Isolation and Characterization of Heparan Sulfate from Human Lung Tissues †
Abstract
1. Introduction
2. Results
2.1. RT-qPCR
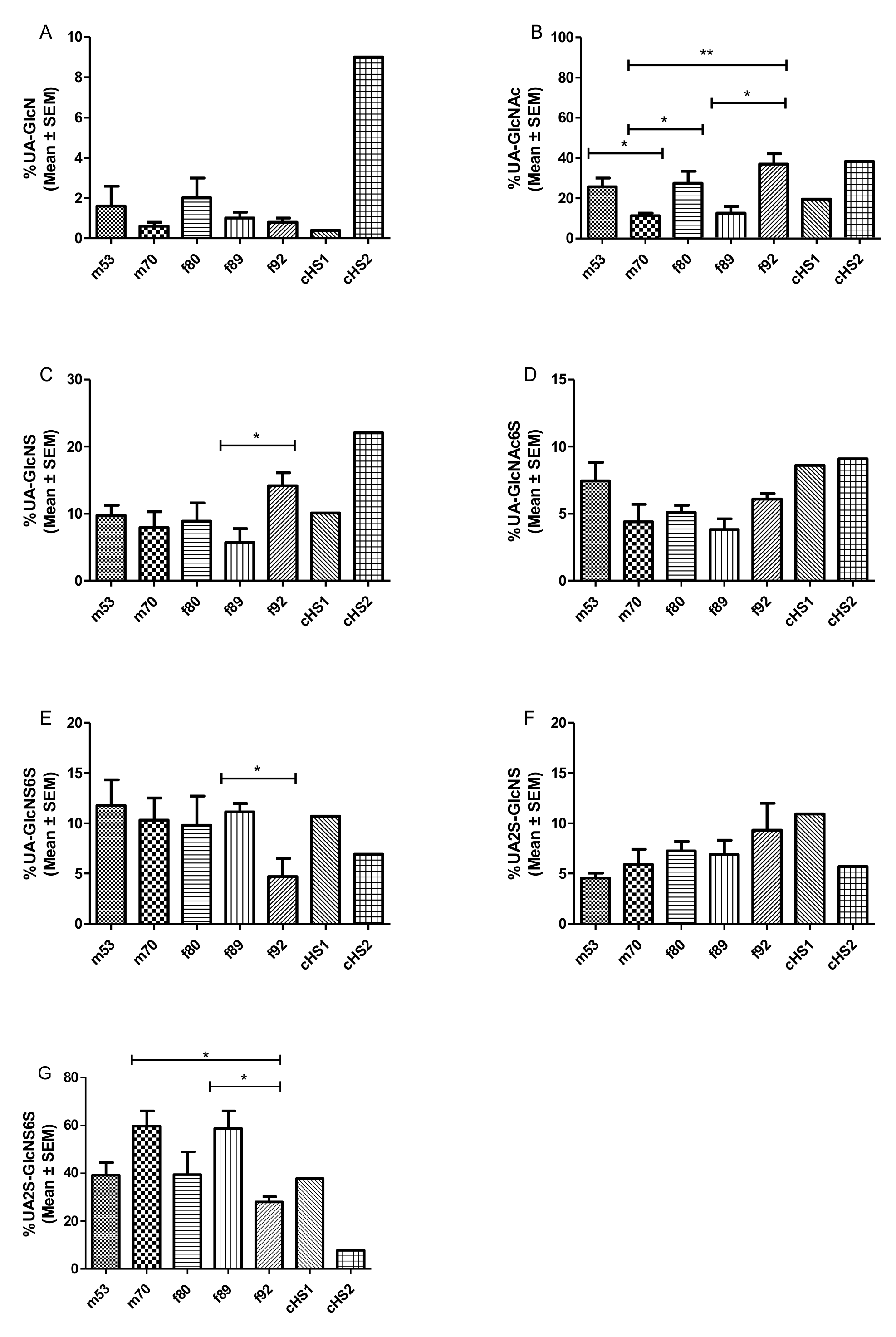
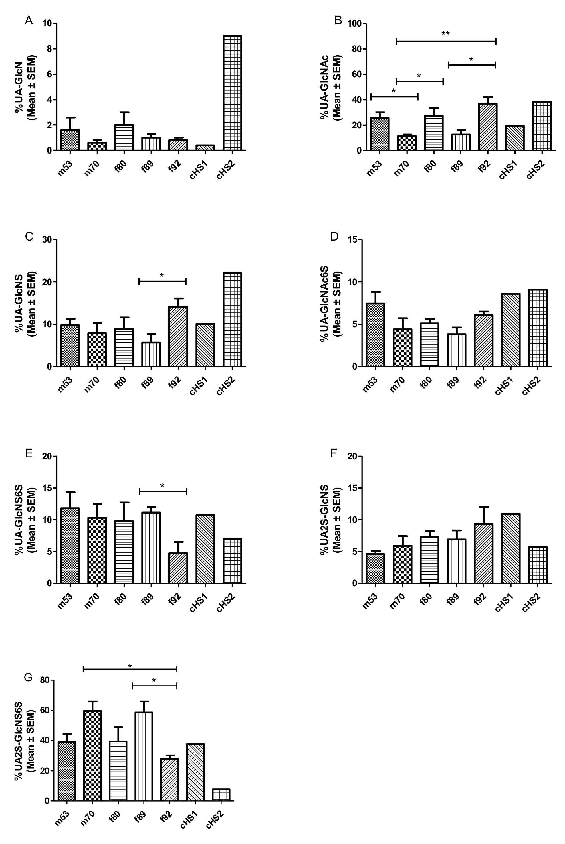
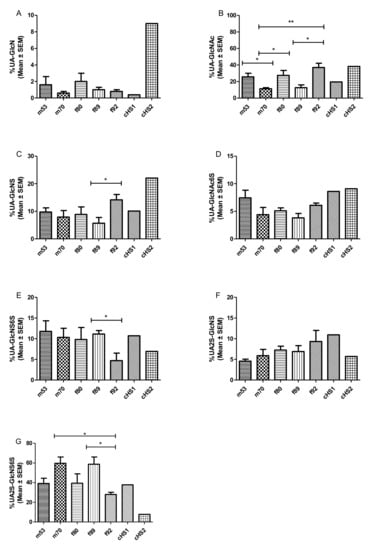
2.2. Chromatographic Characterization of HS Isolates
2.3. IFT Measurements
3. Discussion
4. Materials and Methods
4.1. Human Donor Lungs
4.2. Recombinant Protein Production
4.3. RNA Extraction
4.4. Relative RT-qPCR
4.5. Isolation of Heparan Sulfate
4.6. Size Exclusion Chromatography
4.7. Enzymatic Depolymerization of HS
4.8. Strong Anion Exchange Chromatography
4.9. Isothermal Fluorescence Titration
4.10. Statistical Analysis
Author Contributions
Funding
Institutional Review Board Statement
Informed Consent Statement
Conflicts of Interest
Sample Availability
References
- Rajarathnam, K.; Desai, U.R. Structural insights into how proteoglycans determine chemokine-CXCR1/CXCR2 interactions: Progress and challenges. Front. Immunol. 2020, 11, 660. [Google Scholar] [CrossRef] [PubMed]
- Esko, J.D.; Lindahl, U. Molecular diversity of heparan sulfate. J. Clin. Investig. 2001, 108, 169–173. [Google Scholar] [CrossRef] [PubMed]
- Kreuger, J.; Kjellén, L. Heparan sulfate biosynthesis: Regulation and variability. J. Histochem. Cytochem. 2012, 60, 898–907. [Google Scholar] [CrossRef]
- El Masri, R.; Crétinon, Y.; Gout, E.; Vivès, R.R. HS and Inflammation: A potential playground for the sulfs? Front. Immunol. 2020, 11, 570. [Google Scholar] [CrossRef] [PubMed]
- Abramsson, A.; Kurup, S.; Busse, M.; Yamada, S.; Lindblom, P.; Schallmeiner, E.; Stenzel, D.; Sauvaget, D.; Ledin, J.; Ringvall, M.; et al. Defective N-sulfation of heparan sulfate proteoglycans limits PDGF-BB binding and pericyte recruitment in vascular development. Genes Dev. 2007, 21, 316–331. [Google Scholar] [CrossRef] [PubMed]
- Hecht, M.-L.; Rosental, B.; Horlacher, T.; Hershkovitz, O.; de Paz, J.L.; Noti, C.; Schauer, S.; Porgador, A.; Seeberger, P.H. Natural cytotoxicity receptors NKp30, NKp44 and NKp46 bind to different heparan sulfate/heparin sequences. J. Proteome Res. 2009, 8, 712–720. [Google Scholar] [CrossRef]
- Ahmed, Y.A.; Yates, E.A.; Moss, D.J.; Loeven, M.A.; Hussain, S.-A.; Hohenester, E.; Turnbull, J.E.; Powell, A.K. Panels of chemically-modified heparin polysaccharides and natural heparan sulfate saccharides both exhibit differences in binding to Slit and Robo, as well as variation between protein binding and cellular activity. Mol. BioSyst. 2016, 12, 3166–3175. [Google Scholar] [CrossRef]
- Jayson, G.C.; Hansen, S.U.; Miller, G.J.; Cole, C.L.; Rushton, G.; Avizienyte, E.; Gardiner, J.M. Synthetic heparan sulfate dodecasaccharides reveal single sulfation site interconverts CXCL8 and CXCL12 chemokine biology† †Electronic supplementary information (ESI) available. Chem. Commun. 2015, 51, 13846–13849. [Google Scholar] [CrossRef]
- Zhang, F.; Zhang, Z.; Lin, X.; Beenken, A.; Eliseenkova, A.V.; Mohammadi, M.; Linhardt, R.J. Compositional analysis of heparin/heparan sulfate interacting with fibroblast growth factor·fibroblast growth factor receptor complexes. Biochemistry 2009, 48, 8379–8386. [Google Scholar] [CrossRef]
- Takase, H.; Tanaka, M.; Yamamoto, A.; Watanabe, S.; Takahashi, S.; Nadanaka, S.; Kitagawa, H.; Yamada, T.; Mukai, T. Structural requirements of glycosaminoglycans for facilitating amyloid fibril formation of human serum amyloid A. Amyloid 2016, 23, 67–75. [Google Scholar] [CrossRef]
- Sugar, T.; Wassenhove-McCarthy, D.J.; Orr, A.; Green, J.; Van Kuppevelt, T.H.; McCarthy, K.J. N-sulfation of heparan sulfate is critical for syndecan-4-mediated podocyte cell-matrix interactions. Am. J. Physiol. Physiol. 2016, 310, F1123–F1135. [Google Scholar] [CrossRef]
