Novel Bio-Based Amphiphilic Ionic Liquids for the Efficient Demulsification of Heavy Crude Oil Emulsions
Abstract
:1. Introduction
2. Results and Discussion
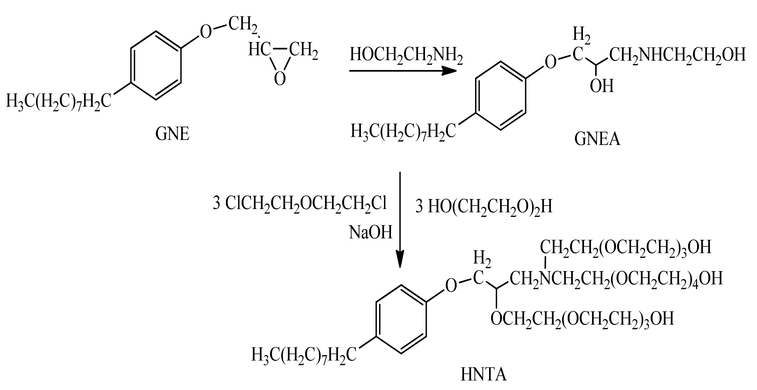
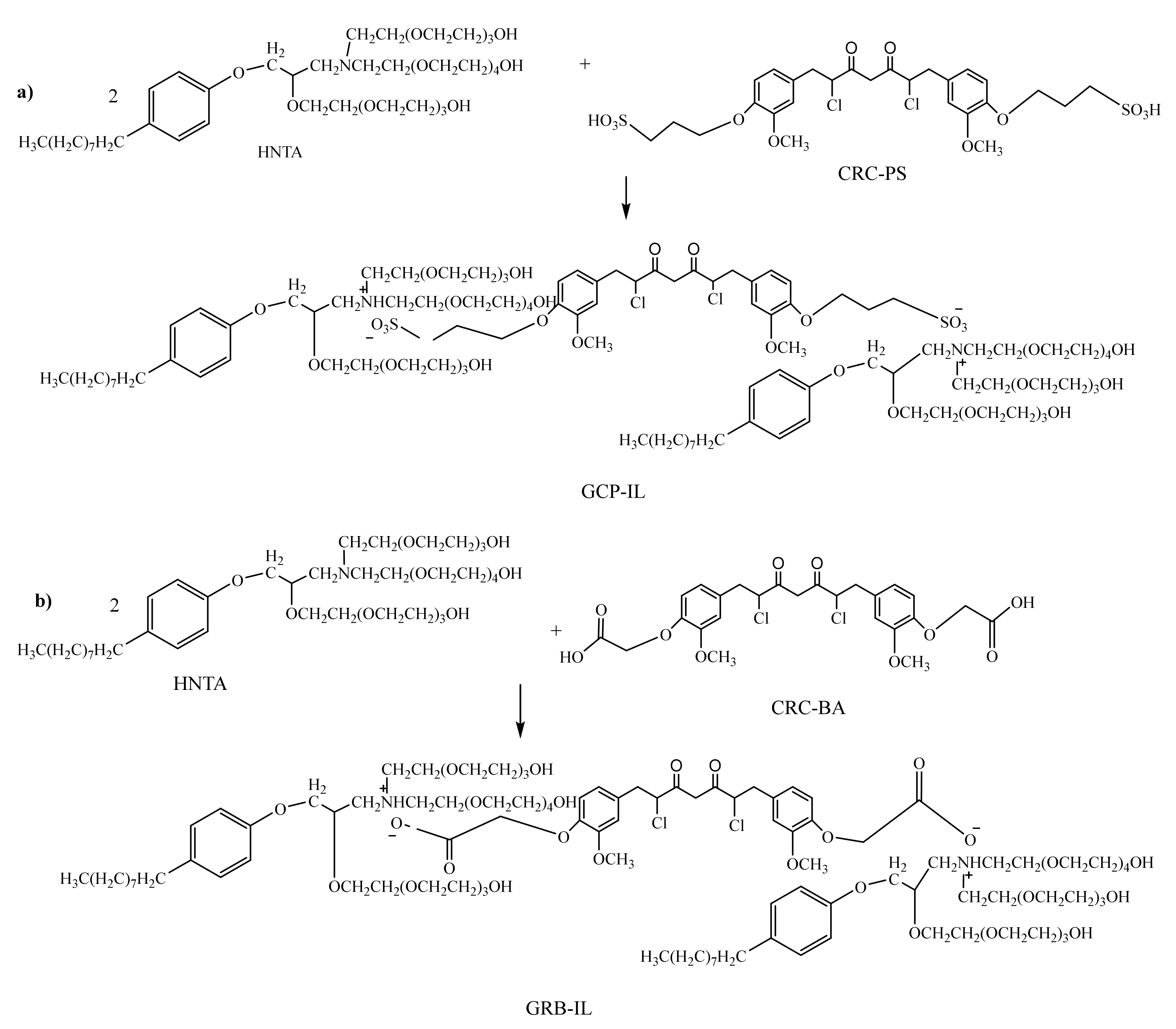
2.1. Chemical Structures of AILs
2.2. Surface Activity of AILs
2.3. Efficiency of AILs in Demulsification of W/O Emulsions
3. Materials and Methods
3.1. Materials
3.2. Characterization
3.3. Synthesis of AILs
3.3.1. Synthesis of HNTA
3.3.2. Synthesis of CRC-PS
3.3.3. Synthesis of CRC-BA
4. Conclusions
Author Contributions
Funding
Institutional Review Board Statement
Informed Consent Statement
Data Availability Statement
Acknowledgments
Conflicts of Interest
Sample Availability
References
- Hazrati, N.; Beigi, A.A.M.; Abdouss, M. Demulsification of water in crude oil emulsion using long chain imidazolium ionic liquids and optimization of parameters. Fuel 2018, 229, 126–134. [Google Scholar] [CrossRef]
- Kokal, S.L. Crude oil emulsions: A state-of-the-art review. SPE Prod. Facil. 2005, 20, 5–13. [Google Scholar] [CrossRef]
- Abdullah, M.M.; Al-Lohedan, H.A. Demulsification of Arabian Heavy Crude Oil Emulsions Using Novel Amphiphilic Ionic Liquids Based on Glycidyl 4-Nonylphenyl Ether. Energy Fuels 2019, 33, 12916–12923. [Google Scholar] [CrossRef]
- Velásquez, I.; Sykora, J.; Anton, N.; Pereira, J.C. Tuning of properties of alkyl phenol formaldehyde resins in petroleum demulsifiers: 1. Emulsion stability test. Pet. Sci. Technol. 2017, 35, 1055–1062. [Google Scholar] [CrossRef]
- Hassanshahi, N.; Hu, G.; Li, J. Application of Ionic Liquids for Chemical Demulsification: A Review. Molecules 2020, 25, 4915. [Google Scholar] [CrossRef] [PubMed]
- Fink, J. Petroleum engineer’s guide to oil field chemicals and fluids; Gulf Professional Publishing: Houston, TX, USA, 2021. [Google Scholar]
- Ezzat, A.O.; Atta, A.M.; Al-Lohedan, H.A. One-step synthesis of amphiphilic nonylphenol polyethyleneimine for demulsification of water in heavy crude oil emulsions. ACS Omega 2020, 5, 9212–9223. [Google Scholar] [CrossRef] [PubMed] [Green Version]
- Flieger, J.; Flieger, M. Ionic Liquids Toxicity—Benefits and Threats. Int. J. Mol. Sci. 2020, 21, 6267. [Google Scholar] [CrossRef]
- Wasserscheid, P.; Welton, T. Ionic Liquids in Synthesis; Wiley-VCH Verlag GmbH & Co. KGa: Weinheim, Germany, 2008. [Google Scholar]
