5-Phenoxy Primaquine Analogs and the Tetraoxane Hybrid as Antimalarial Agents
Abstract
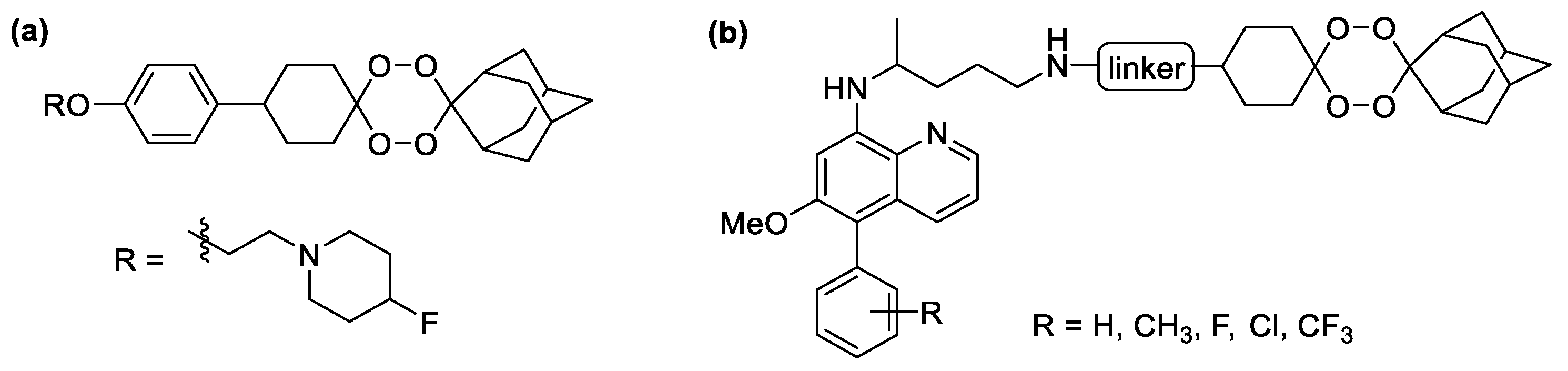
:1. Introduction
2. Results and Discussion
2.1. Chemistry
2.2. Blood Antimalarial Activity and Cytotoxicity
2.3. Inhibition of Hematin Polymerization
3. Materials and Methods
3.1. Chemical Reagents and Instruments
3.2. Synthesis of 5-Phenoxy Primaquine Analogs 7a–7h
3.2.1. General Procedure A: Synthesis of Compounds 3a–3g
3.2.2. General Procedure B: Synthesis of Compounds 4
3.2.3. General Procedure C: Synthesis of Compounds 6a–6g
3.2.4. General Procedure D: Synthesis of Compounds 7
3.3. Synthesis of 5-Phenoxy Primaquine-Tetraoxane Conjugate 12
3.3.1. Synthesis of 4-(4-Oxocyclohexyl)phenyl Acetate (8)
3.3.2. Synthesis of 4-(Dispiro[cyclohexane-1,3′-[1,2,4,5]tetroxane-6′,2″-tricyclo [3.3.1.13,7] decan]-4-yl)phenol (9)
3.3.3. Synthesis of 4-(Dispiro[cyclohexane-1,3′-[1,2,4,5]tetroxane-6′,2″-tricyclo [3.3.1.13,7] decan]-4-yl)phenol (10)
3.3.4. Synthesis of N1-(4-(4-((1r,3r,5r,7r)-Dispiro[adamantane-2,3′-[1,2,4,5]tetraoxane-6′,1″-cyclohexan]-4″-yl) phenoxy)butyl)-N4-(6-methoxy-5-phenoxyquinolin-8-yl)pentane-1,4-diamine (12)
3.4. Ethics Statement
3.5. Parasite Culture and Blood Antimalarial Activity
3.6. Cytotoxicity Testing by Sulforhodamine B (SRB) Colorimetric Assay
3.7. Inhibition of Hematin Polymerization
4. Conclusions
Supplementary Materials
Author Contributions
Funding
Institutional Review Board Statement
Informed Consent Statement
Data Availability Statement
Conflicts of Interest
Sample Availability
References
- World Malaria Report 2019; World Health Organization: Geneva, Switzerland, 2019.
