AB5 Derivatives of Cyclotriphosphazene for the Synthesis of Dendrons and Their Applications
Abstract
1. Introduction
2. AB5 Derivatives of N3P3 as Core and Their Use for the Synthesis of Various Types of Dendrimers
2.1. Layered “Onion-Peel” Dendrimers
2.2. “Dumbbell-Shape” Dendrimers Based on N3P3
2.3. N3P3 Dendrons for the Synthesis of Janus Dendrimers
3. Dendrons Based onAB5 Derivatives of N3P3 as Core and Their Use for the Synthesis of Nanomaterials
3.1. Nanomaterials Obtained by Covalent Grafting of N3P3 Dendrons to Solid Surfaces
3.2. Non-Covalent Grafting of N3P3 Dendrons to Graphene Coated Co Nanoparticles
4. Fluorescent Dendrons Based on AB5 Derivatives of N3P3 as Core, Used in Biology
4.1. 2,3-Diphenyl Maleic Tyramine Derivative at the Core of N3P3 Dendrons
4.2. Julolidine at the Core of N3P3 Dendrons
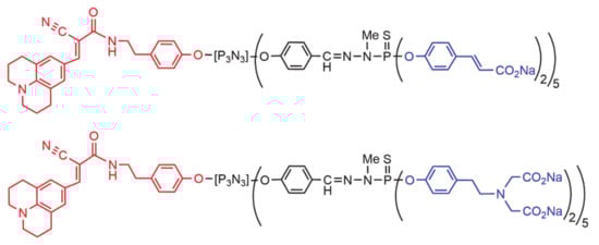
4.3. A Near Infra-Red (NIR) Fluorophore at the Core of N3P3 Dendrons
5. Other Dendrons Based on AB5 Derivatives of N3P3 as Core, and Used in Biology
6. Conclusions
Author Contributions
Funding
Institutional Review Board Statement
Informed Consent Statement
Acknowledgments
Conflicts of Interest
Sample Availability
References
- Liebig, J. Nachtrag der redaction. Ann. Pharm. 1834, 11–12, 139–150. [Google Scholar]
- Gladstone, J.H.; Holmes, J.D. On Chlorophosphuret of nitrogen, and its products of decomposition. J. Chem. Soc. 1864, 2, 225–237. [Google Scholar] [CrossRef]
- De Jaeger, R.; Gleria, M. Poly(organophosphazene)s and related compounds: Synthesis, properties and applications. Prog. Polym. Sci. 1998, 23, 179–276. [Google Scholar] [CrossRef]
- Keat, R.; Shaw, R.A. Phosphorus-Nitrogen compounds. Part IX. The reaction of dimethylamine with hexachlorocyclotriphosphazatriene: The replacement pattern and the structure of the products. J. Chem. Soc. 1965, 2215–2223. [Google Scholar] [CrossRef]
- Das, S.K.; Keat, R.; Shaw, R.A.; Smith, B.C. Phosphorus-Nitrogen compounds. Part XVI. The reactions of hexachlorocyclotriphosphazatriene with t-butylamine. J. Chem. Soc. 1965, 5032–5036. [Google Scholar] [CrossRef]
- Das, S.K.; Keat, R.; Shaw, R.A.; Smith, B.C. Phosphorus-Nitrogen compounds. Part XXII. The reactions of hexachlorocyclotriphosphazatriene with isopropylamine. J. Chem. Soc. A 1966, 1677–1680. [Google Scholar] [CrossRef]
- Harris, P.J.; Schwalke, M.A.; Liu, V.; Fisher, B.L. Phosphazenes.2. Synthesis of ketone-substituted and enol-substituted cyclotriphosphazenes. Inorg. Chem. 1983, 22, 1812–1817. [Google Scholar] [CrossRef]
- Allcock, H.R.; Brennan, D.J.; Graaskamp, J.M.; Parvez, M. Synthesis and molecular structure of methylsilane cyclotriphosphazenes and methylsiloxane cyclotriphosphazenes. Organometallics 1986, 5, 2434–2446. [Google Scholar] [CrossRef]
- Allcock, H.R.; Nelson, C.J.; Coggio, W.D. Synthesis and reactivity of cyclotriphosphazene bearing reactive silane functionalities: Novel derivatives via hydrosilylation reactions. Organometallics 1991, 10, 3819–3825. [Google Scholar] [CrossRef]
- Diefenbach, U.; Kretschmann, M.; Stromburg, B. Phosphazenes with (2-pyridylmethylamino) groups.1. Syntheses and crystal structures of pentaphenoxy(2-pyridylmethylamino)cyclotriphosphazene and its copper(II) nitrate, platinum(II) chloride, and cobalt(II) nitrate complexes. Chem. Ber. 1996, 129, 1573–1578. [Google Scholar] [CrossRef]