- Huber, A.; Kunkel, S.; Todd, R.; Weiss, S. Regulation of transendothelial neutrophil migration by endogenous interleukin-8. Science 1991, 254, 99–102. [Google Scholar] [CrossRef]
- Dyer, D.; Salanga, C.L.; Johns, S.C.; Valdambrini, E.; Fuster, M.M.; Milner, C.M.; Day, A.J.; Handel, T.M. The anti-inflammatory protein TSG-6 regulates chemokine function by inhibiting chemokine/glycosaminoglycan interactions. J. Biol. Chem. 2016, 291, 12627–12640. [Google Scholar] [CrossRef] [PubMed]
- Netelenbos, T.; Born, J.V.D.; Kessler, F.L.; Zweegman, S.; Merle, P.A.; Van Oostveen, J.W.; Zwaginga, J.J.; Huijgens, P.C.; Dräger, A.M. Proteoglycans on bone marrow endothelial cells bind and present SDF-1 towards hematopoietic progenitor cells. Leukemia 2003, 17, 175–184. [Google Scholar] [CrossRef] [PubMed]
- Tanaka, Y.; Fujii, K.; Hübscher, S.; Aso, M.; Takazawa, A.; Saito, K.; Ota, T.; Eto, S. Heparan sulfate proteoglycan on endothelium efficiently induces integrin-mediated T cell adhesion by immobilizing chemokines in patients with rheumatoid synovitis. Arthritis Rheum. 1998, 41, 1365–1377. [Google Scholar] [CrossRef]
- Whittall, C.; Kehoe, O.; King, S.; Rot, A.; Patterson, A.; Middleton, J. A Chemokine self-presentation mechanism involving formation of endothelial surface microstructures. J. Immunol. 2013, 190, 1725–1736. [Google Scholar] [CrossRef] [PubMed]
- Handel, T.M.; Dyer, D.P. Perspectives on the biological role of chemokine:Glycosaminoglycan interactions. J. Histochem. Cytochem. 2020, 69, 87–91. [Google Scholar] [CrossRef] [PubMed]
- Lortat-Jacob, H.; Baltzer, F.; Grimaud, J.A. Heparin decreases the blood clearance of interferon-gamma and increases its activity by limiting the processing of its carboxyl-terminal sequence. J. Biol. Chem. 1996, 271, 16139–16143. [Google Scholar] [CrossRef] [PubMed]
- Saksela, O.; Moscatelli, D.; Sommer, A.; Rifkin, D.B. Endothelial cell-derived heparan sulfate binds basic fibroblast growth factor and protects it from proteolytic degradation. J. Cell Biol. 1988, 107, 743–751. [Google Scholar] [CrossRef] [PubMed]
- Sadir, R.; Imberty, A.; Baleux, F.; Lortat-Jacob, H. Heparan sulfate/heparin oligosaccharides protect stromal cell-derived factor-1 (SDF-1)/CXCL12 against proteolysis induced by CD26/dipeptidyl peptidase IV. J. Biol. Chem. 2004, 279, 43854–43860. [Google Scholar] [CrossRef]
- Fox, J.C.; Tyler, R.C.; Peterson, F.C.; Dyer, D.; Zhang, F.; Linhardt, R.J.; Handel, T.M.; Volkman, B.F. Examination of glycosaminoglycan binding sites on the XCL1 dimer. Biochemistry 2016, 55, 1214–1225. [Google Scholar] [CrossRef]
- Wu, Z.L.; Zhang, L.; Yabe, T.; Kuberan, B.; Beeler, D.L.; Love, A.; Rosenberg, R.D. The involvement of Heparan Sulfate (HS) in FGF1/HS/FGFR1 signaling complex. J. Biol. Chem. 2003, 278, 17121–17129. [Google Scholar] [CrossRef]
- Xu, D.; Young, J.H.; Krahn, J.M.; Song, D.; Corbett, K.D.; Chazin, W.J.; Pedersen, L.C.; Esko, J.D. Stable RAGE-heparan sulfate complexes are essential for signal transduction. ACS Chem. Biol. 2013, 8, 1611–1620. [Google Scholar] [CrossRef]
- Gesslbauer, B.; Derler, R.; Handwerker, C.; Seles, E.; Kungl, A.J. Exploring the glycosaminoglycan-protein interaction network by glycan-mediated pull-down proteomics. Electrophoresis 2016, 37, 1437–1447. [Google Scholar] [CrossRef] [PubMed]
- Ori, A.; Wilkinson, M.; Fernig, D.G. A systems biology approach for the investigation of the heparin/heparan sulfate interactome. J. Biol. Chem. 2011, 286, 19892–19904. [Google Scholar] [CrossRef]
