Biomimetic Ketone Reduction by Disulfide Radical Anion
Abstract
:1. Introduction
2. Results and Discussion
2.1. Ketone Reduction by the Photolysis of Cysteine-Containing Aqueous Solutions
2.1.1. Cyclohexanone Reduction and Optimization Studies at Different pH Values
2.1.2. Reaction Mechanism: Initiation Steps for a Radical Chain Process
2.1.3. Other Substrates for Ketone Reduction at pH 10.6
2.1.4. The Reduction of 2-Hydroxycyclohexanone and 2-Cyclopenten-1-one at pH 10.6
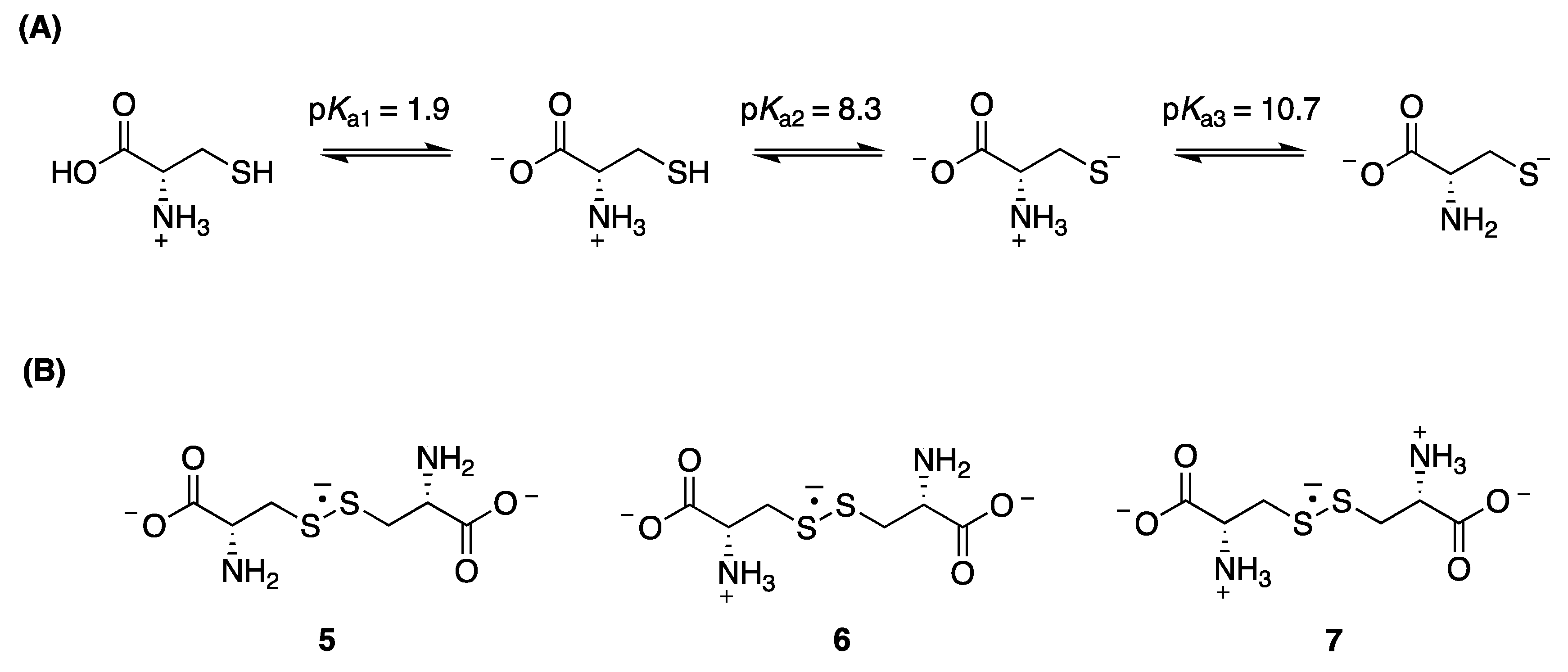
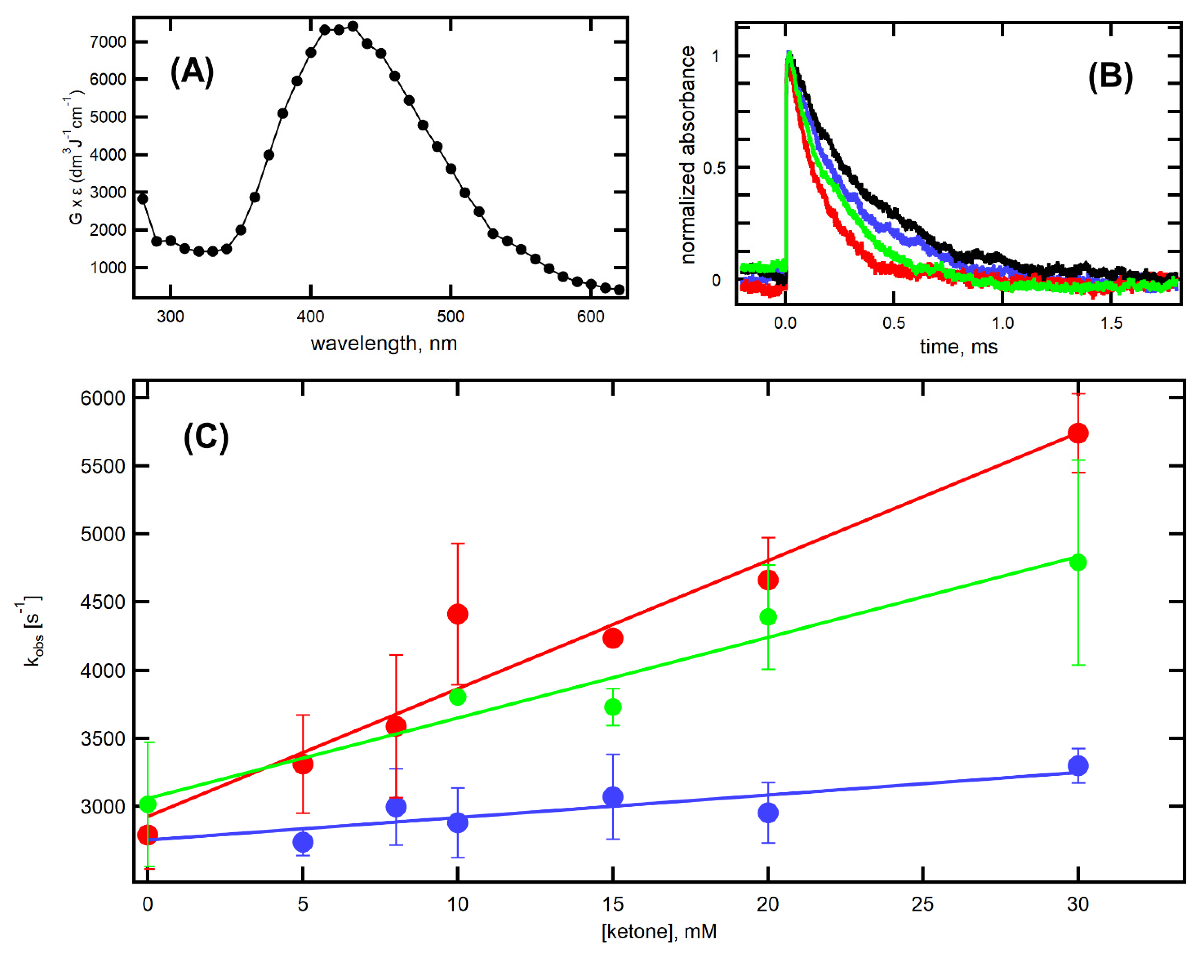
2.2. Pulse Radiolysis Studies and Rate Constants of SET
e−aq (0.28), HO• (0.28), H• (0.06)
3. Materials and Methods
3.1. Materials and Instrumentation
3.2. Ketone Reduction
3.3. Pulse Radiolysis
4. Conclusions
Author Contributions
Funding
Institutional Review Board Statement
Informed Consent Statement
Data Availability Statement
Acknowledgments
Conflicts of Interest
Sample Availability
References
- Chatgilialoglu, C.; Ferreri, C.; Geacintov, N.E.; Krokidis, M.G.; Liu, Y.; Masi, A.; Shafirovich, V.; Terzidis, M.A.; Tsegay, P.S. 5’,8-Cyclopurine lesions in DNA damage: Chemical, analytical, biological and diagnostic significance. Cells 2019, 8, 513. [Google Scholar] [CrossRef] [PubMed] [Green Version]
- Chatgilialoglu, C.; Eriksson, L.A.; Krokidis, M.G.; Masi, A.; Wang, S.-D.; Zhang, R. Oxygen dependent purine lesions in double- stranded oligodeoxynucleotides: Kinetic and computational studies highlight the mechanism for 5’,8-cyplopurine formation. J. Am. Chem. Soc. 2020, 142, 5825–5833. [Google Scholar] [CrossRef]
- Chatgilialoglu, C.; Ferreri, C.; Krokidis, M.G.; Masi, A.; Terzidis, M.A. On the Relevance of Hydroxyl Radical to Purine DNA Damage. Free Radic. Res. 2021. [Google Scholar] [CrossRef]
- Chatgilialoglu, C.; Ferreri, C.; Melchiorre, M.; Sansone, A.; Torreggiani, A. Lipid Geometrical Isomerism: From Chemistry to Biology and Diagnostics. Chem. Rev. 2014, 114, 255–284. [Google Scholar] [CrossRef] [PubMed]