- Davidson, R.J.; Ainscough, E.W.; Brodie, A.M.; Jameson, G.B.; Waterland, M.R.; Moubaraki, B.; Murray, K.S.; Gordon, K.C.; Horvath, R.; Jameson, G.N.L. An iron(II) spin crossover grafted cyclotriphosphazene. Polyhedron 2013, 55, 37–44. [Google Scholar] [CrossRef]
- Scopelianos, A.G.; Obrien, J.P.; Allcock, H.R. Cyclic and polymeric phosphazenes with carborane side groups X-ray crystal structure of a carborane-substituted cyclophosphazene. J. Chem. Soc. Chem. Commun. 1980, 198–199. [Google Scholar] [CrossRef]
- Allcock, H.R.; Scopelianos, A.G.; Obrien, J.P.; Bernheim, M.Y. Synthesis and structure of carborane-substituted cyclic and polymeric phosphazenes. J. Am. Chem. Soc. 1981, 103, 350–357. [Google Scholar] [CrossRef]
- Kato, F.; Chandra, A.; Tokita, M.; Asano, H.; Shimomoto, H.; Ihara, E.; Hayakawa, T. Self-assembly of hierarchical structures using cyclotriphosphazene-containing poly(substituted methylene) block copolymers. ACS Macro Lett. 2018, 7, 37–41. [Google Scholar] [CrossRef]
- Caminade, A.-M.; Turrin, C.-O.; Laurent, R.; Ouali, A.; Delavaux-Nicot, B. (Eds.) Dendrimers: Towards Catalytic, Material and Biomedical Uses; John Wiley & Sons Ltd.: Chichester, UK, 2011; pp. 1–538. [Google Scholar] [CrossRef]
- Caminade, A.M.; Ouali, A.; Laurent, R.; Turrin, C.O.; Majoral, J.P. Coordination chemistry with phosphorus dendrimers. Applications as catalysts, for materials, and in biology. Coord. Chem. Rev. 2016, 308, 478–497. [Google Scholar] [CrossRef]
- Slany, M.; Bardaji, M.; Casanove, M.J.; Caminade, A.M.; Majoral, J.P.; Chaudret, B. Dendrimer surface-chemistry—Facile route to polyphosphines and their gold complexes. J. Am. Chem. Soc. 1995, 117, 9764–9765. [Google Scholar] [CrossRef]
- Sournies, F.; Crasnier, F.; Graffeuil, M.; Faucher, J.P.; Lahana, R.; Labarre, M.C.; Labarre, J.F. Spherical Cyclophosphazene Dendrimers to the 5th Generation. Angew. Chem. Int. Ed. 1995, 34, 578–581. [Google Scholar] [CrossRef]
- Maraval, V.; Caminade, A.M.; Majoral, J.P.; Blais, J.C. Dendrimer design: How to circumvent the dilemma of a reduction of steps or an increase of function multiplicity? Angew. Chem. Int. Ed. 2003, 42, 1822–1826. [Google Scholar] [CrossRef]
- Kolb, H.C.; Finn, M.G.; Sharpless, K.B. Click chemistry: Diverse chemical function from a few good reactions. Angew. Chem. Int. Ed. 2001, 40, 2004–2021. [Google Scholar] [CrossRef]
- Franc, G.; Kakkar, A.K. “Click’’ methodologies: Efficient, simple and greener routes to design dendrimers. Chem. Soc. Rev. 2010, 39, 1536–1544. [Google Scholar] [CrossRef]
- Sharma, R.; Zhang, I.; Abbassi, L.; Rej, R.; Maysinger, D.; Roy, R. A fast track strategy toward highly functionalized dendrimers with different structural layers: An “onion peel approach”. Polym. Chem. 2015, 6, 1436–1444. [Google Scholar] [CrossRef]
- Abbassi, L.; Chabre, Y.M.; Kottari, N.; Arnold, A.A.; Andre, S.; Josserand, J.; Gabius, H.J.; Roy, R. Multifaceted glycodendrimers with programmable bioactivity through convergent, divergent, and accelerated approaches using polyfunctional cyclotriphosphazenes. Polym. Chem. 2015, 6, 7666–7683. [Google Scholar] [CrossRef]
