Aurones and Flavonols from Coreopsis lanceolata L. Flowers and Their Anti-Oxidant, Pro-Inflammatory Inhibition Effects, and Recovery Effects on Alloxan-Induced Pancreatic Islets in Zebrafish
Abstract
1. Introduction
2. Results and Discussion
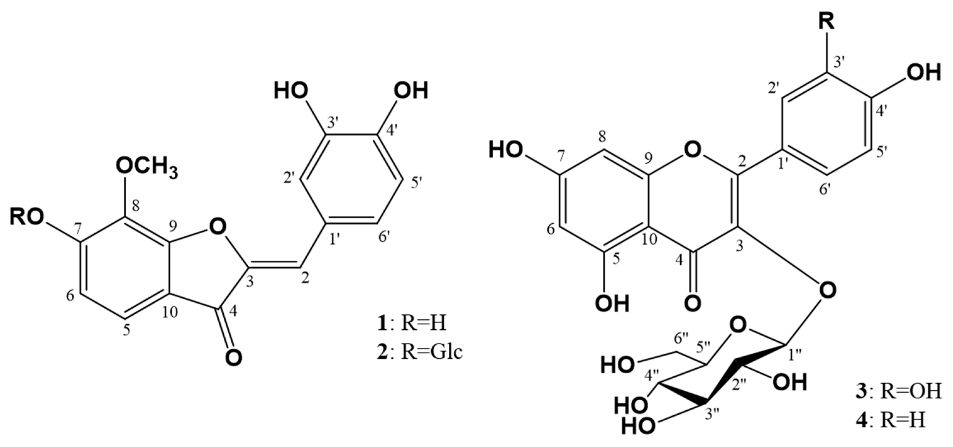
2.1. Structure Elucidation
2.2. Quantitative Analysis of Compounds 1–4 Using HPLC
2.3. Radical Scavenging Assays for Extract, Solvent Fractions, and Flavonoids 1–4 Using DPPH and ABTS
2.4. Inhibition Effects of Compounds 1–4 on Intracellular Oxidative Stress in PC-12, HepG2, Caco-2, and RAW264.7 Cells
2.5. Inhibition Effects of Extract, Solvent Fractions, and Flavonoids 1–4 on NO formation in RAW 264.7 Macrophages
2.5.1. Cytotoxicity for Extract, Fractions, and Flavonoids 1–4 in RAW 264.7 Macrophages
2.5.2. Inhibition Effects of Extract, Solvent Fractions, and Flavonoids 1–4 on NO formation in RAW 264.7 Macrophages
2.6. Effects of Ethyl Acetate Fraction (CLFE), and Flavonoids 1–4 on Levels of Tumor Necrosis Factor (TNF)-α, Interleukin (IL)-1β, and Interleukin (IL)-6 in LPS-Stimulated RAW264.7 Cells
2.7. Inhibition Effects of Extract, Solvent Fractions, and Flavonoids 1–4 on Expression of iNOS and COX-2 in RAW264.7 Cells
2.8. Protective Effects of Extract, Solvent Fractions, and Flavonoids 1–4 on Pancreatic Islets (PI) in Zebrafish Treated by Alloxan
2.9. Action of Diazoxide (DZ) on Alloxan-Induced PIs in Zebrafish
3. Materials and Methods
3.1. Plant Materials
3.2. General Experimental Procedures
3.3. Extraciton and Isolation
3.4. Quantitative Analysis of Flavonoids 1–4 Using HPLC
3.5. Antioxidant Activities
3.5.1. Free Radical Scavenging Activity
3.5.2. Cell Culture and Cytotoxicity Assessment
3.5.3. Measurement of Intracellular Oxidative Stress
3.6. Pro-Inflammatory Inhibition Activities
3.6.1. Determination of NO Production
3.6.2. Assays for IL-1β, IL-6, and TNF-α
3.6.3. Western Blot Analysis for Protein Expression
3.7. Antidiabetic Activity
3.7.1. Chemicals and Animals
3.7.2. Animals
3.7.3. Ethics Statement
3.7.4. Evaluation of Recovery Efficacy on Pancreatic Islet Damaged by Alloxan in Zebrafish
3.7.5. Action of Diazoxide on Alloxan-Induced Diabetic Zebrafish
3.8. Statistical Anlaysis
4. Conclusions
Supplementary Materials
Author Contributions
Funding
Institutional Review Board Statement
Informed Consent Statement
Data Availability Statement
Acknowledgments
Conflicts of Interest
Sample Availability
References
- Kim, S.G.; Choi, D.S. Epidemiology and current status of diabetes in Korea. Hanyang Med. Rev. 2009, 29, 122–129. [Google Scholar]
