (Table 2).
Table 2.
Reducing agents and their reactivities.
A major advantage of LiAlH4 over other reductants is its ability to reduce almost all carbonyl groups, with the exception of carbamates (the protecting groups Cbz and Boc can be resistant to the reduction of LiAlH4). The yields are usually high, and the chiral centers of the carbonyl carbon remain non-racemized.
Sodium borohydride (NaBH4) is the most common reagent used to reduce aldehydes, ketones, and acid chlorides to the corresponding alcohols [58]. A reduction with borohydride proceeds selectively under mild conditions. Sodium borohydride is not suitable for the reduction of nitriles to amines but can be used to produce borane in situ using BF3·OEt2 or iodine [59]. The structural modification of one to three hydrogen atoms with different substituents leads to variations in the strength of the reducing agent. Substitution with electron-withdrawing groups, such as cyano and acyloxy, reduces the power of the reagent. For example, sodium cyanoborohydride (NaBH3CN), a much milder reducing agent, can only react with aldehydes and ketones under acidic conditions [60].
Boranes are very effective reducing reagents for amides and are somewhat more chemically selective than aluminum hydrides. Esters, alkyl halides, carbamates, epoxides, and nitro groups are not borane-reduced, making them ideal for amide reduction [61]. In addition, the initial product is an amino-boron adduct, which must be cleaved during processing. This is often not a problem for tertiary or aromatic amines, but primary and secondary aliphatic amines may require strong conditions for hydrolysis of the adduct, such as refluxing in 2M HCl.
Reduction by silanes is a chemoselective process because esters, epoxides, nitriles, and other sensitive functional groups are not affected. However, the reduction of primary amides is a challenge since nitrile dehydration is often observed. In this case, PhSiH3, TMDS [62], and Me2PhSiH [63] are usually used as hydrogen donors.
Hantzsch ester (HEH) is a readily available analog of the biological reductant nicotinamide adenine dinucleotide. This non-metallic hydrogen donor is more commonly used for the reduction of imines and electrophilic alkenes. The reduction with HEH has a high degree of chemoselectivity similar to that of silanes, but steric hindrance is a negative factor for this reducing agent [57,64]. Ketones, epoxides, esters, nitriles, alkenes, and alkynes are not affected by this reagent.
4. Multicomponent Ugi Reaction
Multicomponent reactions attract considerable attention because of their ability to synthesize complex structures in a few steps. A four-component Ugi reaction is a common multicomponent system. The amine, carbonyl compound, isocyanide, and carboxylic acid react together to give bis-amides [65]. The “separation” of the primary amine into two secondary amines makes it possible to expand the skeleton of the product of the multicomponent reaction (N-split Ugi) (Scheme 19). One of the two nitrogen atoms of diamine reacts with the carbonyl compound to give an imine ion (in place of the protonated imine), which then reacts with the isocyanide and the carboxylic acid. As a result, the intermediate undergoes a transacylation, in which the acyl fragment moves to the second nitrogen atom of the diamine (a “remote” Mumm rearrangement) to give the α-acylaminoamide, whereas the first nitrogen atom has already become a tertiary amine, unable to obtain an acyl group [66].
Scheme 19.
Mechanism of the N-split Ugi reaction.
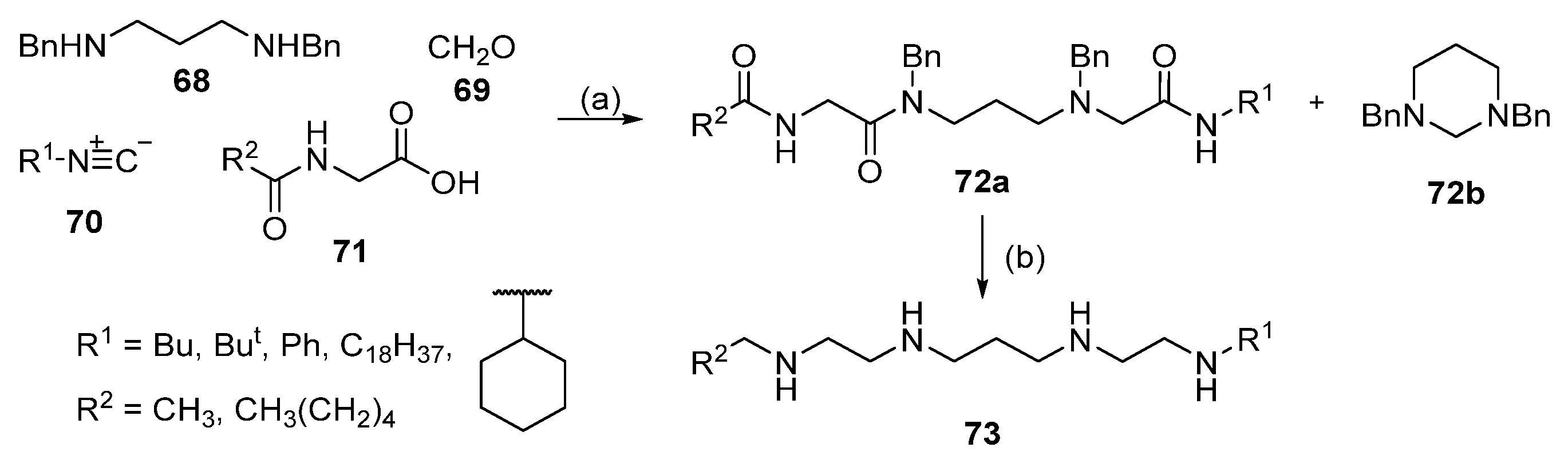
The synthesis of PA 73 based on the N-split Ugi reaction was developed in [55], involving the interaction of an N-acetylamino acid 71, N,N′-dibenzyl protected diamine 68, paraformaldehyde (69), and isocyanide 70 (Scheme 20). Together with α-acylaminoamide 72a, aminal 72b was formed, which hindered the formation of the target product and reduced the yield of the target compounds. The maximum yield was obtained for the amide with the three-methylene spacer group, owing to its conformational mobility. The reduction of amide groups was performed using BH3·THF. Benzyl groups were removed using Pd(OH)2/C. The highest yields were observed; then, cyclic diamines (piperazine and homopiperazine) were used.
Scheme 20.
Synthesis of PAs using the N-split Ugi reaction. Reagents and conditions: (a) MeOH; (b) BH3 THF, then H2, Pd(OH)2/C, MeOH.
For the preparation of new aminoamides, a new method that utilizes the competitive interaction of iminoanhydride with the Mumm rearrangement was developed [67]. In this case, 2-(hydroxymethyl)benzoic acid first reacted in a classical N-split Ugi reaction to give the intermediate, which underwent intramolecular cyclization because of the acidity of the aromatic hydroxyl group, resulting in the formation of phthalide and β-aminoamide (Scheme 21). The use of two equivalents of carbonyl compound, isocyanide and 2-(hydroxymethyl)benzoic acid, allowed symmetric bis-(β-aminoamide) to be obtained in one step.
Scheme 21.
The mechanism of N-split Ugi reaction with 2-(hydroxymethyl)benzoic acid.
5. Synthesis of Polyamines for Clinical Trials
In cancer cells, the concentration of PAs increases dramatically. This discovery led to the creation of synthetic analogs of PAs as new antiproliferative agents. The common databases have reported numerous synthetic procedures for the preparation of different PAs and their conjugates. Some of these are in clinical trials.