- Menounou, G.; Giacometti, G.; Scanferlato, R.; Dambruoso, P.; Sansone, A.; Tueros, I.; Amézaga, J.; Chatgilialoglu, C.; Ferreri, C. Trans Lipid Library: Synthesis of Docosahexaenoic Acid (DHA) Monotrans Isomers and Regioisomer Identification in DHA-Containing Supplements. Chem. Res. Toxicol. 2018, 31, 191–200. [Google Scholar] [CrossRef] [PubMed]
- Vetica, F.; Sansone, A.; Meliota, C.; Batani, G.; Roberti, M.; Chatgilialoglu, C.; Ferreri, C. Free Radical-Mediated Formation of Trans-Cardiolipin isomers, Analytical Approaches for Lipidomics and Consequences for the Structural Organization of Membranes. Biomolecules 2020, 10, 1189. [Google Scholar] [CrossRef]
- Chatgilialoglu, C.; Studer, A. (Eds.) Encyclopedia of Radical in Chemistry, Biology and Materials; Wiley: Chichester, UK, 2012. [Google Scholar]
- Minnihan, E.C.; Nocera, D.G.; Stubbe, J. Reversible, Long-Range Radical Transfer in E. coli Class Ia Ribonucleotide Reductase. Acc. Chem. Res. 2013, 46, 2524–2535. [Google Scholar] [CrossRef] [PubMed] [Green Version]
- Greene, B.L.; Taguchi, A.T.; Stubbe, J.; Nocera, D.G. Conformationally Dynamic Radical Transfer within Ribonucleotide Reductase. J. Am. Chem. Soc. 2017, 139, 16657–16665. [Google Scholar] [CrossRef] [Green Version]
- Buckel, W.; Golding, B.T. Radicals Enzymes. In Encyclopedia of Radical in Chemistry, Biology and Materials; Chatgilialoglu, C., Studer, A., Eds.; Wiley: Chichester, UK, 2012; Volume 3, Chapter 52; pp. 1501–1546. [Google Scholar]
- Lawrence, C.C.; Bennati, M.; Obvias, H.V.; Bar, G.; Griffin, R.G.; Stubbe, J. High-field EPR detection of a disulfide radical anion in the reduction of cytidine 5’-diphosphate by the E441Q R1 mutant of Escherichia coli ribonucleotide reductase. Proc. Natl. Acad. Sci. USA 1999, 96, 8979–8984. [Google Scholar] [CrossRef] [Green Version]