- Akhtar, K.; Shah, S.W.A.; Shah, A.A.; Shoaib, M.; Haleem, S.K.; Sultana, N. Pharmacological effect of Rubus ulmifolius Schott as antihyperglycemic and antihyperlipidemic on streptozotocin (STZ)-induced albino mice. Appl. Biol. Chem. 2017, 60, 411–418. [Google Scholar] [CrossRef]
- Kerner, W.; Brückel, J. German Diabetes Association. Definition, classification and diagnosis of diabetes mellitus. Exp. Clin. Endocrinol. Diabetes 2014, 122, 384–386. [Google Scholar]
- Petersmann, A.; Müller-Wieland, D.; Müller, U.A.; Landgraf, R.; Nauck, M.; Freckmann, G.; Heinemann, L.; Schleicher, E. Definition, Classification and diagnosis of diabetes mellitus. Exp. Clin. Endocrinol. Diabetes 2019, 127, S1–S7. [Google Scholar] [CrossRef]
- Gillespie, K.M. Type 1 diabetes: Pathogenesis and prevention. CMAJ. 2006, 175, 165–170. [Google Scholar] [CrossRef]
- Romero Aroca, P.; Mendez Marin, I.; Baqet Bermaldiz, M.; Fernendez Ballart, J.; Santos Blanco, E.I. Review of the relationship between renal and retinal microangiopathy in diabetes mellitus patients. Curr. Diabet. Rev. 2010, 6, 88–101. [Google Scholar] [CrossRef] [PubMed]
- Toeller, M. Diet therapy of diabetes mellitus. Fortschr. Med. 1991, 109, 41–42, 45. [Google Scholar] [PubMed]
- Koivisto, V.A. Insulin therapy in type II diabetes. Diabet. Care 1993, 3 (Suppl. 16), 29–39. [Google Scholar] [CrossRef]
- Derosa, G.; Maffioli, P. α-Glucosidase inhibitors and their use in clinical practice. Arch. Med. Sci. 2012, 8, 899–906. [Google Scholar] [CrossRef]
- Standl, E.; Schnell, O. Alpha-glucosidase inhibitors 2012—Cardiovascular considerations and trial evaluation. Diab. Vasc. Dis. Res. 2012, 9, 163–169. [Google Scholar] [CrossRef]
- Seghrouchni, I.; Drai, J.; Bannier, E.; Rivière, J.; Calmard, P.; Garcia, I.; Orgiazzi, J.; Revol, A. Oxidative stress parameters in type I, type II and insulin-treated type 2 diabetes mellitus; insulin treatment efficiency. Clin. Chim. Acta 2002, 321, 89–96. [Google Scholar] [CrossRef]
- Solinas, G.; Vilcu, C.; Nells, J.G.; Bandyopadhyay, G.K.; Luo, J.L.; Naugler, W.; Grivennikov, S.; Wynshaw-Boris, A.; Scadeng, M.; Olefsky, J.M.; et al. JNK1 in hematopoietically derived cells contributes to diet-induced inflammation and insulin resistance without affecting obesity. Cell Metab. 2007, 6, 386–397. [Google Scholar] [CrossRef]
- Vascotto, S.G.; Beckham, Y.; Kelly, G.M. The zebrafish’s swim to fame as an experimental model in biology. Biochem. Cell Biol. 1997, 75, 479–485. [Google Scholar] [CrossRef]
- Parng, C.; Seng, W.L.; Semino, C.; McGrath, P.I. Zebrafish: A preclinical model for drug screening. Assay Drug Dev. Technol. 2002, 1, 41–48. [Google Scholar] [CrossRef] [PubMed]
