5-(Indol-2-yl)pyrazolo[3,4-b]pyridines as a New Family of TASK-3 Channel Blockers: A Pharmacophore-Based Regioselective Synthesis
Abstract
:1. Introduction
2. Results
2.1. Design of Novel TASK-3 Blockers
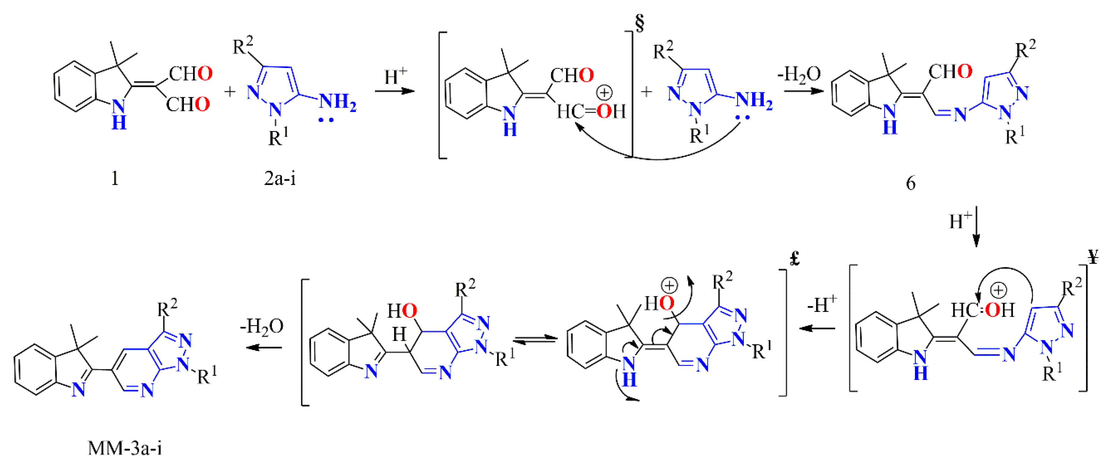
2.2. Synthesis of Designed TASK-3 Blockers
2.3. Molecular Docking and ADME/Tox Predictions
2.4. Biological Assays of Designed Compounds
2.5. Proposed Interactions of MM-3b with Residues of the TASK-3 Binding Site
3. Discussion
4. Materials and Methods
4.1. Chemistry
4.2. Computational Simulation
4.3. Optical and Electrophysiological Characterization of New TASK-3 Blockers
5. Conclusions
Supplementary Materials
Author Contributions
Funding
Institutional Review Board Statement
Informed Consent Statement
Data Availability Statement
Acknowledgments
Conflicts of Interest
Sample Availability
References
- Li, X.-Y.; Toyoda, H. Role of leak potassium channels in pain signaling. Brain Res. Bull. 2015, 119, 73–79. [Google Scholar] [CrossRef] [PubMed]
- Ryoo, K.; Park, J.-Y. Two-pore domain potassium channels in astrocytes. Exp. Neurobiol. 2016, 25, 222. [Google Scholar] [CrossRef] [PubMed]
- Wiedmann, F.; Beyersdorf, C.; Zhou, X.; Büscher, A.; Kraft, M.; Nietfeld, J.; Walz, T.P.; Unger, L.A.; Loewe, A.; Schmack, B. Pharmacologic TWIK-Related Acid-Sensitive K + Channel (TASK-1) Potassium Channel Inhibitor A293 Facilitates Acute Cardioversion of Paroxysmal Atrial Fibrillation in a Porcine Large Animal Model. J. Am. Heart Assoc. 2020, 9, e015751. [Google Scholar] [CrossRef] [PubMed]
- Kanjhan, R.; Balke, C.L.; Housley, G.D.; Bellingham, M.C.; Noakes, P.G. Developmental expression of two-pore domain K + channels, TASK-1 and TREK-1, in the rat cochlea. Neuroreport 2004, 15, 437–441. [Google Scholar] [CrossRef] [PubMed]
- Williams, S.; Bateman, A.; O’Kelly, I. Altered expression of two-pore domain potassium (K 2P) channels in cancer. PLoS ONE 2013, 8, e74589. [Google Scholar] [CrossRef] [PubMed]
- Bedoya, M.; Rinné, S.; Kiper, A.K.; Decher, N.; González, W.; Ramíres, D. TASK Channels Pharmacology: New Challenges in Drug Design. J. Med. Chem. 2019, 62, 10044–10058. [Google Scholar] [CrossRef]
- Trapp, S.; Aller, M.I.; Wisden, W.; Gourine, A. V A role for TASK-1 (KCNK3) channels in the chemosensory control of breathing. J. Neurosci. 2008, 28, 8844–8850. [Google Scholar] [CrossRef] [Green Version]
- Lazarenko, R.M.; Willcox, S.C.; Shu, S.; Berg, A.P.; Jevtovic-Todorovic, V.; Talley, E.M.; Chen, X.; Bayliss, D.A. Motoneuronal TASK Channels Contribute to Immobilizing Effects of Inhalational General Anesthetics. J. Neurosci. 2010, 30, 7691–7704. [Google Scholar] [CrossRef] [Green Version]
