Synthesis, Characterization, and Non-Covalent Interactions of Palladium(II)-Amino Acid Complexes
Abstract
:1. Introduction
2. Results and Discussion
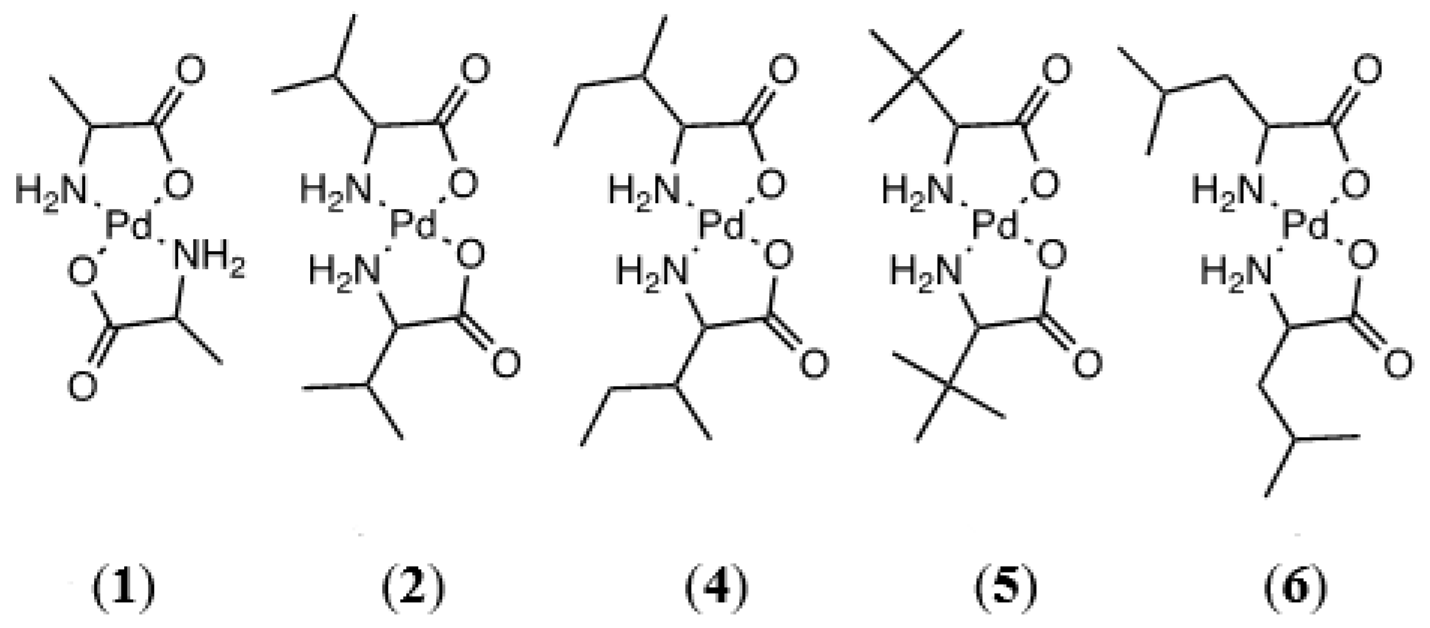
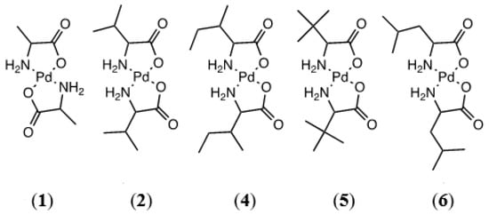
2.1. Amino Acids with Aliphatic Hydrophobic R-Groups
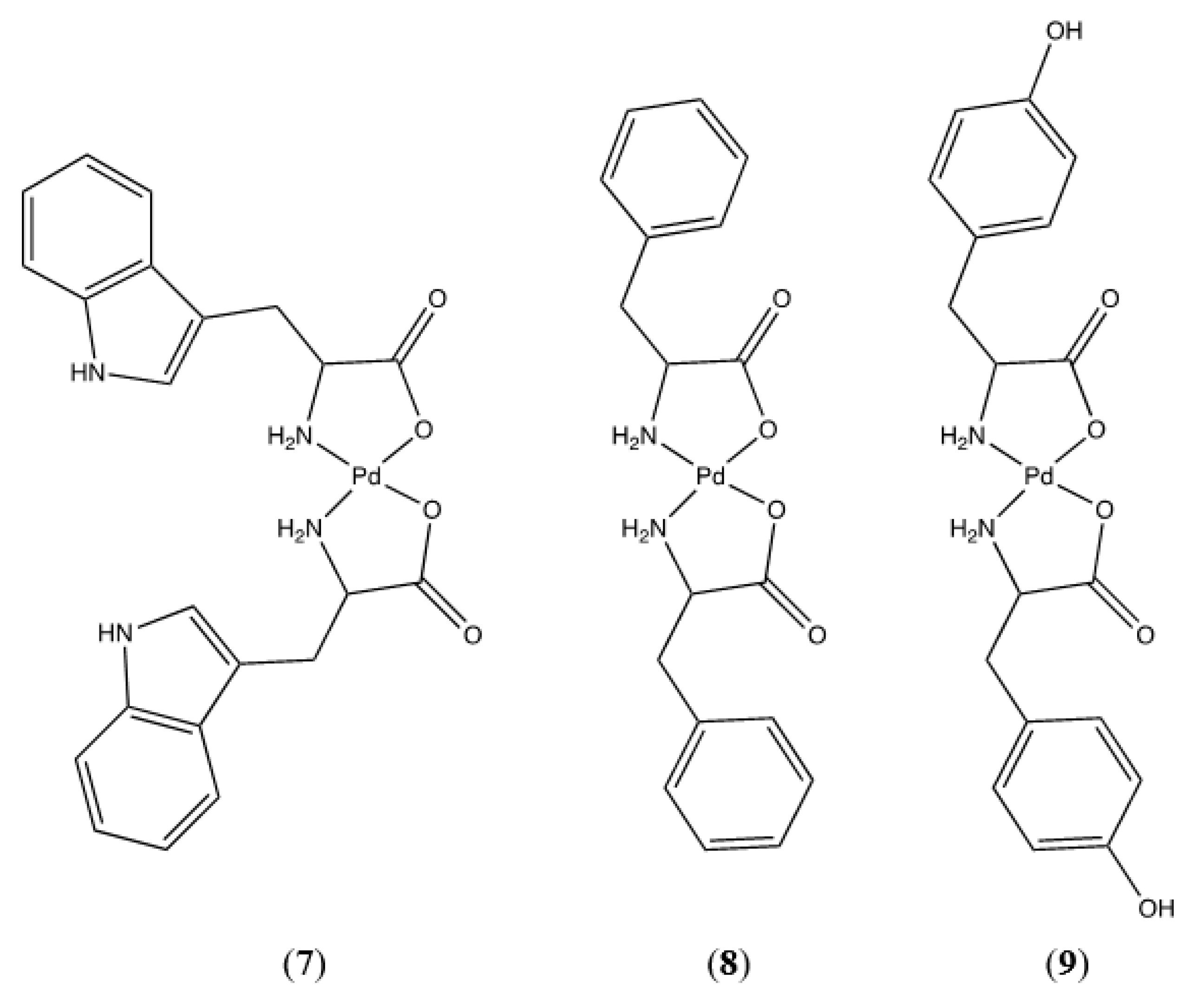
2.2. Amino Acids with Aromatic Hydrophobic R-Groups
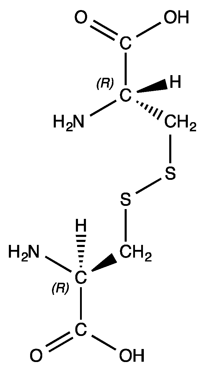
2.3. Amino Acids with Polar Neutral R-Groups
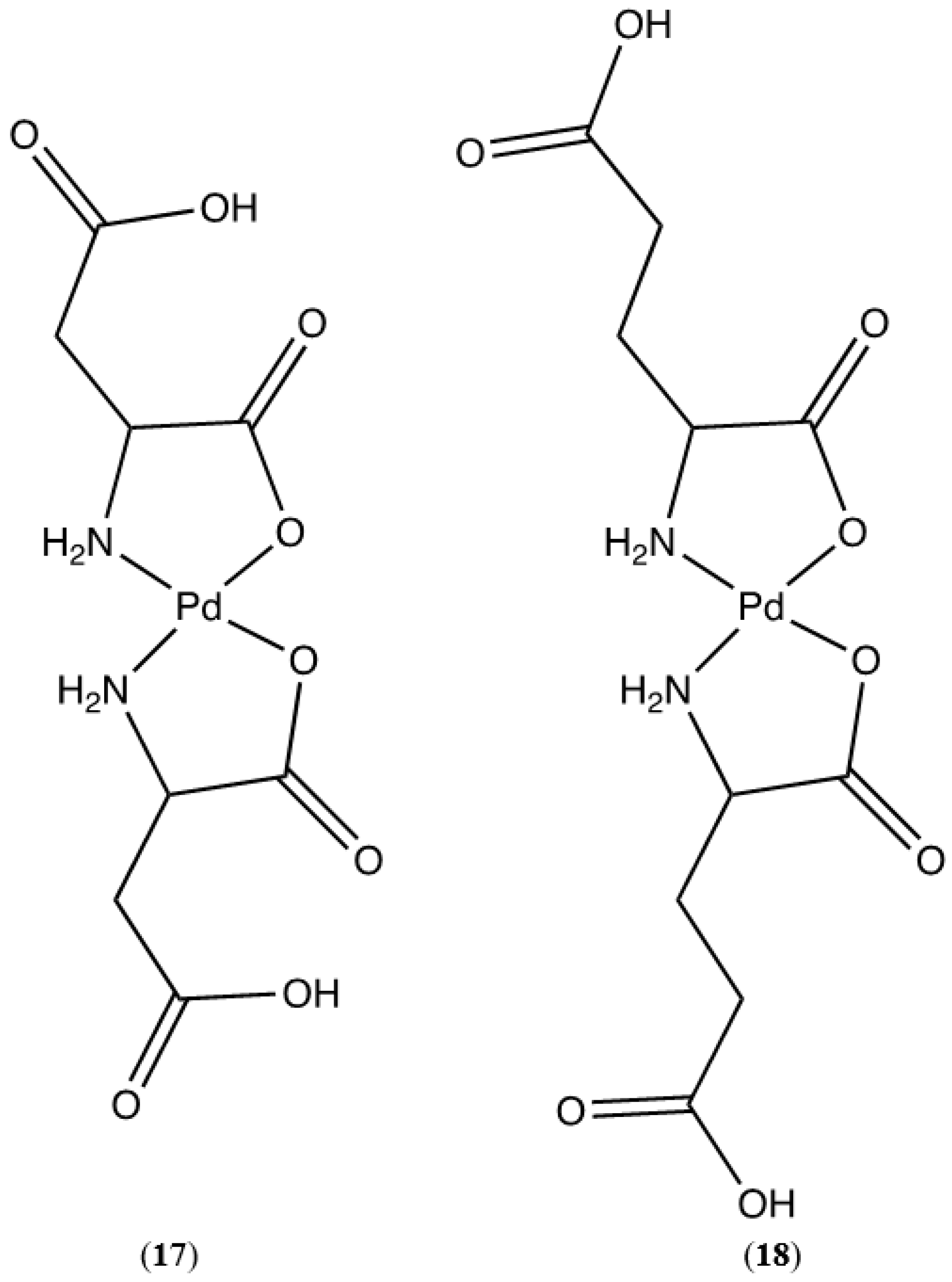
2.4. Amino Acids with Charged Acidic R-Groups
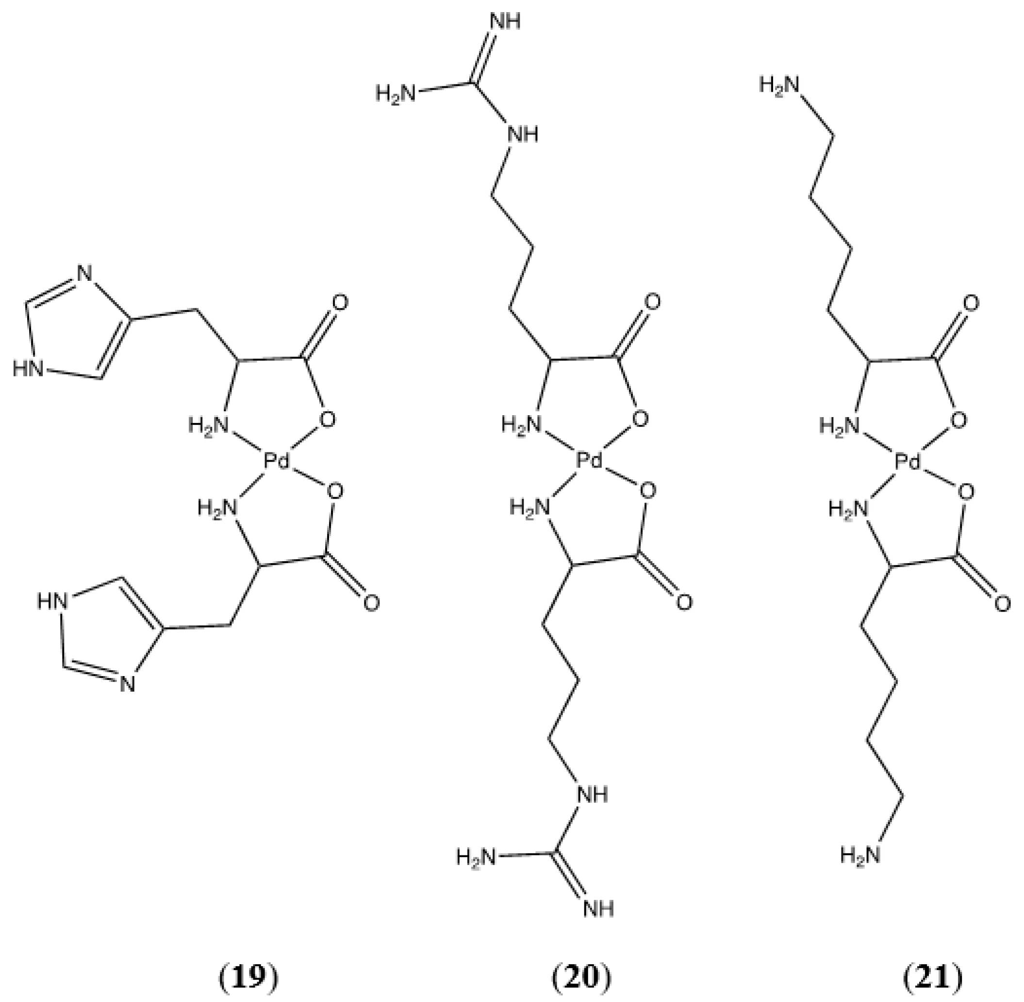
2.5. Amino Acids with Charged Basic R-Groups
3. Solid State Intermolecular Interactions
4. Materials and Methods
4.1. General Procedure
4.1.1. Synthesis of Bis-(alaninato)palladium(II) (1)
4.1.2. Synthesis of Bis-(l-valinato)palladium(II) (2)
4.1.3. Synthesis of Bis-(d-valinato)palladium(II) (3)
4.1.4. Synthesis of Bis-(isoleucinato)palladium(II) (4)
4.1.5. Synthesis of Bis-(tert-leucinato)palladium(II) (5)
4.1.6. Synthesis of Bis-(leucinato)palladium(II) (6)
4.1.7. Synthesis of Bis-(tryptophanato)palladium(II) (7)
4.1.8. Synthesis of Bis-(phenylalaninato)palladium(II) (8)
4.1.9. Synthesis of Bis-(tyrosinato)palladium(II) (9)
4.1.10. Synthesis of Bis-(asparaginato)palladium(II) (10)
4.1.11. Synthesis of Bis-(glutaminato)palladium(II) (11)
4.1.12. Attempted Synthesis of Bis-(cysteinato)palladium(II) (12)
4.1.13. Attempted Synthesis of Bis-(cystinato)palladium(II) (13)
4.1.14. Attempted Synthesis of Bis-(methioninato)palladium(II) (14)