5.1. AMXT-1501
The lysine-spermine conjugate (AMXT-1501) was found to be a potent PA-transport blocker when combined with difluoromethylornithine (DFMO). DFMO multiplies the effect of AMXT-1501, and their combination significantly decreased both the intracellular concentration of PAs and tumor cell growth [68].
Spermine was coupled with an l- or d-stereoisomer of the orthogonally protected ester Boc-Lys(Cbz)-ONp (74) to give mono- and diacylated products (Scheme 22). After Boc2O treatment, compound 75 was isolated and subjected to catalytic hydrogenation to remove the Cbz protecting group. The terminal amino group was then functionalized with palmitic acid. Boc groups were removed under acidic conditions to yield AMXT-1501 [69].
Scheme 22.
The synthesis of AMXT-1501. (a) Spermine, CH3OH, then Boc2O, THF; (b) H2, Pd/C, EtOH, then C15H31COCl, TEA, DCM, then 3N HCl, MeOH.
5.2. SAM486A
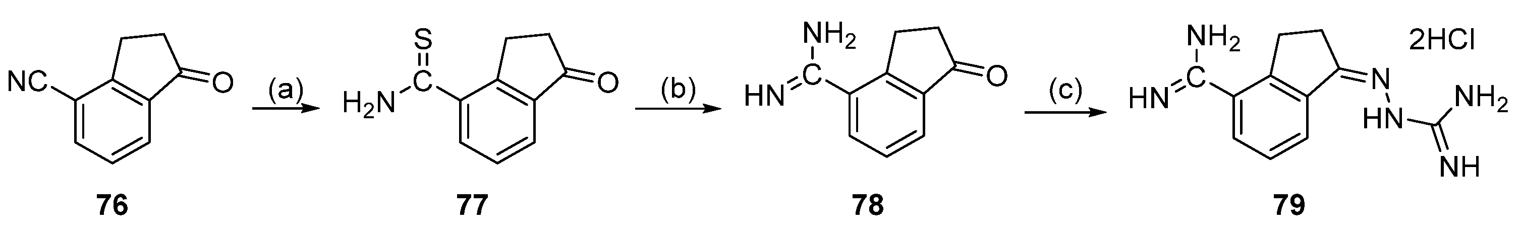
SAM486A is the most potent AdoMetDC inhibitor, which was synthesized starting from 4-aminoindanone 76 (Scheme 23). Compound 76 was converted to compound 78 via thioamide 77, which was S-alkylated with Meerwein’s reagent. The intermediate 78 was treated with aminoguanidine to form the crystalline non-hygroscopic dihydrochloride salt 79 [70].
Scheme 23.
The synthesis of SAM486A. (a) H2S, TEA; (b) Meerwein’s reagent, then NH4Cl, EtOH; and (c) aminoguanidine bicarbonate, HCl.
SAM486A inhibited non-small lung cancer cell growth (EC50 = 0.286 µM and 0.906 µM for A549 and H1299, respectively) [71]. The second phase of clinical trials showed the lack of beneficial therapeutic activity of SAM486A in patients with metastatic melanoma. The use of this agent led to increased fatigue, a nascence of myalgia, and a decrease in neutrophil concentration. Biopsy results confirmed that SAM486A inhibits AdoMetDC, promoting an increase in putrescine level and decreasing spermidine concentration [72].
6. Synthesis of Polyamines Conjugates and Their Biological Activity
6.1. Conjugates with Porphyrins (Chlorin e6)
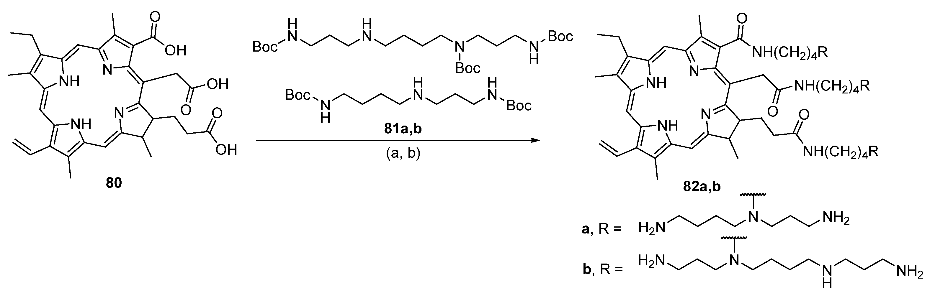
The synthesis of the PA–Chlorin e6 conjugates 82a,b required the selective protection of the nitrogen atom of spermidine and spermine [73,74]. The starting Chlorin e6 80 was treated with regioselectively Boc-protected PAs 81a,b. The conjugates obtained were subtracted to acidic hydrolysis of the Boc-protecting groups to form desired conjugates 82a,b (Scheme 24).
Scheme 24.
Synthesis of conjugates PA–Chlorin e6. (a) DCC, HOBt, DMF; (b) TFA, DCM.
The photocytotoxicity of compounds 82a,b against a human chronic myelogenous leukemia cell line (K562) was evaluated and compared with Photofrin II® and Chlorin e6. PA–Chlorin e6 conjugates caused significant cell death either immediately after irradiation or after 24 h in the dark. Spermine and spermidine conjugates showed the same activity, which decreased after 24 h of incubation. Chlorin e6 80 exhibited low photocytotoxicity, while Photofrin II® possessed weak activity.
6.2. Conjugates with Boron Cluster
Boron neutron capture therapy (10B-NCT) is a promising tool in the treatment of malignant tumors, primarily intractable brain tumors. This method is used to treat predominantly progressive or metastatic tumors in cases where the possibilities of adjuvant therapy have been exhausted. Boron clusters [BnHn]2− (n = 10, 12) are known to form an extensive class of closed inorganic systems characterized by thermal stability, resistance to oxidants, and the ability to replace exopolyhedral hydrogen atoms with various functional groups. Derivatives of this type react with neutral and negatively charged nucleophiles to form compounds with a functional group separated from the cluster by alkoxy spacer (side functional group). Derivatives of closo-borate anions with oxonium-type substituents can act as starting compounds for further modification, owing to opening reactions of cyclic substituents, which makes it possible to introduce biologically active groups into the boron cluster [75,76,77].
The treatment of compound 83 with hydrazine or PAs was shown to proceed as the oxonium ring opening followed by the addition of a side terminal amino group, yielding the PA conjugates 84a–f (Scheme 25).
Scheme 25.
Opening of 1,4-dioxane ring of the closo-decaborate anion using PAs. (a) RH, EtOH.
The corresponding ring-opening reaction of the monosubstituted closo-decaborate anion, intended for other PAs, opens up a new pathway for further modifications of boron clusters [78].
6.3. Conjugates with Flavonoids
A simple approach to the synthesis of anticancer PA–flavone–naphthalimide conjugates was described in [79]. The condensation of 85 with the PAs and the acidic hydrolysis of Boc groups with 4M HCl led to the desired compounds 86a–g in 65% yields over two stages (Scheme 26).
Scheme 26.
Synthesis of PA–flavonoid conjugates. (a) RNH2, EtOH; (b) 4M HCl.
Biological activity in vitro was performed to assess the inhibitory effect of the conjugates 86a–g on tumor cell lines SMMC-7721 and HepG2 and on normal hepatocyte QSG-7701 [79]. Compounds 86a–c with linear mono-, di-, and tri-amine residues exhibited better activity in the MTT test than those with branched (86d) or cyclic (86f,g) amines. The terminal amino group of PA–flavone–naphthalimide conjugates played an important role in their inhibitory properties. Additionally, the high antitumor activity of the homospermidine-based compound 86c was determined for the cell lines SMMC-7721 and HepG2, whereas the IC50 value for normal hepatocyte was greater than 50 μM.