- Zipse, H.; Artin, E.; Wnuk, S.; Lohman, G.J.S.; Martino, D.; Griffin, R.G.; Kacprzak, S.; Kaupp, M.; Hoffman, B.; Bennati, M.; et al. Structure of the Nucleotide Radical Formed during Reaction of CDP/TTP with the E441Q-α2β2 of E. coli Ribonucleotide Reductase. J. Am. Chem. Soc. 2008, 131, 200–211. [Google Scholar] [CrossRef] [Green Version]
- Barata-Vallejo, S.; Ferreri, C.; Golding, B.T.; Chatgilialoglu, C. Hydrogen Sulfide: A Reagent for pH-Driven Bioinspired 1,2-Diol Mono-deoxygenation and Carbonyl Reduction in Water. Org. Lett. 2018, 20, 4290–4294. [Google Scholar] [CrossRef] [Green Version]
- Ahmad, R.; Armstrong, D.A. The effect of pH and complexation on redox reactions between RS radicals and flavins. Can. J. Chem. 1984, 62, 171–177. [Google Scholar] [CrossRef]
- Surdhar, P.S.; Armstrong, D.A. Redox-Potentials of Some Sulfur-Containing Radicals. J. Phys. Chem. 1986, 90, 5915–5917. [Google Scholar] [CrossRef]
- Surdhar, P.S.; Armstrong, D.A. Reduction Potentials and Exchange Reaction of Thiyl Radicals and Disulfide Anion Radicals. J. Phys. Chem. 1987, 91, 6532–6537. [Google Scholar] [CrossRef]
- Armstrong, D.A. Applications of Pulse Radiolysis for the Study of Short-lived Sulphur Species. In Sulfur-Centered Reactive Intermediates in Chemistry and Biology; Chatgilialoglu, C., Asmus, K.-D., Eds.; Plenum Press: New York, NY, USA, 1990. [Google Scholar]
- Mezyk, S.P.; Armstrong, D.A. Disulfide anion radical equilibria: Effects of NH3+, -CO2−, -NHC(O)- and -CH3 groups. J. Chem. Soc. Perkin Trans. 1999, 2, 1411–1419. [Google Scholar] [CrossRef]
- Sober, H.A. (Ed.) Handbook of Biochemistry: Selected Data for Molecular Biology, 2nd ed.; Chemical Rubber Publishing Co.: Cleveland, OH, USA, 1970. [Google Scholar]
- Mezyk, S.P. Determination of the Rate Constant for the Reaction iof Hydroxyl and Oxide Radicals with Cysteine in Aqueous Solution. Radiat. Res. 1996, 145, 102–106. [Google Scholar] [CrossRef]
- Mezyk, S.P. Direct rate constant measurement of radical disulphide anion formation for cysteine and cysteamine in aqueous solution. Chem. Phys. Lett. 1995, 235, 89–93. [Google Scholar] [CrossRef]