4.1.15. Synthesis of Bis-(serinato)palladium(II) (15)
4.1.16. Synthesis of Bis-(threoninato)palladium(II) (16)
4.1.17. Synthesis of Bis-(aspartic acid)palladium(II) (17)
4.1.18. Synthesis of Bis-(glutamic acid)palladium(II) (18)
4.1.19. Synthesis of Bis-(histidinato)palladium(II) (19)
4.1.20. Synthesis of Bis-(argininato)palladium(II) (20)
4.1.21. Synthesis of Bis-(lysinato)palladium(II) (21)
4.2. X-ray Crystallography
5. Conclusions
Supplementary Materials
Author Contributions
Funding
Institutional Review Board Statement
Informed Consent Statement
Data Availability Statement
Acknowledgments
Conflicts of Interest
Sample Availability
References
- Hobart, D.B.; Berg, M.A.G.; Merola, J.S. Bis-Glycinato Complexes of Palladium(II): Synthesis, Structural Determination, and Hydrogen Bonding Interactions. Inorg. Chim. Acta 2014, 423, 21–30. [Google Scholar] [CrossRef]
- Hobart, D.B.; Merola, J.S.; Rogers, H.M.; Sahgal, S.; Mitchell, J.; Florio, J.; Merola, J.W. Synthesis, Structure, and Catalytic Reactivity of Pd(II) Complexes of Proline and Proline Homologs. Catalysts 2019, 9, 515. [Google Scholar] [CrossRef] [Green Version]
- Hobart, D.B.; Patel, V.G.; Pendergrass, H.; Florio, J.; Merola, J.S. Self-Assembly Motifs of Water in Crystals of Palladium β-Amino Acid Complexes Influenced by Methyl Substitution on the Amino Acid Backbone. Crystals 2019, 9, 590. [Google Scholar] [CrossRef] [Green Version]
- Biswas, A.B.; Mathur, H.B. Nature of Metal-Donor Bonds in Amino Acid Complexes-Studies on Infrared Spectra. Indian J. Chem. 1964, 2, 257. [Google Scholar]