- Häcker, U.; Nybakken, K.; Perrimon, N. Heparan sulphate proteoglycans: The sweet side of development. Nat. Rev. Mol. Cell Biol. 2005, 6, 530–541. [Google Scholar] [CrossRef] [PubMed]
- Ghadiali, R.; Guimond, S.; Turnbull, J.; Pisconti, A. Dynamic changes in heparan sulfate during muscle differentiation and ageing regulate myoblast cell fate and FGF2 signalling. Matrix Biol. 2016, 59, 54–68. [Google Scholar] [CrossRef] [PubMed]
- Smith, R.A.; Meade, K.; Pickford, C.E.; Holley, R.J.; Merry, C.L. Glycosaminoglycans as regulators of stem cell differentiation. Biochem. Soc. Trans. 2011, 39, 383–387. [Google Scholar] [CrossRef]
- Vlodavsky, I.; Li, J.-P. Heparin, heparan sulfate and heparanase in inflammatory reactions. Thromb. Haemost. 2009, 102, 823–828. [Google Scholar] [CrossRef]
- Parish, C.R. The role of heparan sulphate in inflammation. Nat. Rev. Immunol. 2006, 6, 633–643. [Google Scholar] [CrossRef]
- Taylor, K.R.; Gallo, R.L. Glycosaminoglycans and their proteoglycans: Host-associated molecular patterns for initiation and modulation of inflammation. FASEB J. 2006, 20, 9–22. [Google Scholar] [CrossRef] [PubMed]
- Afratis, N.; Gialeli, C.; Nikitovic, D.; Tsegenidis, T.; Karousou, E.; Theocharis, A.D.; Pavao, M.S.G.; Tzanakakis, G.; Karamanos, N.K. Glycosaminoglycans: Key players in cancer cell biology and treatment. FEBS J. 2012, 279, 1177–1197. [Google Scholar] [CrossRef] [PubMed]
- Fuster, M.M.; Esko, J.D. The sweet and sour of cancer: Glycans as novel therapeutic targets. Nat. Rev. Cancer 2005, 5, 526–542. [Google Scholar] [CrossRef]
- El Ghazal, R.; Yin, X.; Johns, S.C.; Swanson, L.; Macal, M.; Ghosh, P.; Zuniga, E.I.; Fuster, M.M. Glycan sulfation modulates dendritic cell biology and tumor growth. Neoplasia 2016, 18, 294–306. [Google Scholar] [CrossRef][Green Version]
- Yip, G.W.; Smollich, M.; Götte, M. Therapeutic value of glycosaminoglycans in cancer. Mol. Cancer Ther. 2006, 5, 2139–2148. [Google Scholar] [CrossRef]
- Huan, C.-C.; Wang, Y.; Ni, B.; Wang, R.; Huang, L.; Ren, X.-F.; Tong, G.-Z.; Ding, C.; Fan, H.-J.; Mao, X. Porcine epidemic diarrhea virus uses cell-surface heparan sulfate as an attachment factor. Arch. Virol. 2015, 160, 1621–1628. [Google Scholar] [CrossRef]
- Choudhary, S.; Marquez, M.; Alencastro, F.; Spors, F.; Zhao, Y.; Tiwari, V. Herpes Simplex Virus Type-1 (HSV-1) entry into human mesenchymal stem cells is heavily dependent on heparan sulfate. J. Biomed. Biotechnol. 2011, 2011, 264350. [Google Scholar] [CrossRef]
- Xu, D.; Olson, J.; Cole, J.N.; van Wijk, X.M.; Brinkmann, V.; Zychlinsky, A.; Nizet, V.; Esko, J.D.; Chang, Y.-C. Heparan sulfate modulates neutrophil and endothelial function in antibacterial innate immunity. Infect. Immun. 2015, 83, 3648–3656. [Google Scholar] [CrossRef]
- Vogt, A.M.; Winter, G.; Wahlgren, M.; Spillmann, D. Heparan sulphate identified on human erythrocytes: A Plasmodium falciparum receptor. Biochem. J. 2004, 381, 593–597. [Google Scholar] [CrossRef]
- Haeger, S.M.; Yang, Y.; Schmidt, E.P. Heparan sulfate in the developing, healthy, and injured lung. Am. J. Respir. Cell Mol. Biol. 2016, 55, 5–11. [Google Scholar] [CrossRef] [PubMed]
- Gallagher, J.T.; Walker, A. Molecular distinctions between heparan sulphate and heparin. Analysis of sulphation patterns indicates that heparan sulphate and heparin are separate families of N-sulphated polysaccharides. Biochem. J. 1985, 230, 665–674. [Google Scholar] [CrossRef] [PubMed]
- Mulloy, B.; Forster, M.J. Conformation and dynamics of heparin and heparan sulfate. Glycobiology 2000, 10, 1147–1156. [Google Scholar] [CrossRef] [PubMed]