- Knight, A.R. Photochemistry of thiols. In The Chemistry of Thiol Group; Patai, S., Ed.; Wiley: London, UK, 1974; Part 1; pp. 455–479. [Google Scholar]
- Turro, N.J. Modern Molecular Photochemistry; University Science Books: Sausalito, CA, USA, 1991. [Google Scholar]
- Xia, S.-H.; Liu, X.-Y.; Fang, Q.; Cui, G. Excited-State Ring-Opening Mechanism of Cyclic Ketones: A MS-CASPT2//CASSCF Study. J. Phys. Chem. A 2015, 119, 3569–3576. [Google Scholar] [CrossRef] [PubMed]
- Shemesh, D.; Nizkorodov, S.A.; Gerber, R.B. Photochemical Reactions of Cyclohexanone: Mechanisms and Dynamics. J. Phys. Chem. A 2016, 120, 7112–7120. [Google Scholar] [CrossRef]
- Reid, D.L.; Shustov, G.V.; Armstrong, A.A.; Rauk, A.; Schuchmann, M.N.; Akhlaq, M.S.; von Sonntag, C. H-atom abstraction from thiols by C-centered radicals. A theoretical and experimental study of reaction rates. Phys. Chem. Chem. Phys. 2002, 4, 2965–2974. [Google Scholar] [CrossRef]
- Von Sonntag, C. Free-Radical-Induced DNA Damage and Its Repair, A Chemical Perspective; Springer: Berlin, Germany, 2006; p. 144. [Google Scholar]
- Laroff, G.P.; Fessenden, R.W. Equilibrium and Kinetics of the Acid Dissociation of Several hydroxyalkyl Radicals. J. Phys. Chem. 1973, 77, 1283–1288. [Google Scholar] [CrossRef]
- Xu, L.; Jin, J.; Lai, M.; Daublain, P.; Newcomb, M. Compatible Injection and Detection Systems for Studing the Kinetics of Excess Electron Transfer. Org. Lett. 2007, 9, 1837–1840. [Google Scholar] [CrossRef] [PubMed]
- Yayla, H.G.; Knowles, R.R. Proton-Coupled Electron Transfer in Organic Synthesis: Novel Homolytic Bond Activation and Catalytic Asymmetyric Reactions with Free Radicals. Synlett 2014, 25, 2819–2826. [Google Scholar] [CrossRef]
- Janata, E.; Schuler, R.H. Rate constant for scavenging e−aq in N2O-saturated solutions. J. Phys. Chem. 1982, 86, 2078–2084. [Google Scholar] [CrossRef]