- Hallett, J.P.; Welton, T. Room-temperature ionic liquids: Solvents for synthesis and catalysis. 2. Chem. Rev. 2011, 111, 3508–3576. [Google Scholar] [CrossRef]
- Welton, T. Room-temperature ionic liquids. Solvents for synthesis and catalysis. Chem. Rev. 1999, 99, 2071–2084. [Google Scholar] [CrossRef]
- Atta, A.M.; Al-Lohedan, H.A.; Abdullah, M.M.; ElSaeed, S.M. Application of new amphiphilic ionic liquid based on ethoxylated octadecylammonium tosylate as demulsifier and petroleum crude oil spill dispersant. J. Ind. Eng. Chem. 2016, 33, 122–130. [Google Scholar] [CrossRef]
- Silva, R.d.C.F.; Almeida, D.G.; Rufino, R.D.; Luna, J.M.; Santos, V.A.; Sarubbo, L.A. Applications of biosurfactants in the petroleum industry and the remediation of oil spills. Int. J. Mol. Sci. 2014, 15, 12523–12542. [Google Scholar] [CrossRef]
- Perfumo, A.; Rancich, I.; Banat, I.M. Possibilities and challenges for biosurfactants use in petroleum industry. In Biosurfactants; Springer: New York, NY, USA, 2010; pp. 135–145. [Google Scholar]
- Markande, A.R.; Patel, D.; Varjani, S. A review on biosurfactants: Properties, applications and current developments. Bioresour. Technol. 2021, 330, 124963. [Google Scholar] [CrossRef]
- Feitosa, F.X.; Alves, R.S.; de Sant′Ana, H.B. Synthesis and application of additives based on cardanol as demulsifier for water-in-oil emulsions. Fuel 2019, 245, 21–28. [Google Scholar] [CrossRef]
- Ezzat, A.O.; Atta, A.M.; Al-Lohedan, H.A.; Abdullah, M.M.; Hashem, A.I. Synthesis and application of poly (ionic liquid) based on cardanol as demulsifier for heavy crude oil water emulsions. Energy Fuels 2018, 32, 214–225. [Google Scholar] [CrossRef]
- Varela, A.; Oliveira, G.; Souza, F., Jr.; Rodrigues, C.; Costa, M. New petroleum absorbers based on cardanol-furfuraldehyde magnetic nanocomposites. Polym. Eng. Sci. 2013, 53, 44–51. [Google Scholar] [CrossRef]
- Li, Z.; Geng, H.; Wang, X.; Jing, B.; Liu, Y.; Tan, Y. Noval tannic acid-based polyether as an effective demulsifier for water-in-aging crude oil emulsions. Chem. Eng. Sci. 2018, 354, 1110–1119. [Google Scholar] [CrossRef]
- Li, Z.; An, S.; Liu, Y.; Hua, Z.; Li, F.; Wang, X.; Jing, B.; Tan, Y. Practical Modification of Tannic Acid Polyether Demulsifier and Its Highly Efficient Demulsification for Water-in-Aging Crude Oil Emulsions. ACS Omega 2019, 4, 20697–20707. [Google Scholar] [CrossRef] [Green Version]