The PA–flavonoid and PA–naphthalene–diimide conjugates were found to effectively inhibit tumor metastasis [80,81]. Compound 86c markedly attenuated the migration of HepG2 and SMMC-7721 cells in a dose-dependent manner. In vivo studies showed that its inhibitory effect was higher than that of the commercial drug amonafide.
6.4. Conjugates with Artesunate and Trioxolane
Conjugates of PAs with artesunate and trioxolane were found to exhibit varying levels of antiplasmodic activity [82]. Symmetric conjugates 89a–d were synthesized by the activated esters method in 65% yields, except for compound 89c (37%) (Scheme 27). Compounds 89a,b were screened against the P. falciparum K1 strain, which has chloroquine resistance. To determine the selectivity index, the cytotoxicity of the compounds was also evaluated in relation to the myoblasts and the rat skeleton L6 cells.
Scheme 27.
Conjugation of PAs with artesunate and trioxolane: (a) 88a,b, EDCI, HOBt, DIPEA, DCM.
Surprisingly, strong antimalarial activity in vitro for conjugates 89a and 89c (IC50 activity values ranged from 0.3 to 1.1 nM) was noted [82]. A study of the antimalarial activity of conjugates showed that an increase in cytotoxicity was paralleled with the chain length increase between internal nitrogen atoms. Conjugates of PAs with artesunate 89b,e had better antimalarial properties than the corresponding analogs with trioxolane 89a,c and the starting trioxolane acid 88a.
6.5. Conjugates with Acridine
For the synthesis of PA–acridine conjugates 92a–c and 96a–c, which exhibit antimalarial activity, a synthetic strategy was developed according to the Gabriel method. Amines 90a–c were treated (Scheme 28) with commercial 6,9-dichloro-2-methoxyacridine (91a) or 9-chloroacridine (92b); after the removal of the protective groups, the compounds were obtained in a total yield of 30–68% [83].
Scheme 28.
Synthesis of acridine derivatives. (a) diamine, DIEA, DMF, and then CF3COOH.
The new acridine derivatives exhibited different antimalarial activities that depended on acridine substituents, side-chain length, and the nature of the main chains. In the series of aliphatic diamine (95a–c and 96a–c) and piperazine (92a–c and 93a–c) derivatives, the antimalarial activity decreases with the increasing methylene group numbers. In the case of morpholine derivatives 94a–c, the length augmentation improved the activity and maintained its invariably.
6.6. Conjugates with Ferrocene
The inclusion of transition metals in a drug structure often enhances its activity. Neuse’s work [54] involved a group of nontoxic and stable organometallic derivatives of bis-(g5-cyclopentadienyl)iron (II))-ferrocenyl (Fc). The inclusion of the Fc group opens new perspectives for therapeutic applications and altered drug resistance. Schiff bases were shown to have usability and efficiency in the synthesis and modification of PAs with Fc substituents (Scheme 29). Aldehydes were added to the starting ferrocenyl diamine 97, followed by the reduction with NaBH4 to obtain PA–Fc conjugates 98a–h [53].
Scheme 29.
Synthesis of PA–ferrocene conjugates. (a) RCHO, MeOH, and then NaBH4.
The compounds were tested against T. brucei and T. cruzi strains using the MTT assay to evaluate trypanocidal activity. Only two compounds 98d and 98h showed low activity against the T. brucei strain. For the T. cruzi strain, better activity was found for compound 98f with o-methoxyphenyl residue.
6.7. Lipophilic Polyamines
Regioselectively protected PAs have also been used in the synthesis of lipophilic derivatives as non-viral liposomal gene delivery systems. The polycationic nature of lipophilic PAs significantly enhances the condensation and protection of nucleic acids (NAs) in the liposome/NA complexes, enabling the delivery of NA into various cells to change or correct their functions [84].
Nucleolipids have attracted attention in medicinal chemistry as molecular devices and various therapeutic agents [85,86]. They can bind NAs through hydrogen bonding, π–π stacking, and electrostatic interactions. They were found to be less toxic than the commercial agent Lipofectamine 2000. Therefore, to improve siRNA (small interfering RNA) folding and delivery into cells, PAs-based nucleolipids 104a–c were synthesized (Scheme 30).
Scheme 30.
(a) DMTr-Cl, Py; (b) C18H35NH2, CDI, DMAP, DMF; (c) 4% CCl3COOH/DCM; and (d) PAs, CDI, DMAP, DMF, then (Boc)2O, MeOH, then 4M HCl·dioxane.
In the first step, the 5′-OH group of uridine 99 was protected by the DMTr group. Hydrophobic oleyl residues were introduced to the product to give a lipophilic uridine derivative 101 in 60% yield. After the removal of the protecting DMTr group under acidic conditions, compounds 102 were coupled with various PAs in the presence of CDI and DMAP to form a uridine derivative. Amino groups were protected in situ with Boc2O, and compounds 103a–c were easily isolated on silica gel in 42–70% yields. Final deprotection led to the formation of lipophilic PAs 104a–c in the form of hydrochlorides in quantitative yield [87].
The siRNA concentration, liposome-to-siRNA ratio, and the PA structure were the main factors that influenced transfection efficiency. Complete siRNA binding was afforded at the minimal liposome/siRNA ratio of three. The liposome sizes varied from 20 to 200 nm, and their surfaces were positively charged. In addition, liposomes did not affect cell viability, and they successfully delivered siRNA into cells in vitro, causing the suppression of the target mRNA at an N/P ratio of 12.
A typical structure of gemini-amphiphiles applied in gene delivery systems consists of PAs (spermine or triethylenetetramine) linked with two cholesterol residues via spacer groups of various types. The synthetic strategy (Scheme 31) implied condensation under the Fukuyama conditions of regioselectively protected PAs 105a,b with bromo derivatives of cholesterol 106a–c and the subsequent deprotection, which yielded PA-cholesterol gemini-amphiphiles 107a–c [88,89].
Scheme 31.
Reagents and conditions: (a) Cs2CO3, DMF; (b) PhSH, K2CO3, DMF; and (c) 3M HCl/dioxane, DCM.
A more complex approach (Scheme 32) was used for the preparation of disulfide PA-cholesterol amphiphiles [90,91,92]. Here, dicarboxy derivatives 108a,b were obtained from regioselectively protected spermine 105b by coupling with bromobutanoic acid, followed by deprotection and the hydrolysis of the resulting ester. Then, the dicarboxy derivatives 108a,b were condensed with the amino derivatives of cholesterol 109a,b in the presence of EEDQ. The Boc deprotection resulted in lipophilic polyamines 110a,b.
Scheme 32.
Reagents and conditions of the synthesis: (a) Br(CH2)4COOEt, Cs2CO3, DMF; (b) PhSH, K2CO3, DMF; (c) Boc2O, Et3N, DCM; (d) NaOH, MeOH; (e) EEDQ, DIEA, DCM; and (f) 3M HCl/dioxane, DCM.
The cationic liposomes formed from PA-cholesterol amphiphiles 107a–c or 110a,b, and the zwitterionic lipid DOPE delivered DNA or siRNA into HEK293 and BHK IR-780 cells. Thus, compound 107c with a hydrophilic ethoxyethoxyethyl spacer was the best transfectant for DNA, whereas siRNA transfer into the cells was efficiently mediated by liposomes consisting of lipophilic polyamines 107b with a hydrophobic octamethylene spacer or disulfide compound 110a.