- Péter, A.; Agasti, S.; Knowles, O.; Pye, E.; Procter, D.J. Recent advances in the chemistry of ketyl radicals. Chem. Soc. Rev. 2021, 50, 5349–5365. [Google Scholar] [CrossRef] [PubMed]
- Huffman, J.W. Metal-Ammonia Reductions of Cyclic Aliphatic Ketones. Acc. Chem. Res. 1983, 16, 399–405. [Google Scholar] [CrossRef]
- Buxton, G.V.; Greenstock, C.L.; Helman, W.P.; Ross, A.B. Critical review of rate constants for reactions of hydrated electrons, hydrogen atoms and hydroxyl radicals (OH/O−) in aqueous solution. J. Phys. Chem. Ref. Data 1988, 17, 513–886. [Google Scholar] [CrossRef] [Green Version]
- Hoffman, M.Z.; Hayon, E. One-Electron Reduction of the Disulfide Linkage in Aqueous Solution. Formation, Protonation, and Decay Kinetics of the RSSR- Radical. J. Am. Chem. Soc. 1972, 94, 795–7957. [Google Scholar] [CrossRef]
- Schaefer, T.; Herrmann, H. Competition kinetics of OH radical reactions with oxygenated organic compounds in aqueous solution: Rate constants and internal optical absorption effects. Phys. Chem. Chem. Phys. 2018, 20, 10939–10948. [Google Scholar] [CrossRef]
- Bobrowski, K. Free radicals in chemistry, biology, and medicine: Contribution of radiation chemistry. Nukleonika 2005, 50 (Suppl. 3), S67–S76. [Google Scholar]
- Mirkowski, J.; Wisniowski, P.; Bobrowski, K. INCT Annual Report 2000; INCT: Warsaw, Poland, 2001. [Google Scholar]
- Pedzinski, T.; Grzyb, K.; Skotnicki, K.; Filipiak, P.; Bobrowski, K.; Chatgilialoglu, C.; Marciniak, B. Radiation- and Photo-Induced Oxidation Pathways of Methionine in Model Peptide Backbone under Anoxic Conditions. Int. J. Mol. Sci. 2021, 22, 4773. [Google Scholar] [CrossRef] [PubMed]
- Syroeshkin, M.A.; Kuriakose, F.; Saverina, E.A.; Timofeeva, V.A.; Egorov, M.P.; Alabugin, I.V. Upconversion of Reductants. Angew. Chem. Int. Ed. 2019, 58, 5532–5550. [Google Scholar] [CrossRef] [PubMed]







| pH (Initial) | Time (min) | ![]() 8 (mM) | ![]() 9 (mM) | pH (Final) |
|---|---|---|---|---|