- Spence, R.; Gerlach, G.; Lawrence, C.; Smith, C. The behaviour and ecology of the zebrafish, Danio rerio. Biol. Rev. 2008, 83, 13–34. [Google Scholar] [CrossRef]
- Paciorek, T.; Mcrobert, S. Daily variation in the shoaling behaviour of zebrafish Danio rerio. Curr. Zool. 2012, 58, 129–137. [Google Scholar] [CrossRef]
- Tanimoto, S.; Miyazawa, M.; Inoue, T.; Okada, Y.; Nomura, M. Chemical constituents of Coreopsis lanceolata L. and their physiological activities. J. Oleo. Sci. 2009, 58, 141–146. [Google Scholar] [CrossRef] [PubMed]
- Shao, D.; Zheng, D.; Hu, R.; Chen, W.; Chen, D.; Zhuo, X. Chemical constituents from Coreopsis lanceolata. Zhongcaoyao 2013, 44, 1558–1561. [Google Scholar]
- Pardede, A.; Mashita, K.; Ninomiya, M.; Tanaka, K.; Koketsu, M. Flavonoid profile and antileukemic activity of Coreopsis lanceolata flowers. Bioorg. Med. Chem. Lett. 2016, 26, 2784–2787. [Google Scholar] [CrossRef] [PubMed]
- Kimura, Y.; Hiraoka, K.; Kawano, T.; Fujioka, S.; Shimada, A. Nematicidal activities of acetylene compounds from Coreopsis lanceolata L. J. Biosci. 2008, 63, 843–847. [Google Scholar] [CrossRef]
- Shang, Y.F.; Oidovsambuu, S.; Jeon, J.S.; Nho, C.W.; Um, B.H. Chalcones from the flowers of Coreopsis lanceolata and their in vitro antioxidative activity. Planta Med. 2013, 79, 295–300. [Google Scholar] [CrossRef]
- Heyl Frederick, W. The yellow coloring substances of ragweed pollen. J. Am. Chem. Soc. 1919, 41, 1285–1289. [Google Scholar] [CrossRef][Green Version]
- Nakabayashi, T. Thiamine-decomposing activity of flavonoid pigments of Pteridium aquilinum. Bitamin 1955, 8, 410–414. [Google Scholar]
- Okada, Y.; Okita, M.; Murai, Y.; Okano, Y.; Nomura, M. Isolation and identification of flavonoids from Coreopsis lanceolata L. petals. Nat. Prod. Res. 2014, 28, 201–204. [Google Scholar] [CrossRef]
- Nigam, S.S.; Saxena, V.K. Isolation and study of the aurone glycoside leptosin from the leaves of Flemengia strobilifera. Planta Med. 1975, 27, 98–100. [Google Scholar] [CrossRef]
- Geissman, T.A.; Heaton, C.D. Anthochlor pigments. IV. The pigments of Coreopsis grandiflora Nutt. 1. J. Am. Chem. Soc. 1943, 65, 677–683. [Google Scholar] [CrossRef]
- Kim, H.G.; Jung, Y.S.; Oh, S.M.; Oh, H.J.; Ko, J.H.; Kim, D.O.; Kang, S.C.; Lee, Y.G.; Lee, D.Y.; Baek, N.I. Coreolanceolins A–E, new flavanones from the flowers of Coreopsis lanceolate, and their antioxidant and anti-inflammatory effects. Antioxidants 2020, 9, 539. [Google Scholar] [CrossRef]