- Ledin, J.; Staatz, W.; Li, J.-P.; Götte, M.; Selleck, S.; Kjellén, L.; Spillmann, D. Heparan sulfate structure in mice with genetically modified heparan sulfate production. J. Biol. Chem. 2004, 279, 42732–42741. [Google Scholar] [CrossRef]
- Warda, M.; Toida, T.; Zhang, F.; Sun, P.; Munoz, E.; Xie, J.; Linhardt, R.J. Isolation and characterization of heparan sulfate from various murine tissues. Glycoconj. J. 2006, 23, 555–563. [Google Scholar] [CrossRef]
- Nagamine, S.; Tamba, M.; Ishimine, H.; Araki, K.; Shiomi, K.; Okada, T.; Ohto, T.; Kunita, S.; Takahashi, S.; Wismans, R.G.P.; et al. Organ-specific sulfation patterns of heparan sulfate generated by extracellular sulfatases Sulf1 and Sulf2 in mice. J. Biol. Chem. 2012, 287, 9579–9590. [Google Scholar] [CrossRef] [PubMed]
- Shi, X.; Zaia, J. Organ-specific heparan sulfate structural phenotypes. J. Biol. Chem. 2009, 284, 11806–11814. [Google Scholar] [CrossRef] [PubMed]
- Van Kuppevelt, T.H.; Dennissen, M.A.; van Venrooij, W.J.; Hoet, R.M.; Veerkamp, J.H. Generation and application of type-specific anti-heparan sulfate antibodies using phage display technology Further evidence for heparan sulfate heterogeneity in the kidney. J. Biol. Chem. 1998, 273, 12960–12966. [Google Scholar] [CrossRef]
- Smits, N.C.; Robbesom, A.A.; Versteeg, E.M.; van de Westerlo, E.M.; Dekhuijzen, P.R.; van Kuppevelt, T.H. Heterogeneity of heparan sulfates in human lung. Am. J. Respir. Cell Mol. Biol. 2004, 30, 166–173. [Google Scholar] [CrossRef]
- Kitic, N.; Gschwandtner, M.; Derler, R.; Gerlza, T.; Kungl, A.J. Preparation and characterization of glycosaminoglycan chemokine coreceptors. Methods Enzymol. 2016, 570, 517–538. [Google Scholar]
- Piccinini, A.M.; Knebl, K.; Rek, A.; Wildner, G.; Diedrichs-Möhring, M.; Kungl, A.J. Rationally evolving MCP-1/CCL2 into a decoy protein with potent anti-inflammatory activity in vivo. J. Biol. Chem. 2010, 285, 8782–8792. [Google Scholar] [CrossRef]
- Falsone, A.; Wabitsch, V.; Geretti, E.; Potzinger, H.; Gerlza, T.; Robinson, J.; Adage, T.; Teixeira, M.M.; Kungl, A.J. Designing CXCL8-based decoy proteins with strong anti-inflammatory activity in vivo. Biosci. Rep. 2013, 33, e00068. [Google Scholar] [CrossRef]
- Lau, E.K.; Paavola, C.D.; Johnson, Z.; Gaudry, J.-P.; Geretti, E.; Borlat, F.; Kungl, A.J.; Proudfoot, A.E.; Handel, T.M. Identification of the glycosaminoglycan binding site of the CC chemokine, MCP-1. J. Biol. Chem. 2004, 279, 22294–22305. [Google Scholar] [CrossRef]
- Charo, I.F.; Myers, S.J.; Herman, A.; Franci, C.; Connolly, A.J.; Coughlin, S.R. Molecular cloning and functional expression of two monocyte chemoattractant protein 1 receptors reveals alternative splicing of the carboxyl-terminal tails. Proc. Natl. Acad. Sci. USA 1994, 91, 2752–2756. [Google Scholar] [CrossRef]
- Zhang, T.; Somasundaram, R.; Berencsi, K.; Caputo, L.; Gimotty, P.; Rani, P.; Guerry, D.; Swoboda, R.; Herlyn, D. Migration of cytotoxic T lymphocytes toward melanoma cells in three-dimensional organotypic culture is dependent on CCL2 and CCR4. Eur. J. Immunol. 2006, 36, 457–467. [Google Scholar] [CrossRef] [PubMed]
- Rose, C.E., Jr.; Sung, S.S.; Fu, S.M. Significant involvement of CCL2 (MCP-1) in inflammatory disorders of the lung. Microcirculation 2003, 10, 273–288. [Google Scholar] [CrossRef] [PubMed]
- Van Zoelen, M.A.; Verstege, M.I.; Draing, C.; de Beer, R.; Veer, C.V.; Florquin, S.; Bresser, P.; van der Zee, J.S.; Velde, A.A.T.; von Aulock, S.; et al. Endogenous MCP-1 promotes lung inflammation induced by LPS and LTA. Mol. Immunol. 2011, 48, 1468–1476. [Google Scholar] [CrossRef]