- Blasco, B.; Leroy, D.; Fidock, D.A. Antimalarial Drug Resistance: Linking Plasmodium falciparum Parasite Biology to the Clinic. Nat. Med. 2017, 23, 917–928. [Google Scholar] [CrossRef]
- Rodrigues, T.; Prudencio, M.; Moreira, R.; Mota, M.M.; Lopes, F. Targeting the liver stage of malaria parasites: A yet unmet goal. J. Med. Chem. 2012, 55, 995–1012. [Google Scholar] [CrossRef]
- Vale, N.; Moreira, R.; Gomes, P. Primaquine revisited six decades after its discovery. Eur. J. Med. Chem. 2009, 44, 937–953. [Google Scholar] [CrossRef] [PubMed] [Green Version]
- Vennerstrom, J.L.; Nuzum, E.O.; Miller, R.E.; Dorn, A.; Gerena, L.; Dande, P.A.; Ellis, W.Y.; Ridley, R.G.; Milhous, W.K. 8-aminoquinolines active against blood stage Plasmodium falciparum in vitro inhibit hematin polymerization. Antimicrob. Agents Chemother. 1999, 43, 598–602. [Google Scholar] [CrossRef] [PubMed] [Green Version]
- Ridley, R.G.; Dorn, A.; Vippagunta, S.R.; Vennerstrom, J.L. Haematin (haem) polymerization and its inhibition by quinoline antimalarials. Ann. Trop. Med. Parasitol. 1997, 91, 559–566. [Google Scholar] [CrossRef] [PubMed]
- Dorn, A.; Vippagunta, S.R.; Matile, H.; Jaquet, C.; Vennerstrom, J.L.; Ridley, R.G. An assessment of drug-haematin binding as a mechanism for inhibition of haematin polymerisation by quinoline antimalarials. Biochem. Pharmacol. 1998, 55, 727–736. [Google Scholar] [CrossRef]
- Camarda, G.; Jirawatcharadech, P.; Priestley, R.S.; Saif, A.; March, A.; Wong, M.H.L.; Leung, S.; Miller, A.B.; Baker, D.A.; Alano, P.; et al. Antimalarial activity of primaquine operates via a two-step biochemical relay. Nat. Commun. 2019, 10, 1–10. [Google Scholar] [CrossRef]
- Recht, J.; Ashley, E.A.; White, N.J. Use of primaquine and glucose-6-phosphatedehydrogenase deficiency testing: Divergentpolicies and practices in malaria endemiccountrie. PLoS Negl. Trop. Dis. 2018, 12, 1–27. [Google Scholar] [CrossRef] [PubMed] [Green Version]
- Shiraki, H.; Kozar, M.P.; Melendez, V.; Hudson, T.H.; Ohrt, C.; Magill, A.J.; Lin, A.J. Antimalarial activity of novel 5-Aryl-8-aminoquinoline derivatives. J. Med. Chem. 2011, 54, 131–142. [Google Scholar] [CrossRef]
- Brueckner, R.P.; Lasseter, K.C.; Lin, E.T.; Schuster, B.G. Firsttime-in-human’s safety and pharmacokinetics ofWR238605, a new antimalarial. Am. J. Trop. Med. Hyg. 1998, 58, 645–649. [Google Scholar] [CrossRef] [PubMed] [Green Version]
- Puri, S.K.; Dutta, G.P. Blood schizontocidal activity of WR238605 (Tafenoquine) against Plasmodium cynomolgi and Plasmodium fragile infections in rhesus monkeys. Acta Trop. 2003, 86, 35–40. [Google Scholar] [CrossRef]
- Nodiff, E.A.; Tanabe, K.; Chen, E.H.; Saggiomo, A.J. Modifications of primaquine as antimalarials 5-phenoxy derivatives of primaquine. J. Med. Chem. 1982, 25, 1097–1101. [Google Scholar] [CrossRef]
