Pouteria lucuma Pulp and Skin: In Depth Chemical Profile and Evaluation of Antioxidant Activity
Abstract
:1. Introduction
2. Results and Discussion
2.1. Evaluation of the Total Phenolic Content and Antioxidant Activity of P. lucuma Pulp and Skin
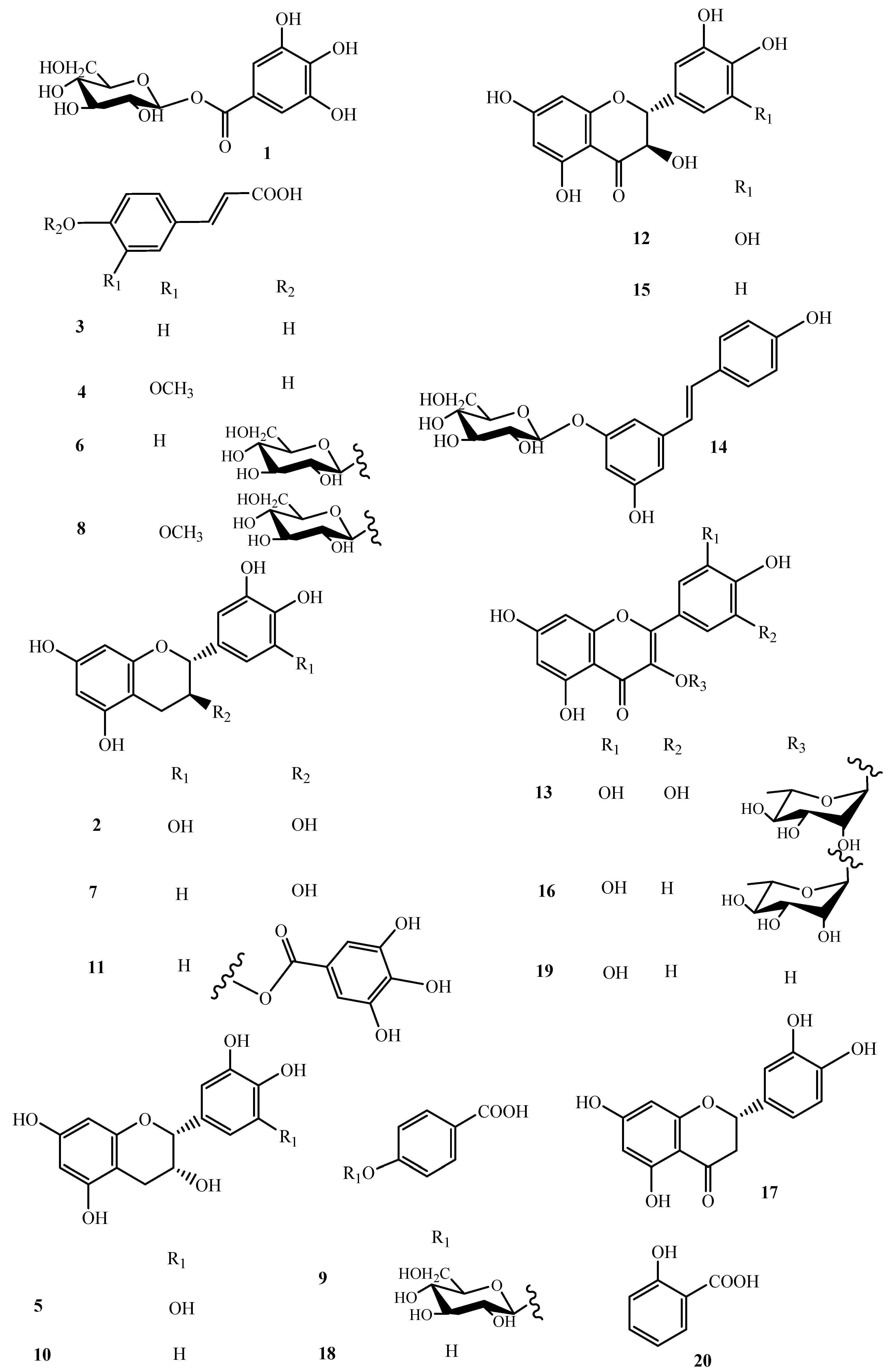
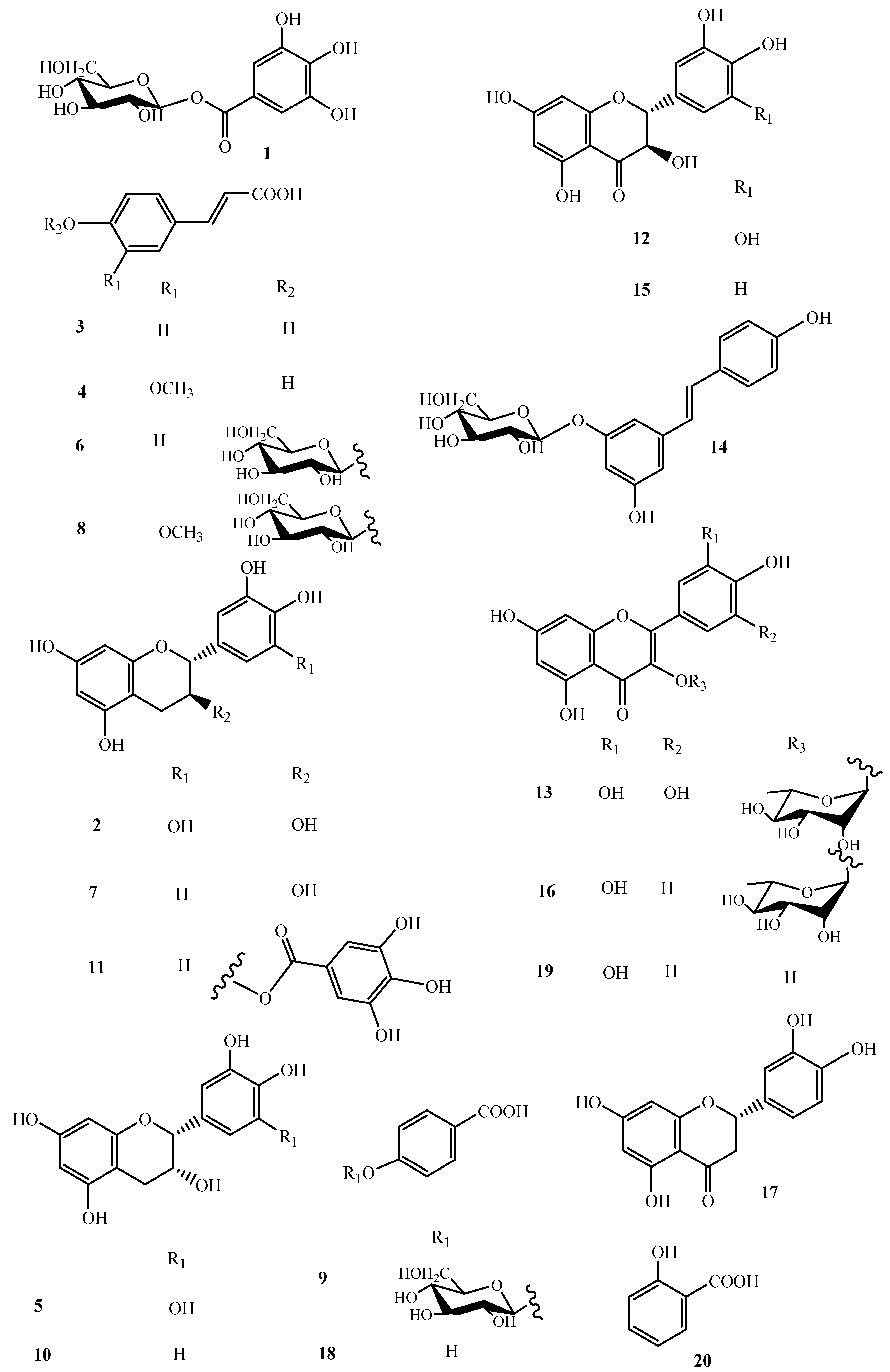
2.2. LC-MS Analysis of Specialized Metabolites Occurring in P. lucuma Pulp
2.3. LC-MS Qualitative Analysis of Polar Lipids in P. lucuma Pulp n-BuOH Extract
2.3.1. Identification of Oxylipins (21–25)
2.3.2. Identification of Galactolipids (26–32, 34 and 36)
2.3.3. Identification of Phosphatidylcholine Derivatives (33 and 35)
2.4. LC-MS Analysis of P. lucuma Skin MeOH Extract
2.5. Antioxidant Activity of Isolated Metabolites by P. lucuma
3. Materials and Methods
3.1. Reagents
3.2. Plant Material and Extraction
3.3. Total Phenolic Content
3.4. DPPH• Radical Scavenging Activity
3.5. ABTS•+ Radical Scavenging Activity
3.6. HR-LC-ESI-Orbitrap-MS and HR-LC-ESI-Orbitrap-MS/MS Analysis
3.7. Isolation of Secondary Metabolites from P. lucuma Pulp Extract
3.8. NMR Analysis
4. Conclusions
Supplementary Materials
Author Contributions
Funding
Institutional Review Board Statement
Informed Consent Statement
Data Availability Statement
Conflicts of Interest
Sample Availability
References
- Silva, C.A.M.; Simeoni, L.A.; Silveira, D. Genus Pouteria: Chemistry and biological activity. Rev. Bras. Farmacogn. 2009, 19, 501–509. [Google Scholar] [CrossRef] [Green Version]
- Ma, J.; Yang, H.; Basile, M.J.; Kennelly, E.J. Analysis of polyphenolic antioxidants from the fruits of three pouteria species by selected ion monitoring liquid chromatography-mass spectrometry. J. Agric. Food Chem. 2004, 52, 5873–5878. [Google Scholar] [CrossRef]
- Garcia-Rios, D.; Aguilar-Galvez, A.; Chirinos, R.; Pedreschi, R.; Campos, D. Relevant physicochemical properties and metabolites with functional properties of two commercial varieties of Peruvian Pouteria lucuma. J. Food Process. Preserv. 2020, 44, e14479. [Google Scholar] [CrossRef]
- Rojo, L.E.; Villano, C.M.; Joseph, G.; Schmidt, B.; Shulaev, V.; Shuman, J.L.; Lila, M.A.; Raskin, I. Wound-healing properties of nut oil from Pouteria lucuma. J. Cosmet. Dermatol. 2010, 9, 185–195. [Google Scholar] [CrossRef] [Green Version]