- Ramírez, D.; Concha, G.; Arévalo, B.; Prent-Peñaloza, L.; Zúñiga, L.; Kiper, A.K.; Rinné, S.; Reyes-Parada, M.; Decher, N.; González, W.; et al. Discovery of Novel TASK-3 Channel Blockers Using a Pharmacophore-Based Virtual Screening. Int. J. Mol. Sci. 2019, 20, 4014. [Google Scholar] [CrossRef] [Green Version]
- Rödström, K.E.J.; Kiper, A.K.; Zhang, W.; Rinné, S.; Pike, A.C.W.; Goldstein, M.; Conrad, L.J.; Delbeck, M.; Hahn, M.G.; Meier, H.; et al. A lower X-gate in TASK channels traps inhibitors within the vestibule. Nature 2020, 582, 443–447. [Google Scholar] [CrossRef]
- Goldstein, S.A.N.; Bockenhauer, D.; O’Kelly, I.; Zilberberg, N. Potassium leak channels and the KCNK family of two-P-domain subunits. Nat. Rev. Neurosci. 2001, 2, 175–184. [Google Scholar] [CrossRef] [PubMed]
- Dong, Y.; Pike, A.; Mackenzie, A.; Mcclenaghan, C.; Aryal, P.; Dong, L.; Grieben, M.; Goubin, S.; Ruda, G.F.; Clausen, M.; et al. K2P channel gating mechanisms revealed by structures of TREK-2 and a complex with Prozac. Science 2015, 347, 1256–1259. [Google Scholar] [CrossRef]
- Coburn, C.; Luo, Y.; Cui, M.; Wang, J.; Soll, R.; Dong, J.; Hu, B.; Lyon, M.; Santarelli, V.P.; Kraus, R.L.; et al. Discovery of a pharmacologically active antagonist of the two-pore domain potassium channel K2P9.1 (TASK-3). ChemMedChem 2012, 7, 123–133. [Google Scholar] [CrossRef]
- Noriega-Navarro, R.; Lopez-Charcas, O.; Hernández-Enríquez, B.; Reyes-Gutiérrez, P.; Martínez, R.; Landa, A.; Morán, J.; Gomora, J.; Garcia-Valdes, J. Novel TASK channels inhibitors derived from dihydropyrrolo [2,1-a] isoquinoline. Neuropharmacology 2014, 79, 28–36. [Google Scholar] [CrossRef]
- Bruner, J.K.; Zou, B.; Zhang, H.; Zhang, Y.; Schmidt, K.; Li, M. Identification of novel small molecule modulators of K2P18.1 two-pore potassium channel. Eur. J. Pharmacol. 2014, 740, 603–610. [Google Scholar] [CrossRef] [Green Version]
- Galvez, J.; Quiroga, J.; Insuasty, B.; Abonia, R. Microwave-assisted and iodine mediated synthesis of 5-N-alkyl-cycloalkane [d]-pyrazolo [3, 4-b] pyridines from 5-aminopyrazoles and cyclic ketones. Tetrahedron Lett. 2014, 55, 1998–2002. [Google Scholar] [CrossRef]
- Polo, E.; Ferrer-Pertuz, K.; Trilleras, J.; Quiroga, J.; Gutiérrez, M. Microwave-assisted one-pot synthesis in water of carbonylpyrazolo [3, 4-b] pyridine derivatives catalyzed by InCl 3 and sonochemical assisted condensation with aldehydes to obtain new chalcone derivatives containing the pyrazolopyridinic moiety. RSC Adv. 2017, 7, 50044–50055. [Google Scholar] [CrossRef] [Green Version]
- Mejia-Gutiérrez, M.; Olivero-Verbel, J.; Quiroga, J.; Romo, P.; Castaño, S.; Fierro, L. Prediction of the potential biological activity of novel spiropyrazolo [3, 4-b] pyridines and spiropyrazolo [3, 4-b] pyridine-5, 5′-pyrimidines by a ligand--protein inverse-docking approach. J. Mol. Graph. Model. 2020, 97, 107581. [Google Scholar] [CrossRef] [PubMed]
