Synthesis, Antibacterial and Pharmacokinetic Evaluation of Novel Derivatives of Harmine N9-Cinnamic Acid
Abstract
:1. Introduction
2. Result and Discussion
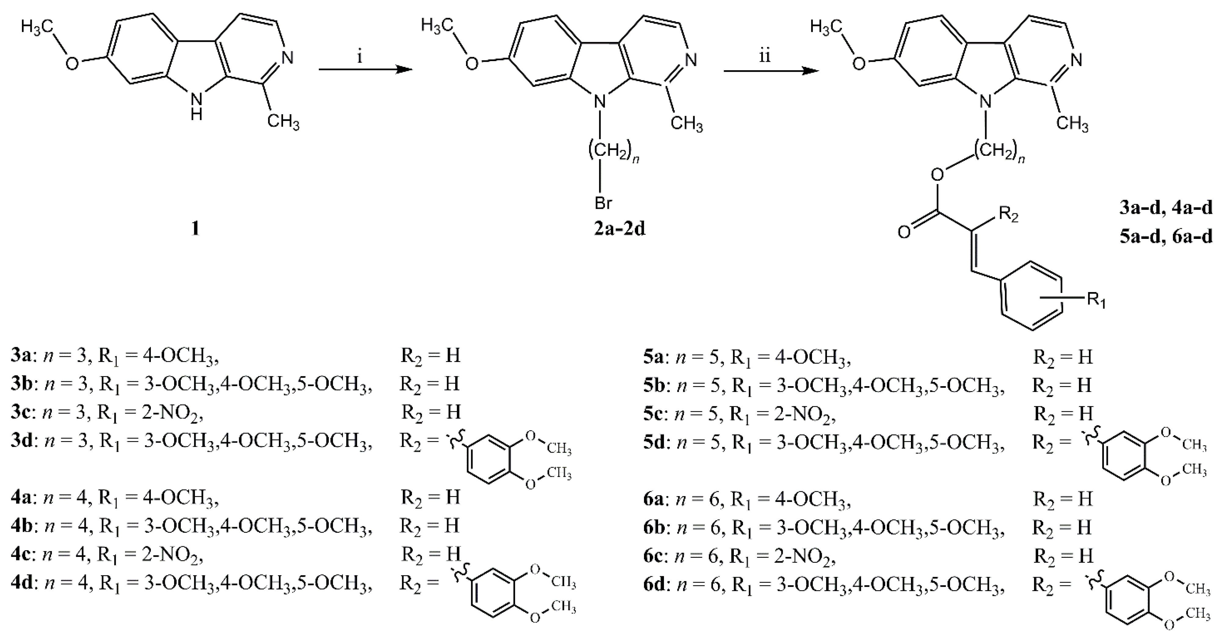
2.1. Chemistry
2.2. Evaluation of the Antibacterial Activity
2.3. In Vitro Cytotoxic Activity
2.4. In Vivo Pharmacokinetic Study
3. Materials and Methods
3.1. General Information
3.2. Synthesis
3.3. Evaluation of the Antibacterial Activity
3.3.1. MIC Testing
3.3.2. Bactericidal Time–Kill Kinetics
3.4. In Vitro Cytotoxic Activity
3.5. In Vivo Pharmacokinetic Study
3.5.1. Animals and Ethics Statement
3.5.2. Pharmacokinetic Experiment
3.5.3. Statistical Analysis
4. Conclusions
Supplementary Materials
Author Contributions
Funding
Institutional Review Board Statement
Informed Consent Statement
Data Availability Statement
Acknowledgments
Conflicts of Interest
Sample Availability
References
- Laxminarayan, R.; Dune, A.; Wattal, C. Antibiotic resistance-the need for global solutions. Lancet Infect. Dis. 2014, 14, 11. [Google Scholar] [CrossRef] [Green Version]
- Abushaheen, M.A.; Fatani, A.J.; Alosaimi, M.; Jhugroo, P. Antimicrobial resistance, mechanisms and its clinical significance. Dis. Month 2020, 66, 100971. [Google Scholar] [CrossRef]
- Watkins, R.R.; Bonomo, R.A. Overview: Global and Local Impact of Antibiotic Resistance. Infect. Dis. Clin. N. Am. 2016, 30, 313–322. [Google Scholar] [CrossRef]
- Donadio, S.; Maffioli, S.; Monciardini, P.; Sosio, M.; Jabes, D. Antibiotic discovery in the twenty-first century: Current trends and future perspectives. J. Antibiot. 2010, 63, 423–430. [Google Scholar] [CrossRef] [Green Version]
- Ardal, C.; Balasegaram, M.; Laxminarayan, R.; McAdams, D.; Outterson, K.; Rex, J.H.; Sumpradit, N. Antibiotic development—Economic, regulatory and societal challenges. Nat. Rev. Microbiol. 2020, 18, 267–274. [Google Scholar] [CrossRef] [PubMed]
- Murphy, K.E.; Sloan, G.F.; Lawhern, G.V.; Volk, G.E.; Shumate, J.T.; Wolfe, A.L. Advances in antibiotic drug discovery: Reducing the barriers for antibiotic development. Future Med. Chem. 2020, 12, 2067–2087. [Google Scholar] [CrossRef]
- Durand, G.A.; Raoult, D.; Dubourg, G. Antibiotic discovery: History, methods and perspectives. Int. J. Antimicrob. Agents 2019, 53, 371–382. [Google Scholar] [CrossRef] [PubMed]
- Waksman, S.A. Antibiotics--past, present and future. Praxis 1963, 51, 330–333. [Google Scholar]
- Kathrin, I. Mohr, History of Antibiotics Research. Curr. Top. Microb. Immunol. 2016, 398, 237–272. [Google Scholar]