- Fuentealba, C.; Galvez, L.; Cobos, A.; Olaeta, J.A.; Defilippi, B.G.; Chirinos, R.; Campos, D.; Pedreschi, R. Characterization of main primary and secondary metabolites and in vitro antioxidant and antihyperglycemic properties in the mesocarp of three biotypes of Pouteria lucuma. Food Chem. 2016, 190, 403–411. [Google Scholar] [CrossRef] [PubMed]
- Aguilar-Galvez, A.; Garcia-Rios, D.; Janampa, C.; Mejia, C.; Chirinos, R.; Pedreschi, R.; Campos, D. Metabolites, volatile compounds and in vitro functional properties during growth and commercial harvest of Peruvian lucuma (Pouteria lucuma). Food Biosci. 2021, 40, 100882. [Google Scholar] [CrossRef]
- Maza-De la Quintana, R.; Paucar-Menacho, L.M. Lucuma (Pouteria lucuma): Composition, bioactive components, antioxidant activity, uses and beneficial properties for health. Sci. Agropecu. 2020, 11, 135–142. [Google Scholar] [CrossRef] [Green Version]
- Masullo, M.; Cerulli, A.; Montoro, P.; Pizza, C.; Piacente, S. In depth LC-ESIMSn-guided phytochemical analysis of Ziziphus jujuba Mill. leaves. Phytochemistry 2019, 159, 148–158. [Google Scholar] [CrossRef] [PubMed]
- Masullo, M.; Mari, A.; Cerulli, A.; Bottone, A.; Kontek, B.; Olas, B.; Pizza, C.; Piacente, S. Quali-quantitative analysis of the phenolic fraction of the flowers of Corylus avellana, source of the Italian PGI product “Nocciola di Giffoni”: Isolation of antioxidant diarylheptanoids. Phytochemistry 2016, 130, 273–281. [Google Scholar] [CrossRef]
- Guerrero-Castillo, P.; Reyes, S.; Robles, J.; Simirgiotis, M.J.; Sepulveda, B.; Fernandez-Burgos, R.; Areche, C. Biological activity and chemical characterization of Pouteria lucuma seeds: A possible use of an agricultural waste. Waste Manag. 2019, 88, 319–327. [Google Scholar] [CrossRef]
- Taiti, C.; Colzi, I.; Azzarello, E.; Mancuso, S. Discovering a volatile organic compound fingerprinting of Pouteria lucuma fruits. Fruits 2017, 72, 131–138. [Google Scholar] [CrossRef]
- Masullo, M.; Cerulli, A.; Mari, A.; de Souza Santos, C.C.; Pizza, C.; Piacente, S. LC-MS profiling highlights hazelnut (Nocciola di Giffoni PGI) shells as a byproduct rich in antioxidant phenolics. Food Res. Int. 2017, 101, 180–187. [Google Scholar] [CrossRef]