- Farooq, O.; Ahmad, N.; Malik, A.U. Stability of Some Amino Acid Complexes with Palladium(II) Using Sodium Chloropalladite. J. Electroanal. Chem. 1973, 48, 475–479. [Google Scholar] [CrossRef]
- Chernova, N.N.; Shakhova, L.P.; Kukushkin, Y.N. Synthesis of Palladium (II) Complexes with α-Alanine and Phenylalanine. Zhurnal Neorg. Khim. 1976, 21, 3027–3030. [Google Scholar]
- Pletnev, V.Z.; Zolotarev, Y.A.; Galitskii, N.M.; Verenich, A.I. Crystal and Molecular Structure of Complex Cis-[(VAL)2 Pd]H2O. J. Struct. Chem. 1992, 33, 98–102. [Google Scholar] [CrossRef]
- Patel, R.P.; Kulshreshtha, S.K.; Mohan, H. Steady-State and Pulse Radiolysis of Some Palladium(II) Complexes. J. Chem. Soc. Dalton Trans. 1993, 1245. [Google Scholar] [CrossRef]
- Hooper, R.J.; Lane, T.J.; Walter, J.L. Infrared Absorption Spectra of Metal-Amino Acid Complexes. IV. The Infrared Spectra and Configurations of Metal-Isoleucine Chelates. Inorg. Chem. 2002, 3, 1568–1573. [Google Scholar] [CrossRef]
- Jarzab, T.C.; Hare, C.R.; Langs, D.A. Cis-Bis(L-Valinato)Palladium(II) Monohydrate, C10H22N2O5Pd. Cryst. Struct. Commun. 1973, 2, 395–398. [Google Scholar]
- Jarzab, T.C.; Hare, C.R.; Langs, D.A. Cis-Bis(L-Tyrosinato)Palladium(II) Hemihydrate, C36H42N4O13Pd2. Cryst. Struct. Commun. 1973, 2, 399–403. [Google Scholar]
- You, L.-X.; Li, J.-S.; Xiong, G.; Wang, S.-J.; Sun, Y.-G. Syntheses, Structures and Interactions with DNA of Two in Situ Generated Palladium (II) Complexes. Chin. J. Struct. Chem. 2015, 34, 1238–1246. [Google Scholar] [CrossRef]
