Synthesis and Evaluation of a Dimeric RGD Peptide as a Preliminary Study for Radiotheranostics with Radiohalogens
Abstract
:1. Introduction
2. Results
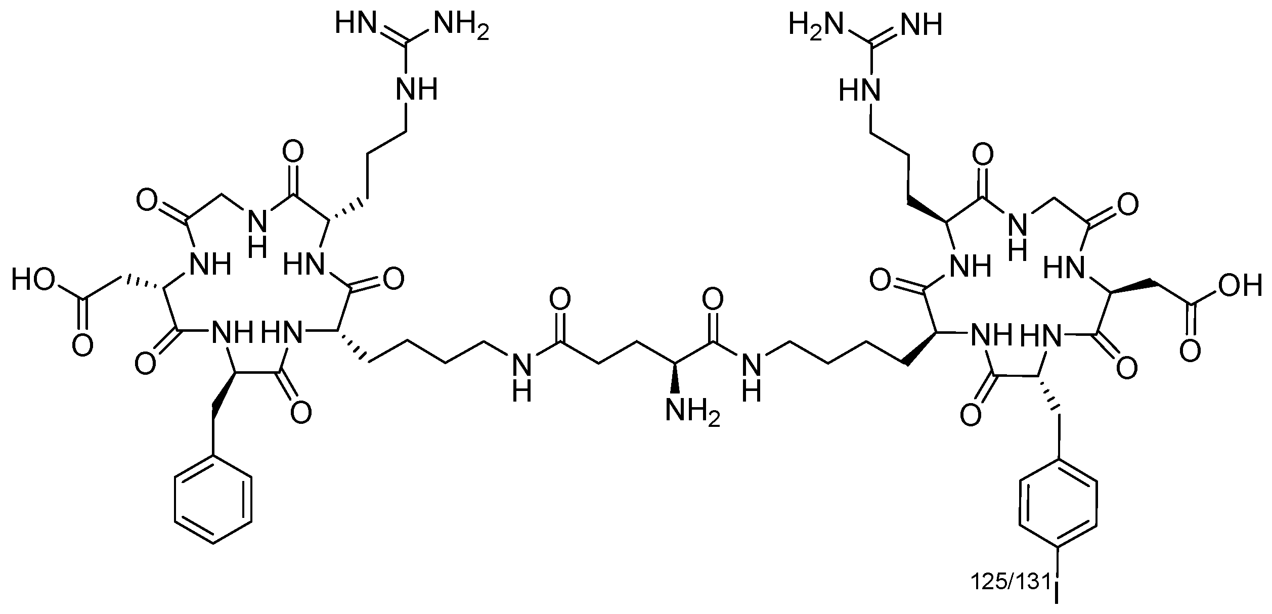
2.1. Preparation of [125/131I]6
2.2. αvβ3 Integrin Binding Assay
2.3. Determination of the Partition Coefficient
2.4. In Vitro Stability
2.5. Biodistribution Experiments
2.6. Radionuclide Therapy
3. Discussion
4. Materials and Methods
4.1. Materials
4.2. Synthesis of Reference Compounds and Radiolabeled Compounds
4.2.1. Preparation of c[R(Pbf)GD(OtBu)fK] (1) and c[R(Pbf)GD(OtBu)f(4-I)K] (2)
4.2.2. Preparation of Fmoc-E{c[R(Pbf)GD(OtBu)fK]}-OAll (3)
4.2.3. Preparation of Fmoc-E{c[R(Pbf)GD(OtBu)fK]}-OH (4)
4.2.4. Preparation of E{c[R(Pbf)GD(OtBu)fK)]{c[R(Pbf)GD(OtBu)f(4-I)K]} (5)
4.2.5. Preparation of E[c(RGDfK)]{c[RGDf(4-I)K]}2 (6)
4.2.6. Preparation of E{c[R(Pbf)GD(OtBu)fK)]{c[R(Pbf)GD(OtBu)f(4-SnBu3)K]} (7)
4.2.7. Preparation of E[c(RGDfK)]{[125I]c[RGDf(4-I)K]}2 ([125I]6)
4.2.8. Preparation of E[c(RGDfK)]{[131I]c[RGDf(4-I)K]}2 ([131I]6)
4.3. αvβ3 Integrin Binding Assay
4.4. Determination of the Partition Coefficient
4.5. In Vitro Stability
4.6. Biodistribution of E[c(RGDfK)]{[125I]c[RGDf(4-I)K]}2 ([125I]6) in Tumor-Bearing Mice
4.7. Radionuclide Therapy
4.8. Statistical Evaluation
5. Conclusions
Supplementary Materials
Author Contributions
Funding
Institutional Review Board Statement
Conflicts of Interest
Sample Availability
References
- Kelkar, S.S.; Reineke, T.M. Theranostics: Combining imaging and therapy. Bioconjug. Chem. 2011, 22, 1879–1903. [Google Scholar] [CrossRef]
- Herrmann, K.; Schwaiger, M.; Lewis, J.S.; Solomon, S.B.; McNeil, B.J.; Baumann, M.; Gambhir, S.S.; Hricak, H.; Weissleder, R. Radiotheranostics: A roadmap for future development. Lancet Oncol. 2020, 21, e146–e156. [Google Scholar] [CrossRef]
- Ogawa, K. Development of diagnostic and therapeutic probes with controlled pharmacokinetics for use in radiotheranostics. Chem. Pharm. Bull. 2019, 67, 897–903. [Google Scholar] [CrossRef]
- Mishiro, K.; Hanaoka, H.; Yamaguchi, A.; Ogawa, K. Radiotheranostics with radiolanthanides: Design, development strategies, and medical applications. Coord. Chem. Rev. 2019, 383, 104–131. [Google Scholar] [CrossRef]
- Targeted Alpha Therapy Working Group; Parker, C.; Lewington, V.; Shore, N.; Kratochwil, C.; Levy, M.; Linden, O.; Noordzij, W.; Park, J.; Saad, F. Targeted alpha therapy, an emerging class of cancer agents: A review. JAMA Oncol. 2018, 4, 1765–1772. [Google Scholar]
