Dihydroisocoumarins, Naphthalenes, and Further Polyketides from Aloe vera and A. plicatilis: Isolation, Identification and Their 5-LOX/COX-1 Inhibiting Potency
Abstract
1. Introduction
2. Results and Discussion
2.1. Phytochemical Investigations on A. vera
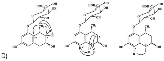
2.2. Phytochemical Investigations on A. plicatilis
2.3. Biological Screening of 15 Polyketides on Their 5-LOX/COX-1 Inhibiting Potency
3. Material and Methods
3.1. Isolation of Pure Dihydroisocoumarins (1, 2, and 3)
3.2. TLC Examination
3.3. ESI-MS, NMR and CD Spectra
3.4. Isolation of 5,6,7,8-Tetrahydro-1-O-β-D-glucopyranosyl-3,6-dihydroxy-8-methylnaphthalene (9) from Aloe plicatilis
3.5. In Vitro Screening for Anti-Inflammatory Activity by Inhibiting COX-1 (MDA Assay)
3.6. In Vitro Screening for Anti-Inflammatory Activity by Inhibiting 5-LOX (LTB4 Assay)
Author Contributions
Funding
Data Availability Statement
Acknowledgments
Conflicts of Interest
Sample Availability
Abbreviation
| CC | Column chromatography |
| CD | Circular dichroism |
| COX-1 | Cyclooxygenase-1 |
| ESI-MS | Electrospray-ionization mass-spectrometry |
| HMBC | Heteronuclear multiple-bond correlation spectroscopy |
| HMQC | Heteronuclear multiple-quantum correlation spectroscopy |
| HSCCC | High-speed countercurrent chromatography |
| 5-LOX | 5-lipoxygenase |
| LTB4 | Leukotriene B4 |
| MDA | Malondialdehyde |
References
- Reynolds, T. Editor: The Genus Aloe; CRC Press: Boca Raton, FL, USA, 2004; p. 39. [Google Scholar]
- Beil, A.; Rauwald, H.W. Aloe. In Hagers Handbuch der Pharmazeutischen Praxis, 5th ed.; Hänsel, R., Keller, K., Rimpler, H., Schneider, G., Eds.; Springer: Berlin, Germany, 1992; Volume 4, pp. 209–232. [Google Scholar]
- Rauwald, H.W.; Maucher, R.; Niyonzima, D.D. Three 8-C-glucosyl-5-methyl-chromones from Aloe barbadensis (Ph. Eur. 1997). Pharmazie 1997, 52, 962–964. [Google Scholar]
- Rauwald, H.W.; Lohse, K.; Bats, J.W. Bestimmung der Konfiguration der beiden diastereomeren C-Glucosylanthrone Aloin A und B. Angew. Chem. 1989, 101, 1539–1540. [Google Scholar] [CrossRef]
- Rauwald, H.W.; Sigler, A. Simultaneous determination of 18 polyketides typical of Aloe by high performance liquid chromatography and photodiode array detection. Phytochem. Anal. 1994, 5, 266–270. [Google Scholar] [CrossRef]
- Sigler, A.; Rauwald, H.W. Aloe Plants Accumulate Anthrone-Type Anthranoids in Inflorescence and Leaves, and Tetrahydroanthracenes in Roots. Zeitschrift für Naturforschung 1994, 49, 286–292. [Google Scholar] [CrossRef]
- Rauwald, H.W. Naturally occurring quinones and their related reduction forms: Analysis and analytical methods. PZ Wissenschaft. 1990, 3, 169–181. [Google Scholar]
- Dannhardt, G.; Lehr, M. In-vitro evaluation of 5-lipoxygenase and cyclo-oxygenase inhibitors using bovine neutrophils and platelets and HPLC. J. Pharm. Pharmacol. 1992, 44, 419–424. [Google Scholar] [CrossRef] [PubMed]
- Dannhardt, G.; Kiefer, W. Cyclooxygenase inhibitors--current status and future prospects. Eur. J. Med. Chem. 2001, 36, 109–126. [Google Scholar] [CrossRef]
- Dannhardt, G.; Ulbrich, H. In-vitro test system for the evaluation of cyclooxygenase-1 (COX-1) and cyclooxygenase-2 (COX-2) inhibitors based on a single HPLC run with UV detection using bovine aortic coronary endothelial cells (BAECs). Inflamm. Res. 2001, 50, 262–269. [Google Scholar] [CrossRef]