- Vagg, R.S. The Crystal and Molecular Structure of Bis(L-Serinato)Palladium(II). Acta Crystallogr. Sect. B Struct. Crystallogr. Cryst. Chem. 1979, 35, 341–344. [Google Scholar] [CrossRef]
- Kollmann, J.; Schröter, C.; Hoyer, E. Darstellung Und Charakterisierung Einiger Aminosäure- Und Peptid-Komplexe von Gold(I, III), Palladium(II) Und Platin(II). J. Prakt. Chem. 1975, 317, 515–519. [Google Scholar] [CrossRef]
- Krylova, L.F.; Kovtunova, L.M.; Romanenko, G.V.; Sheludyakova, L.A.; Kurat’eva, N.V. Stereoisomeric Pd(II) Complexes with Serine, Threonine, and Allothreonine. Russ. J. Inorg. Chem. 2011, 56, 52–60. [Google Scholar] [CrossRef]
- Graham, R.D.; Williams, D.R. The Synthesis and Screening for Anti-Bacterial, -Cancer, -Fungicidal and -Viral Activities of Some Complexes of Palladium and Nickel. J. Inorg. Nucl. Chem. 1979, 41, 1245–1249. [Google Scholar] [CrossRef]
- Pneumatikakis, G.; Hadjiliadis, N. Complexes of Cysteine and Cysteinemethylester with Pd (II) and Pt (II). J. Inorg. Nucl. Chem. 1979, 41, 429–435. [Google Scholar] [CrossRef]
- Spacu, P.; Scherzer, I. Uber Komplexe Verbindungen Des Palladiums Mit Glutaminsaure. Z. Anorg. Allg. Chem. 1962, 319, 101–106. [Google Scholar] [CrossRef]
- Spacu, P.; Ungureanu-Vicol, O. Palladium(II) Complexes with Various Amino Acids. An. Univ. Bucur. Ser. Stiint. Nat. 1966, 15, 109–118. [Google Scholar]
- Seifert, A.; Wagner, C.; Merzweiler, K. Bis(Hydrogen L-Glutamato)Palladium(II). Acta Crystallogr. Sect. E Struct. Rep. Online 2011, 67. [Google Scholar] [CrossRef]