- Montoro, P.; Teyeb, H.; Masullo, M.; Mari, A.; Douki, W.; Piacente, S. LC-ESI-MS quali-quantitative determination of phenolic constituents in different parts of wild and cultivated Astragalus gombiformis. J. Pharm. Biomed. Anal. 2013, 72, 89–98. [Google Scholar] [CrossRef] [PubMed]
- Hamed, A.I.; Al-Ayed, A.S.; Moldoch, J.; Piacente, S.; Oleszek, W.; Stochmal, A. Profiles analysis of proanthocyanidins in the argun nut (Medemia argun-an ancient Egyptian palm) by LC-ESI-MS/MS. J. Mass Spectrom. 2014, 49, 306–315. [Google Scholar] [CrossRef] [PubMed]
- Cerulli, A.; Napolitano, A.; Masullo, M.; Hosek, J.; Pizza, C.; Piacente, S. Chestnut shells (Italian cultivar “Marrone di Roccadaspide” PGI): Antioxidant activity and chemical investigation with in depth LC-HRMS/MS(n) rationalization of tannins. Food Res. Int. 2020, 129, 108787. [Google Scholar] [CrossRef]
- Mahmood, N.; Piacente, S.; Burke, A.; Khan, A.; Pizza, C. Constituents of Cuscuta reflexa are anti-HIV agents. Antivir. Chem. Chemother. 1997, 8, 70–74. [Google Scholar] [CrossRef] [Green Version]
- Bottone, A.; Masullo, M.; Montoro, P.; Pizza, C.; Piacente, S. HR-LC-ESI-Orbitrap-MS based metabolite profiling of Prunus dulcis Mill. (Italian cultivars Toritto and Avola) husks and evaluation of antioxidant activity. Phytochem. Anal. 2019, 30, 415–423. [Google Scholar] [CrossRef] [PubMed]
- Funari, C.S.; Passalacqua, T.G.; Rinaldo, D.; Napolitano, A.; Festa, M.; Capasso, A.; Piacente, S.; Pizza, C.; Young, M.C.M.; Durigan, G.; et al. Interconverting flavanone glucosides and other phenolic compounds in Lippia salviaefolia Cham. ethanol extracts. Phytochemistry 2011, 72, 2052–2061. [Google Scholar] [CrossRef] [PubMed]
- D’Urso, G.; Napolitano, A.; Cannavacciuolo, C.; Masullo, M.; Piacente, S. Okra fruit: LC-ESI/LTQOrbitrap/MS/MS(n) based deep insight on polar lipids and specialized metabolites with evaluation of anti-oxidant and anti-hyperglycemic activity. Food Funct. 2020, 11, 7856–7865. [Google Scholar] [CrossRef]