- Abdullah, M.M.; Al-Lohedan, H.A. Synthesis and characterization of tannic acid esters and their performances as asphaltenes dispersants. J. Pet. Sci. 2021, 201, 108389. [Google Scholar] [CrossRef]
- Yaakob, A.B.; Sulaimon, A.A. Performance assessment of plant extracts as green demulsifiers. J. Jpn. Pet. Inst. 2017, 60, 186–193. [Google Scholar] [CrossRef] [Green Version]
- Abdullah, M.; Atta, A.M.; Allohedan, H.A.; Alkhathlan, H.Z.; Khan, M.; Ezzat, A.O. Green synthesis of hydrophobic magnetite nanoparticles coated with plant extract and their application as petroleum oil spill collectors. Nanomaterials 2018, 8, 855. [Google Scholar] [CrossRef] [PubMed] [Green Version]
- Abdullah, M.; Atta, A.M.; Al-Lohedan, H.A.; Alkhathlan, H.Z.; Khan, M.; Ezzat, A.O. Synthesis of Green Recyclable Magnetic Iron Oxide Nanomaterials Coated by Hydrophobic Plant Extracts for Efficient Collection of Oil Spills. Nanomaterials 2019, 9, 1505. [Google Scholar] [CrossRef] [PubMed] [Green Version]
- Banik, B.K. Green Approaches in Medicinal Chemistry for Sustainable Drug Design; Elsevier: Amsterdam, The Netherlands, 2020. [Google Scholar]
- Van Nong, H.; Hung, L.X.; Thang, P.N.; Chinh, V.D.; Dung, P.T.; Van Trung, T.; Nga, P.T. Fabrication and vibration characterization of curcumin extracted from turmeric (Curcuma longa) rhizomes of the northern Vietnam. SpringerPlus 2016, 5, 1147. [Google Scholar] [CrossRef] [PubMed] [Green Version]
- Zheng, D.; Huang, C.; Huang, H.; Zhao, Y.; Khan, M.R.U.; Zhao, H.; Huang, L. Antibacterial Mechanism of Curcumin: A Review. Chem. Biodivers. 2020, 17, e2000171. [Google Scholar] [CrossRef] [PubMed]
- Banez, M.J.; Geluz, M.I.; Chandra, A.; Hamdan, T.; Biswas, O.S.; Bryan, N.S.; Von Schwarz, E.R. A systemic review on the antioxidant and anti-inflammatory effects of resveratrol, curcumin, and dietary nitric oxide supplementation on human cardiovascular health. Nutr. Res. 2020, 78, 11–26. [Google Scholar] [CrossRef]
- Tomeh, M.A.; Hadianamrei, R.; Zhao, X. A review of curcumin and its derivatives as anticancer agents. Int. J. Mol. Sci. 2019, 20, 1033. [Google Scholar] [CrossRef] [PubMed] [Green Version]
