Hexosomal Dispersion: A Nano-Based Approach to Boost the Antifungal Potential of Citrus Essential Oils against Plant Fungal Pathogens
Abstract
:1. Introduction
2. Results and Discussion
2.1. Chemical Composition of Different Citrus Peels’ Essential Oils
2.2. Preparation and Characterization of Nano-Hexosomal Dispersions
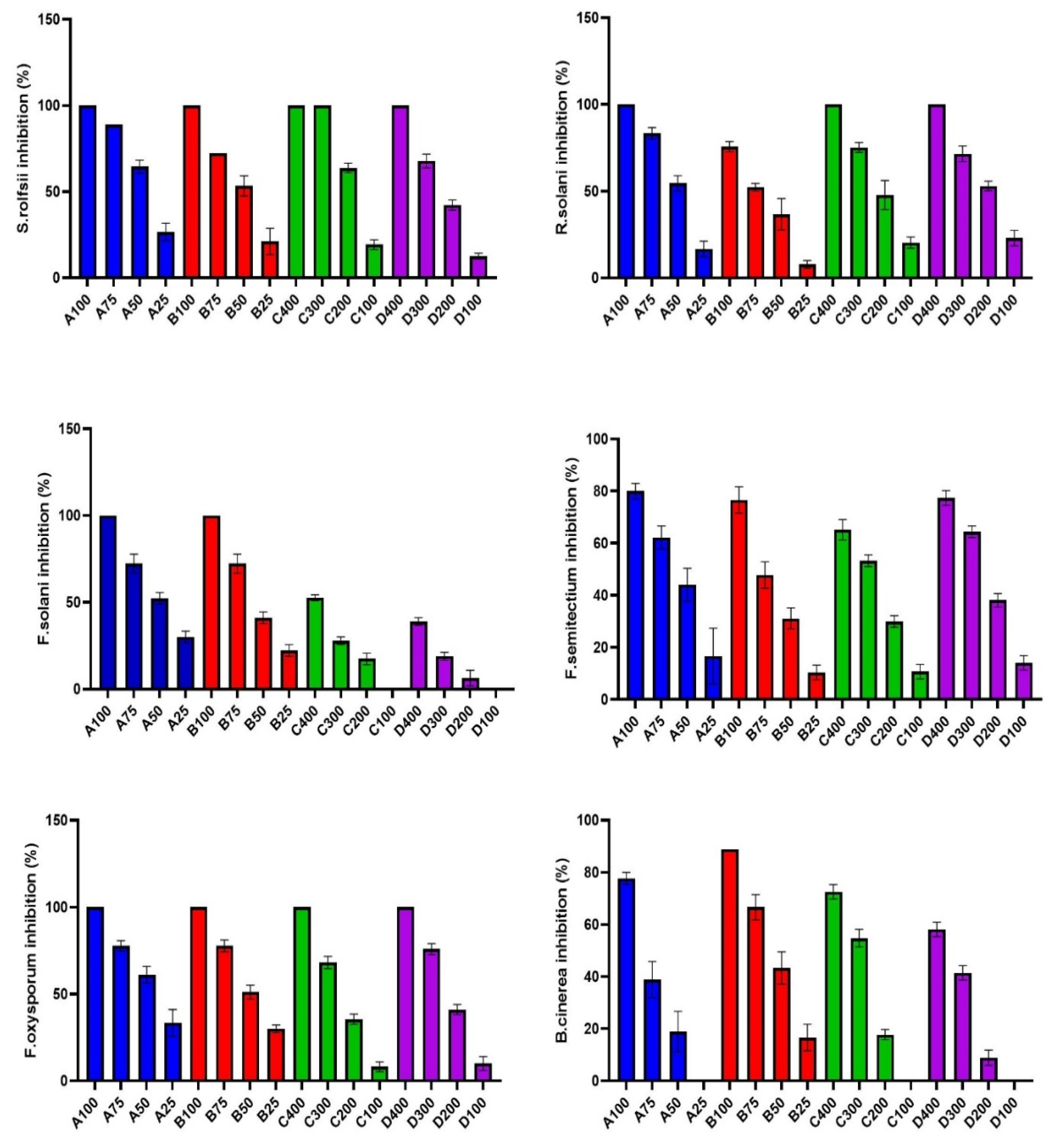
2.3. Antifungal Activity of Different Citrus Oil and Nano-Hexosomal Formula of the Most Active One
3. Materials and Methods
3.1. Materials
3.2. Methods
3.2.1. GC-MS Analysis and Quantification
3.2.2. Preparation of Hexosomal Dispersion
3.2.3. Measurement of Particle Size, Polydispersity Index, and Zeta Potential
3.2.4. Transmission Electron Microscopy (TEM)
3.2.5. Fungal Strains
3.2.6. Antifungal Assay
3.2.7. Statistical Data Interpretation
4. Conclusions
Author Contributions
Funding
Institutional Review Board Statement
Informed Consent Statement
Data Availability Statement
Acknowledgments
Conflicts of Interest
Sample Availability
References
- Shuping, D.S.S.; Eloff, J.N. The use of plants to protect plants and food against fungal pathogens: A review. Afr. J. Tradit. Complement. Altern. Med. 2017, 14, 120–127. [Google Scholar] [CrossRef] [PubMed] [Green Version]
- Yang, J.; Hsiang, T.; Bhadauria, V.; Chen, X.-L.; Li, G. Plant Fungal Pathogenesis. BioMed Res. Int. 2017, 2017, 9724283. [Google Scholar] [CrossRef] [PubMed]
- Suprapta, D.N. Potential of microbial antagonists as biocontrol agents against plant fungal pathogens. J. ISSAAS 2012, 18, 1–8. [Google Scholar]
- Liu, Y.; Heying, E.; Tanumihardjo, S.A. History, global distribution, and nutritional importance of citrus fruits. Compr. Rev. Food Sci. Food Saf. 2012, 11, 530–545. [Google Scholar] [CrossRef]
- Balu, A.M.; Budarin, V.; Shuttleworth, P.S.; Pfaltzgraff, L.A.; Waldron, K.; Luque, R.; Clark, J.H. Valorisation of orange peel residues: Waste to biochemicals and nanoporous materials. ChemSusChem 2012, 5, 1694. [Google Scholar] [CrossRef]
- Sharma, K.; Mahato, N.; Cho, M.H.; Lee, Y.R. Converting citrus wastes into value-added products: Economic and environmently friendly approaches. Nutrition 2017, 34, 29–46. [Google Scholar] [CrossRef]
- Mamma, D.; Christakopoulos, P. Biotransformation of citrus by-products into value added products. Waste Biomass Valorization 2014, 5, 529–549. [Google Scholar] [CrossRef]
- Djilani, A.; Dicko, A. The therapeutic benefits of essential oils. Nutr. Well-Being Health 2012, 7, 155–179. [Google Scholar]