- Benavides, A.; Montoro, P.; Bassarello, C.; Piacente, S.; Pizza, C. Catechin derivatives in Jatropha macrantha stems: Characterisation and LC/ESI/MS/MS quali-quantitative analysis. J. Pharm. Biomed. Anal. 2006, 40, 639–647. [Google Scholar] [CrossRef]
- Geng, P.; Harnly, J.M.; Chen, P. Differentiation of Whole Grain from Refined Wheat (T. aestivum) Flour Using Lipid Profile of Wheat Bran, Germ, and Endosperm with UHPLC-HRAM Mass Spectrometry. J. Agric. Food Chem. 2015, 63, 6189–6211. [Google Scholar] [CrossRef]
- Klockmann, S.; Reiner, E.; Bachmann, R.; Hackl, T.; Fischer, M. Food Fingerprinting: Metabolomic Approaches for Geographical Origin Discrimination of Hazelnuts (Corylus avellana) by UPLC-QTOF-MS. J. Agric. Food Chem. 2016, 64, 9253–9262. [Google Scholar] [CrossRef] [PubMed]
- Napolitano, A.; Cerulli, A.; Pizza, C.; Piacente, S. Multi-class polar lipid profiling in fresh and roasted hazelnut (Corylus avellana cultivar “Tonda di Giffoni”) by LC-ESI/LTQOrbitrap/MS/MS(n). Food Chem. 2018, 269, 125–135. [Google Scholar] [CrossRef]
- Levandi, T.; Püssa, T.; Vaher, M.; Toomik, P.; Kaljurand, M. Oxidation products of free polyunsaturated fatty acids in wheat varieties. Eur. J. Lipid Sci. Technol. 2009, 111, 715–722. [Google Scholar] [CrossRef]
- Cerulli, A.; Napolitano, A.; Hosek, J.; Masullo, M.; Pizza, C.; Piacente, S. Antioxidant and In Vitro Preliminary Anti-Inflammatory Activity of Castanea sativa (Italian Cultivar “Marrone di Roccadaspide” PGI) Burs, Leaves, and Chestnuts Extracts and Their Metabolite Profiles by LC-ESI/LTQOrbitrap/MS/MS. Antioxidants 2021, 10, 278. [Google Scholar] [CrossRef] [PubMed]
- Kilinc, H.; Masullo, M.; D’Urso, G.; Karayildirim, T.; Alankus, O.; Piacente, S. Phytochemical investigation of Scabiosa sicula guided by a preliminary HPLC-ESIMS(n) profiling. Phytochemistry 2020, 174, 112350. [Google Scholar] [CrossRef] [PubMed]



| P. lucuma | TPC a | DPPH•b | ABTS•+c |
|---|---|---|---|
| MeOH extract of skin * | 560.69 ± 4.76 | 52.71 ± 1.47 * | 3.67 ± 0.27 |
| n-BuOH extract of pulp ** | 93.53 ± 4.83 | 150.00 ± 2.55 ** | 2.24 ± 0.12 |
| Vitamin C | 4.85 ± 0.05 | - | |
| rutin (mM) | 4.65 ± 0.15 |
| MeOH Extract of P. lucuma Pulp | ||||||||
|---|---|---|---|---|---|---|---|---|