- Torre, P.D.; la Saavedra, L.A.; Caballero, J.; Quiroga, J.; Alzate-Morales, J.H.; Cabrera, M.G.; Trilleras, J. A novel class of selective acetylcholinesterase inhibitors: Synthesis and evaluation of (E)-2-(Benzo [d] thiazol-2-yl)-3-heteroarylacrylonitriles. Molecules 2012, 17, 12072–12085. [Google Scholar] [CrossRef] [PubMed] [Green Version]
- Chavva, K.; Pillalamarri, S.; Banda, V.; Gautham, S.; Gaddamedi, J.; Yedla, P.; Kumar, C.G.; Banda, N. Synthesis and biological evaluation of novel alkyl amide functionalized trifluoromethyl substituted pyrazolo [3, 4-b] pyridine derivatives as potential anticancer agents. Bioorganic Med. Chem. Lett. 2013, 23, 5893–5895. [Google Scholar] [CrossRef]
- Leal, B.; Afonso, I.F.; Rodrigues, C.R.; Abreu, P.A.; Garrett, R.; Pinheiro, L.C.S.; Azevedo, A.R.; Borges, J.C.; Vegi, P.F.; Santos, C.C.C.; et al. Antibacterial profile against drug-resistant Staphylococcus epidermidis clinical strain and structure—Activity relationship studies of 1H-pyrazolo [3, 4-b] pyridine and thieno [2, 3-b] pyridine derivatives. Bioorg. Med. Chem. 2008, 16, 8196–8204. [Google Scholar] [CrossRef] [PubMed]
- Ribeiro, J.L.S.; Soares, J.C.A.V.; Portapilla, G.B.; Providello, M.V.; Lima, C.H.S.; Muri, E.M.F.; de Albuquerque, S.; Dias, L.R.S. Trypanocidal activity of new 1, 6-diphenyl-1H-pyrazolo [3, 4-b] pyridine derivatives: Synthesis, in vitro and in vivo studies. Bioorganic Med. Chem. 2021, 29, 115855. [Google Scholar] [CrossRef] [PubMed]
- Wermuth, C.G.; Bourguignon, J.J.; Schlewer, G.; Gies, J.P.; Schoenfelder, A.; Melikian, A.; Bouchet, M.J.; Chantreux, D.; Molimard, J.C. Synthesis and structure-activity relationships of a series of aminopyridazine derivatives of. Gamma-aminobutyric acid acting as selective GABA-A antagonists. J. Med. Chem. 1987, 30, 239–249. [Google Scholar] [CrossRef]
- Rashad, A.E.; Hegab, M.I.; Abdel-Megeid, R.E.; Micky, J.A.; Abdel-Megeid, F.M.E. Synthesis and antiviral evaluation of some new pyrazole and fused pyrazolopyrimidine derivatives. Bioorganic Med. Chem. 2008, 16, 7102–7106. [Google Scholar] [CrossRef] [PubMed]
- Bharate, S.B.; Mahajan, T.R.; Gole, Y.R.; Nambiar, M.; Matan, T.T.; Kulkarni-Almeida, A.; Balachandran, S.; Junjappa, H.; Balakrishnan, A.; Vishwakarma, R.A. Synthesis and evaluation of pyrazolo [3, 4-b] pyridines and its structural analogues as TNF-α and IL-6 inhibitors. Bioorganic Med. Chem. 2008, 16, 7167–7176. [Google Scholar] [CrossRef]
- Neubig, R.R.; Spedding, M.; Kenakin, T.; Christopoulos, A. International Union of Pharmacology Committee on Receptor Nomenclature and Drug Classification. XXXVIII. Update on terms and symbols in quantitative pharmacology. Pharmacol. Rev. 2003, 55, 597–606. [Google Scholar] [CrossRef] [Green Version]