Asymmetric lipophilic PAs were found to be promising antitumor agents. A number of amphiphiles based on triethyltetramine 111a,b, norspermine 112a,b, and spermine 113a–f were synthesized using the Fukuyama reaction [93]. Compounds 111–113 had various long-chain alkyl substituents at the C(1) glycerol atom and PA residues, which could be alkylated at the terminal amino group (Figure 4).
Figure 4.
Antineoplastic lipophilic PAs.
Lipophilic PAs were tested for antitumor activity against tumor cell lines of adenocarcinoma of human chronic myelogenous leukemia (K562), colon (HCT116), and mammary glands (MCF7) using an MTT assay. All compounds affected tumor cell death at micromolar concentrations, and they were four to five times more potent than the reference anticancer agents: Edelfosine [94,95], DENSpm [21], and cationic lipid (rac-N-methyl-N′-{4-[(2-ethoxy-3-octadecyloxy)prop-1-yloxycarbonyl]butyl}imidazolium iodide) [96]. The highest cytotoxicity was observed for triethyltetramine-based lipophilic PAs 111a,b or norspermine-based lipophilic PAs 112a,b. For all of the cell lines tested, the cytotoxicity of the spermine-based compounds 113a–e was hardly influenced by the length of the O-alkyl chain at the C(1) position of glycerol backbone.
6.8. Conjugates with Hydroxycinnamic Acids
The synthesis of antifungal PA–hydroxycinnamic conjugates was fully described by Kyselka [97]. The initial derivatives of hydroxycinnamic acid 114a,b were treated with Boc-putrescine 115, followed by the removal of protective groups and the formation of conjugates 116a,b (Scheme 33). For the synthesis of di- and tri-substituted coumaroyl spermidines, acetoxycinnamoyl chloride (117) was conjugated with unprotected spermidine to form the desired products 118a,b.
Scheme 33.
Synthesis of antifungal PA–hydroxycinnamic conjugates. Reagents and conditions: (a) DCC, DCM; (b) TFA, DCM; (c) HCl/MeOH; (d) TEA, THF; and (e) NH3/MeOH.
PA–hydroxycinnamic conjugates had various effects on the development and survival of fungi. Compound 116a had the greatest effect, inhibiting the growth of various mycooxygenic fungi at 2.5–10 mM, whereas compound 116b was less active. The presence of the methoxy group reduced the antifungal activity of conjugates, owing to a slight increase in the compounds’ polarity, which decreased their interactions with the outer membrane of the fungi.
7. Conclusions
PAs are directly involved in the development of a wide range of pathogenic pathways. Synthetic analogs of PAs and their conjugates have been shown to be promising candidates for the treatment of many diseases, including myelogenous leukemia; hepatocarcinoma; and colon, breast, and lung cancer. The synthesis of PAs is a complicated task because of their high polarity, the presence of several amino groups, and multistep procedures necessary for their preparation. Currently, most efforts are focused on the development of inexpensive, mild, effective, and scalable synthetic approaches. The use of the multicomponent Ugi reaction and its modifications allows researchers to obtain the PAs of different structures over two steps in high yields from simple starting precursors.
The investigations of biological activities of PA conjugates mentioned in this review show their broad therapeutic applications and clinical potential. They are promising solutions for the development of NA delivery systems, antitumor agents for photodynamic and boron neutron capture therapies, and antimalarial and antitrypanocidal compounds.
Author Contributions
Conceptualization, A.N.; writing—original draft preparation, A.N.; writing—review and editing, G.C.T. and M.M.; supervision, M.M. All authors have read and agreed to the published version of the manuscript.
Funding
The reported study was funded by the Russian Foundation for Basic Research (RFBR) (project no. 19-33-90301 and by the Ministry of Science and Higher Education of the Russian Federation (project no. 0706-2020-0019).
Institutional Review Board Statement
Not applicable.
Informed Consent Statement
Not applicable.
Data Availability Statement
Not applicable.
Conflicts of Interest
The authors declare no conflict of interest.
References
- Pegg, A.E.; Casero, R.A. Current Status of the Polyamine Research Field. In Polyamines; Pegg, A.E., Casero, R.A., Eds.; Humana Press: New York, NY, USA, 2011; pp. 3–35. ISBN 978-1-61779-033-1. [Google Scholar]
- Minois, N. Molecular Basis of the ‘Anti-Aging’ Effect of Spermidine and Other Natural Polyamines—A Mini-Review. Gerontology 2014, 60, 319–326. [Google Scholar] [CrossRef] [PubMed]
- Moinard, C.; Cynober, L.; de Bandt, J.P. Polyamines: Metabolism and Implications in Human Diseases. Clin. Nutr. 2005, 24, 184–197. [Google Scholar] [CrossRef]
- Igarashi, K.; Kashiwagi, K. Modulation of Cellular Function by Polyamines. Int. J. Biochem. Cell Biol. 2010, 42, 39–51. [Google Scholar] [CrossRef]
- Murray-Stewart, T.R.; Woster, P.M.; Casero, R.A. Targeting Polyamine Metabolism for Cancer Therapy and Prevention. Biochem. J. 2016, 473, 2937–2953. [Google Scholar] [CrossRef] [PubMed] [Green Version]
- Terui, Y.; Yoshida, T.; Sakamoto, A.; Saito, D.; Oshima, T.; Kawazoe, M.; Yokoyama, S.; Igarashi, K.; Kashiwagi, K. Polyamines Protect Nucleic Acids against Depurination. Int. J. Biochem. Cell Biol. 2018, 99, 147–153. [Google Scholar] [CrossRef]
- Kurata, H.T.; Akrouh, A.; Li, J.W.; Marton, L.J.; Nichols, C.G. Scanning the Topography of Polyamine Blocker Binding in an Inwardly Rectifying Potassium Channel. J. Biol. Chem. 2013, 288, 6591–6601. [Google Scholar] [CrossRef] [PubMed] [Green Version]