- Oliveira, R.; Miranda, D.; Magalhaes, J.; Capela, R.; Perry, M.J.; O’Neill, P.M.; Moreira, R.; Lopes, F. From hybrid compounds to targeted drug delivery in antimalarial therapy. Bioorg. Med. Chem. 2015, 23, 5120–5130. [Google Scholar] [CrossRef]
- O’Neill, P.M.; Amewu, R.K.; Charman, S.A.; Sabbani, S.; Gnädig, N.F.; Straimer, J.; Fidock, D.A.; Shore, E.R.; Roberts, N.L.; Wong, M.H.; et al. A tetraoxane-based antimalarial drug candidate that overcomes PfK13-C580Y dependent artemisinin resistance. Nat. Commun. 2017, 8, 1–10. [Google Scholar] [CrossRef] [Green Version]
- Rawe, S.L. Artemisinin and artemisinin-related agents. In Antimalarial Agents; Patrick, G.L., Ed.; Elsevier: Amsterdam, The Netherlands, 2020; Chapter 4; pp. 99–132. [Google Scholar]
- Miranda, D.; Capela, R.; Albuquerque, I.S.; Meireles, P.; Paiva, I.; Nogueira, F.; Amewu, R.; Gut, J.; Rosenthal, P.J.; Oliveira, R.; et al. Novel endoperoxide-based transmissionblocking antimalarials with liver- and blood-schizontocidal activities. ACS Med. Chem. Lett. 2014, 5, 108–112. [Google Scholar] [CrossRef] [PubMed] [Green Version]
- Capela, R.; Magalhaes, J.; Miranda, D.; Machado, M.; Sanches-Vaz, M.; Albuquerque, I.S.; Sharma, M.; Gut, J.; Rosenthal, P.J.; Frade, R.; et al. Endoperoxide-8-aminoquinoline hybrids as dual-stage antimalarial agents with enhanced metabolic stability. Eur. J. Med. Chem. 2018, 149, 69–78. [Google Scholar] [CrossRef] [PubMed]
- Robertsa, D.; Alvarez, M.; Joule, J.A. Synthesis of 6-chloro-1,3,4,5-tetrahydro-7,8-dimethoxy-1-methylpyrrolo[4,3,2-de]quinoline from a quinoline; formal total syntheses of batzelline. Tetrahedron Lett. 1996, 37, 1509–1512. [Google Scholar] [CrossRef]
- Zhu, W.; Wang, J.; Wang, S.; Gu, Z.; Acena, J.L.; Izawa, K.; Liu, H.; Soloshonok, V.A. Recent advances in the trifluoromethylation methodology and new CF3-containing drugs. J. Fluor. Chem. 2014, 167, 37–54. [Google Scholar] [CrossRef]
- Fave, C.; Leroux, Y.; Trippé, G.; Randriamahazaka, H.; Noel, V.; Lacroix, J.C. Tunable electrochemical switches based on ultrathin organic films. J. Am. Chem. Soc. 2007, 129, 1890–1891. [Google Scholar] [CrossRef]
- Qing, Y.; Lu, W.S.M.; Zhou, Y.G. Palladium-catalyzed asymmetric hydrogenation of functionalized ketones. Org. Lett. 2005, 7, 3235–3238. [Google Scholar]
- Akıncıoğlu, A.; Akbaba, Y.; Göçer, H.; Göksua, S.; Gülçin, İ.; Supuran, C.T. Novel sulfamides as potential carbonic anhydrase isoenzymesinhibitors. Bioorg. Med. Chem. 2013, 21, 1379–1385. [Google Scholar] [CrossRef]
- Cigl, M.; Bubnov, A.; Kašpar, M.; Hampl, F.; Hamplová, V.; Pacherová, O.; Svoboda, J. Photosensitive chiral self-assembling materials: Significant effects of small lateral substituents. J. Mater. Chem. C 2016, 4, 5326–5333. [Google Scholar] [CrossRef]