- Aniya, Y.; Naito, A. Oxidative stress-induced activation of microsomal glutathione S-transferase in isolated rat liver. Biochem. Pharmacol. 1993, 45, 37–42. [Google Scholar] [PubMed]
- Beckman, K.B.; Ames, B.N. The free radical theory of aging matures. Physiol. Rev. 1998, 78, 547–581. [Google Scholar] [CrossRef] [PubMed]
- Fang, Y.; Cao, W.; Xia, M.; Pan, S.; Xu, X. Study of structure and permeability relationship of flavonoids in Caco-2 cells. Nutrients 2017, 9, 1301. [Google Scholar] [CrossRef] [PubMed]
- Fang, Y.; Liang, F.; Liu, K.; Qaiser, S.; Pan, S.; Xu, X. Structure characteristics for intestinal uptake of flavonoids in Caco-2 cells. Food Res. Int. 2018, 105, 353–360. [Google Scholar] [CrossRef]
- Rice-Evans, A.C.; Miller, J.N.; Paganga, G. Structure-antioxidant activity relationships of flavonoids and phenolic acids. Free Radic. Biol. Med. 1996, 20, 933–956. [Google Scholar] [CrossRef]
- Stuehr, D.J.; Marletta, M.A. Mammalian nitrate biosynthesis: Mouse macrophages produce nitrite and nitrate in response to Escherichia coli lipopolysaccharide. Proc. Natl. Acad. Sci. USA 1985, 82, 7738–7742. [Google Scholar] [CrossRef]
- Stichtenoth, D.O.; Frolich, J.C. Nitric oxide and inflammatory joint diseases. Br. J. Rheumatol. 1998, 37, 246–257. [Google Scholar] [CrossRef]
- Bors, W.; Heller, W.; Michel, C.; Saran, M. Flavonoids as antioxidants: Determination of radical-scavenging efficiencies. Methods Enzymol. 1990, 186, 343–354. [Google Scholar]
- Bal-Price, A.; Matthias, A.; Brown, G.C. Stimulation of the NADPH oxidase in activated rat microglia removes nitric oxide but induces peroxynitrite production. J. Neurochem. 2002, 80, 73–80. [Google Scholar] [CrossRef] [PubMed]
- Salvemini, D.; Misko, T.P.; Masferrer, J.L.; Seibert, K.; Currie, M.G.; Needleman, P. Nitric oxide activates cyclooxygenase enzymes. Proc. Natl. Acad. Sci. USA 1993, 90, 7240–7244. [Google Scholar] [CrossRef]
- Zheng, L.T.; Ryu, G.M.; Kwon, B.M.; Lee, W.H.; Suk, K. Anti-inflammatory effects of catechols in lipopolysaccharide-stimulated microglia cells: Inhibition of microglial neurotoxicity. Eur. J. Pharmacol. 2008, 588, 106–113. [Google Scholar] [CrossRef] [PubMed]
- Elo, B.; Villano, C.M.; Govorko, D.; White, L.A. Larval zebrafish as a model for glucose metabolism: Expression of phosphoenolpyruvate carboxykinase as a marker for exposure to anti-diabetic compounds. J. Mol. Endocrinol. 2007, 38, 433–440. [Google Scholar] [CrossRef] [PubMed]
- Seo, K.H.; Nam, Y.H.; Lee, D.Y.; Ahn, E.M.; Kang, T.H.; Baek, N.I. Recovery effect of phenylpropanoid glycosides from Magnolia obovate fruit on alloxan-induced pancreatic islet damage in zebrafish (Danio rerio). Carbohydr. Res. 2015, 416, 70–74. [Google Scholar] [CrossRef]