- Shanthikumar, S.; Rao, P.; Maksimovic, J.; Saffery, R.; Ranganathan, S.; Neeland, M. Early Life Bronchoalveolar Lavage Inflammatory Cytokines as Biomarkers of Future Mild Lung Disease Severity in Cystic Fibrosis. Am. Thorac. Soc. 2020, 201, A2649. [Google Scholar] [CrossRef]
- Lee, Y.G.; Jeong, J.J.; Nyenhuis, S.; Berdyshev, E.; Chung, S.; Ranjan, R.; Karpurapu, M.; Deng, J.; Qian, F.; Kelly, E.A.; et al. Recruited alveolar macrophages, in response to airway epithelial-derived monocyte chemoattractant protein 1/CCl2, regulate airway inflammation and remodeling in allergic asthma. Am. J. Respir. Cell Mol. Biol. 2015, 52, 772–784. [Google Scholar] [CrossRef] [PubMed]
- Singh, S.R.; Sutcliffe, A.; Kaur, D.; Gupta, S.; Desai, D.; Saunders, R.M.; Brightling, C.E. CCL2 release by airway smooth muscle is increased in asthma and promotes fibrocyte migration. Allergy 2014, 69, 1189–1197. [Google Scholar] [CrossRef]
- Deng, X.; Xu, M.; Yuan, C.; Yin, L.; Chen, X.; Zhou, X.; Li, G.; Fu, Y.; Feghali-Bostwick, C.A.; Pang, L. Transcriptional regulation of increased CCL2 expression in pulmonary fibrosis involves nuclear factor-κB and activator protein-1. Int. J. Biochem. Cell Biol. 2013, 45, 1366–1376. [Google Scholar] [CrossRef] [PubMed]
- Sun, L.; Louie, M.C.; Vannella, K.M.; Wilke, C.A.; Levine, A.M.; Moore, B.; Shanley, T.P. New concepts of IL-10-induced lung fibrosis: Fibrocyte recruitment and M2 activation in a CCL2/CCR2 axis. Am. J. Physiol. Cell. Mol. Physiol. 2011, 300, L341–L353. [Google Scholar] [CrossRef] [PubMed]
- Arenberg, D.; Keane, M.P.; DiGiovine, B.; Kunkel, S.L.; Strom, S.R.B.; Burdick, M.D.; Iannettoni, M.D.; Strieter, R.M. Macrophage infiltration in human non-small-cell lung cancer: The role of CC chemokines. Cancer Immunol. Immunother. 2000, 49, 63–70. [Google Scholar] [CrossRef] [PubMed]
- Van Deventer, H.W.; Palmieri, D.A.; Wu, Q.P.; McCook, E.C.; Serody, J.S. Circulating fibrocytes prepare the lung for cancer metastasis by recruiting Ly-6C+ monocytes via CCL2. J. Immunol. 2013, 190, 4861–4867. [Google Scholar] [CrossRef] [PubMed]
- Yoshimura, T.; Howard, O.M.Z.; Ito, T.; Kuwabara, M.; Matsukawa, A.; Chen, K.; Liu, Y.; Liu, M.; Oppenheim, J.J.; Wang, J.M. Monocyte chemoattractant protein-1/CCL2 produced by stromal cells promotes lung metastasis of 4T1 murine breast cancer cells. PLoS ONE 2013, 8, e58791. [Google Scholar] [CrossRef] [PubMed]
- Hashemian, S.M.R.; Mortaz, E.; Tabarsi, P.; Jamaati, H.; Maghsoomi, Z.; Khosravi, A.; Garssen, J.; Masjedi, M.R.; Velayati, A.A.; Folkerts, G.; et al. Elevated CXCL-8 expression in bronchoalveolar lavage correlates with disease severity in patients with acute respiratory distress syndrome resulting from tuberculosis. J. Inflamm. 2014, 11, 21. [Google Scholar] [CrossRef] [PubMed]
- Woolhouse, I.S.; Bayley, D.L.; Stockley, R.A. Sputum chemotactic activity in chronic obstructive pulmonary disease: Effect of alpha1-antitrypsin deficiency and the role of leukotriene B4 and interleukin 8. Thorax 2002, 57, 709–714. [Google Scholar] [CrossRef]
- Tanino, M.; Betsuyaku, T.; Takeyabu, K.; Tanino, Y.; Yamaguchi, E.; Miyamoto, K.; Nishimura, M. Increased levels of interleukin-8 in BAL fluid from smokers susceptible to pulmonary emphysema. Thorax 2002, 57, 405–411. [Google Scholar] [CrossRef] [PubMed]
- Spillmann, D.; Witt, D.; Lindahl, U. Defining the Interleukin-8-binding domain of heparan sulfate. J. Biol. Chem. 1998, 273, 15487–15493. [Google Scholar] [CrossRef]
- Holmes, W.; Lee, J.; Kuang, W.; Rice, G.; Wood, W. Structure and functional expression of a human interleukin-8 receptor. Science 1991, 253, 1278–1280. [Google Scholar] [CrossRef]
- Murphy, P.; Tiffany, H. Cloning of complementary DNA encoding a functional human interleukin-8 receptor. Science 1991, 253, 1280–1283. [Google Scholar] [CrossRef]