- Zalutsky, M.R.; Pruszynski, M. Astatine-211: Production and availability. Curr. Radiopharm. 2011, 4, 177–185. [Google Scholar] [CrossRef]
- Lindegren, S.; Albertsson, P.; Back, T.; Jensen, H.; Palm, S.; Aneheim, E. Realizing Clinical trials with astatine-211: The chemistry infrastructure. Cancer Biother. Radiopharm. 2020, 35, 425–436. [Google Scholar] [CrossRef] [Green Version]
- Ogawa, K.; Takeda, T.; Mishiro, K.; Toyoshima, A.; Shiba, K.; Yoshimura, T.; Shinohara, A.; Kinuya, S.; Odani, A. Radiotheranostics coupled between an At-211-labeled RGD peptide and the corresponding radioiodine-labeled RGD peptide. ACS Omega 2019, 4, 4584–4591. [Google Scholar] [CrossRef] [Green Version]
- Janssen, M.; Oyen, W.J.; Massuger, L.F.; Frielink, C.; Dijkgraaf, I.; Edwards, D.S.; Radjopadhye, M.; Corstens, F.H.; Boerman, O.C. Comparison of a monomeric and dimeric radiolabeled RGD-peptide for tumor targeting. Cancer Biother. Radiopharm. 2002, 17, 641–646. [Google Scholar] [CrossRef]
- Ogawa, K.; Mizuno, Y.; Washiyama, K.; Shiba, K.; Takahashi, N.; Kozaka, T.; Watanabe, S.; Shinohara, A.; Odani, A. Preparation and evaluation of an astatine-211-labeled sigma receptor ligand for alpha radionuclide therapy. Nucl. Med. Biol. 2015, 42, 875–879. [Google Scholar] [CrossRef]
- Ogawa, K.; Echigo, H.; Mishiro, K.; Hirata, S.; Washiyama, K.; Kitamura, Y.; Takahashi, K.; Shiba, K.; Kinuya, S. 68Ga- and 211At-Labeled RGD peptides for radiotheranostics with multiradionuclides. Mol. Pharm. 2021, 18, 3553–3562. [Google Scholar] [CrossRef] [PubMed]
- Singh, B.; Fu, C.; Bhattacharya, J. Vascular expression of the αvβ3-integrin in lung and other organs. Am. J. Physiol. Lung Cell. Mol. Physiol. 2000, 278, L217–L226. [Google Scholar] [CrossRef] [PubMed] [Green Version]
- Ogawa, K.; Masuda, R.; Mishiro, K.; Wang, M.; Kozaka, T.; Shiba, K.; Kinuya, S.; Odani, A. Syntheses and evaluation of a homologous series of aza-vesamicol as improved radioiodine-labeled probes for sigma-1 receptor imaging. Bioorg. Med. Chem. 2019, 27, 1990–1996. [Google Scholar] [CrossRef] [PubMed]