| 7.0 | 30 | 6.6 | 1.7 | - |
| 60 | 5.1 | 3.2 | 6.0 | |
| 7.5 | 30 | 5.5 | 2.8 | - |
| 60 | 4.4 | 3.9 | 6.5 | |
| 8.5 | 30 | 1.8 | 6.5 | - |
| 60 | 1.0 | 7.3 | 7.5 | |
| 9.6 | 30 | 1.9 | 6.4 | - |
| 60 | 0.9 | 7.4 | 8.3 | |
| 10.6 | 30 | 1.2 | 7.1 | - |
| 60 | 0.3 | 8.0 | 9.5 | |
| 11.5 | 30 | 1.7 | 6.6 | - |
| 60 | 0.5 | 7.8 | 10.8 | |
| 12.0 | 30 | 1.6 | 6.7 | - |
| 60 | 0.6 | 7.7 | 11.5 |
| k (M−1s−1)/Radical | ![]() 8 | ![]() 16 | ![]() 19 |
|---|---|---|---|
| k6/(CysSSCys)●− | (1.6 ± 0.3) × 104 | (5.9 ± 0.5) × 104 | (9.4 ± 0.2) × 104 |
| k5/HO• | 7.2 × 107 | 8.6 × 107 | 1.3 × 108 |
Publisher’s Note: MDPI stays neutral with regard to jurisdictional claims in published maps and institutional affiliations. |
© 2021 by the authors. Licensee MDPI, Basel, Switzerland. This article is an open access article distributed under the terms and conditions of the Creative Commons Attribution (CC BY) license (https://creativecommons.org/licenses/by/4.0/).
Share and Cite
Barata-Vallejo, S.; Skotnicki, K.; Ferreri, C.; Marciniak, B.; Bobrowski, K.; Chatgilialoglu, C. Biomimetic Ketone Reduction by Disulfide Radical Anion. Molecules 2021, 26, 5429. https://doi.org/10.3390/molecules26185429
Barata-Vallejo S, Skotnicki K, Ferreri C, Marciniak B, Bobrowski K, Chatgilialoglu C. Biomimetic Ketone Reduction by Disulfide Radical Anion. Molecules. 2021; 26(18):5429. https://doi.org/10.3390/molecules26185429
Chicago/Turabian StyleBarata-Vallejo, Sebastian, Konrad Skotnicki, Carla Ferreri, Bronislaw Marciniak, Krzysztof Bobrowski, and Chryssostomos Chatgilialoglu. 2021. "Biomimetic Ketone Reduction by Disulfide Radical Anion" Molecules 26, no. 18: 5429. https://doi.org/10.3390/molecules26185429
APA StyleBarata-Vallejo, S., Skotnicki, K., Ferreri, C., Marciniak, B., Bobrowski, K., & Chatgilialoglu, C. (2021). Biomimetic Ketone Reduction by Disulfide Radical Anion. Molecules, 26(18), 5429. https://doi.org/10.3390/molecules26185429