- Shriver, Z.; Capila, I.; Venkataraman, G.; Sasisekharan, R. Heparin and Heparan sulfate: Analyzing structure and microheterogeneity. Heparin-A Century Prog. 2011, 207, 159–176. [Google Scholar] [CrossRef]
- Yates, E.A.; Rudd, T.R. Recent innovations in the structural analysis of heparin. Int. J. Cardiol. 2016, 212, S5–S9. [Google Scholar] [CrossRef]
- Liu, H.; Zhang, Z.; Linhardt, R.J. Lessons learned from the contamination of heparin. Nat. Prod. Rep. 2009, 26, 313–321. [Google Scholar] [CrossRef]
- Linhardt, R.J.; Turnbull, J.E.; Wang, H.M.; Loganathan, D.; Gallagher, J.T. Examination of the substrate specificity of heparin and heparan sulfate lyases. Biochemistry 1990, 29, 2611–2617. [Google Scholar] [CrossRef] [PubMed]
- Lyon, M.; Gallagher, J.T. Biospecific sequences and domains in heparan sulphate and the regulation of cell growth and adhesion. Matrix Biol. 1998, 17, 485–493. [Google Scholar] [CrossRef]
- Powell, A.K.; Yates, E.A.; Fernig, D.G.; Turnbull, J.E. Interactions of heparin/heparan sulfate with proteins: Appraisal of structural factors and experimental approaches. Glycobiology 2004, 14, 17R–30R. [Google Scholar] [CrossRef]
- Gallagher, J.T. Fell–Muir Lecture: Heparan sulphate and the art of cell regulation: A polymer chain conducts the protein orchestra. Int. J. Exp. Pathol. 2015, 96, 203–231. [Google Scholar] [CrossRef]
- Lindahl, U.; Kjellén, L. Pathophysiology of heparan sulphate: Many diseases, few drugs. J. Intern. Med. 2013, 273, 555–571. [Google Scholar] [CrossRef]
- Gschwandtner, M.; Piccinini, A.M.; Gerlza, T.; Adage, T.; Kungl, A.J. Interfering with the CCL2–glycosaminoglycan axis as a potential approach to modulate neuroinflammation. Neurosci. Lett. 2016, 626, 164–173. [Google Scholar] [CrossRef]
- Gerlza, T.; Hecher, B.; Jeremic, D.; Fuchs, T.; Gschwandtner, M.; Falsone, A.; Gesslbauer, B.; Kungl, A.J. A Combinatorial approach to biophysically characterise chemokine-glycan binding affinities for drug development. Molecules 2014, 19, 10618–10634. [Google Scholar] [CrossRef]
- Nomanbhoy, T.K.; Cerione, R.A. Characterization of the interaction between RhoGDI and Cdc42Hs using fluorescence spectroscopy. J. Biol. Chem. 1996, 271, 10004–10009. [Google Scholar] [CrossRef] [PubMed]




| m53 | m70 | f80 | f89 | f92 | ||||||
|---|---|---|---|---|---|---|---|---|---|---|
| Mean | SD | Mean | SD | Mean | SD | Mean | SD | Mean | SD | |
| SDC1 | 12.70 | 0.12 | 4.53 | 0.14 | 1.33 | 0.03 | 5.23 | 0.07 | 8.10 | 0.20 |
| SDC2 | 40.15 | 0.20 | 7.52 | 0.15 | 2.64 | 0.08 | 19.48 | 0.04 | 19.17 | 0.19 |
| SDC3 | 1.36 | 0.08 | 1.14 | 0.09 | 0.18 | 0.16 | 0.49 | 0.05 | 1.26 | 0.12 |
| SDC4 | 16.23 | 0.06 | 10.71 | 0.19 | 9.45 | 0.03 | 7.82 | 0.06 | 23.93 | 0.07 |
| GPC1 | 0.36 | 0.16 | 0.28 | 0.02 | 0.05 | 0.09 | 0.25 | 0.32 | 0.67 | 0.02 |
| GPC2 | 0.05 | 0.30 | 0.07 | 0.09 | 0.01 | 0.54 | 0.01 | 0.46 | 0.02 | 0.16 |
| GPC3 | 25.76 | 0.04 | 24.37 | 0.07 | 2.98 | 0.33 | 10.44 | 0.04 | 27.74 | 0.14 |
| GPC4 | 16.57 | 0.09 | 6.40 | 0.11 | 2.22 | 0.18 | 11.74 | 0.09 | 13.00 | 0.06 |
| GPC5 | 4.38 | 0.04 | 0.42 | 0.10 | 0.26 | 0.10 | 0.74 | 0.16 | 0.60 | 0.05 |
| GPC6 | 0.85 | 0.22 | 0.91 | 0.24 | 0.24 | 0.19 | 1.02 | 0.14 | 2.20 | 0.16 |
| SULF1 | 2.38 | 0.03 | 2.50 | 0.27 | 1.06 | 0.11 | 0.92 | 0.07 | 3.81 | 0.02 |
| SULF2 | 6.53 | 0.13 | 5.37 | 0.07 | 2.81 | 0.03 | 5.80 | 0.09 | 5.27 | 0.05 |
| 2OST | 3.89 | 0.14 | 1.19 | 0.05 | 0.64 | 0.07 | 0.71 | 0.22 | 2.60 | 0.06 |
| 3OST-1 | 3.24 | 0.03 | 3.25 | 0.07 | 0.61 | 0.07 | 7.98 | 0.08 | 2.37 | 0.06 |
| 3OST-2 | 0.23 | 0.03 | 0.79 | 0.05 | 0.08 | 0.11 | 0.42 | 0.37 | 1.09 | 0.03 |