- Huang, L.; Miao, H.; Sun, Y.; Meng, F.; Li, X. Discovery of indanone derivatives as multi-target-directed ligands against Alzheimer’s disease. Eur. J. Med. Chem. 2014, 87, 429–439. [Google Scholar] [CrossRef] [PubMed]
- Penning, T.D.; Russell, M.A.; Chen, B.B.; Chen, H.Y.; Liang, C.D.; Mahoney, M.W.; Malecha, J.W.; Miyashiro, J.M.; Yu, S.S.; Askonas, L.J.; et al. Synthesis of potent leukotriene A4 hydrolase inhibitors. Identification of 3-[Methyl[3-[4- (phenylmethyl)phenoxy] propyl]amino]propanoic acid. J. Med. Chem. 2002, 45, 3482–3490. [Google Scholar] [CrossRef]
- Rudrapal, M.; Chetia, D. Endoperoxide antimalarials: Development, structural diversity and pharmacodynamic aspects with reference to 1,2,4-trioxane-based structural scaffold. Drug Des. Dev. Ther. 2016, 10, 3575–3590. [Google Scholar] [CrossRef] [Green Version]
- Tekwani, B.L.; Walker, L.A. Targeting the hemozoin synthesis pathway for newantimalarial drug discovery: Technologies for in vitro b-hematin formationassay. Comb. Chem. High Throughput Screen. 2005, 8, 63–79. [Google Scholar] [CrossRef]
- Bohle, D.S.; Dinnebier, R.E.; Madsen, S.K.; Stephens, P.W. Characterization of the products of the heme detoxification pathway in malarial late trophozoites by X-ray diffraction. J. Biol. Chem. 1997, 272, 713–716. [Google Scholar] [CrossRef] [Green Version]
- Saritha, M.; Koringa, K.; Dave, U.; Gatne, D. A modified precise analytical method for anti-malarial screening: Heme polymerization assay. Mol. Biochem. Parasitol. 2015, 201, 112–115. [Google Scholar]
- Persico, M.; Fattorusso, R.; Taglialatela-Scafati, O.; Chianese, G.; de Paola, I.; Zaccaro, L.; Rondinelli, F.; Lombardo, M.; Quintavalla, A.; Trombini, C.; et al. The interaction of heme with plakortin and a synthetic endoperoxide analogue: New insights into the heme-activated antimalarial mechanism. Sci. Rep. 2017, 7, 45485. [Google Scholar] [CrossRef] [PubMed]
- Songa, K.; Xu, X.; Liu, P.; Chen, L.; Shen, X.; Liu, J.; Hu, L. Discovery and SAR study of 3-(tert-butyl)-4-hydroxyphenyl benzoate and benzamide derivatives as novel farnesoid X receptor (FXR) antagonists. Bioorg. Med. Chem. 2015, 23, 6427–6436. [Google Scholar] [CrossRef]
- Smilkstein, M.; Sriwilaijaroen, N.; Kelly, J.X.; Wilairat, P.; Riscoe, M. Simple and inexpensive fluorescence-based technique for high-throughput antimalarial drug screening. Antimicrob. Agents Chemother. 2004, 48, 1803–1806. [Google Scholar] [CrossRef] [PubMed] [Green Version]
- Prommana, P.; Uthaipibull, C.; Wongsombat, C.; Kamchonwongpaisan, S.; Yuthavong, Y.; Knuepfer, E.; Holder, A.A.; Shaw, P.J. Inducible knockdown of Plasmodium gene expression using the glmS ribozyme. PLoS ONE 2013, 8, e73783. [Google Scholar] [CrossRef] [PubMed] [Green Version]