- Lammari, N.; Louaer, O.; Meniai, A.H.; Elaissari, A. Encapsulation of essential oils via nanoprecipitation process: Overview, progress, challenges and prospects. Pharmaceutics 2020, 12, 431. [Google Scholar] [CrossRef]
- Fisher, K.; Phillips, C. Potential antimicrobial uses of essential oils in food: Is citrus the answer? Trends Food Sci. Technol. 2008, 19, 156–164. [Google Scholar] [CrossRef]
- Abdel-Kawy, M.A.; Michel, C.G.; Kirollos, F.N.; Hussien, R.A.A.; Al-Mahallawi, A.M.; Sedeek, M.S. Chemical composition and potentiation of insecticidal and fungicidal activities of Citrus trifoliata L. fruits essential oil against Spodoptera littoralis, Fusarium oxysporum and Fusarium solani via nano-cubosomes. Nat. Prod. Res. 2021, 35, 2438–2443. [Google Scholar] [CrossRef] [PubMed]
- Prakash, B.; Kujur, A.; Yadav, A.; Kumar, A.; Singh, P.P.; Dubey, N.K. Nanoencapsulation: An efficient technology to boost the antimicrobial potential of plant essential oils in food system. Food Control 2018, 89, 1–11. [Google Scholar] [CrossRef]
- Campolo, O.; Cherif, A.; Ricupero, M.; Siscaro, G.; Grissa-Lebdi, K.; Russo, A.; Cucci, L.M.; Di Pietro, P.; Satriano, C.; Desneux, N. Citrus peel essential oil nanoformulations to control the tomato borer, Tuta absoluta: Chemical properties and biological activity. Sci. Rep. 2017, 7, 1–10. [Google Scholar] [CrossRef] [PubMed]
- Christofoli, M.; Costa, E.C.C.; Bicalho, K.U.; de Cássia Domingues, V.; Peixoto, M.F.; Alves, C.C.F.; Araújo, W.L.; de Melo Cazal, C. Insecticidal effect of nanoencapsulated essential oils from Zanthoxylum rhoifolium (Rutaceae) in Bemisia tabaci populations. Ind. Crop. Prod. 2015, 70, 301–308. [Google Scholar] [CrossRef]
- De Oliveira, J.L.; Campos, E.V.R.; Bakshi, M.; Abhilash, P.C.; Fraceto, L.F. Application of nanotechnology for the encapsulation of botanical insecticides for sustainable agriculture: Prospects and promises. Biotechnol. Adv. 2014, 32, 1550–1561. [Google Scholar] [CrossRef] [PubMed]
- Kaore, N.M.; Atul, A.R.; Khan, M.Z.; Ramnani, V.K. A rare case of human mycosis by Rhizoctonia solani. Indian J. Med. Microbiol. 2012, 30, 361. [Google Scholar] [CrossRef]
- Zhang, N.; O’Donnell, K.; Sutton, D.A.; Nalim, F.A.; Summerbell, R.C.; Padhye, A.A.; Geiser, D.M. Members of the Fusarium solani species complex that cause infections in both humans and plants are common in the environment. J. Clin. Microbiol. 2006, 44, 2186–2190. [Google Scholar] [CrossRef] [Green Version]