| 3OST-3A1 | 0.13 | 0.15 | 0.11 | 0.22 | 0.01 | 0.28 | 0.00 | 0.67 | 0.06 | 0.13 |
| 3OST-3B1 | 1.63 | 0.15 | 2.51 | 0.10 | 0.20 | 0.03 | 0.42 | 0.20 | 0.99 | 0.01 |
| 3OST-4 | 0.34 | 0.18 | 0.18 | 0.16 | 0.04 | 0.04 | 0.05 | 0.18 | 0.06 | 0.37 |
| 3OST-5 | 0.07 | 0.45 | 0.02 | 1.74 | 0.01 | 0.24 | 0.03 | 0.35 | 0.03 | 0.24 |
| OST6 | 0.17 | 0.28 | 0.03 | 0.23 | 0.02 | 0.11 | 0.02 | 0.96 | 0.06 | 0.03 |
| 6OST-1 | 0.64 | 0.11 | 1.30 | 0.54 | 0.01 | 0.56 | 0.36 | 0.54 | 1.41 | 0.06 |
| 6OST-2 | 0.64 | 0.12 | 0.22 | 0.06 | 0.23 | 0.16 | 0.24 | 0.13 | 0.27 | 0.22 |
| 6OST-3 | 0.04 | 0.27 | 0.02 | 0.27 | 0.19 | 0.04 | 0.01 | 0.80 | 0.05 | 0.33 |
| HPSE | 0.38 | 0.18 | 0.41 | 0.08 | 0.05 | 0.21 | 0.84 | 0.10 | 0.46 | 0.33 |
| NDST1 | 14.97 | 0.14 | 6.34 | 0.19 | 2.42 | 0.03 | 13.84 | 0.07 | 11.96 | 0.20 |
| NDST2 | 4.18 | 0.10 | 9.72 | 0.14 | 2.03 | 0.03 | 3.72 | 0.03 | 5.66 | 0.02 |
| NDST3 | 0.02 | 0.32 | 0.00 | 1.15 | 0.00 | 0.26 | 0.00 | 1.10 | 1.64 | 0.12 |
| NDST4 | 0.04 | 0.55 | 0.00 | 1.03 | 0.05 | 0.18 | 0.01 | 0.53 | 0.01 | 0.54 |
| m53 | m70 | f80 | f89 | f92 | cHS1 1 | cHS2 1 | HS Mouse | HS Mouse 2 | |
|---|---|---|---|---|---|---|---|---|---|
| UA-GlcN | 0.2–3.5 | 0.2–0.8 | 0.6–4.2 | 0.5–1.33 | 1.4–1.9 | 0.4 | 9.0 | 3.6 | n.d. |
| UA-GlcNAC | 17.2–31.1 | 8.9–13.4 | 25.8–39 | 8.8–19 | 27.7–44.3 | 19.6 | 38.2 | 4.4 | 45.3–63.5 |
| UA-GlcNS | 6.8–11.3 | 4.9–12.6 | 4.2–9.3 | 3.1–9.7 | 11.7–18.2 | 10.1 | 22.1 | 5.4 | 10.2–21.4 |
| UA-GlcNAc6S | 4.9–9.6 | 2.1–6.5 | 2.2–5.6 | 2.9–5.36 | 6.4–7.7 | 8.6 | 9.1 | 5.2 | 2.1–8.5 |
| UA2S-GlcNAc | n.d. | n.d. | n.d. | n.d. | n.d. | 1.8 | 1.1 | 1.2 | n.d.–4.9 |
| UA-GlcNS6S | 7.5–16.3 | 5.8–12.9 | 4.8–14.84 | 9.7–12.7 | 3.5–9.1 | 10.7 | 6.9 | 15.7 | 3.5–6.5 |
| UA2S-GlcNS | 4–5.6 | 3.9–8.76 | 6.4–9.5 | 5.1–9.7 | 5.4–10.4 | 10.9 | 5.7 | 7.8 | 6.0–17.2 |
| UA2S-GlcNAc6S | n.d. | n.d. | n.d. | n.d. | n.d. | n.d. | n.d. | n.d. | n.d.–0.3 |
| UA2S-GlcNS6S | 28.9–46.2 | 59.7–70.7 | 26.9–58.4 | 44–65.8 | 25.2–33.1 | 37.9 | 7.8 | 56.8 | 2.7–9.7 |
| Protein | Amino Acid Sequence |
|---|---|
| CCL2 | MQPDAINAPVT CCYNFTNRKI SVQRLASYRR ITSSKCPKEA VIFKTIVAKE ICADPKQKWV QDSMDHLDKQ TQTPKT |
| CXCL8 | SAKELRCQCI KTYSKPFHPK FIKELRVIES GPHCANTEII VKLSDGRELC LDPKENWVQR VVEKFLKRAE NS |
| Protein | Primer Sequences | Amplicon | |
|---|---|---|---|
| GAPDH | Glycerinaldehyde-3-phospate-dehydrogenase | 5′ ATGTTCGTCATGGGTGTGAA 3′ GTCTTCTGGGTGGCAGTGAT | NM_001289746.2 704–876 = 173 bp |
| SDC-1 | Syndecan-1 | 5′ GGAGCAGGACTTCACCTTTG 3′ TACAGCATGAAACCCACCAG | NM_002997.4 920–1126 = 207 bp |
| SDC-2 | Syndecan-2 | 5′ GCTGCTCCAAAAGTGGAAAC 3′ CAGCAATGACAGCTGCTAGG | BC049836.1 580–790 = 211 bp |
| SDC-3 | Syndecan-3 | 5′ GAGCCTGACATCCCTGAGAG 3′ CCCACAGCTACCACCTCATT | NM_014654.4 971–1182 = 212 bp |
| SDC-4 | Syndecan-4 | 5′ GAGCCCTACCAGACGATGAG 3′ CAGTGCTGGACATTGACACC | BC030805.1 159–443 = 285 bp |
| GPC-1 | Glypican-1 | 5′ AGCGAGATGGAGGAGAACCT 3′ CTGAGTACAGGTCCCGGAAG | BC051279.1 432–660 = 229 bp |
| GPC-2 | Glypican-2 | 5′ ACTGGGACACGACCTGGAC 3′ CCCCAGAACCATCCCTTCTA | NM_152742.3 1637–1791 = 155 bp |
| GPC-3 | Glypican-3 | 5′ GGCAAGTTATGTGCCCATTC 3′ ATGTAGCCAGGCAAAGCACT | KX533474.1 1389–1579 = 191 bp |
| GPC-4 | Glypican-4 | 5′ ATGGTGGCAGAGAGGCTAGA 3′ GGAACGAGAAATTCGTCCAG | AF030186.1 1101–1277 = 177 bp |
| GPC-5 | Glypican-5 | 5′ AAGCCCAGTCTGGAAATCCT 3′ TCACAGTCCCCACTGACTTG | AF001462.1 1394–1577 = 184 bp |
| GPC-6 | Glypican-6 | 5′ CACGTTTCAGGCCCTACAAT 3′ GTTCCAGCATTCCTCCTCGT | AF105267.1 1670–1875 = 188 bp |
| NDST-1 | Bifunctional heparan sulfate N-deacetylase/N-sulfotransferase 1 | 5′ TCACCTTCAACCTGGGCTAC 3′ ACGGACTGGTTGTGGAAAAG | NM_001543.5 1538–1694 = 157 bp |