- Effendi, N.; Ogawa, K.; Mishiro, K.; Takarada, T.; Yamada, D.; Kitamura, Y.; Shiba, K.; Maeda, T.; Odani, A. Synthesis and evaluation of radioiodinated 1-{2-[5-(2-methoxyethoxy)-1H-benzo[d]imidazol-1-yl]quinolin-8-yl}piperidin-4-amin e derivatives for platelet-derived growth factor receptor beta (PDGFRbeta) imaging. Bioorg. Med. Chem. 2017, 25, 5576–5585. [Google Scholar] [CrossRef] [Green Version]
- Sakamoto, K.; Nagashima, Y.; Wang, C.; Miyamoto, K.; Tanaka, K.; Uchiyama, M. Illuminating stannylation. J. Am. Chem. Soc. 2021, 143, 5629–5635. [Google Scholar] [CrossRef]
- Dijkgraaf, I.; Yim, C.B.; Franssen, G.M.; Schuit, R.C.; Luurtsema, G.; Liu, S.; Oyen, W.J.; Boerman, O.C. PET imaging of alphavbeta3 integrin expression in tumours with 68Ga-labelled mono-, di- and tetrameric RGD peptides. Eur. J. Nucl. Med. Mol. Imaging 2011, 38, 128–137. [Google Scholar] [CrossRef] [Green Version]
- Wu, Z.; Li, Z.B.; Chen, K.; Cai, W.; He, L.; Chin, F.T.; Li, F.; Chen, X. microPET of tumor integrin alphavbeta3 expression using 18F-labeled PEGylated tetrameric RGD peptide (18F-FPRGD4). J. Nucl. Med. 2007, 48, 1536–1544. [Google Scholar] [CrossRef]
- Wang, L.; Shi, J.; Kim, Y.S.; Zhai, S.; Jia, B.; Zhao, H.; Liu, Z.; Wang, F.; Chen, X.; Liu, S. Improving tumor-targeting capability and pharmacokinetics of 99mTc-labeled cyclic RGD dimers with PEG4 linkers. Mol. Pharm. 2009, 6, 231–245. [Google Scholar] [CrossRef] [Green Version]
- Yoshimoto, M.; Ogawa, K.; Washiyama, K.; Shikano, N.; Mori, H.; Amano, R.; Kawai, K. αvβ3 Integrin-targeting radionuclide therapy and imaging with monomeric RGD peptide. Int. J. Cancer 2008, 123, 709–715. [Google Scholar] [CrossRef]
- Zhao, L.; Chen, H.; Guo, Z.; Fu, K.; Yao, L.; Fu, L.; Guo, W.; Wen, X.; Jacobson, O.; Zhang, X.; et al. Targeted radionuclide therapy in patient-derived xenografts using 177Lu-EB-RGD. Mol. Cancer Ther. 2020, 19, 2034–2043. [Google Scholar] [CrossRef]
- Byk, G.; Cohen-Ohana, M.; Raichman, D. Fast and versatile microwave-assisted intramolecular Heck reaction in peptide macrocyclization using microwave energy. Biopolymers 2006, 84, 274–282. [Google Scholar] [CrossRef]
- Ogawa, K.; Yu, J.; Ishizaki, A.; Yokokawa, M.; Kitamura, M.; Kitamura, Y.; Shiba, K.; Odani, A. Radiogallium complex-conjugated bifunctional peptides for detecting primary cancer and bone metastases simultaneously. Bioconjug. Chem. 2015, 26, 1561–1570. [Google Scholar] [CrossRef]
- Ogawa, K.; Takeda, T.; Yokokawa, M.; Yu, J.; Makino, A.; Kiyono, Y.; Shiba, K.; Kinuya, S.; Odani, A. Comparison of radioiodine- or radiobromine-labeled RGD peptides between direct and indirect labeling methods. Chem. Pharm. Bull. 2018, 66, 651–659. [Google Scholar] [CrossRef]