- Fadus, M.C.; Lau, C.; Bikhchandani, J.; Lynch, H.T. Curcumin: An age-old anti-inflammatory and anti-neoplastic agent. J. Tradit. Complement. Med. 2017, 7, 339–346. [Google Scholar] [CrossRef] [PubMed] [Green Version]
- Roy, S.; Rhim, J.-W. Preparation of antimicrobial and antioxidant gelatin/curcumin composite films for active food packaging application. Colloids Surf. B 2020, 188, 110761. [Google Scholar] [CrossRef]
- Abdullah, M.M.; Al-Lohedan, H.A.; Faqihi, N.A. Efficacy of Curcumin-based amphiphilic ionic liquids towards the demulsification of water-in-heavy crude oil emulsions. Colloids Surf. A Physicochem. Eng. Asp. 2021, 628, 127320. [Google Scholar] [CrossRef]
- Wu, J.; Xu, Y.; Dabros, T.; Hamza, H. Development of a method for measurement of relative solubility of nonionic surfactants. Colloids Surf. A Physicochem. Eng. Asp. 2004, 232, 229–237. [Google Scholar] [CrossRef]
- Abdullah, M.M.; Al-Lohedan, H.A. Novel amphiphilic gemini ionic liquids based on consumed polyethylene terephthalate as demulsifiers for Arabian heavy crude oil. Fuel 2020, 266, 117057. [Google Scholar] [CrossRef]
- El Feky, A.A.; Shalaby, M.N.; El-Shamy, O.A.; Suzy, A. Surface activity and adsorption of some surfactants at aqueous/air interface at different temperatures. Int. J. Sci. Technol. Res. 2016, 5, 179–184. [Google Scholar]
- Sutherland, E.; Mercer, S.M.; Everist, M.; Leaist, D.G. Diffusion in solutions of micelles. What does dynamic light scattering measure? J. Chem. Eng. Data 2009, 54, 272–278. [Google Scholar] [CrossRef]
- Piroozian, A.; Hemmati, M.; Safari, M.; Rahimi, A.; Rahmani, O.; Aminpour, S.M.; Pour, A.B. A mechanistic understanding of the water-in-heavy oil emulsion viscosity variation: Effect of asphaltene and wax migration. Colloids Surf. A Physicochem. Eng. Asp. 2021, 608, 125604. [Google Scholar] [CrossRef]
- Xu, X.; Yang, J.; Gao, J. Effects of demulsifier structure on desalting efficiency of crude oils. Pet. Sci. Technol. 2006, 24, 673–688. [Google Scholar] [CrossRef]
- Abdulredha, M.M.; Aslina, H.S.; Luqman, C.A. Overview on petroleum emulsions, formation, influence and demulsification treatment techniques. Arab. J. Chem. 2020, 13, 3403–3428. [Google Scholar] [CrossRef]