| Compound | tR (min) | Molecular Formula | [(M + HCOOH) − H]− | [M − H]− | Δ ppm | Product Ions | Classification | |
| 1 | galloyl 1-O-glucopyranoside | 1.51 | C13H16O10 | 331.0664 | 1.35 | 169 | phenolic | |
| 2 | gallocatechin | 4.84 | C15H14O7 | 305.06561 | 1.61 | 287, 261, 221, 175, 125 | flavanol | |
| 3 | p-coumaric acid | 5.60 | C9H8O3 | 209.0451 | 2.97 | 145, 119 | phenolic | |
| 4 | p-ferulic acid | 5.66 | C10H10O4 | 239.0554 | 1.78 | 149, 133 | phenolic | |
| 5 | epigallocatechin | 6.28 | C15H14O7 | 305.0659 | 0.34 | 287, 261, 221, 175, 125 | flavanol | |
| 6 | p-coumaroyl 4-O-β-d-glucopyranoside | 6.33 | C15H18O8 | 325.0928 | 0.98 | 163, 145 | phenolic | |
| 7 | catechin | 6.53 | C15H14O6 | 289.0713 | 1.96 | 179, 151, 137 | flavanol | |
| 8 | p-feruloyl-4-O-β-d-glucopyranoside | 6.65 | C16H20O9 | 355.1025 | 0.48 | 193, 175 | phenolic | |
| 9 | 4-hydroxybenzoic acid 4-O-β-d-glucopyranoside | 6.96 | C13H16O8 | 299.0763 | 0.56 | 137 | phenolic | |
| 10 | epicatechin | 7.33 | C15H14O6 | 289.0715 | 2.01 | 179, 151, 137 | flavanol | |
| 11 | gallocatechin-gallate | 7.64 | C22H18O11 | 457.0769 | 0.75 | 287, 169 | flavanol | |
| 12 | ampelopsin | 7.89 | C15H12O8 | 319.0456 | 2.24 | 301, 193 | dihydroflavonol | |
| 13 | myricetin 3-O-α-l-rhamnopyranoside | 8.38 | C21H20O12 | 479.0824 | 0.72 | 317 | flavonol | |
| 14 | resveratrol-3-O-β-d-glucopyranoside | 8.87 | C20H22O8 | 389.1232 | 0.14 | 227 | phenolic | |
| 15 | taxifolin | 9.55 | C15H12O7 | 303.0503 | 1.16 | 285, 177, 125 | dihydroflavonol | |
| 16 | quercetin 3-O-β-d-rhamnopyranoside | 10.41 | C21H20O11 | 447.0927 | −0.20 | 301 | flavonol glycoside | |
| 17 | eriodictyol | 10.91 | C15H12O6 | 287.0550 | 0.02 | 179, 163, 153 | dihydroflavonol | |
| 18 | p-hydroxy benzoic acid | 11.53 | C7H6O3 | 137.0218 | 3.10 | 93 | phenolic | |
| 19 | quercetin | 11.70 | C15H10O7 | 301.0350 | 2.46 | 179, 151 | flavonol | |
| 20 | salycilic acid | 11.83 | C7H6O3 | 137.0218 | 3.10 | 93 | phenolic | |
| 21 | TriHoDe | 13.01 | C18H32O5 | 327.2171 | 0.51 | 309, 291, 273, 229, 221, 171 | oxylipin | |
| 22 | TriHoMe | 13.69 | C18H34O5 | 329.2326 | 0.32 | 311, 293, 229, 211, 199, 171 | oxylipin | |
| 23 | TriHoDe | 14.92 | C18H28O4 | 307.1909 | 0.48 | 289, 271, 243, 235, 209 | oxylipin | |