- Acosta, P.; Insuasty, B.; Abonia, R.; Quiroga, J. Annelation of pyrrolo [1, 2-a] pyrimidine and pyrido [1, 2-a] pyrimidine systems to a pyrazolopyridine framework by a cascade of two cyclization reactions. Tetrahedron Lett. 2015, 56, 2917–2921. [Google Scholar] [CrossRef]
- Roohi, L.; Afghan, A.; Baradarani, M. Vilsmeier-Haack reagent: A facile synthesis of 2-(4-chloro-3, 3-dimethyl-7-phenoxyindolin-2-ylidene) malonaldehyde and transformation into different heterocyclic compounds. Curr. Chem. Lett. 2013, 2, 187–196. [Google Scholar] [CrossRef]
- Baradarani, M.M.; Afghan, A.; Zebarjadi, F.; Hasanzadeh, K.; Joule, J.A. The synthesis of 3, 3-dimethyl-2-(1-aryl-1h-pyrazol-4-yl)-3h-indoles. J. Heterocycl. Chem. 2006, 43, 1591–1595. [Google Scholar] [CrossRef]
- Pacheco, D.J.; Prent, L.; Trilleras, J.; Quiroga, J. Facile sonochemical synthesis of novel pyrazolyne derivates at ambient conditions. Ultrason. Sonochem. 2013, 20, 1033–1036. [Google Scholar] [CrossRef]
- Baradarani, M.M.; Fazlelahi, H.Z.; Rashidi, A.; Joulec, J.A. Synthesis of novel pyrazolo [3, 4-b] pyridine derivatives in aqueous medium. Ark. Org. Chem. 2018, 114–122. [Google Scholar] [CrossRef] [Green Version]
- De-la-Torre, P.; Osorio, E.; Alzate-Morales, J.H.; Caballero, J.; Trilleras, J.; Astudillo-Saavedra, L.; Brito, I.; Cárdenas, A.; Quiroga, J.; Gutiérrez, M. Ultrasound-assisted phase-transfer catalysis method in an aqueous medium to promote the Knoevenagel reaction: Advantages over the conventional and microwave-assisted solvent-free/catalyst-free method. Ultrason. Sonochem. 2014, 21, 1666–1674. [Google Scholar] [CrossRef]
- Brohawn, S.; del Marmol, J.; MacKinnon, R. Crystal Structure of the Human K2P TRAAK, a Lipid- and Mechano-Sensitive K+ Ion Channel. Science 2012, 335, 436–441. [Google Scholar] [CrossRef] [Green Version]
- Streit, A.K.; Netter, M.F.; Kempf, F.; Walecki, M.; Rinné, S.; Bollepalli, M.K.; Preisig-Müller, R.; Renigunta, V.; Daut, J.; Baukrowitz, T.; et al. A specific two-pore domain potassium channel blocker defines the structure of the TASK-1 open pore. J. Biol. Chem. 2011, 286, 13977–13984. [Google Scholar] [CrossRef] [Green Version]
- Olivella, M.; Gonzalez, A.; Pardo, L.; Deupi, X. Relation between sequence and structure in membrane proteins. Bioinformatics 2013, 29, 1589–1592. [Google Scholar] [CrossRef] [Green Version]
- Ramírez, D.; Arévalo, B.; Martínez, G.; Rinné, S.; Sepúlveda, F.V.; Decher, N.; González, W. Side fenestrations provide “anchor” for a stable binding of A1899 to the pore of TASK-1 potassium channels. Mol. Pharm. 2017, 14, 2197–2208. [Google Scholar] [CrossRef]
- Lipinski, C.A.; Lombardo, F.; Dominy, B.W.; Feeney, P.J. Experimental and computational approaches to estimate solubility and permeability in drug discovery and development settings. Adv. Drug Deliv. Rev. 2012, 64, 4–17. [Google Scholar] [CrossRef]