- Mizuno, Y.; Uehara, T.; Hanaoka, H.; Endo, Y.; Jen, C.W.; Arano, Y. Purification-Free Method for Preparing Technetium-99m-labeled multivalent probes for enhanced in vivo imaging of saturable systems. J. Med. Chem. 2016, 59, 3331–3339. [Google Scholar] [CrossRef]
- Ogawa, K.; Mukai, T.; Arano, Y.; Otaka, A.; Ueda, M.; Uehara, T.; Magata, Y.; Hashimoto, K.; Saji, H. Rhenium-186-monoaminemonoamidedithiol-conjugated bisphosphonate derivatives for bone pain palliation. Nucl. Med. Biol. 2006, 33, 513–520. [Google Scholar] [CrossRef]
- Zhou, Y.; Kim, Y.S.; Chakraborty, S.; Shi, J.; Gao, H.; Liu, S. 99mTc-labeled cyclic RGD peptides for noninvasive monitoring of tumor integrin αvβ3 expression. Mol. Imaging 2011, 10, 386–397. [Google Scholar] [CrossRef] [PubMed]






Publisher’s Note: MDPI stays neutral with regard to jurisdictional claims in published maps and institutional affiliations. |
© 2021 by the authors. Licensee MDPI, Basel, Switzerland. This article is an open access article distributed under the terms and conditions of the Creative Commons Attribution (CC BY) license (https://creativecommons.org/licenses/by/4.0/).
Share and Cite
Echigo, H.; Mishiro, K.; Fuchigami, T.; Shiba, K.; Kinuya, S.; Ogawa, K. Synthesis and Evaluation of a Dimeric RGD Peptide as a Preliminary Study for Radiotheranostics with Radiohalogens. Molecules 2021, 26, 6107. https://doi.org/10.3390/molecules26206107
Echigo H, Mishiro K, Fuchigami T, Shiba K, Kinuya S, Ogawa K. Synthesis and Evaluation of a Dimeric RGD Peptide as a Preliminary Study for Radiotheranostics with Radiohalogens. Molecules. 2021; 26(20):6107. https://doi.org/10.3390/molecules26206107
Chicago/Turabian StyleEchigo, Hiroaki, Kenji Mishiro, Takeshi Fuchigami, Kazuhiro Shiba, Seigo Kinuya, and Kazuma Ogawa. 2021. "Synthesis and Evaluation of a Dimeric RGD Peptide as a Preliminary Study for Radiotheranostics with Radiohalogens" Molecules 26, no. 20: 6107. https://doi.org/10.3390/molecules26206107
APA StyleEchigo, H., Mishiro, K., Fuchigami, T., Shiba, K., Kinuya, S., & Ogawa, K. (2021). Synthesis and Evaluation of a Dimeric RGD Peptide as a Preliminary Study for Radiotheranostics with Radiohalogens. Molecules, 26(20), 6107. https://doi.org/10.3390/molecules26206107