- Skehan, P.; Storeng, R.; Scudiero, D.; Monks, A.; McMahon, J.; Vistica, D.; Warren, J.T.; Bokesch, H.; Kenney, S.; Boyd, M.R. New colorimetric cytotoxicity assay for anticancer-drug screening. J. Natl. Cancer Inst. 1990, 82, 1107–1112. [Google Scholar] [CrossRef]
- Vichai, V.; Kirtikara, K. Invasion of red blood cells by malaria parasites. Cell 2006, 124, 755–766. [Google Scholar]




| Compd. | R | IC50 (μM) 2 | CC50 (μM) 3 | SI 4 |
|---|---|---|---|---|
| PQ | - | 11.33 ± 0.79 | >100 | >8.8 |
| 7a | H | 3.65 ± 0.39 | 37.49 ± 5.24 | 10.27 |
| 7b | OCH3 | 7.89 ± 0.50 | 55.62 ± 4.34 | 7.05 |
| 7c | Br | 7.03 ± 1.31 | 42.16 ± 3.25 | 6.00 |
| 7d | Cl | 8.20 ± 0.83 | 46.38 ± 5.68 | 5.66 |
| 7e | CN | 4.62 ± 0.56 | >100 | >21.65 |
| 7f | F | 4.97 ± 0.40 | 47.47 ± 3.23 | 9.55 |
| 7g | CF3 | 4.63 ± 0.44 | 22.66 ± 3.74 | 4.89 |
| 7h | CONH2 | 13.5 ± 1.57 | >100 | >7.41 |
| 12 | H | 0.38 ± 0.11 | 17.33 ± 0.36 | 45.61 |
| EPT | - | ND | 5.97± 0.14 | - |
| Compd. | R | IC50 (μM) |
|---|---|---|
| PQ | - | 319.8 ± 12.0 |
| 7a | H | 101.6 ± 4.1 |
| 7b | OCH3 | 159.5 ± 2.2 |
| 7c | Br | 175.2 ± 4.3 |
| 7d | Cl | 132.2 ± 5.3 |
| 7e | CN | 285.8 ± 11.9 |
| 7f | F | 167.1 ± 8.6 |
| 7g | CF3 | 109.7 ± 3.2 |
| 7h | CONH2 | 153.8 ± 6.4 |
| 12 | H | 66.9 ± 3.5 |
| CQ | - | 61.2 ± 1.3 |
Publisher’s Note: MDPI stays neutral with regard to jurisdictional claims in published maps and institutional affiliations. |
© 2021 by the authors. Licensee MDPI, Basel, Switzerland. This article is an open access article distributed under the terms and conditions of the Creative Commons Attribution (CC BY) license (https://creativecommons.org/licenses/by/4.0/).
Share and Cite
Jansongsaeng, S.; Srimongkolpithak, N.; Pengon, J.; Kamchonwongpaisan, S.; Khotavivattana, T. 5-Phenoxy Primaquine Analogs and the Tetraoxane Hybrid as Antimalarial Agents. Molecules 2021, 26, 3991. https://doi.org/10.3390/molecules26133991
Jansongsaeng S, Srimongkolpithak N, Pengon J, Kamchonwongpaisan S, Khotavivattana T. 5-Phenoxy Primaquine Analogs and the Tetraoxane Hybrid as Antimalarial Agents. Molecules. 2021; 26(13):3991. https://doi.org/10.3390/molecules26133991
Chicago/Turabian StyleJansongsaeng, Somruedee, Nitipol Srimongkolpithak, Jutharat Pengon, Sumalee Kamchonwongpaisan, and Tanatorn Khotavivattana. 2021. "5-Phenoxy Primaquine Analogs and the Tetraoxane Hybrid as Antimalarial Agents" Molecules 26, no. 13: 3991. https://doi.org/10.3390/molecules26133991
APA StyleJansongsaeng, S., Srimongkolpithak, N., Pengon, J., Kamchonwongpaisan, S., & Khotavivattana, T. (2021). 5-Phenoxy Primaquine Analogs and the Tetraoxane Hybrid as Antimalarial Agents. Molecules, 26(13), 3991. https://doi.org/10.3390/molecules26133991