- Seiler, N.; Raul, F. Polyamines and Apoptosis. J. Cell. Mol. Med. 2005, 9, 623–642. [Google Scholar] [CrossRef]
- Casero, R.A.; Marton, L.J. Targeting Polyamine Metabolism and Function in Cancer and Other Hyperproliferative Diseases. Nat. Rev. Drug Discov. 2007, 6, 373–390. [Google Scholar] [CrossRef]
- Chen, J.; Ni, H.; Meng, Z.; Wang, J.; Huang, X.; Dong, Y.; Sun, C.; Zhang, Y.; Cui, L.; Li, J.; et al. Supramolecular Trap for Catching Polyamines in Cells as an Anti-Tumor Strategy. Nat. Commun. 2019, 10, 3546. [Google Scholar] [CrossRef]
- de Silva, T.R.M. Polyamine-Based Anticancer Strategies: The Role of Modified Polyamines. PhD Thesis, University of Coimbra, Coimbra, Portugal, 2013. [Google Scholar]
- Abdulhussein, A.A.; Wallace, H.M. Polyamines and Membrane Transporters. Amino Acids 2014, 46, 655–660. [Google Scholar] [CrossRef]
- Novita Sari, I.; Setiawan, T.; Seock Kim, K.; Toni Wijaya, Y.; Won Cho, K.; Young Kwon, H. Metabolism and Function of Polyamines in Cancer Progression. Cancer Lett. 2021, 519, 91–104. [Google Scholar] [CrossRef] [PubMed]
- Persson, L. Polyamine Homoeostasis. Essays Biochem. 2009, 46, 11–24. [Google Scholar] [CrossRef]
- Damiani, E.; Wallace, H.M. Polyamines; Methods in Molecular Biology; Alcázar, R., Tiburcio, A.F., Eds.; Springer: New York, NY, USA, 2018; Volume 1694, ISBN 978-1-4939-7397-2. [Google Scholar]
- Goyal, L.; Supko, J.G.; Berlin, J.; Blaszkowsky, L.S.; Carpenter, A.; Heuman, D.M.; Hilderbrand, S.L.; Stuart, K.E.; Cotler, S.; Senzer, N.N.; et al. Phase 1 Study of N 1,N 11-Diethylnorspermine (DENSPM) in Patients with Advanced Hepatocellular Carcinoma. Cancer Chemother. Pharmacol. 2013, 72, 1305–1314. [Google Scholar] [CrossRef]
- Xie, Y.; Murray-Stewart, T.; Wang, Y.; Yu, F.; Li, J.; Marton, L.J.; Casero, R.A.; Oupický, D. Self-Immolative Nanoparticles for Simultaneous Delivery of MicroRNA and Targeting of Polyamine Metabolism in Combination Cancer Therapy. J. Control. Release 2017, 246, 110–119. [Google Scholar] [CrossRef] [PubMed] [Green Version]
- Hacker, A.; Marton, L.J.; Sobolewski, M.; Casero, R.A. In Vitro and in Vivo Effects of the Conformationally Restricted Polyamine Analogue CGC-11047 on Small Cell and Non-Small Cell Lung Cancer Cells. Cancer Chemother. Pharmacol. 2008, 63, 45–53. [Google Scholar] [CrossRef] [Green Version]
- Smith, M.A.; Maris, J.M.; Lock, R.; Kolb, E.A.; Gorlick, R.; Keir, S.T.; Carol, H.; Morton, C.L.; Reynolds, C.P.; Kang, M.H.; et al. Initial Testing (Stage 1) of the Polyamine Analog PG11047 by the Pediatric Preclinical Testing Program. Pediatr. Blood Cancer 2011, 57, 268–274. [Google Scholar] [CrossRef] [Green Version]
- Murray-Stewart, T.; Ferrari, E.; Xie, Y.; Yu, F.; Marton, L.J.; Oupicky, D.; Casero, R.A. Biochemical Evaluation of the Anticancer Potential of the Polyamine-Based Nanocarrier Nano 11047. PLoS ONE 2017, 12, e0175917. [Google Scholar] [CrossRef] [Green Version]
- Casero, R.A.; Murray Stewart, T.; Pegg, A.E. Polyamine Metabolism and Cancer: Treatments, Challenges and Opportunities. Nat. Rev. Cancer 2018, 18, 681–695. [Google Scholar] [CrossRef] [PubMed]
- Burns, M.R.; Graminski, G.F.; Weeks, R.S.; Chen, Y.; O’Brien, T.G. Lipophilic Lysine−Spermine Conjugates Are Potent Polyamine Transport Inhibitors for Use in Combination with a Polyamine Biosynthesis Inhibitor. J. Med. Chem. 2009, 52, 1983–1993. [Google Scholar] [CrossRef] [PubMed] [Green Version]
- Kuksa, V.; Buchan, R.; Kong Thoo Lin, P. Synthesis of Polyamines, Their Derivatives, Analogues and Conjugates. Synthesis 2000, 2000, 1189–1207. [Google Scholar] [CrossRef]
- Onajole, O.K.; Govender, K.; Govender, P.; van Helden, P.D.; Kruger, H.G.; Maguire, G.E.M.; Muthusamy, K.; Pillay, M.; Wiid, I.; Govender, T. Pentacyclo-Undecane Derived Cyclic Tetra-Amines: Synthesis and Evaluation as Potent Anti-Tuberculosis Agents. Eur. J. Med. Chem. 2009, 44, 4297–4305. [Google Scholar] [CrossRef] [PubMed]
- Onajole, O.K.; Govender, P.; van Helden, P.D.; Kruger, H.G.; Maguire, G.E.M.; Wiid, I.; Govender, T. Synthesis and Evaluation of SQ109 Analogues as Potential Anti-Tuberculosis Candidates. Eur. J. Med. Chem. 2010, 45, 2075–2079. [Google Scholar] [CrossRef]
- Tian, Z.Y.; Ma, H.X.; Xie, S.Q.; Wang, X.; Zhao, J.; Wang, C.J.; Gao, W.Y. Synthesis, DNA Binding and Topoisomerase Inhibition of Mononaphthalimide Homospermidine Derivatives. Chin. Chem. Lett. 2008, 19, 509–512. [Google Scholar] [CrossRef]
- Grigorenko, N.A.; Khomutov, M.A.; Simonian, A.R.; Kochetkov, S.N.; Khomutov, A.R. Synthesis of 2,11-Bis(Methylidene)Spermine, a New Inhibitor of Spermine Oxidase. Russ. J. Bioorg. Chem. 2016, 42, 423–427. [Google Scholar] [CrossRef]
- Carey, F.A.; Sundberg, R.J.R.J. Advanced Organic Chemistry, 5th ed.; Advanced Organic Chemistry; Springer: Boston, MA, USA, 2007; ISBN 978-0-387-44897-8. [Google Scholar]
- Jagu, E.; Pomel, S.; Diez-Martinez, A.; Ramiandrasoa, F.; Krauth-Siegel, R.L.; Pethe, S.; Blonski, C.; Labruère, R.; Loiseau, P.M. Synthesis and in Vitro Antikinetoplastid Activity of Polyamine–Hydroxybenzotriazole Conjugates. Bioorg. Med. Chem. 2017, 25, 84–90. [Google Scholar] [CrossRef] [PubMed]
- Rubio, M.; Astorga, C.; Alfonso, I.; Rebolledo, F.; Gotor*, V. Chemoenzymatic Syntheses of Polyamines and Tetraazamacrocycles. Synth. Commun. 2002, 32, 2441–2452. [Google Scholar] [CrossRef]
- Nagarajan, S.; Ganem, B. Chemistry of Naturally Occurring Polyamines. 11. Unsaturated Spermidine and Spermine Derivatives. J. Org. Chem. 1987, 52, 5044–5046. [Google Scholar] [CrossRef]