- Dannhardt, G.; Schneider, G.; Schwell, B. Identification and 5-lipoxygenase inhibiting potency of medicarpin isolated from roots of Ononis spinosa L. Pharma. Pharmacol. Lett. 1992, 2, 161–162. [Google Scholar]
- Speranza, G.; Manitto, P.; Cassarà, P.; Monti, D. Feralolide, a dihydroisocoumarin from cape aloe. Phytochemistry 1993, 33, 175–178. [Google Scholar] [CrossRef]
- Veitch, N.C.; Simmonds, M.S.J.; Blaney, W.M.; Reynolds, T. A dihydroisocoumarin glucoside from Aloe hildebrandtii. Phytochemistry 1994, 35, 1163–1166. [Google Scholar] [CrossRef]
- Maucher, R.; Rauwald, H.W.; Niyonzima, D.D. Three 8-C-glucosylchromones and two dihydroisocoumarins from Aloe barbadensis (DAB 1996). In Proceedings of the 45th Annual Congress of the Society of Medicinal Plant Research, Regensburg, Germany, 7–12 September 1997. Conference booklet: C25. [Google Scholar]
- Maucher, R.; Rauwald, H.W. Stereoselective resolution and characterisation of dihydroisocoumarin glycosides from Aloe vera. In Proceedings of the 5th Joint Meeting of ASP, AFERP, GA, PSE: 2000 Years of Natural Products Research, Past, Present and Future, Amsterdam, The Netherlands, 26–30 July 1999. Conference booklet. [Google Scholar]
- Kurizaki, A.; Watanabe, T.; Devkota, H.P. Chemical Constituents from the Flowers of Aloe arborescens. Nat. Prod. Commun. 2019, 14. [Google Scholar] [CrossRef]
- Choi, J.S.; Lee, S.K.; Sung, C.K.; Jung, J.H. Phytochemical Study of Aloe vera. Arch. Pharm. Res. 1996, 19, 163–167. [Google Scholar] [CrossRef]
- Abd-Alla, H.I.; Shaaban, M.; Shaaban, K.A.; Abu-Gabal, N.S.; Shalaby, N.M.; Laatsch, H. New bioactive compounds from Aloe hijazensis. Nat. Prod. Res. 2009, 23, 1035–1049. [Google Scholar] [CrossRef] [PubMed]
- Hutter, J.A.; Salman, M.; Stavinoha, W.B.; Satsangi, N.; Williams, R.F.; Streeper, R.T.; Weintraub, S.T. Antiinflammatory C-glucosyl chromones from Aloe barbadensis. J. Nat. Prod. 1996, 59, 541–543. [Google Scholar] [CrossRef] [PubMed]
- Lee, K.Y.; Weintraub, S.T.; Yu, B.P. Isolation and identification of a phenolic antioxidant from Aloe barbadensis. Free Radic. Biol. Med. 2000, 28, 261–265. [Google Scholar] [CrossRef]
- Speranza, G.; Morelli, C.F.; Tubaro, A.; Altinier, G.; Durì, L.; Manitto, P. Aloeresin I, an anti-inflammatory 5-methylchromone from cape aloe. Planta Med. 2005, 71, 79–81. [Google Scholar] [CrossRef]
- Yagi, A.; Kabash, A.; Okamura, N.; Haraguchi, H.; Moustafa, S.M.; Khalifa, T.I. Antioxidant, free radical scavenging and anti-inflammatory effects of aloesin derivatives in Aloe vera. Planta Med. 2002, 68, 957–960. [Google Scholar] [CrossRef] [PubMed]
- Bisrat, D.; Dagne, E.; van Wyk, B.E.; Viljoen, A. Chromones and anthrones from Aloe marlothii and Aloe rupestris. Phytochemistry 2000, 55, 949–952. [Google Scholar] [CrossRef]
- Rauwald, H.W.; Beil, A. High-performance liquid chromatographic separation and determination of diastereomeric anthrone-C-glucosyls in Cape aloes. J. Chromatogr. A 1993, 639, 359–362. [Google Scholar] [CrossRef]
- Aldayel, T.S.; Grace, M.H.; Lila, M.A.; Yahya, M.A.; Omar, U.M.; Alshammary, G. LC-MS characterization of bioactive metabolites from two Yemeni Aloe spp. with antioxidant and antidiabetic properties. Arab. J. Chem. 2020, 13, 5040–5049. [Google Scholar] [CrossRef]
- Mikayoulou, M.; Mayr, F.; Temml, V. Anti-tyrosinase activity of South African Aloe species and isolated compounds plicataloside and aloesin. Fitoterapia 2021, 150, 104828. [Google Scholar] [CrossRef] [PubMed]