- Daina, A.; Michielin, O.; Zoete, V. SwissADME: A free web tool to evaluate pharmacokinetics, drug-likeness and medicinal chemistry friendliness of small molecules. Sci. Rep. 2017, 7, 42717. [Google Scholar] [CrossRef] [PubMed] [Green Version]
- Whiteaker, K.; Gopalakrishnan, S.; Groebe, D.; Shieh, C.-C.; Warrior, S.; Burns, D.; Coghlan, M.; Scott, V.; Gopalakrishnan, M. Validation of FLIPR Membrane Potential Dye for High Throughput Screening of Potassium Channel Moculators. J. Biomol. Screen. 2001, 6, 305–312. [Google Scholar] [CrossRef] [PubMed] [Green Version]
- Ramírez, D.; Bedoya, M.; Kiper, A.K.; Rinné, S.; Morales-Navarro, S.; Hernández-Rodríguez, E.W.; Sepúlveda, F.V.; Decher, N.; González, W. Structure/Activity Analysis of TASK-3 Channel Antagonists Based on a 5, 6, 7, 8 tetrahydropyrido [4, 3-d] pyrimidine. Int. J. Mol. Sci. 2019, 20, 2252. [Google Scholar] [CrossRef] [PubMed] [Green Version]
- Cotten, J.F. TASK-1 (KCNK3) and TASK-3 (KCNK9) Tandem Pore Potassium Channel Antagonists Stimulate Breathing in Isoflurane Anesthetized Rats. Anesth. Analg. 2013, 116, 810–816. [Google Scholar] [CrossRef] [PubMed] [Green Version]
- Shelke, S.M.; Bhosale, S.H.; Dash, R.C.; Suryawanshi, M.R.; Mahadik, K.R. Exploration of new scaffolds as potential MAO-A inhibitors using pharmacophore and 3D-QSAR based in silico screening. Bioorg. Med. Chem. Lett. 2011, 21, 2419–2424. [Google Scholar] [CrossRef] [PubMed]
- Shelley, J.C.; Cholleti, A.; Frye, L.L.; Greenwood, J.R.; Timlin, M.R.; Uchimaya, M. Epik: A software program for pK a prediction and protonation state generation for drug-like molecules. J. Comput. Aided. Mol. Des. 2007, 21, 681–691. [Google Scholar] [CrossRef] [PubMed]
- Dixon, S.L.; Smondyrev, A.M.; Rao, S.N. Phase: A novel approach to pharmacophore modeling and 3D database searching. Chem. Biol. Drug Des. 2006, 67, 370–372. [Google Scholar] [CrossRef]
- Zúñiga, R.; Concha, G.; Cayo, A.; Cikutović-Molina, R.; Arevalo, B.; González, W.; Catalán, M.A.; Zúñiga, L. Withaferin A suppresses breast cancer cell proliferation by inhibition of the two-pore domain potassium (K2P9) channel TASK-3. Biomed. Pharmacother. 2020, 129, 110383. [Google Scholar] [CrossRef]
- Halgren, T.A.; Murphy, R.B.; Friesner, R.A.; Beard, H.S.; Frye, L.L.; Pollard, W.T.; Banks, J.L. Glide: A new approach for rapid, accurate docking and scoring. 2. Enrichment factors in database screening. J. Med. Chem. 2004, 47, 1750–1759. [Google Scholar] [CrossRef]
- Baxter, D.F.; Kirk, M.; Garcia, A.F.; Raimondi, A.; Holmqvist, M.H.; Flint, K.K.; Bojanic, D.; Distefano, P.S.; Curtis, R.; Xie, Y. A Novel Membrane Potential-Sensitive Fluorescent Dye Improves Cell-Based Assays for Ion Channels. J. Biomol. Screen. 2002, 7, 79–85. [Google Scholar] [CrossRef] [Green Version]







![]() | ||||||||