- Desgraz, R.; Bonal, C.; Herrera, P.L. β-Cell regeneration: The pancreatic intrinsic faculty. Trends Endocrinol. Metab. 2011, 22, 34–43. [Google Scholar] [CrossRef]
- Miki, T.; Nagashima, K.; Seino, S. The structure and function of the ATP-sensitive K+ channel in insulin-secreting pancreatic β-cells. J. Mol. Endocrinol. 1999, 22, 113–123. [Google Scholar] [CrossRef] [PubMed]
- Kim, D.O.; Lee, K.W.; Lee, H.J.; Lee, C.Y. Vitamin C equivalent antioxidant capacity (VCEAC) of phenolic phytochemicals. J. Agric. Food Chem. 2002, 50, 3713–3717. [Google Scholar] [CrossRef] [PubMed]
- Brand-Williams, W.; Cuvelier, M.E.; Berset, C. Use of free radical method to evaluate antioxidant activity. LWT-Food Sci. Technol. 1995, 28, 25–30. [Google Scholar] [CrossRef]
- Lim, J.S.; Hahn, D.; Gu, M.J.; Oh, J.; Lee, J.S.; Kim, J.S. Anti-inflammatory and antioxidant effects of 2,7-dihydroxy-4, 6-dimethoxy phenanthrene isolated from Dioscorea batatas Decne. Appl. Biol. Chem. 2019, 62, 29. [Google Scholar] [CrossRef]
- Wang, H.; Joseph, J.A. Quantifying cellular oxidative stress by dichlorofluorescein assay using microplate reader. Free Radic. Biol. Med. 1999, 27, 612–616. [Google Scholar] [CrossRef]
- Choi, B.R.; Kim, H.G.; Ko, W.; Dong, L.; Yoon, D.; Oh, S.M.; Lee, Y.S.; Lee, D.S.; Baek, N.I.; Lee, D.Y. Noble 3,4-Seco-triterpenoid glycosides from the fruits of Acanthopanax sessiliflorus and their anti-neuroinflammatory effects. Antioxidants 2021, 10, 1334. [Google Scholar] [CrossRef]
- Nam, Y.H.; Hong, B.N.; Rodriguez, I.; Park, M.S.; Jeong, S.Y.; Lee, Y.G.; Shim, J.H.; Yasmin, T.; Kim, N.W.; Koo, Y.T.; et al. Steamed ginger may enhance insulin secretion through KATP channel closure in pancreatic β-Cells potentially by increasing 1-dehydro-6-gingerdione content. Nutrients 2020, 12, 324. [Google Scholar] [CrossRef] [PubMed]
- Ko, J.H.; Rodriguez, I.; Joo, S.W.; Kim, H.G.; Lee, Y.G.; Kang, T.H.; Baek, N.I. Synergistic effect of two major components of Malva verticillata in the recovery of alloxan-damaged pancreatic islet cells in zebrafish. J. Med. Food 2019, 22, 196–201. [Google Scholar] [CrossRef] [PubMed]
- Ko, J.H.; Nam, Y.H.; Joo, S.W.; Kim, H.G.; Lee, Y.G.; Kang, T.H.; Baek, N.I. Flavonoid 8-O-glucuronides from the aerial parts of Malva verticillata and their recovery effects on alloxan-induced pancreatic islets in zebrafish. Molecules 2018, 23, 833. [Google Scholar] [CrossRef]









| Flavonoids | RT 1 | Regression Equation | r2 | C 2 |