- Chernova, N.N.; Strukov, V.V.; Avetikyan, G.B.; Chernonozhkin, V.N. Synthesis and Formation of Complex Palladium Bis-Histidinates. Zhurnal Neorg. Khim. 1980, 25, 1569–1574. [Google Scholar]
- Trusova, K.M.; Chernova, N.N. Study of Behavior in Solution and Structure of Complexes of Palladium(II) with Histidine by Potentiometric Titration. Zhurnal Neorg. Khim. 1982, 27, 2847–2853. [Google Scholar]
- Komorita, T.; Hidaka, J.; Shimura, Y. Metal Complexes with Amino Acid Amides. III. Geometrical Structures and Electronic Spectra of Bis(α-Amino Acid-Amidato)Palladium(II), -Nickel(II), and -Copper(II). Bull. Chem. Soc. Jpn. 1971, 44, 3353–3363. [Google Scholar] [CrossRef] [Green Version]
- Sabat, M.; Jecżowska, M.; Kozlowski, H. X-ray Evidence of the Metal Ion Tyrosine Aromatic Ring Interaction in Bis(L-Tyrosinato)Palladium(II). Inorg. Chim. Acta 1979, 37, L511–L512. [Google Scholar] [CrossRef]
- Nakayama, Y.; Matsumoto, K.; Ooi, S.; Kuroya, H. X-ray Molecular Structure of Bis(L-Ornithinato)Palladium(II). Conformation of the Seven-Membered Chelate Ring. J. Chem. Soc. Chem. Commun. 1973, 5, 170–171. [Google Scholar] [CrossRef]
- McIndoe, J.S.; Vikse, K.L. Assigning the ESI Mass Spectra of Organometallic and Coordination Compounds. J. Mass Spectrom. 2019, 54, 466–479. [Google Scholar] [CrossRef] [PubMed]
- Battaglia, L.P.; Corradi, A.B.; Palmieri, C.G.; Nardelli, M.; Tani, M.V. The Crystal and Molecular Structure of Dichloro({S}-Methyl-{L}-Cysteine)Palladium(II) Monohydrate. Acta Crystallogr. Sect. B 1973, 29, 762–767. [Google Scholar] [CrossRef]