- Wang, C.-J.; Thanarut, C.; Sun, P.-L.; Chung, W.-H. Colonization of human opportunistic Fusarium oxysporum (HOFo) isolates in tomato and cucumber tissues assessed by a specific molecular marker. PLoS ONE 2020, 15, e0234517. [Google Scholar] [CrossRef]
- Cody, D.T.; McCaffrey, T.V.; Roberts, G.; Kern, E.B. Effects of Aspergillus fumigatus and Alternaria alternata on human ciliated epithelium in vitro. Laryngoscope 1997, 107, 1511–1514. [Google Scholar] [CrossRef]
- Singh, P.; Shukla, R.; Prakash, B.; Kumar, A.; Singh, S.; Mishra, P.K.; Dubey, N.K. Chemical profile, antifungal, antiaflatoxigenic and antioxidant activity of Citrus maxima Burm. and Citrus sinensis (L.) Osbeck essential oils and their cyclic monoterpene, DL-limonene. Food Chem. Toxicol. 2010, 48, 1734–1740. [Google Scholar] [CrossRef]
- Ben Salha, G.; Herrera Díaz, R.; Lengliz, O.; Abderrabba, M.; Labidi, J. Effect of the chemical composition of free-terpene hydrocarbons essential oils on antifungal activity. Molecules 2019, 24, 3532. [Google Scholar] [CrossRef] [Green Version]
- Haj Ammar, A.; Bouajila, J.; Lebrihi, A.; Mathieu, F.; Romdhane, M.; Zagrouba, F. Chemical composition and in vitro antimicrobial and antioxidant activities of Citrus aurantium L. flowers essential oil (Neroli oil). Pak. J. Biol. Sci. 2012, 15, 1034–1040. [Google Scholar] [CrossRef]
- Al-Mahallawi, A.M.; Abdelbary, A.A.; El-Zahaby, S.A. Norfloxacin loaded nano-cubosomes for enhanced management of otitis externa: In vitro and in vivo evaluation. Int. J. Pharm. 2021, 600, 120490. [Google Scholar] [CrossRef] [PubMed]
- Zohra, H.F.; Rachida, A.; Malika, M.; Benali, S.; Samir, A.A.; Meriem, B. Chemical composition and antifungal activity of essential oils of Algerian citrus. Afr. J. Biotechnol. 2015, 14, 1048–1055. [Google Scholar] [CrossRef] [Green Version]
- Sharma, N.; Tripathi, A. Effects of Citrus sinensis (L.) Osbeck epicarp essential oil on growth and morphogenesis of Aspergillus niger (L.) Van Tieghem. Microbiol. Res. 2008, 163, 337–344. [Google Scholar] [CrossRef] [PubMed]
- Viuda-Martos, M.; Ruiz-Navajas, Y.; Fernández-López, J.; Pérez-Álvarez, J. Antifungal activity of lemon (Citrus lemon L.), mandarin (Citrus reticulata L.), grapefruit (Citrus paradisi L.) and orange (Citrus sinensis L.) essential oils. Food Control 2008, 19, 1130–1138. [Google Scholar] [CrossRef]
- Rostro-Alanis, M.d.J.; Báez-González, J.; Torres-Alvarez, C.; Parra-Saldívar, R.; Rodriguez-Rodriguez, J.; Castillo, S. Chemical composition and biological activities of oregano essential oil and its fractions obtained by vacuum distillation. Molecules 2019, 24, 1904. [Google Scholar] [CrossRef] [PubMed] [Green Version]