| NDST-2 | Bifunctional heparan sulfate N-deacetylase/N-sulfotransferase 2 | 5′ATCATCACAGTGCTCACCAACCCT 3′AGCCAGCGTTGTAGATGGGTAGAA | NM_003635.4 2663–2862 = 200 bp |
| NDST-3 | Bifunctional heparan sulfate N-deacetylase/N-sulfotransferase 3 | 5′ TCAGGGAAGAGGCTGACATT 3′ ATCCACAGACCCCAACAGAC | NM_004784.3 1139–1381 = 243 bp |
| NDST-4 | Bifunctional heparan sulfate N-deacetylase/N-sulfotransferase 4 | 5′ CCACCTCTTCCACAACGAGT 3′ GGCAGGTTTCAGATGTGGAT | NM_022569.3 1581–1794 = 214 bp |
| 2OST | Heparan sulfate 2-O-sulfotransferase 1 | 5′ TGGAAAGAGATGAAACCAGGA 3′ CAGAGCTTCTCTGGAGCACA | NM_012262.4 793–1046 = 254 bp |
| 3OST-1 | Heparan sulfate glucosamine 3-O-sulfotransferase 1 | 5′ TCCAAAAGGTCGAGAGGTTCCT 3′ AGGCAGTAAAAGCCCTTGGTTT | NM_005114.4 987–1074 = 88 bp |
| 3OST-2 | Heparan sulfate glucosamine 3-O-sulfotransferase 2 | 5′ CCCCACTTCTTTGACAGGAA 3′ TGTCTCGGGACATGTTGAAG | NM_006043.2 888–1041 = 154 bp |
| 3OST3-A1 | Heparan sulfate glucosamine 3-O-sulfotransferase 3A1 | 5′ GACTTTGGCTGGGATGGATA 3′ GATCCACGTGTTTGGTGTTG | NM_006042.3 2001–2203 = 203 bp |
| 3OST3-B1 | Heparan sulfate glucosamine 3-O-sulfotransferase 3B1 | 5′ GCTGCCTAGCCACACTCTTT 3′ GGGAGACCCAAGACAAGACA | NM_006041.3 1737–1979 = 243 bp |
| 3OST-4 | Heparan sulfate glucosamine 3-O-sulfotransferase 4 | 5′ TACGAAAAGGGGTTGGAGTG 3′ TAGTCAGAGATGGCCCTGGT | NM_006040.3 1168–1352 = 185 bp |
| 3OST-5 | Heparan sulfate glucosamine 3-O-sulfotransferase 5 | 5′ AGTTGGGAGCTTGGATAGGC 3′ CCTTTCCTCACCCCAATGAT | NM_153612.4 1257–1469 = 213 bp |
| 3OST-6 | Heparan sulfate glucosamine 3-O-sulfotransferase 6 | 5′ CATCGTTGGCGTGAAGAAG 3′ ACGAAGTAGCTGGGGGTCTT | NM_001009606.4 374–568 = 195 bp |
| 6OST-1 | Heparan sulfate 6-O-sulfotransferase 1 | 5′ AAGAAGTGCACCTGCTACC 3′ CGCCCATCACACATATGCAA | NM_004807.3 672–946 = 275 bp |
| 6OST-2 | Heparan sulfate 6-O-sulfotransferase 2 | 5′ CCGTCCAGGTGGAGGATTT 3′ GACCAGTCATCGCCAGTGTA | NM_001077188.2 1331–1623 = 293 bp |
| 6OST-3 | Heparan sulfate 6-O-sulfotransferase 3 | 5′ CAAGAAGGAGACGTGGCTCT 3′ GGGCTTCTTCCATCACACAT | NM_153456.4 1326–1583 = 258 bp |
| SULF-1 | Extracellular sulfatase Sulf-1 | 5′ ATACTCGGCAGACACGTTCC 3′ CTCTGGCCGATTGGTACAGT | NM_001128205.2 2285–2581 = 297 bp |
| SULF-2 | Extracellular sulfatase Sulf-2 | 5′ ACACGTACTGGTGCATGAGG 3′ GCTTGTAACCCTTGCAGCTC | NM_018837.4 2626–2823 = 198 bp |
| HPSE | Heparanase | 5′ CTGGCTTTATGTGGCTGGAT 3′ GCTTGCCATTAACACCTTGG | NM_006665.6 1219–1403 = 185 bp |
Publisher’s Note: MDPI stays neutral with regard to jurisdictional claims in published maps and institutional affiliations. |
© 2021 by the authors. Licensee MDPI, Basel, Switzerland. This article is an open access article distributed under the terms and conditions of the Creative Commons Attribution (CC BY) license (https://creativecommons.org/licenses/by/4.0/).
Share and Cite
Derler, R.; Kitic, N.; Gerlza, T.; Kungl, A.J. Isolation and Characterization of Heparan Sulfate from Human Lung Tissues. Molecules 2021, 26, 5512. https://doi.org/10.3390/molecules26185512
Derler R, Kitic N, Gerlza T, Kungl AJ. Isolation and Characterization of Heparan Sulfate from Human Lung Tissues. Molecules. 2021; 26(18):5512. https://doi.org/10.3390/molecules26185512
Chicago/Turabian StyleDerler, Rupert, Nikola Kitic, Tanja Gerlza, and Andreas J. Kungl. 2021. "Isolation and Characterization of Heparan Sulfate from Human Lung Tissues" Molecules 26, no. 18: 5512. https://doi.org/10.3390/molecules26185512
APA StyleDerler, R., Kitic, N., Gerlza, T., & Kungl, A. J. (2021). Isolation and Characterization of Heparan Sulfate from Human Lung Tissues. Molecules, 26(18), 5512. https://doi.org/10.3390/molecules26185512