- Edwards, M.L.; Stemerick, D.M.; McCarthy, J.R. Stereospecific Synthesis of Secondary Amines by the Mitsunobu Reaction. Tetrahedron Lett. 1990, 31, 3417–3420. [Google Scholar] [CrossRef]
- Drake, C.R.; Aissaoui, A.; Argyros, O.; Thanou, M.; Steinke, J.H.G.; Miller, A.D. Examination of the Effect of Increasing the Number of Intra-Disulfide Amino Functional Groups on the Performance of Small Molecule Cyclic Polyamine Disulfide Vectors. J. Control. Release 2013, 171, 81–90. [Google Scholar] [CrossRef]
- Lizzi, F.; Veronesi, G.; Belluti, F.; Bergamini, C.; López-Sánchez, A.; Kaiser, M.; Brun, R.; Krauth-Siegel, R.L.; Hall, D.G.; Rivas, L.; et al. Conjugation of Quinones with Natural Polyamines: Toward an Expanded Antitrypanosomatid Profile. J. Med. Chem. 2012, 55, 10490–10500. [Google Scholar] [CrossRef]
- Wuts, P.G.M. Greene’s Protective Groups in Organic Synthesis; Wuts, P.G.M., Ed.; John Wiley & Sons, Inc.: Hoboken, NJ, USA, 2014; Volume 9781118057, ISBN 9781118905074. [Google Scholar]
- Oliver, M.; Jorgensen, M.R.; Miller, A. The Facile Solid-Phase Synthesis of Cholesterol-Based Polyamine Lipids. Tetrahedron Lett. 2004, 45, 3105–3107. [Google Scholar] [CrossRef]
- Malamas, A.S.; Gujrati, M.; Kummitha, C.M.; Xu, R.; Lu, Z.-R. Design and Evaluation of New PH-Sensitive Amphiphilic Cationic Lipids for SiRNA Delivery. J. Control. Release 2013, 171, 296–307. [Google Scholar] [CrossRef] [PubMed] [Green Version]
- Xu, R.; Lu, Z.-R. Design, Synthesis and Evaluation of Spermine-Based PH-Sensitive Amphiphilic Gene Delivery Systems: Multifunctional Non-Viral Gene Carriers. Sci. China Chem. 2011, 54, 359–368. [Google Scholar] [CrossRef]
- Salmon-Chemin, L.; Lemaire, A.; De Freitas, S.; Deprez, B.; Sergheraert, C.; Davioud-Charvet, E. Parallel Synthesis of a Library of 1,4-Naphthoquinones and Automated Screening of Potential Inhibitors of Trypanothione Reductase from Trypanosoma Cruzi. Bioorg. Med. Chem. Lett. 2000, 10, 631–635. [Google Scholar] [CrossRef]
- Muth, A.; Madan, M.; Archer, J.J.; Ocampo, N.; Rodriguez, L.; Phanstiel, O. Polyamine Transport Inhibitors: Design, Synthesis, and Combination Therapies with Difluoromethylornithine. J. Med. Chem. 2014, 57, 348–363. [Google Scholar] [CrossRef]
- Mensah, E.A.; Nguyen, H.M. Nickel-Catalyzed Stereoselective Formation of α-2-Deoxy-2-Amino Glycosides. J. Am. Chem. Soc. 2009, 131, 8778–8780. [Google Scholar] [CrossRef]
- Miller, K.A.; Suresh Kumar, E.V.K.; Wood, S.J.; Cromer, J.R.; Datta, A.; David, S.A. Lipopolysaccharide Sequestrants: Structural Correlates of Activity and Toxicity in Novel Acylhomospermines. J. Med. Chem. 2005, 48, 2589–2599. [Google Scholar] [CrossRef] [Green Version]
- Petukhov, I.A.; Maslov, M.A.; Morozova, N.G.; Serebrennikova, G.A. Synthesis of Polycationic Lipids Based on Cholesterol and Spermine. Russ. Chem. Bull. 2010, 59, 260–268. [Google Scholar] [CrossRef]
- Ilies, M.A.; Seitz, W.A.; Johnson, B.H.; Ezell, E.L.; Miller, A.L.; Thompson, E.B.; Balaban, A.T. Lipophilic Pyrylium Salts in the Synthesis of Efficient Pyridinium-Based Cationic Lipids, Gemini Surfactants, and Lipophilic Oligomers for Gene Delivery. J. Med. Chem. 2006, 49, 3872–3887. [Google Scholar] [CrossRef]
- Yadav, J.S.; Reddy, B.V.S.; Rao, K.V.; Raj, K.S.; Prasad, A.R. Indium Tribromide Catalyzed Aminolysis of Aziridines: An Efficient Synthesis of Vicinal-Diamines. Synthesis 2002, 2002, 1061–1064. [Google Scholar] [CrossRef]
- Marti, A.; Richter, L.; Schneider, C. Iron-Catalyzed Ring-Opening of Meso-Aziridines with Amines. Synlett 2011, 2011, 2513–2516. [Google Scholar] [CrossRef]
- Peruncheralathan, S.; Henze, M.; Schneider, C. Scandium Triflate Catalyzed Aminolysis of Meso -Aziridines. Synlett 2007, 2007, 2289–2291. [Google Scholar] [CrossRef]
- Smith, M.B. March’s Advanced Organic Chemistry: Reactions, Mechanisms, and Structure, 8th ed.; John Wiley & Sons: Hoboken, NJ, USA, 2020; ISBN 978-1-119-37179-3. [Google Scholar]
- Reis Corrales, R.N.; Pinheiro, L.S.; Coimbra, E.S.; Da Silva, A.D.; Le Hyaric, M. Synthesis and Antileishmanial Activity of Lipophilic Aromatic Aminoalcohols. Sci. World J. 2010, 10, 1067–1072. [Google Scholar] [CrossRef]
- Li, D.; Wang, J.; Yu, S.; Ye, S.; Zou, W.; Zhang, H.; Chen, J. Highly Regioselective Ring-Opening of Epoxides with Amines: A Metal- and Solvent-Free Protocol for the Synthesis of β-Amino Alcohols. Chem. Commun. 2020, 56, 2256–2259. [Google Scholar] [CrossRef] [PubMed]
- Manickam, M.; Boggu, P.R.; Pillaiyar, T.; Nam, Y.J.; Abdullah, M.; Lee, S.J.; Kang, J.S.; Jung, S.H. Design, Synthesis and Anticancer Activity of 2-Amidomethoxy-1,4-Naphthoquinones and Its Conjugates with Biotin/Polyamine. Bioorg. Med. Chem. Lett. 2021, 31, 127685. [Google Scholar] [CrossRef] [PubMed]
- Volkov, A.; Tinnis, F.; Slagbrand, T.; Trillo, P.; Adolfsson, H. Chemoselective Reduction of Carboxamides. Chem. Soc. Rev. 2016, 45, 6685–6697. [Google Scholar] [CrossRef]
- Velásquez, A.M.A.; Francisco, A.I.; Kohatsu, A.A.N.; Silva, F.A.D.J.; Rodrigues, D.F.; Teixeira, R.G.D.S.; Chiari, B.G.; de Almeida, M.G.J.; Isaac, V.L.B.; Vargas, M.D.; et al. Synthesis and Tripanocidal Activity of Ferrocenyl and Benzyl Diamines against Trypanosoma Brucei and Trypanosoma Cruzi. Bioorg. Med. Chem. Lett. 2014, 24, 1707–1710. [Google Scholar] [CrossRef]
- Neuse, E.W. Macromolecular Ferrocene Compounds as Cancer Drug Models. J. Inorg. Organomet. Polym. Mater. 2005, 15, 3–31. [Google Scholar] [CrossRef]
- Pirali, T.; Callipari, G.; Ercolano, E.; Genazzani, A.A.; Giovenzana, G.B.; Tron, G.C. A Concise Entry into Nonsymmetrical Alkyl Polyamines. Org. Lett. 2008, 10, 4199–4202. [Google Scholar] [CrossRef]