- Launay, N.; Caminade, A.M.; Lahana, R.; Majoral, J.P. A general synthetic strategy for neutral phosphorus-containing dendrimers. Angew. Chem. Int. Ed. 1994, 33, 1589–1592. [Google Scholar] [CrossRef]
- Krishna, T.R.; Parent, M.; Werts, M.H.V.; Moreaux, L.; Gmouh, S.; Charpak, S.; Caminade, A.M.; Majoral, J.P.; Blanchard-Desce, M. Water-soluble dendrimeric two-photon tracers for in vivo imaging. Angew. Chem. Int. Ed. 2006, 45, 4645–4648. [Google Scholar] [CrossRef]
- Mongin, O.; Rouxel, C.; Robin, A.C.; Pla-Quintana, A.; Krishna, T.R.; Recher, G.; Tiaho, F.; Caminade, A.M.; Majoral, J.P.; Blanchard-Desce, M. Brilliant organic nanodots: Novel nano-objects for bionanophotonics. In Nanobiosystems: Processing, Characterization, and Applications; Heckman, E.M., Singh, T.B., Yoshida, J., Eds.; Spie-Int Soc Optical Engineering: Bellingham, WA, USA, 2008; Volume 7040, p. 704006. [Google Scholar] [CrossRef]
- Caminade, A.M.; Laurent, R.; Delavaux-Nicot, B.; Majoral, J.P. “Janus” dendrimers: Syntheses and properties. New J. Chem. 2012, 36, 217–226. [Google Scholar] [CrossRef]
- Hameau, A.; Fuchs, S.; Laurent, R.; Majoral, J.P.; Caminade, A.M. Synthesis of dye/fluorescent functionalized dendrons based on cyclotriphosphazene. Beilstein J. Org. Chem. 2011, 7, 1577–1583. [Google Scholar] [CrossRef] [PubMed]
- Fuchs, S.; Pla-Quintana, A.; Mazeres, S.; Caminade, A.M.; Majoral, J.P. Cationic and Fluorescent “Janus” Dendrimers. Org. Lett. 2008, 10, 4751–4754. [Google Scholar] [CrossRef]
- Martinez-Ferrero, E.; Franc, G.; Mazeres, S.; Turrin, C.O.; Boissiere, U.; Caminade, A.M.; Majoral, J.P.; Sanchez, C. Optical properties of hybrid dendritic-mesoporous titania nanocomposite films. Chem. A Eur. J. 2008, 14, 7658–7669. [Google Scholar] [CrossRef]
- Riegert, D.; Pla-Quintana, A.; Fuchs, S.; Laurent, R.; Turrin, C.O.; Duhayon, C.; Majoral, J.P.; Chaumonnot, A.; Caminade, A.M. Diversified Strategies for the Synthesis of Bifunctional Dendrimeric Structures. Eur. J. Org. Chem. 2013, 5414–5422. [Google Scholar] [CrossRef]
- Riegert, D.; Bareille, L.; Laurent, R.; Majoral, J.P.; Caminade, A.M.; Chaumonnot, A. Silica Functionalized by Bifunctional Dendrimers: Hybrid Nanomaterials for Trapping CO2. Eur. J. Inorg. Chem. 2016, 3103–3110. [Google Scholar] [CrossRef]
- de Jong, E.R.; Deloch, N.; Knoll, W.; Turrin, C.O.; Majoral, J.P.; Caminade, A.M.; Koper, I. Synthesis and characterization of bifunctional dendrimers: Preliminary use for the coating of gold surfaces and the proliferation of human osteoblasts (HOB). New J. Chem. 2015, 39, 7194–7205. [Google Scholar] [CrossRef]
- Keller, M.; Colliere, V.; Reiser, O.; Caminade, A.M.; Majoral, J.P.; Ouali, A. Pyrene-Tagged Dendritic Catalysts Noncovalently Grafted onto Magnetic Co/C Nanoparticles: An Efficient and Recyclable System for Drug Synthesis. Angew. Chem. Int. Ed. 2013, 52, 3626–3629. [Google Scholar] [CrossRef]
- Asri, H.; Dautel, O.; Ouali, A. Terpyridine-Ru Complexes Noncovalently Supported on Cobalt Magnetic Nanoparticles for Nitroarene Transfer Hydrogenation. ACS Appl. Nano Mater. 2020, 3, 11811–11818. [Google Scholar] [CrossRef]