- Speranza, G.; Manitto, P.; Monti, D.; Lianza, F. Feroxidin, a novel 1-methyltetralin derivative isolated from cape aloe. Tetrahedron Lett. 1990, 31, 3077–3080. [Google Scholar] [CrossRef]
- Speranza, G.; Manitto, P.; Pezzuto, D.; Monti, D. Absolute configuration of feroxidin: An experimental support to Snatzke’s helicity rules for tetralins. Chirality 1991, 3, 3263–3267. [Google Scholar] [CrossRef]
- Speranza, G.; Manitto, P.; Monti, D.; Pezzuto, D. Studies on Aloe, Part 10. Feroxins A and B, two O glucosylated 1-methyltetralins from Cape aloe. J. Nat. Prod. 1992, 55, 723–729. [Google Scholar] [CrossRef]
- Hanske, L.; Loh, G.; Sczesny, S.; Blaut, M.; Braune, A. The bioavailability of apigenin-7-glucoside is influenced by human intestinal microbiota in rats. J. Nutr. 2009, 139, 1095–1102. [Google Scholar] [CrossRef]
- Malterud, K.E.; Farbrot, T.L.; Huse, A.E.; Sund, R.B. Antioxidant and radical scavenging effects of anthraquinones and anthrones. Pharmacology 1993, 47 (Suppl. 1), 77–85. [Google Scholar] [CrossRef]
- Silva, C.F.; Pinto, D.C.; Silva, A.M. Chromones: A Promising Ring System for New Anti-inflammatory Drugs. ChemMedChem 2016, 11, 2252–2260. [Google Scholar] [CrossRef]
- Yoshikawa, M.; Ueda, T.; Shimoda, H.; Murakami, T.; Yamahara, J.; Matsuda, H. Dihydroisocoumarin constituents from the leaves of Hydrangea macrophylla var. thunbergii (2). Absolute stereostructures of hydrangenol, thunberginol I, and phyllodulcin glycosides and isomerization reaction at the 3-positions of phyllodulcin and its glycosides. Chem. Pharm. Bull. 1999, 47, 383–387. [Google Scholar]
- Liu, J.; Nakamura, S.; Zhuang, Y. Medicinal flowers 40: Structures of dihydroisocoumarin glycosides and inhibitory effects on aldose reducatase from the flowers of Hydrangea macrophylla var.thunbergii. Chem. Pharm. Bull. 2013, 61, 655–661. [Google Scholar] [CrossRef]
- Tomasik, P. (Ed.) Chemical and Functional Properties of Food Saccharides (Chemical & Functional Properties of Food Components; CRC Press: Boca Raton, FL, USA, 2003; Volume 5. [Google Scholar]
- Matsuda, H.; Shimoda, H.; Yamahara, J.; Yoshikawa, M. Effects of phyllodulcin, hydrangenol, and their 8-O-glucosides, and thunberginols A and F from Hydrangea macrophylla SERINGE var. thunbergii MAKINO on passive cutaneous anaphylaxis reaction in rats. Biol. Pharm. Bull. 1999, 22, 870–872. [Google Scholar] [CrossRef] [PubMed]
- Yoshikawa, M.; Matsuda, H.; Shimoda, H.; Shimada, H.; Harada, E.; Naitoh, Y.; Miki, A.; Yamahara, J.; Murakami, N. Development of bioactive functions in Hydrangeae dulcis folium. V. On the antiallergic and antimicrobial principles of Hydrangeae dulcis folium. (2). Thunberginols C, D, and E, thunberginol G 3′-O-glucoside, (-)-hydrangenol 4′-o-glucoside, and (+)-hydrangenol 4′-O-glucoside. Chem. Pharm. Bull. 1996, 44, 1440–1447. [Google Scholar]
- Umehara, K.; Matsumoto, M.; Nakamura, M.; Miyase, T.; Kuroyanagi, M.; Noguchi, H. Differentiation inducing activities of isocoumarins from Hydrangea Dulcis Folium. Chem. Pharm. Bull. 2000, 48, 566–567. [Google Scholar] [CrossRef][Green Version]
- Endringer, D.C.; Guimarães, K.G.; Kondratyuk, T.P.; Pezzuto, J.M.; Braga, F.C. Selective inhibition of aromatase by a dihydroisocoumarin from Xyris pterygoblephara. J. Nat. Prod. 2008, 71, 1082–1084. [Google Scholar] [CrossRef]