- Patel, K.; Gadewar, M.; Tripathi, R.; Prasad, S.K.; Patel, D.K. A review on medicinal importance, pharmacological activity and bioanalytical aspects of beta-carboline alkaloid “Harmine”. Asian Pac. J. Trop. Biomed. 2012, 2, 660–664. [Google Scholar] [CrossRef] [Green Version]
- Asgarpanah, J.; Ramezanloo, F. Chemistry, pharmacology and medicinal properties of Peganum harmala L. Afr. J. Pharm. Pharm. 2012, 6, 1573–1580. [Google Scholar] [CrossRef]
- Fortunato, J.J.; Reus, G.Z.; Kirsch, T.R.; Stringari, R.B.; Stertz, L.; Kapczinski, F.; Pinto, J.P.; Hallak, J.E.; Zuardi, A.W.; Crippa, J.A.; et al. Acute harmine administration induces antidepressive-like effects and increases BDNF levels in the rat hippocampus. Prog. Neuro-Psychopharmacol. 2009, 33, 1425–1430. [Google Scholar] [CrossRef]
- Javeed, M.; Rasul, A.; Hussain, G.; Jabeen, F.; Rasool, B.; Shafiq, N.; Riaz, A.; Kaukab, G.; Ali, M. Harmine and its derivatives: Biological activities and therapeutic potential in human diseases. Bangl. J. Pharmacol. 2018, 13, 203–213. [Google Scholar] [CrossRef]
- Zhang, L.; Li, D.; Yu, S. Pharmacological effects of harmine and its derivatives: A review. Arch. Pharm. Res. 2020, 43, 1259–1275. [Google Scholar] [CrossRef]
- Darabpour, E.; Bavi, A.P.; Motamedi, H.; Nejad, S.M.S. Antibacterial Activity of Different Parts of Peganum Harmala L. Growing in Iran against Multi-Drug Resistant Bacteria. EXCLI J. 2011, 10, 252–263. [Google Scholar]
- Cowan, M.M. Plant products as antimicrobial agents. Clin. Microbiol. Rev. 1999, 12, 564. [Google Scholar] [CrossRef] [Green Version]
- Dai, J.; Dan, W.; Ren, S.; Shang, C.; Wang, J. Design, synthesis and biological evaluations of quaternization harman analogues as potential antibacterial agents. Eur. J. Med. Chem. 2018, 160, 23–36. [Google Scholar] [CrossRef]
- Zhang, J.; Li, L.; Dan, W.; Jian, L.; Wang, J. Synthesis and Antimicrobial Activities of 3-Methyl-β-Carboline Derivatives. Nat. Prod. Commun. 2015, 10, 899. [Google Scholar] [CrossRef] [PubMed] [Green Version]
- Yilmaz, S.; Sova, M.; Ergün, S. Antimicrobial activity of trans-cinnamic acid and commonly used antibiotics against important fish pathogens and nonpathogenic isolates. J. Appl. Microbiol. 2018, 125, 1714–1727. [Google Scholar] [CrossRef] [PubMed]
- Parle, A.; Arora, T. Synthesis and antibacterial screening of some novel cinnamic acid derivatives. Int. J. Chem. Stud. 2017, 5, 643–647. [Google Scholar]
- Cai, R.; Miao, M.; Yue, T.; Zhang, Y.; Cui, L.; Wang, Z.; Yuan, Y. Antibacterial activity and mechanism of cinnamic acid and chlorogenic acid against Alicyclobacillus acidoterrestris vegetative cells in apple juice. Int. J. Food Sci. Technol. 2019, 54, 1697–1705. [Google Scholar] [CrossRef]