- Cimino, C.; Maurel, O.M.; Musumeci, T.; Bonaccorso, A.; Drago, F.; Souto, E.M.B.; Pignatello, R.; Carbone, C. Essential oils: Pharmaceutical applications and encapsulation strategies into lipid-based delivery systems. Pharmaceutics 2021, 13, 327. [Google Scholar] [CrossRef]
- Egyptian Pharmacopoeia; Central Administration and Pharmaceutical Affairs, Ministry of Health and Population: Cairo, Egypt, 2005.
- Abdel-Kawy, M.A.; Michel, C.G.; Kirollos, F.N.; El, A.M. In vitro MAO-B Inhibitory Effects of Citrus trifoliata L. Fruits Extract, Self-Nano-Emulsifying Drug Delivery System and Isolated Hesperidin: Enzyme Assay and Molecular Docking Study. Development 2020, 14, 15. [Google Scholar]
- Abdel-Bar, H.M.; Khater, S.E.; Ghorab, D.M.; Al-Mahallawi, A.M. Hexosomes as efficient platforms for possible fluoxetine hydrochloride repurposing with improved cytotoxicity against HepG2 cells. ACS Omega 2020, 5, 26697–26709. [Google Scholar] [CrossRef]
- Khate, S.E.; El-Khouly, A.; Abdel-Ba, H.M.; Al-Mahallawi, A.M.; Ghorab, D.M. Fluoxetine hydrochloride loaded lipid polymer hybrid nanoparticles showed possible efficiency against SARS-CoV-2 infection. Int. J. Pharm. 2021, 607, 121023. [Google Scholar] [CrossRef]
- Ghareeb, D.A.; Saleh, S.R.; Seadawy, M.G.; Nofal, M.S.; Abdulmalek, S.A.; Hassan, S.F.; Khedr, S.M.; AbdElwahab, M.G.; Sobhy, A.A.; Yassin, A.M. Nanoparticles of ZnO/Berberine complex contract COVID-19 and respiratory co-bacterial infection in addition to elimination of hydroxychloroquine toxicity. J. Pharm. Investig. 2021, 1–23. [Google Scholar] [CrossRef]
- Ahmed, M.A.; Al-Mahallawi, A.M.; El-Helaly, S.N.; Abd-Elsalam, W.H. The effect of the saturation degree of phospholipid on the formation of a novel self-assembled nano-micellar complex carrier with enhanced intestinal permeability. Int. J. Pharm. 2019, 569, 118567. [Google Scholar] [CrossRef]
- Al-Mahallawi, A.M.; Fares, A.R.; Abd-Elsalam, W.H. Enhanced permeation of methotrexate via loading into ultra-permeable niosomal vesicles: Fabrication, statistical optimization, ex vivo studies, and in vivo skin deposition and tolerability. AAPS PharmSciTech 2019, 20, 1–10. [Google Scholar] [CrossRef]
- Albash, R.; El-Nabarawi, M.A.; Refai, H.; Abdelbary, A.A. Tailoring of PEGylated bilosomes for promoting the transdermal delivery of olmesartan medoxomil: In-vitro characterization, ex-vivo permeation and in-vivo assessment. Int. J. Nanomed. 2019, 14, 6555. [Google Scholar] [CrossRef] [PubMed] [Green Version]