- Guimarães, K.G.; de Souza Filho, J.D.; Dos Mares-Guia, T.R.; Braga, F.C. Dihydroisocoumarin from Xyris pterygoblephara active against dermatophyte fungi. Phytochemistry 2008, 69, 439–444. [Google Scholar] [CrossRef]
- Li, Y.; Plitzko, I.; Zaugg, J.; Hering, S.; Hamburger, M. HPLC-based activity profiling for GABA(A) receptor modulators: A new dihydroisocoumarin from Haloxylon scoparium. J. Nat. Prod. 2010, 73, 768–770. [Google Scholar] [CrossRef]
- Syed, T.A.; Ahmad, S.A.; Holt, A.H.; Ahmad, S.A.; Ahmad, S.H.; Afzal, M. Management of psoriasis with Aloe vera extract in a hydrophilic cream: A placebo-controlled, double-blind study. Trop. Med. Int. Health 1996, 1, 505–509. [Google Scholar] [CrossRef]
- Langmead, L.; Feakins, R.M.; Goldthorpe, S.; Holt, H.; Tsironi, E.; De Silva, A.; Jewell, D.P.; Rampton, D.S. Randomized, double-blind, placebo-controlled trial of oral Aloe vera gel for active ulcerative colitis. Aliment Pharm. Ther. 2004, 19, 739–747. [Google Scholar] [CrossRef] [PubMed]
- Krishnan, P. The scientific study of herbal wound healing therapies: Current state of play. Curr. Anaesth. Crit. Care 2006, 17, 21–27. [Google Scholar] [CrossRef]
- Moghbel, A.; Ghalambor, A.; Allipanah, S. Wound Healing and Toxicity Evaluation of Aloe vera Cream on Outpatients with Second Degree Burns. Iran. J. Pharm. Sci. 2007, 3, 157–160. [Google Scholar]
- Maenthaisong, R.; Chaiyakunapruk, N.; Niruntraporn, S.; Kongkaew, C. The efficacy of Aloe vera used for burn wound healing: A systematic review. Burns 2007, 33, 713–718. [Google Scholar] [CrossRef] [PubMed]
- Zago, R. Cancer Can Be Cured! Waid Group Inc.: Houston, TX, USA, 2000. [Google Scholar]
- Ledergerber, D.; Hartmann, R.W. Development of a screening assay for the in vitro evaluation of thromboxane A2 synthase inhibitors. J. Enzym. Inhib. 1995, 9, 253–261. [Google Scholar] [CrossRef] [PubMed]










Publisher’s Note: MDPI stays neutral with regard to jurisdictional claims in published maps and institutional affiliations. |
© 2021 by the authors. Licensee MDPI, Basel, Switzerland. This article is an open access article distributed under the terms and conditions of the Creative Commons Attribution (CC BY) license (https://creativecommons.org/licenses/by/4.0/).
Share and Cite
Rauwald, H.W.; Maucher, R.; Dannhardt, G.; Kuchta, K. Dihydroisocoumarins, Naphthalenes, and Further Polyketides from Aloe vera and A. plicatilis: Isolation, Identification and Their 5-LOX/COX-1 Inhibiting Potency. Molecules 2021, 26, 4223. https://doi.org/10.3390/molecules26144223
Rauwald HW, Maucher R, Dannhardt G, Kuchta K. Dihydroisocoumarins, Naphthalenes, and Further Polyketides from Aloe vera and A. plicatilis: Isolation, Identification and Their 5-LOX/COX-1 Inhibiting Potency. Molecules. 2021; 26(14):4223. https://doi.org/10.3390/molecules26144223
Chicago/Turabian StyleRauwald, Hans Wilhelm, Ralf Maucher, Gerd Dannhardt, and Kenny Kuchta. 2021. "Dihydroisocoumarins, Naphthalenes, and Further Polyketides from Aloe vera and A. plicatilis: Isolation, Identification and Their 5-LOX/COX-1 Inhibiting Potency" Molecules 26, no. 14: 4223. https://doi.org/10.3390/molecules26144223
APA StyleRauwald, H. W., Maucher, R., Dannhardt, G., & Kuchta, K. (2021). Dihydroisocoumarins, Naphthalenes, and Further Polyketides from Aloe vera and A. plicatilis: Isolation, Identification and Their 5-LOX/COX-1 Inhibiting Potency. Molecules, 26(14), 4223. https://doi.org/10.3390/molecules26144223