- Yingyongnarongkul, B.E.; Apiratikul, N.; Aroonrerk, N.; Suksamrarn, A. Solid-phase synthesis and antibacterial activity of hydroxycinnamic acid amides and analogues against methicillin-resistant Staphylococcus aureus and vancomycin-resistant S. aureus. Bioorg. Med. Chem. Lett. 2006, 16, 5870–5873. [Google Scholar] [CrossRef]
- Vasconcelos, N.G.; Croda, J.; Simionatto, S. Antibacterial mechanisms of cinnamon and its constituents: A review. Microb. Pathog. 2018, 120, 198–203. [Google Scholar] [CrossRef] [PubMed]
- Zolfaghari, B.; Yazdiniapour, Z.; Sadeghi, M.; Akbari, M.; Lanzotti, V. Cinnamic acid derivatives from welsh onion (Allium fistulosum) and their antibacterial and cytotoxic activities. Phytochem. Anal. 2020, 84, 90. [Google Scholar] [CrossRef]
- Deng, Y.; Tang, D.; Wang, Q.; Huang, S.; Li, C. Semi-synthesis, antibacterial activity, and molecular docking study of novel pleuromutilin derivatives bearing cinnamic acids moieties. Arch. Pharm. 2019, 352, 1–8. [Google Scholar] [CrossRef] [PubMed] [Green Version]
- Narasimhan, B.; Belsare, D.; Pharande, D.; Mourya, V.; Dhake, A. Esters, amides and substituted derivatives of cinnamic acid: Synthesis, antimicrobial activity and QSAR investigations. Eur. J. Med. Chem. 2004, 39, 827–834. [Google Scholar] [CrossRef]
- Sova, M. Antioxidant and Antimicrobial Activities of Cinnamic Acid Derivatives. Mini Rev. Med. Chem. 2012, 12, 749–767. [Google Scholar] [CrossRef]
- Yi, Y.; Fu, Y.; Dong, P. Synthesis and Biological Activity Evaluation of Novel Heterocyclic Pleuromutilin Derivatives. Molecules 2017, 22, 996. [Google Scholar] [CrossRef] [PubMed] [Green Version]
- Silvers, M.A.; Robertson, G.T.; Taylor, C.M.; Waldrop, G.L. Design, synthesis, and antibacterial properties of dual-ligand inhibitors of acetyl-CoA carboxylase. J. Med. Chem. 2014, 57, 8947–8959. [Google Scholar] [CrossRef]
- Zhang, Y.; Li, S.; Wang, Y.; Deng, G.; Cao, N. Potential Pharmacokinetic Drug–Drug Interaction Between Harmine, a Cholinesterase Inhibitor, and Memantine, a Non-Competitive N-Methyl-d-Aspartate Receptor Antagonist. Molecules 2019, 24, 1430. [Google Scholar] [CrossRef] [PubMed] [Green Version]
- Yong, Z.; Huo, M.; Zhou, J.; Xie, S. PKSolver: An add-in program for pharmacokinetic and pharmacodynamic data analysis in Microsoft Excel. Comput. Methods Programs Biomed. 2010, 99, 306–314. [Google Scholar]





| Compound | MIC (μg/mL) | ||||
|---|---|---|---|---|---|
| Gram-Positive Bacteria | Gram-Negative Bacteria | ||||
| S. aureus | S. albus | MRSA | E. coli | PA | |
| 3a | 325 | 650 | 1300 | 650 | 325 |
| 3b | 318.75 | 637.5 | 637.5 | 637.5 | 318.75 |
| 3c | 13.67 | 13.67 | 54.69 | 218.75 | 218.75 |