- Saber, M.M.; Al-mahallawi, A.M.; Stork, B. Metformin dampens cisplatin cytotoxicity on leukemia cells after incorporation into cubosomal nanoformulation. Biomed. Pharmacother. 2021, 143, 112140. [Google Scholar] [CrossRef]
- Ramaiah, A.K.; Garampalli, R.K.H. In vitro antifungal activity of some plant extracts against Fusarium oxysporum f. sp. lycopersici. Asian J. Plant Sci. Res. 2015, 5, 22–27. [Google Scholar]
- Pawar, D.S.; Nasreen, S. HR-LCMS of phytoconstituents and antifungal activity of medicinal plants. J. Med. Plants 2018, 6, 173–176. [Google Scholar]
- Gopalakrishnan, S.; Vadlamudi, S.; Bandikinda, P.; Sathya, A.; Vijayabharathi, R.; Rupela, O.; Kudapa, H.; Katta, K.; Varshney, R.K. Evaluation of Streptomyces strains isolated from herbal vermicompost for their plant growth-promotion traits in rice. Microbiol. Res. 2014, 169, 40–48. [Google Scholar] [CrossRef] [Green Version]





| No. | RT | RI | Identified Compounds | Area Percentage | |||
|---|---|---|---|---|---|---|---|
| C. lemon | C. aurantifolia | C. maxima | C. sinensis | ||||
| 1 | 7.344 | 948 | α-Pinene | 0.83 | 0.72 | 0.43 | 0.29 |
| 2 | 7.772 | 955 | Camphene | 0.23 | – | – | – |
| 3 | 8.643 | 982 | β-Pinene | 11.15 | 7.63 | 0.49 | – |
| 4 | 9.086 | 991 | β-Myrcene | 0.87 | 0.79 | 1.24 | 1.05 |
| 5 | 10.126 | 998 | p-Cymene | 1.14 | 0.88 | – | – |
| 6 | 10.360 | 1018 | D-Limonene | 44.36 | 61.89 | 97.51 | 96.71 |
| 7 | 11.189 | 1063 | γ-Terpinene | 2.91 | 7.50 | – | – |
| 8 | 12.098 | 1079 | α-terpinolene | 1.53 | 0.93 | – | – |
| 9 | 12.471 | 1082 | Linalool | 1.69 | 2.14 | 0.09 | 1.53 |
| 10 | 12.615 | 1097 | Nonanal | 0.17 | – | – | – |
| 11 | 12.905 | 1098 | Fenchol | 0.39 | 0.14 | – | – |
| 12 | 13.856 | 1121 | Camphor | – | – | – | 0.24 |
| 13 | 14.579 | 1125 | p-Mentha-1,5-dien-8-ol | 1.02 | 0.33 | – | – |
| 14 | 14.878 | 1137 | Terpinen-4-ol | 2.79 | 2.03 | – | – |
| 15 | 15.307 | 1143 | α-Terpineol | 9.95 | 6.43 | 0.23 | 0.11 |
| 16 | 16.793 | 1174 | β-Citral | 13.51 | 2.52 | – | – |
| 17 | 16.904 | 1190 | Carvone | 3.53 | 0.68 | – | – |
| 18 | 17.198 | 1228 | cis-Geraniol | 0.48 | – | – | – |
| 19 | 17.815 | 1268 | Perillaldehyde | – | 0.32 | – | – |
| 20 | 20.895 | 1339 | β-Bourbonene | 0.13 | – | – | – |
| 21 | 21.845 | 1410 | Caryophyllene | 0.13 | – | – | – |
| 22 | 23.475 | 1515 | Germacrene D | 0.1 | – | – | – |
| 23 | 24.115 | 1518 | cis-α-Bisabolene | 0.64 | – | – | – |
| 24 | 25.439 | 1603 | Germacrene B | 0.11 | – | – | – |