- Adachi, K.; Watarai, H. Interfacial Aggregation of Thioether-Substituted Phthalocyaninatomagnesium (II)–Palladium (II) Complexes in the Toluene/Water System. J. Mater. Chem. 2005, 15, 4701–4710. [Google Scholar] [CrossRef]
- Yamanari, K.; Ito, R.; Yamamoto, S.; Konno, T.; Fuyuhiro, A.; Kobayashi, M.; Arakawa, R. Diastereomeric Separations and Crystal Structures of Rhodium(III) and Iridium(III) Complexes Containing Adenosine and Related Nucleosides. Dalton Trans. 2003, 380–386. [Google Scholar] [CrossRef]
- Morris, D. Design and Modification of Half-Sandwich Ir(III), Rh(III), and Ru(II) Amino Acid Complexes for Application in Asymmetric Transfer Hydrogenation Reactions; Virginia Tech: Blacksburg, VA, USA, 2015. [Google Scholar]
- Braga, D.; Grepioni, F. Intermolecular Interactions in Nonorganic Crystal Engineering. Acc. Chem. Res. 2000, 33, 601–608. [Google Scholar] [CrossRef]
- Desiraju, G.R. Hydrogen Bridges in Crystal Engineering: Interactions without Borders. Acc. Chem. Res. 2002, 35, 565–573. [Google Scholar] [CrossRef] [PubMed]
- Macrae, C.F.; Sovago, I.; Cottrell, S.J.; Galek, P.T.A.; McCabe, P.; Pidcock, E.; Platings, M.; Shields, G.P.; Stevens, J.S.; Towler, M.; et al. Mercury 4.0: From Visualization to Analysis, Design and Prediction. J. Appl. Crystallogr. 2020, 53, 226–235. [Google Scholar] [CrossRef] [PubMed] [Green Version]
- Infantes, L.; Chisholma, J.; Motherwell, S. Extended Motifs from Water and Chemical Functional Groups in Organic Molecular Crystals. CrystEngComm 2003, 5, 480–486. [Google Scholar] [CrossRef]