| 24 | hydroxy-epoxy-octadecadienoic acid | 16.34 | C18H30O4 | 309.2065 | 0.50 | 291, 273, 201, 171 | oxylipin | |
| 25 | hydroxy-epoxy-octadecadienoic acid isomer | 16.71 | C18H30O4 | 309.2065 | 0.5 | 291, 273, 201, 171 | oxylipin | |
| 26 | DGMG (18:3) | 17.32 | C33H56O14 | 721.3634 | −2.54 | 675, 415, 397, 305, 277, 235, 205 | galactolipid | |
| 27 | DGMG (18:3) | 17.69 | C33H56O146 | 721.3631 | −2.98 | 675, 415, 397, 305, 277, 235, 205 | galactolipid | |
| 28 | DGMG (18:2) | 18.30 | C33H58O14 | 723.3796 | −3.47 | 677, 415, 397, 279, 235 | galactolipid | |
| 29 | DGMG (18:2) | 18.74 | C33H58O14 | 723.3795 | −3.47 | 677, 415, 397, 279, 235 | galactolipid | |
| 30 | DGMG (18:1) | 19.17 | C33H60O14 | 725.3937 | −3.87 | 679, 415, 397, 281, 235 | galactolipid | |
| 31 | DGMG (16:0) | 19.42 | C31H58O14 | 699.3788 | −1.40 | 415, 397, 235 | galactolipid | |
| 32 | DGMG (18:1) | 19.60 | C33H60O14 | 725.3937 | −3.87 | 679, 415, 397, 281, 235 | galactolipid | |
| 33 | l-PC (16:0) | 19.98 | C24H50O7NP | 540.3296 | 0.028 | 480, 255 | phosphatidylcholine | |
| 34 | MGMG (16:3) | 20.59 | C25H42O9 | 485.2744 | −0.27 | 235 | galactolipid | |
| 35 | l-PC (18:1) | 20.59 | C26H52O7NP | 566.3451 | −0.17 | 506, 281 | phosphatidylcholine | |
| 36 | DGMG (18:0) | 21.70 | C33H62O14 | 727.4096 | −1.98 | 681, 397 | galactolipid | |
| MeOH extract of P. lucuma skin | ||||||||
| 1 | galloyl 1-O-glucopyranoside | 1.51 | C13H16O10 | 331.0668 | 1.39 | 169 | phenolic | |
| 15 | taxifolin | 9.46 | C15H12O7 | 303.0503 | 1.16 | 285, 177, 125 | dihydroflavonol | |
| 17 | eriodictyol | 10.87 | C15H12O6 | 287.0558 | 2.67 | 179, 163, 153 | dihydroflavonol | |
| 19 | quercetin | 12.58 | C15H10O7 | 301.0346 | 1.00 | 179, 151 | flavonol | |
| 21 | TriHoDe | 12.90 | C18H32O5 | 327.2169 | 0.88 | 229, 211, 171 | oxylipin | |
| 22 | TriHOME | 13.83 | C18H34O5 | 329.2326 | 1.18 | 293, 229, 211, 199, 171 | oxylipin | |
| 37 | ellagic acid | 14.69 | C14H6O8 | 300.9983 | −3.85 | 257, 201 | phenolic | |
| 38 | DGDG (18.3, 16:0) | 30.50 | C49H86O15 | 959.5934 | −0.35 | 913, 415, 397, 277, 255 | galactolipid | |
| Compound | TEAC Value (mM ± SD) | |
|---|---|---|