- Zapsas, G.; Patil, Y.; Gnanou, Y.; Ameduri, B.; Hadjichristidis, N. Poly(vinylidene fluoride)-based complex macromolecular architectures: From synthesis to properties and applications. Prog. Polym. Sci. 2020, 104, 101231. [Google Scholar] [CrossRef]
- Folgado, E.; Guerre, M.; Mimouni, N.; Colliere, V.; Bijani, C.; Ching, K.M.C.; Caminade, A.M.; Ladmiral, V.; Ameduri, B.; Ouali, A. pi-Stacking Interactions of Graphene-Coated Cobalt Magnetic Nanoparticles with Pyrene-Tagged Dendritic Poly(Vinylidene Fluoride). ChemPlusChem 2019, 84, 78–84. [Google Scholar] [CrossRef]
- Caminade, A.-M. Phosphorus dendrimers for nanomedicine. Chem. Commun. 2017, 53, 9830–9838. [Google Scholar] [CrossRef]
- Franc, G.; Mazeres, S.; Turrin, C.O.; Vendier, L.; Duhayon, C.; Caminade, A.M.; Majoral, J.P. Synthesis and properties of dendrimers possessing the same fluorophore(s) located either peripherally or off-center. J. Org. Chem. 2007, 72, 8707–8715. [Google Scholar] [CrossRef]
- Loup, C.; Zanta, M.A.; Caminade, A.M.; Majoral, J.P.; Meunier, B. Preparation of water-soluble cationic phosphorus-containing dendrimers as DNA transfecting agents. Chem. A Eur. J. 1999, 5, 3644–3650. [Google Scholar] [CrossRef]
- Kazmierczak-Baranska, J.; Pietkiewicz, A.; Janicka, M.; Wei, Y.Q.; Turrin, C.O.; Majoral, J.P.; Nawrot, B.; Caminade, A.M. Synthesis of a Fluorescent Cationic Phosphorus Dendrimer and Preliminary Biological Studies of Its Interaction with DNA. Nucleosides Nucleotides Nucleic Acids 2010, 29, 155–167. [Google Scholar] [CrossRef]
- Qiu, J.; Chen, L.; Zhan, M.; Laurent, R.; Bignon, J.; Mignani, S.; Shi, X.; Caminade, A.-M.; Majoral, J.-P. Facile Synthesis of Amphiphilic Fluorescent Phosphorus Dendron-Based Micelles as Antiproliferative Agents: First Investigations. Bioconjug. Chem. 2021, 32, 339–349. [Google Scholar] [CrossRef]
- Poupot, M.; Griffe, L.; Marchand, P.; Maraval, A.; Rolland, O.; Martinet, L.; L’Faqihi-Olive, F.E.; Turrin, C.O.; Caminade, A.M.; Fournie, J.J.; et al. Design of phosphorylated dendritic architectures to promote human monocyte activation. FASEB J. 2006, 20, 2339–2351. [Google Scholar] [CrossRef] [PubMed]
- Griffe, L.; Poupot, M.; Marchand, P.; Maraval, A.; Turrin, C.O.; Rolland, O.; Metivier, P.; Bacquet, G.; Fournie, J.J.; Caminade, A.M.; et al. Multiplication of human natural killer cells by nanosized phosphonate-capped dendrimers. Angew. Chem. Int. Ed. 2007, 46, 2523–2526. [Google Scholar] [CrossRef] [PubMed]
- Poupot, M.; Turrin, C.O.; Caminade, A.M.; Fournie, J.J.; Attal, M.; Poupot, R.; Fruchon, S. Poly(phosphorhydrazone) dendrimers: Yin and yang of monocyte activation for human NK cell amplification applied to immunotherapy against multiple myeloma. Nanomed. Nanotechnol. Biol. Med. 2016, 12, 2321–2330. [Google Scholar] [CrossRef] [PubMed]
- Hayder, M.; Poupot, M.; Baron, M.; Nigon, D.; Turrin, C.O.; Caminade, A.M.; Majoral, J.P.; Eisenberg, R.A.; Fournie, J.J.; Cantagrel, A.; et al. A Phosphorus-Based Dendrimer Targets Inflammation and Osteoclastogenesis in Experimental Arthritis. Sci. Transl. Med. 2011, 3, 11. [Google Scholar] [CrossRef] [PubMed]