- Mascal, M.; Infantes, L.; Chisholm, J. Water Oligomers in Crystal Hydrates-What’s News and What Isn’t? Angew. Chem. Int. Ed. 2005, 45, 32–36. [Google Scholar] [CrossRef] [PubMed]
- Braga, D.; Grepioni, F.; Wadepohl, H.; Gebert, S.; Calhorda, M.J.; Veiros, L.F. Intramolecular and Intermolecular Bonding in Crystalline Clusters of the Type (CpR)3M3(CO)3 [M = Co, Rh, Ir; CpR = C5H5, C5Me5, C5H4Me]. Organometallics 1995, 14, 5350–5361. [Google Scholar] [CrossRef]
- Braga, D.; Grepioni, F.; Desiraju, G.R. Hydrogen Bonding in Organometallic Crystals-A Survey. J. Organomet. Chem. 1997, 548, 33–43. [Google Scholar] [CrossRef]
- Galek, P.T.A.; Fábián, L.; Motherwell, W.D.S.; Allen, F.H.; Feeder, N. Knowledge-Based Model of Hydrogen-Bonding Propensity in Organic Crystals. Acta Crystallogr. Sect. B 2007, 63, 768–782. [Google Scholar] [CrossRef]
- Schwalbe, C.H. June Sutor and the C–H···O Hydrogen Bonding Controversy. Crystallogr. Rev. 2012, 18, 191–206. [Google Scholar] [CrossRef]
- Steiner, T. C-H⋯O Hydrogen Bonding in Crystals. Crystallogr. Rev. 2003, 9, 177–228. [Google Scholar] [CrossRef]
- Dabrowiak, J.C. Metals in Medicine, 2nd ed.; John Wiley & Sons, Ltd.: Chichester, UK, 2017; ISBN 978-1-119-19130-8. [Google Scholar]
- Rigaku Oxford Diffraction CrysAlisPro Software System 2018. Available online: https://www.rigakuxrayforum.com/showthread.php?tid=1233 (accessed on 15 May 2021).
- Sheldrick, G.M. A Short History of SHELX A Short History of SHELX. Acta Crystallogr. Sect. A 2008, 64, 112–122. [Google Scholar] [CrossRef] [Green Version]