| 1 | galloyl 1-O-glucopyranoside | 3.24 ± 0.07 |
| 2 | gallocatechin | 5.12 ± 0.21 |
| 3 | p-coumaric acid | 0.70 ± 0.03 |
| 4 | p-ferulic acid | 1.93 ± 0.01 |
| 5 | epigallocatechin | 5.29 ± 0.30 |
| 6 | p-coumaroyl 4-O-β-d-glucopyranoside | 0.79 ± 0.01 |
| 7 | catechin | 2.56 ± 0.27 |
| 8 | p-feruloyl-4-O-β-d-glucopyranoside | 2.01 ± 0.05 |
| 9 | 4-hydroxybenzoic acid 4-O-β-d-glucopyranoside | 2.46 ± 0.07 |
| 10 | epicatechin | 2.14 ± 0.24 |
| 11 | gallocatechin-gallate | 5.92 ± 0.16 |
| 12 | ampelopsin | 2.29 ± 0.03 |
| 13 | myricetina 3-O-α-l-rhamnopyranoside | 4.41 ± 0.23 |
| 14 | resveratrol-3-O-β-d-glucopyranoside | 2.00 ± 0.40 |
| 15 | taxifolin | 3.53 ± 0.29 |
| 16 | quercetin 3-O-β-d-rhamnopyroside | 4.85 ± 0.10 |
| 17 | eriodictyol | 2.12 ± 0.06 |
| 18 | p-hydroxy benzoic acid | 2.25 ± 0.09 |
| 19 | quercetin | 4.71 ± 0.27 |
| 20 | salycilic acid | 2.12 ± 0.03 |
| rutin | 4.65 ± 0.15 |
Publisher’s Note: MDPI stays neutral with regard to jurisdictional claims in published maps and institutional affiliations. |
© 2021 by the authors. Licensee MDPI, Basel, Switzerland. This article is an open access article distributed under the terms and conditions of the Creative Commons Attribution (CC BY) license (https://creativecommons.org/licenses/by/4.0/).
Share and Cite
Masullo, M.; Cerulli, A.; Pizza, C.; Piacente, S. Pouteria lucuma Pulp and Skin: In Depth Chemical Profile and Evaluation of Antioxidant Activity. Molecules 2021, 26, 5236. https://doi.org/10.3390/molecules26175236
Masullo M, Cerulli A, Pizza C, Piacente S. Pouteria lucuma Pulp and Skin: In Depth Chemical Profile and Evaluation of Antioxidant Activity. Molecules. 2021; 26(17):5236. https://doi.org/10.3390/molecules26175236
Chicago/Turabian StyleMasullo, Milena, Antonietta Cerulli, Cosimo Pizza, and Sonia Piacente. 2021. "Pouteria lucuma Pulp and Skin: In Depth Chemical Profile and Evaluation of Antioxidant Activity" Molecules 26, no. 17: 5236. https://doi.org/10.3390/molecules26175236
APA StyleMasullo, M., Cerulli, A., Pizza, C., & Piacente, S. (2021). Pouteria lucuma Pulp and Skin: In Depth Chemical Profile and Evaluation of Antioxidant Activity. Molecules, 26(17), 5236. https://doi.org/10.3390/molecules26175236