| Percentage of identified constituents | 97.66 | 94.93 | 99.99 | 99.93 | |||
| Percentage of identified hydrocarbons | 64.13 | 80.34 | 99.67 | 98.05 | |||
| Percentage of oxygenated hydrocarbons | 33.53 | 14.59 | 0.324 | 1.88 | |||
| Plant Oil | IC50 (µL/mL) | ||||||
|---|---|---|---|---|---|---|---|
| Rhizoctonia solani | Sclerotium rolfsii | Fusarium solani | Fusarium oxysporum | Fusarium semtectium | Botrytis cinerea | Alternarai alternata | |
| Citrus lemon | 45.29 | 37.59 | 42.17 | 36.92 | 55.92 | 78.60 | 229.10 |
| Citrus aurantifolia | 66.52 | 45.60 | 50.79 | 41.72 | 70.03 | 53.56 | 0 |
| Citrus maxima | 191.10 | 159.00 | 395.90 | 232.70 | 290.70 | 294.80 | 0 |
| Citrus sinensis | 180.50 | 217.40 | 457.90 | 216.20 | 236.70 | 351.40 | 0 |
| Citrus lemon nano-hexoosome | 416.00 | 324.90 | 193.70 | 124.30 | 534.00 | 549.40 | 95.54 |
Publisher’s Note: MDPI stays neutral with regard to jurisdictional claims in published maps and institutional affiliations. |
© 2021 by the authors. Licensee MDPI, Basel, Switzerland. This article is an open access article distributed under the terms and conditions of the Creative Commons Attribution (CC BY) license (https://creativecommons.org/licenses/by/4.0/).
Share and Cite
Sedeek, M.S.; Al-Mahallawi, A.M.; Hussien, R.A.A.; Ali, A.M.A.; Naguib, I.A.; Mansour, M.K. Hexosomal Dispersion: A Nano-Based Approach to Boost the Antifungal Potential of Citrus Essential Oils against Plant Fungal Pathogens. Molecules 2021, 26, 6284. https://doi.org/10.3390/molecules26206284
Sedeek MS, Al-Mahallawi AM, Hussien RAA, Ali AMA, Naguib IA, Mansour MK. Hexosomal Dispersion: A Nano-Based Approach to Boost the Antifungal Potential of Citrus Essential Oils against Plant Fungal Pathogens. Molecules. 2021; 26(20):6284. https://doi.org/10.3390/molecules26206284
Chicago/Turabian StyleSedeek, Mohamed S., Abdulaziz M. Al-Mahallawi, Rania A. A. Hussien, Ahmed M. Abdelhaleem Ali, Ibrahim A. Naguib, and Mai K. Mansour. 2021. "Hexosomal Dispersion: A Nano-Based Approach to Boost the Antifungal Potential of Citrus Essential Oils against Plant Fungal Pathogens" Molecules 26, no. 20: 6284. https://doi.org/10.3390/molecules26206284
APA StyleSedeek, M. S., Al-Mahallawi, A. M., Hussien, R. A. A., Ali, A. M. A., Naguib, I. A., & Mansour, M. K. (2021). Hexosomal Dispersion: A Nano-Based Approach to Boost the Antifungal Potential of Citrus Essential Oils against Plant Fungal Pathogens. Molecules, 26(20), 6284. https://doi.org/10.3390/molecules26206284