- Wang, X.; Kalali, E.N.; Wang, D.-Y. Renewable cardanol-based surfactant modified layered double hydroxide as a flame retardant for epoxy resin. ACS Sustain. Chem. Eng. 2015, 3, 3281–3290. [Google Scholar] [CrossRef]















| AIL | Cmc (mM) | RSN (mL) | ||||||
|---|---|---|---|---|---|---|---|---|
| GCP-IL | 0.027 | 33.5 | 13.75 | 5.55 | 29.9 | −36.03 | −42.96 | 15.8 |
| GRB-IL | 0.028 | 36.9 | 11.93 | 4.81 | 34.5 | −35.94 | −43.23 | 16.4 |
| AIL | Concentration (ppm) | IFT (mN/m) |
|---|---|---|
| GCP-IL | 0 | 33.5 |
| 250 | 17.2 | |
| 500 | 11.8 | |
| 1000 | 5.6 | |
| GRB-IL | 0 | 33.5 |
| 250 | 19.5 | |
| 500 | 12.3 | |
| 1000 | 6.4 |
| Crude Oil/Brine Volumetric Ratio | |||||||
|---|---|---|---|---|---|---|---|
| AIL | Dosage (ppm) | 90/10 | 70/30 | 50/50 | |||
| DE (%) | Time (min) | DE (%) | Time (min) | DE (%) | Time (min) | ||
| GCP-IL | 250 | 100 | 360 | 87 | 300 | 92 | 240 |
| 500 | 100 | 320 | 93 | 280 | 92 | 260 | |
| 1000 | 100 | 280 | 100 | 220 | 96 | 180 | |
| GRB-IL | 250 | 90 | 420 | 80 | 460 | 68 | 360 |
| 500 | 96 | 400 | 87 | 460 | 72 | 360 | |
| 1000 | 100 | 370 | 93 | 420 | 96 | 300 | |
Publisher’s Note: MDPI stays neutral with regard to jurisdictional claims in published maps and institutional affiliations. |
© 2021 by the authors. Licensee MDPI, Basel, Switzerland. This article is an open access article distributed under the terms and conditions of the Creative Commons Attribution (CC BY) license (https://creativecommons.org/licenses/by/4.0/).
Share and Cite
Abdullah, M.M.S.; Al-Lohedan, H.A. Novel Bio-Based Amphiphilic Ionic Liquids for the Efficient Demulsification of Heavy Crude Oil Emulsions. Molecules 2021, 26, 6119. https://doi.org/10.3390/molecules26206119
Abdullah MMS, Al-Lohedan HA. Novel Bio-Based Amphiphilic Ionic Liquids for the Efficient Demulsification of Heavy Crude Oil Emulsions. Molecules. 2021; 26(20):6119. https://doi.org/10.3390/molecules26206119
Chicago/Turabian StyleAbdullah, Mahmood M. S., and Hamad A. Al-Lohedan. 2021. "Novel Bio-Based Amphiphilic Ionic Liquids for the Efficient Demulsification of Heavy Crude Oil Emulsions" Molecules 26, no. 20: 6119. https://doi.org/10.3390/molecules26206119
APA StyleAbdullah, M. M. S., & Al-Lohedan, H. A. (2021). Novel Bio-Based Amphiphilic Ionic Liquids for the Efficient Demulsification of Heavy Crude Oil Emulsions. Molecules, 26(20), 6119. https://doi.org/10.3390/molecules26206119