|---|---|---|---|---|
| 1 | 35.72 | y = 31643x + 25702 | 0.9995 | 2.8 ± 0.3 |
| 2 | 17.53 | y = 2369.8x + 680.75 | 0.9998 | 18.0 ± 0.9 |
| 3 | 16.80 | y = 7887x − 61048 | 0.9990 | 3.0 ± 0.2 |
| 4 | 19.48 | y = 1620.4x − 10101 | 0.9991 | 10.9 ± 0.9 |
| Samples | DPPH Radical (mg VCE/100g DW) 1 | ABTS Radical (mg VCE/100g DW) 1 |
|---|---|---|
| 1 | 82.5 ± 5.3 a2 | 1084.4 ± 0.3 a |
| 2 | 38.7 ± 3.2 b | 551.7 ± 0.8 b |
| 3 | 22.7 ± 1.9 d | 439.2 ± 0.5 c |
| 4 | 18.9 ± 2.0 e | 306.5 ± 0.2 d |
| CLF | 18.8 ± 0.8 e | 306.4 ± 0.3 d |
| CLFE | 32.8 ± 1.6 c | 549.9 ± 2.0 b |
| CLFB | 12.2 ± 2.1 f | 223.1 ± 0.7 e |
| CLFW | 6.5 ± 0.6 g | 189.4 ± 0.1 f |
| Comp.1 | Crystals Characteristics | m.p. (°C) | [α]D 2 | FAB/MS 3 | IR 4 |
|---|---|---|---|---|---|
| 1 | Red amorphous powder | 252−254 | - | 301 [M + H]+ | 3366, 1661, 1604 |
| 2 | Red amorphous powder | 229−231 | −62.3° | 463 [M + H]+ | 3360, 1659, 1617 |
| 3 | Yellow amorphous powder | 230−233 | −66.2° | 465 [M + H]+ | 3366, 1660, 1607, 1501 |
| 4 | Yellow amorphous powder | 218−220 | −69.9° | 449 [M + H]+ | 3364, 1656, 1607, 1506 |
| No. of H | 1 a | 2 b | 3 c | 4 c |
|---|---|---|---|---|
| 2 | 6.70, s | 6.70, s | - | - |
| 5 | 7.33, d, 9.0 | 7.41, d, 8.4 | - | - |
| 6 | 6.72, d, 9.0 | 7.09, d, 8.4 | 6.24, br. s | 6.69, br. s |
| 8 | - | - | 6.32, br. s | 6.71, br. s |
| 2′ | 7.46, d, 1.2 | 7.45, d, 1.2 | 7.70, br. s | 8.45, d, 8.8 |
| 3′ | - | - | - | 7.19, d, 8.8 |
| 5′ | 6.83, d, 8.4 | 7.10, d, 8.0 | 6.88, d, 8.0 | 7.19, d, 8.8 |
| 6′ | 7.26, dd, 8.4, 1.2 | 7.26, dd, 8.0, 1.2 | 7.57, br. d, 8.0 | 8.45, d, 8.8 |
| 8-OCH3 | 4.18, s | 4.12, s | - | - |
| 1″ | - | 5.10, d, 7.0 | 5.18, d, 7.0 | 6.21, d, 7.0 |
| 2″ | - | 3.57, dd, 7.0, 7.0 | 3.55, dd, 7.0, 7.0 | 4.20 # |
| 3″ | - | 3.50 # | 3.49, dd, 7.0, 7.0 | 4.19 # |
| 4″ | - | 3.45, dd, 7.0, 7.0 | 3.43 # | 4.01, dd, 7.0, 7.0 |
| 5″ | - | 3.49 # | 3.47 # | 4.18 # |
| 6″ | - | 3.92, dd, 12.0, 1.2 3.75, dd, 12.0, 5.2 | 3.98, br. d, 12.0 3.84, dd, 12.0, 5.6 | 4.35, br. d, 12.0 4.21, dd, 12.0, 5.6 |
| No. of C | 1 a | 2 b | 3 c | 4 c |
|---|---|---|---|---|
| 2 | 115.23 | 115.81 | 158.91 | 161.25 |
| 3 | 147.62 | 147.09 | 135.66 | 135.64 |
| 4 | 184.64 | 184.73 | 179.32 | 181.33 |
| 5 | 120.81 | 120.11 | 160.17 | 157.21 |
| 6 | 114.70 | 113.78 | 96.75 | 94.16 |
| 7 | 159.62 | 158.11 | 165.98 | 166.01 |
| 8 | 133.94 | 136.17 | 98.52 | 99.46 |
| 9 | 159.92 | 159.42 | 159.95 | 165.52 |
| 10 | 114.87 | 115.55 | 105.66 | 103.71 |
| 8-OCH3 | 61.72 | 61.88 | - | - |
| 1′ | 125.63 | 125.82 | 123.23 | 121.62 |
| 2′ | 119.26 | 118.97 | 115.99 | 131.44 |