- Hayder, M.; Varilh, M.; Turrin, C.O.; Saoudi, A.; Caminade, A.M.; Poupot, R.; Liblau, R.S. Phosphorus-Based Dendrimer ABP Treats Neuroinflammation by Promoting IL-10-Producing CD4(+) T Cells. Biomacromolecules 2015, 16, 3425–3433. [Google Scholar] [CrossRef]
- Rolland, O.; Griffe, L.; Poupot, M.; Maraval, A.; Ouali, A.; Coppel, Y.; Fournie, J.J.; Bacquet, G.; Turrin, C.O.; Caminade, A.M.; et al. Tailored control and optimisation of the number of phosphonic acid termini on phosphorus-containing dendrimers for the ex-vivo activation of human monocytes. Chem. A Eur. J. 2008, 14, 4836–4850. [Google Scholar] [CrossRef]
- Portevin, D.; Poupot, M.; Rolland, O.; Turrin, C.O.; Fournie, J.J.; Majoral, J.P.; Caminade, A.M.; Poupot, R. Regulatory activity of azabisphosphonate-capped dendrimers on human CD4(+) T cell proliferation enhances ex-vivo expansion of NK cells from PBMCs for immunotherapy. J. Transl. Med. 2009, 7, 13. [Google Scholar] [CrossRef]
- Soler-Illia, G.; Rozes, L.; Boggiano, M.K.; Sanchez, C.; Turrin, C.O.; Caminade, A.M.; Majoral, J.P. New mesotextured hybrid materials made from assemblies of dendrimers and titanium(IV)-oxo-organo clusters. Angew. Chem. Int. Ed. 2000, 39, 4250–4254. [Google Scholar] [CrossRef]
- Ielasi, F.; Ledall, J.; Anes, A.P.; Fruchon, S.; Caminade, A.M.; Poupot, R.; Turrin, C.O.; Blanzat, M. Influence of PPH dendrimers’ surface functions on the activation of human monocytes: A study of their interactions with pure lipid model systems. Phys. Chem. Chem. Phys. 2016, 18, 21871–21880. [Google Scholar] [CrossRef]
- Rolland, O.; Turrin, C.O.; Bacquet, G.; Poupot, R.; Poupot, M.; Caminade, A.M.; Majoral, J.P. Efficient synthesis of phosphorus-containing dendrimers capped with isosteric functions of amino-bismethylene phosphonic acids. Tetrahedron Lett. 2009, 50, 2078–2082. [Google Scholar] [CrossRef]
- Ledall, J.; Fruchon, S.; Garzoni, M.; Pavan, G.M.; Caminade, A.M.; Turrin, C.O.; Blanzat, M.; Poupot, R. Interaction studies reveal specific recognition of an anti-inflammatory polyphosphorhydrazone dendrimer by human monocytes. Nanoscale 2015, 7, 17672–17684. [Google Scholar] [CrossRef]
- Caminade, A.M.; Fruchon, S.; Turrin, C.O.; Poupot, M.; Ouali, A.; Maraval, A.; Garzoni, M.; Maly, M.; Furer, V.; Kovalenko, V.; et al. The key role of the scaffold on the efficiency of dendrimer nanodrugs. Nature Commun. 2015, 6, 7722. [Google Scholar] [CrossRef]
- Hayder, M.; Garzoni, M.; Bochicchio, D.; Caminade, A.-M.; Couderc, F.; Ong-Meang, V.; Davignon, J.-L.; Turrin, C.-O.; Pavan, G.M.; Poupot, R. Three-Dimensional Directionality Is a Pivotal Structural Feature for the Bioactivity of Azabisphosphonate-Capped Poly(PhosphorHydrazone) Nanodrug Dendrimers. Biomacromolecules 2018, 19, 712–720. [Google Scholar] [CrossRef]
- Fruchon, S.; Bellard, E.; Beton, N.; Goursat, C.; Oukhrib, A.; Caminade, A.-M.; Blanzat, M.; Turrin, C.-O.; Golzio, M.; Poupot, R. Biodistribution and Biosafety of a Poly(Phosphorhydrazone) Dendrimer, an Anti-Inflammatory Drug-Candidate. Biomolecules 2019, 9, 475. [Google Scholar] [CrossRef]
- Jebbawi, R.; Oukhrib, A.; Clement, E.; Blanzat, M.; Turrin, C.-O.; Caminade, A.-M.; Lacoste, E.; Fruchon, S.; Poupot, R. An Anti-Inflammatory Poly(PhosphorHydrazone) Dendrimer Capped with AzaBisPhosphonate Groups to Treat Psoriasis. Biomolecules 2020, 10, 949. [Google Scholar] [CrossRef]