- Simmons, B.J.; Hoffmann, M.; Hwang, J.; Jackl, M.K.; Garg, N.K. Nickel-Catalyzed Reduction of Secondary and Tertiary Amides. Org. Lett. 2017, 19, 1910–1913. [Google Scholar] [CrossRef] [PubMed] [Green Version]
- Barbe, G.; Charette, A.B. Highly Chemoselective Metal-Free Reduction of Tertiary Amides. J. Am. Chem. Soc. 2008, 130, 18–19. [Google Scholar] [CrossRef] [PubMed]
- Chaikin, S.W.; Brown, W.G. Reduction of Aldehydes, Ketones and Acid Chlorides by Sodium Borohydride. J. Am. Chem. Soc. 2002, 71, 122–125. [Google Scholar] [CrossRef]
- Erb, W.; Kadari, L.; Al-Mekhlafi, K.; Roisnel, T.; Dorcet, V.; Radha Krishna, P.; Mongin, F. Functionalization of 3-Iodo-N,N-Diisopropylferrocene-Carboxamide, a Pivotal Substrate to Open the Chemical Space to 1,3-Disubstituted Ferrocenes. Adv. Synth. Catal. 2020, 362, 832–850. [Google Scholar] [CrossRef] [Green Version]
- Lew, W.; Escarpe, P.A.; Mendel, D.B.; Sweeny, D.J.; Kim, C.U. Stereospecific Synthesis of a GS 4104 Metabolite: Determination of Absolute Sterochemistry and Influenza Neuraminidase Inhibitory Activity. Bioorg. Med. Chem. Lett. 1999, 9, 2811–2814. [Google Scholar] [CrossRef]
- Itsuno, S. Boron Hydride Reduction. ACS Symp. Ser. 2016, 1236, 241–274. [Google Scholar] [CrossRef]
- Hanada, S.; Tsutsumi, E.; Motoyama, Y.; Nagashima, H. Practical Access to Amines by Platinum-Catalyzed Reduction of Carboxamides with Hydrosilanes: Synergy of Dual Si−H Groups Leads to High Efficiency and Selectivity. J. Am. Chem. Soc. 2009, 131, 15032–15040. [Google Scholar] [CrossRef] [PubMed]
- Gutsulyak, D.V.; Nikonov, G.I. Chemoselective Catalytic Hydrosilylation of Nitriles. Angew. Chem. 2010, 122, 7715–7718. [Google Scholar] [CrossRef]
- Pelletier, G.; Bechara, W.S.; Charette, A.B. Controlled and Chemoselective Reduction of Secondary Amides. J. Am. Chem. Soc. 2010, 132, 12817–12819. [Google Scholar] [CrossRef]
- Ugi, I. The α-Addition of Immonium Ions and Anions to Isonitriles Accompanied by Secondary Reactions. Angew. Chem. Int. Ed. Engl. 1962, 1, 8–21. [Google Scholar] [CrossRef]
- Giovenzana, G.B.; Tron, G.C.; Di Paola, S.; Menegotto, I.G.; Pirali, T. A Mimicry of Primary Amines by Bis-Secondary Diamines as Components in the Ugi Four-Component Reaction. Angew. Chem. 2006, 118, 1117–1120. [Google Scholar] [CrossRef]
- La Spisa, F.; Feo, A.; Mossetti, R.; Tron, G.C. An Efficient Synthesis of Symmetric and Unsymmetric Bis-(β-Aminoamides) via Ugi Multicomponent Reaction. Org. Lett. 2012, 14, 6044–6047. [Google Scholar] [CrossRef]
- Samal, K.; Zhao, P.; Kendzicky, A.; Yco, L.P.; McClung, H.; Gerner, E.; Burns, M.; Bachmann, A.S.; Sholler, G. AMXT-1501, a Novel Polyamine Transport Inhibitor, Synergizes with DFMO in Inhibiting Neuroblastoma Cell Proliferation by Targeting Both Ornithine Decarboxylase and Polyamine Transport. Int. J. Cancer 2013, 133, 1323–1333. [Google Scholar] [CrossRef]
- Burns, M.R.; Wood, S.J.; Miller, K.A.; Nguyen, T.; Cromer, J.R.; David, S.A. Lysine–Spermine Conjugates: Hydrophobic Polyamine Amides as Potent Lipopolysaccharide Sequestrants. Bioorg. Med. Chem. 2005, 13, 2523–2536. [Google Scholar] [CrossRef]
- Salmon-Chemin, L.; Buisine, E.; Yardley, V.; Kohler, S.; Debreu, M.-A.; Landry, V.; Sergheraert, C.; Croft, S.L.; Krauth-Siegel, R.L.; Davioud-Charvet, E. 2- and 3-Substituted 1,4-Naphthoquinone Derivatives as Subversive Substrates of Trypanothione Reductase and Lipoamide Dehydrogenase from Trypanosoma c Ruzi: Synthesis and Correlation between Redox Cycling Activities and in Vitro Cytotoxicity. J. Med. Chem. 2001, 44, 548–565. [Google Scholar] [CrossRef] [PubMed]
- López-Contreras, F.; Muñoz-Uribe, M.; Pérez-Laines, J.; Ascencio-Leal, L.; Rivera-Dictter, A.; Martin-Martin, A.; Burgos, R.A.; Alarcon, P.; López-Muñoz, R. Searching for Drug Synergy Against Cancer Through Polyamine Metabolism Impairment: Insight Into the Metabolic Effect of Indomethacin on Lung Cancer Cells. Front. Pharmacol. 2020, 10, 1670. [Google Scholar] [CrossRef]
- Millward, M.J.; Joshua, A.; Kefford, R.; Aamdal, S.; Thomson, D.; Hersey, P.; Toner, G.; Lynch, K. Multi-Centre Phase II Trial of the Polyamine Synthesis Inhibitor SAM486A (CGP48664) in Patients with Metastatic Melanoma. Investig. New Drugs 2005, 23, 253–256. [Google Scholar] [CrossRef] [PubMed]
- Garcia, G.; Sarrazy, V.; Sol, V.; Le Morvan, C.; Granet, R.; Alves, S.; Krausz, P. DNA Photocleavage by Porphyrin–Polyamine Conjugates. Bioorg. Med. Chem. 2009, 17, 767–776. [Google Scholar] [CrossRef]
- Garcia, G.; Sol, V.; Lamarche, F.; Granet, R.; Guilloton, M.; Champavier, Y.; Krausz, P. Synthesis and Photocytotoxic Activity of New Chlorin–Polyamine Conjugates. Bioorg. Med. Chem. Lett. 2006, 16, 3188–3192. [Google Scholar] [CrossRef]
- Matveev, E.Y.; Akimov, S.S.; Kubasov, A.S.; Nichugovskii, A.I.; Nartov, A.S.; Retivov, V.M.; Zhizhin, K.Y.; Kuznetsov, N.T. Reaction of the [B10H9O2C4H8]− Anion with C-Nucleophiles. Russ. J. Inorg. Chem. 2017, 62, 808–813. [Google Scholar] [CrossRef]
- Kubasov, A.S.; Matveev, E.Y.; Turyshev, E.S.; Polyakova, I.N.; Nichugovskiy, A.I.; Zhizhin, K.Y.; Kuznetsov, N.T. Synthesis and Stability Studies of Derivatives of the 2-Sulfanyl-Closo-Decaborate Anion [2-B10H9SH]2−. Inorg. Chim. Acta 2018, 477, 277–283. [Google Scholar] [CrossRef]
- Kubasov, A.S.; Matveev, E.Y.; Klyukin, I.N.; Nichugovskiy, A.I.; Zhizhin, K.Y.; Kuznetsov, N.T. Silver(I) Complexes with Substituted Derivatives of the Boron Cluster Anions as Ligands. Inorg. Chim. Acta 2020, 510, 119749–119755. [Google Scholar] [CrossRef]