| 3′ | 146.89 | 146.92 | 145.82 | 115.63 |
| 4′ | 149.71 | 149.87 | 150.00 | 164.17 |
| 5′ | 116.78 | 116.61 | 117.60 | 115.59 |
| 6′ | 126.42 | 126.75 | 123.21 | 131.41 |
| 1″ | - | 102.54 | 105.64 | 106.12 |
| 2″ | - | 74.79 | 75.13 | 75.69 |
| 3″ | - | 78.45 | 78.35 | 78.56 |
| 4″ | - | 71.23 | 71.11 | 71.31 |
| 5″ | - | 77.91 | 78.00 | 78.01 |
| 6″ | - | 62.42 | 62.37 | 62.36 |
| Time (min) | Flow rate (mL/min) | Solvent A (%) | Solvent B (%) |
|---|---|---|---|
| 0 | 1 | 95 | 5 |
| 3 | 1 | 95 | 5 |
| 6 | 1 | 85 | 15 |
| 12 | 1 | 80 | 20 |
| 35 | 1 | 80 | 20 |
| 37 | 1 | 10 | 90 |
| 40 | 1 | 95 | 5 |
| 45 | 1 | 95 | 5 |
Publisher’s Note: MDPI stays neutral with regard to jurisdictional claims in published maps and institutional affiliations. |
© 2021 by the authors. Licensee MDPI, Basel, Switzerland. This article is an open access article distributed under the terms and conditions of the Creative Commons Attribution (CC BY) license (https://creativecommons.org/licenses/by/4.0/).
Share and Cite
Kim, H.-G.; Nam, Y.H.; Jung, Y.S.; Oh, S.M.; Nguyen, T.N.; Lee, M.-H.; Kim, D.-O.; Kang, T.H.; Lee, D.Y.; Baek, N.-I. Aurones and Flavonols from Coreopsis lanceolata L. Flowers and Their Anti-Oxidant, Pro-Inflammatory Inhibition Effects, and Recovery Effects on Alloxan-Induced Pancreatic Islets in Zebrafish. Molecules 2021, 26, 6098. https://doi.org/10.3390/molecules26206098
Kim H-G, Nam YH, Jung YS, Oh SM, Nguyen TN, Lee M-H, Kim D-O, Kang TH, Lee DY, Baek N-I. Aurones and Flavonols from Coreopsis lanceolata L. Flowers and Their Anti-Oxidant, Pro-Inflammatory Inhibition Effects, and Recovery Effects on Alloxan-Induced Pancreatic Islets in Zebrafish. Molecules. 2021; 26(20):6098. https://doi.org/10.3390/molecules26206098
Chicago/Turabian StyleKim, Hyoung-Geun, Youn Hee Nam, Young Sung Jung, Seon Min Oh, Trong Nguyen Nguyen, Min-Ho Lee, Dae-Ok Kim, Tong Ho Kang, Dae Young Lee, and Nam-In Baek. 2021. "Aurones and Flavonols from Coreopsis lanceolata L. Flowers and Their Anti-Oxidant, Pro-Inflammatory Inhibition Effects, and Recovery Effects on Alloxan-Induced Pancreatic Islets in Zebrafish" Molecules 26, no. 20: 6098. https://doi.org/10.3390/molecules26206098
APA StyleKim, H.-G., Nam, Y. H., Jung, Y. S., Oh, S. M., Nguyen, T. N., Lee, M.-H., Kim, D.-O., Kang, T. H., Lee, D. Y., & Baek, N.-I. (2021). Aurones and Flavonols from Coreopsis lanceolata L. Flowers and Their Anti-Oxidant, Pro-Inflammatory Inhibition Effects, and Recovery Effects on Alloxan-Induced Pancreatic Islets in Zebrafish. Molecules, 26(20), 6098. https://doi.org/10.3390/molecules26206098