| 3d | 181.25 | 725 | 362.5 | 725 | 362.5 |
| 4a | 305 | 305 | 610 | 152.5 | 305 |
| 4b | 112.5 | 225 | 450 | 450 | 450 |
| 4c | 1550 | 1550 | 1550 | 775 | 387.5 |
| 4d | 26.56 | 53.13 | 106.25 | 212.5 | 212.5 |
| 5a | 15.63 | 15.63 | 62.5 | 250 | 125 |
| 5b | 1138 | 2275 | 2275 | 1137.5 | 1137.5 |
| 5c | 110 | 110 | 220 | 220 | 220 |
| 5d | 23.83 | 95.3 | 95.31 | 762.5 | 381.25 |
| 6a | 82.81 | 165.63 | 331.25 | 662.5 | 331.25 |
| 6b | 152.5 | 152.5 | 305.5 | 305 | 305 |
| 6c | 375 | 750 | 1500 | 750 | 750 |
| 6d | 53.13 | 53.13 | 212.5 | 212.5 | 212.5 |
| Harmine | 31.25 | 15.63 | 62.50 | 15.63 | 15.63 |
| Cinnamic acid | 1125 | 1125 | 1125 | 1125 | 1125 |
| DMSO | - | - | - | - | - |
| Compound | IC50 (µmol/L) | ||
|---|---|---|---|
| WI-38 | MCF-7 | HepG2 | |
| 3c | 340.30 ± 2.79 | 94.86 ± 3.64 | 161.67 ± 1.31 |
| Harmine | 103.40 ± 0.96 | 78.88 ± 2.82 | 67.61 ±1.60 |
| Pharmacokinetics Parameters | i.v. | i.g. |
|---|---|---|
| Cmax (ng/mL) | 836.67 ± 229.45 | 158.73 ± 59.61 |
| Tmax (h) | 0.083 ± 0.030 | 0.25 ± 0.033 |
| T1/2 (h) | 2.27 ± 0.62 | 1.30 ± 0.47 |
| Cl/F (L/h·kg) | 0.031 ± 0.03 | 0.26 ± 0.10 |
| MRT (h) | 2.8585 ± 0.71 | 3.3322 ± 0.83 |
| AUC0→t (ng·h/mL) | 1050.59 ± 229.31 | 284.24 ± 54.36 |
| AUC0→∞ (ng·h/mL) | 1053.24 ± 231.06 | 290.25 ± 55.17 |
Publisher’s Note: MDPI stays neutral with regard to jurisdictional claims in published maps and institutional affiliations. |
© 2021 by the authors. Licensee MDPI, Basel, Switzerland. This article is an open access article distributed under the terms and conditions of the Creative Commons Attribution (CC BY) license (https://creativecommons.org/licenses/by/4.0/).
Share and Cite
Liang, Y.; He, D.; Zhou, D.; Li, J.; Tang, L.; Wang, Z. Synthesis, Antibacterial and Pharmacokinetic Evaluation of Novel Derivatives of Harmine N9-Cinnamic Acid. Molecules 2021, 26, 4842. https://doi.org/10.3390/molecules26164842
Liang Y, He D, Zhou D, Li J, Tang L, Wang Z. Synthesis, Antibacterial and Pharmacokinetic Evaluation of Novel Derivatives of Harmine N9-Cinnamic Acid. Molecules. 2021; 26(16):4842. https://doi.org/10.3390/molecules26164842
Chicago/Turabian StyleLiang, Yan, Dian He, Deshun Zhou, Junshuai Li, Lei Tang, and Zhen Wang. 2021. "Synthesis, Antibacterial and Pharmacokinetic Evaluation of Novel Derivatives of Harmine N9-Cinnamic Acid" Molecules 26, no. 16: 4842. https://doi.org/10.3390/molecules26164842
APA StyleLiang, Y., He, D., Zhou, D., Li, J., Tang, L., & Wang, Z. (2021). Synthesis, Antibacterial and Pharmacokinetic Evaluation of Novel Derivatives of Harmine N9-Cinnamic Acid. Molecules, 26(16), 4842. https://doi.org/10.3390/molecules26164842