- Chen, L.; Fan, Y.; Qiu, J.; Laurent, R.; Li, J.; Bignon, J.; Mignani, S.; Caminade, A.-M.; Shi, X.; Majoral, J.-P. Potent Anticancer Efficacy of First-In-Class Cu-II and Au-III Metaled Phosphorus Dendrons with Distinct Cell Death Pathways. Chem. A Eur. J. 2020, 26, 5903–5910. [Google Scholar] [CrossRef]
- El Brahmi, N.; El Kazzouli, S.; Mignani, S.M.; Essassi, E.; Aubert, G.; Laurent, R.; Caminade, A.M.; Bousmina, M.M.; Cresteil, T.; Majoral, J.P. Original Multivalent Copper(II)-Conjugated Phosphorus Dendrimers and Corresponding Mononuclear Copper(II) Complexes with Antitumoral Activities. Mol. Pharm. 2013, 10, 1459–1464. [Google Scholar] [CrossRef]
- Mignani, S.; El Brahmi, N.; Eloy, L.; Poupon, J.; Nicolas, V.; Steinmetz, A.; El Kazzouli, S.; Bousmina, M.M.; Blanchard-Desce, M.; Caminade, A.M.; et al. Anticancer copper(II) phosphorus dendrimers are potent proapoptotic Bax activators. Eur. J. Med. Chem. 2017, 132, 142–156. [Google Scholar] [CrossRef]
- Mignani, S.M.; El Brahmi, N.; El Kazzouli, S.; Laurent, R.; Ladeira, S.; Caminade, A.-M.; Pedziwiatr-Werbicka, E.; Szewczyk, E.M.; Bryszewska, M.; Bousmina, M.M.; et al. Original Multivalent Gold(III) and Dual Gold(III)-Copper(II) Conjugated Phosphorus Dendrimers as Potent Antitumoral and Antimicrobial Agents. Mol. Pharm. 2017, 14, 4087–4097. [Google Scholar] [CrossRef]


























| AB5 or A5B | Number of References 1 | % 2 |
|---|---|---|
| 1 N/5 Cl | 279 | 83.5 |
| 1 Cl/5 N | 55 | 16.5 |
| 1 O/5 Cl | 319 | 61.4 |
| 1 Cl/5 O | 200 | 38.6 |
| 1 C/5 Cl | 71 | 79.8 |
| 1 Cl/5 C | 18 | 20.2 |
| 1 O/5 N | 87 | |
| 1 N/5 O | 95 | |
| 1 C/5 N | 4 | |
| 1 C/5 O | 29 |
Publisher’s Note: MDPI stays neutral with regard to jurisdictional claims in published maps and institutional affiliations. |
© 2021 by the authors. Licensee MDPI, Basel, Switzerland. This article is an open access article distributed under the terms and conditions of the Creative Commons Attribution (CC BY) license (https://creativecommons.org/licenses/by/4.0/).
Share and Cite
Zibarov, A.; Oukhrib, A.; Aujard Catot, J.; Turrin, C.-O.; Caminade, A.-M. AB5 Derivatives of Cyclotriphosphazene for the Synthesis of Dendrons and Their Applications. Molecules 2021, 26, 4017. https://doi.org/10.3390/molecules26134017
Zibarov A, Oukhrib A, Aujard Catot J, Turrin C-O, Caminade A-M. AB5 Derivatives of Cyclotriphosphazene for the Synthesis of Dendrons and Their Applications. Molecules. 2021; 26(13):4017. https://doi.org/10.3390/molecules26134017
Chicago/Turabian StyleZibarov, Artem, Abdelouahd Oukhrib, Julien Aujard Catot, Cédric-Olivier Turrin, and Anne-Marie Caminade. 2021. "AB5 Derivatives of Cyclotriphosphazene for the Synthesis of Dendrons and Their Applications" Molecules 26, no. 13: 4017. https://doi.org/10.3390/molecules26134017
APA StyleZibarov, A., Oukhrib, A., Aujard Catot, J., Turrin, C.-O., & Caminade, A.-M. (2021). AB5 Derivatives of Cyclotriphosphazene for the Synthesis of Dendrons and Their Applications. Molecules, 26(13), 4017. https://doi.org/10.3390/molecules26134017