- Dolomanov, O.V.; Bourhis, L.J.; Gildea, R.J.; Howard, J.A.K.; Puschmann, H. OLEX2: A Complete Structure Solution, Refinement and Analysis Program. J. Appl. Crystallogr. 2009, 42, 339–341. [Google Scholar] [CrossRef]





























Publisher’s Note: MDPI stays neutral with regard to jurisdictional claims in published maps and institutional affiliations. |
© 2021 by the authors. Licensee MDPI, Basel, Switzerland. This article is an open access article distributed under the terms and conditions of the Creative Commons Attribution (CC BY) license (https://creativecommons.org/licenses/by/4.0/).
Share and Cite
Hobart, D.B., Jr.; Berg, M.A.G.; Rogers, H.M.; Merola, J.S. Synthesis, Characterization, and Non-Covalent Interactions of Palladium(II)-Amino Acid Complexes. Molecules 2021, 26, 4331. https://doi.org/10.3390/molecules26144331
Hobart DB Jr., Berg MAG, Rogers HM, Merola JS. Synthesis, Characterization, and Non-Covalent Interactions of Palladium(II)-Amino Acid Complexes. Molecules. 2021; 26(14):4331. https://doi.org/10.3390/molecules26144331
Chicago/Turabian StyleHobart, David B., Jr., Michael A. G. Berg, Hannah M. Rogers, and Joseph S. Merola. 2021. "Synthesis, Characterization, and Non-Covalent Interactions of Palladium(II)-Amino Acid Complexes" Molecules 26, no. 14: 4331. https://doi.org/10.3390/molecules26144331
APA StyleHobart, D. B., Jr., Berg, M. A. G., Rogers, H. M., & Merola, J. S. (2021). Synthesis, Characterization, and Non-Covalent Interactions of Palladium(II)-Amino Acid Complexes. Molecules, 26(14), 4331. https://doi.org/10.3390/molecules26144331