- Matveev, E.Y.; Limarev, I.P.; Nichugovskii, A.I.; Bykov, A.Y.; Zhizhin, K.Y.; Kuznetsov, N.T. Derivatives of Closo-Decaborate Anion with Polyamines. Russ. J. Inorg. Chem. 2019, 64, 977–983. [Google Scholar] [CrossRef]
- Dai, F.; Li, Q.; Wang, Y.; Ge, C.; Feng, C.; Xie, S.; He, H.; Xu, X.; Wang, C. Design, Synthesis, and Biological Evaluation of Mitochondria-Targeted Flavone–Naphthalimide–Polyamine Conjugates with Antimetastatic Activity. J. Med. Chem. 2017, 60, 2071–2083. [Google Scholar] [CrossRef] [PubMed]
- Li, Q.; Zhai, Y.; Luo, W.; Zhu, Z.; Zhang, X.; Xie, S.; Hong, C.; Wang, Y.; Su, Y.; Zhao, J.; et al. Synthesis and Biological Properties of Polyamine Modified Flavonoids as Hepatocellular Carcinoma Inhibitors. Eur. J. Med. Chem. 2016, 121, 110–119. [Google Scholar] [CrossRef] [PubMed] [Green Version]
- Wang, Y.; Zhang, X.; Zhao, J.; Xie, S.; Wang, C. Nonhematotoxic Naphthalene Diimide Modified by Polyamine: Synthesis and Biological Evaluation. J. Med. Chem. 2012, 55, 3502–3512. [Google Scholar] [CrossRef]
- Pearce, A.N.; Kaiser, M.; Copp, B.R. Synthesis and Antimalarial Evaluation of Artesunate-Polyamine and Trioxolane-Polyamine Conjugates. Eur. J. Med. Chem. 2017, 140, 595–603. [Google Scholar] [CrossRef]
- Yu, X.-M.; Ramiandrasoa, F.; Guetzoyan, L.; Pradines, B.; Quintino, E.; Gadelle, D.; Forterre, P.; Cresteil, T.; Mahy, J.-P.; Pethe, S. Synthesis and Biological Evaluation of Acridine Derivatives as Antimalarial Agents. ChemMedChem 2012, 7, 587–605. [Google Scholar] [CrossRef]
- Puchkov, P.A.; Maslov, M.A. Lipophilic Polyamines as Promising Components of Liposomal Gene Delivery Systems. Pharmaceutics 2021, 13, 920. [Google Scholar] [CrossRef] [PubMed]
- Kowouvi, K.; Alies, B.; Gendrot, M.; Gaubert, A.; Vacher, G.; Gaudin, K.; Mosnier, J.; Pradines, B.; Barthelemy, P.; Grislain, L.; et al. Nucleoside-Lipid-Based Nanocarriers for Methylene Blue Delivery: Potential Application as Anti-Malarial Drug. RSC Adv. 2019, 9, 18844–18852. [Google Scholar] [CrossRef] [Green Version]
- Allain, V.; Bourgaux, C.; Couvreur, P. Self-Assembled Nucleolipids: From Supramolecular Structure to Soft Nucleic Acid and Drug Delivery Devices. Nucleic Acids Res. 2012, 40, 1891–1903. [Google Scholar] [CrossRef] [PubMed] [Green Version]
- Patil, S.P.; Yi, J.W.; Bang, E.-K.; Jeon, E.M.; Kim, B.H. Synthesis and Efficient SiRNA Delivery of Polyamine-Conjugated Cationic Nucleoside Lipids. Medchemcomm 2011, 2, 505. [Google Scholar] [CrossRef] [Green Version]
- Puchkov, P.A.; Perevoshchikova, K.A.; Kartashova, I.A.; Luneva, A.S.; Kabilova, T.O.; Morozova, N.G.; Zenkova, M.A.; Maslov, M.A. Polycationic Amphiphiles Based on Triethylenetetramine and Their Transfection Efficacy. Russ. J. Bioorg. Chem. 2017, 43, 561–569. [Google Scholar] [CrossRef]
- Puchkov, P.A.; Kartashova, I.A.; Shmendel, E.V.; Luneva, A.S.; Morozova, N.G.; Zenkova, M.A.; Maslov, M.A. Spacer Structure and Hydrophobicity Influences Transfection Activity of Novel Polycationic Gemini Amphiphiles. Bioorg. Med. Chem. Lett. 2017, 27, 3284–3288. [Google Scholar] [CrossRef] [PubMed]
- Puchkov, P.A.; Shmendel, E.V.; Luneva, A.S.; Morozova, N.G.; Zenkova, M.A.; Maslov, M.A. Design, Synthesis and Transfection Efficiency of a Novel Redox-Sensitive Polycationic Amphiphile. Bioorg. Med. Chem. Lett. 2016, 26, 5911–5915. [Google Scholar] [CrossRef] [PubMed]
- Puchkov, P.A.; Shmendel, E.V.; Andreeva, V.D.; Morozova, N.G.; Zenkova, M.A.; Maslov, M.A. A Novel Disulfide-Containing Polycationic Amphiphile: 1,28-Di[(Cholest-5-En-3β-Yl)Disulfanyl]-4,25-Dioxo-3,8,12,17,21,26-Hexaazaoctacosane Tetrahydrochloride. Molbank 2018, 2018, M981. [Google Scholar] [CrossRef] [Green Version]
- Puchkov, P.A.; Shmendel, E.V.; Luneva, A.S.; Zenkova, M.A.; Maslov, M.A. Position of Disulfide Bond Determines the Properties of Novel Stimuli-Responsive Cationic Lipids. ChemistrySelect 2020, 5, 4509–4514. [Google Scholar] [CrossRef]
- Perevoshchikova, K.A.; Nichugovskiy, A.I.; Isagulieva, A.K.; Morozova, N.G.; Ivanov, I.V.; Maslov, M.A.; Shtil, A.A. Synthesis of Novel Lipophilic Tetraamines with Cytotoxic Activity. Mendeleev Commun. 2019, 29, 616–618. [Google Scholar] [CrossRef]
- Castro, B.M.; Fedorov, A.; Hornillos, V.; Delgado, J.; Acuña, A.U.; Mollinedo, F.; Prieto, M. Edelfosine and Miltefosine Effects on Lipid Raft Properties: Membrane Biophysics in Cell Death by Antitumor Lipids. J. Phys. Chem. B 2013, 117, 7929–7940. [Google Scholar] [CrossRef]
- Ausili, A.; Martínez-Valera, P.; Torrecillas, A.; Gómez-Murcia, V.; de Godos, A.M.; Corbalán-García, S.; Teruel, J.A.; Gómez Fernández, J.C. Anticancer Agent Edelfosine Exhibits a High Affinity for Cholesterol and Disorganizes Liquid-Ordered Membrane Structures. Langmuir 2018, 34, 8333–8346. [Google Scholar] [CrossRef]
- Plyavnik, N.V.; Kramareva, T.V.; Serebrennikova, G.A. Synthesis of Cationic Alkyl Glycerolipids with Heterocyclic Nitrogen-Containing Bases as Polar Domains. Russ. J. Bioorg. Chem. 2011, 37, 492–498. [Google Scholar] [CrossRef]
- Kyselka, J.; Bleha, R.; Dragoun, M.; Bialasová, K.; Horáčková, Š.; Schätz, M.; Sluková, M.; Filip, V.; Synytsya, A. Antifungal Polyamides of Hydroxycinnamic Acids from Sunflower Bee Pollen. J. Agric. Food Chem. 2018, 66, 11018–11026. [Google Scholar] [CrossRef] [PubMed]
Publisher’s Note: MDPI stays neutral with regard to jurisdictional claims in published maps and institutional affiliations. |
© 2021 by the authors. Licensee MDPI, Basel, Switzerland. This article is an open access article distributed under the terms and conditions of the Creative Commons Attribution (CC BY) license (https://creativecommons.org/licenses/by/4.0/).










