|---|---|---|---|---|---|---|---|---|
| Product | R1 | R2 | Time (min) | Yield * (%) | ||||
| Method | Method | |||||||
| A a | B b | C c | A a | B b | C c | |||
| MM-3a [31] | ![]() | ![]() | 180 | 15 | 10 | 50 | 40 | 75 |
| MM-3b | ![]() | ![]() | 300 | 20 | 15 | 57 | 33 | 76 |
| MM-3c [31] | ![]() | ![]() | 180 | 20 | 12 | 60 | 72 | 80 |
| MM-3d | ![]() | ![]() | 540 | 35 | 20 | 30 | 72 | 76 |
| MM-3e [31] | ![]() | ![]() | 300 | 25 | 10 | 50 | 41 | 80 |
| MM-3f | ![]() | ![]() | 180 | 16 | 10 | 50 | 67 | 72 |
| MM-3g | ![]() | ![]() | 180 | 20 | 12 | 60 | 54 | 77 |
| MM-3h | ![]() | ![]() | 40 | 16 | 8 | 50 | 73 | 90 |
| MM-3i | ![]() | ![]() | 180 | 15 | 10 | 53 | 62 | 70 |
| Intermediate 6 | ![]() | ![]() | 12 | 12 | 10 | 60 | 75 | 83 |
| Compound | Docking Score (Kcal/mol) |
|---|---|
| A1899 | −9.478 |
| PK-THPP | −8.961 |
| MM-3a | −7.697 |
| MM-3b | −8.485 |
| MM-3c | −7.802 |
| MM-3d | −7.658 |
| MM-3e | −7.211 |
| MM-3f | −7.409 |
| MM-3g | −7.322 |
| MM-3h | −8.124 |
| MM-3i | −7.969 |
| Intermediate 6 | −7.589 |
| Molecule | MW 1 | Log Po/w 2 | Water Solubility (mol/L) 3 | Pharmacokinetics | ||
|---|---|---|---|---|---|---|
| GI abs 4 | BBB 5 | log Kp (cm/s) 6 | ||||
| A1899 | 500.54 | 5.34 | 1.06 × 10−6 | High | No | −5.66 |
| PK-THPP | 468.59 | 4.04 | 4.18 × 10−6 | High | Yes | −6.1 |
| MM-3a | 352.43 | 4.58 | 2.74 × 10−6 | High | Yes | −4.96 |
| MM-3b | 394.51 | 5.42 | 3.03 × 10−7 | High | Yes | −4.3 |
| MM-3c | 386.88 | 5.11 | 7.15 × 10−7 | High | Yes | −4.73 |
| MM-3d | 377.44 | 4.35 | 3.20 × 10−6 | High | Yes | −5.32 |
| MM-3e | 431.33 | 5.18 | 3.43 × 10−7 | High | Yes | −4.96 |
| MM-3f | 276.34 | 3.26 | 8.90 × 10−5 | High | Yes | −5.69 |
| MM-3g | 318.42 | 4.13 | 9.89 × 10−6 | High | Yes | −5.02 |
| MM-3h | 368.43 | 4.27 | 5.12 × 10−6 | High | Yes | −5.38 |
| MM-3i | 417.3 | 4.9 | 7.34 × 10−7 | High | Yes | −5.17 |
| Intermediate 6 | 370.45 | 4.05 | 3.98 × 10−6 | High | Yes | −5.02 |
Publisher’s Note: MDPI stays neutral with regard to jurisdictional claims in published maps and institutional affiliations. |
© 2021 by the authors. Licensee MDPI, Basel, Switzerland. This article is an open access article distributed under the terms and conditions of the Creative Commons Attribution (CC BY) license (https://creativecommons.org/licenses/by/4.0/).
Share and Cite
Ramírez, D.; Mejia-Gutierrez, M.; Insuasty, B.; Rinné, S.; Kiper, A.K.; Platzk, M.; Müller, T.; Decher, N.; Quiroga, J.; De-la-Torre, P.; et al. 5-(Indol-2-yl)pyrazolo[3,4-b]pyridines as a New Family of TASK-3 Channel Blockers: A Pharmacophore-Based Regioselective Synthesis. Molecules 2021, 26, 3897. https://doi.org/10.3390/molecules26133897
Ramírez D, Mejia-Gutierrez M, Insuasty B, Rinné S, Kiper AK, Platzk M, Müller T, Decher N, Quiroga J, De-la-Torre P, et al. 5-(Indol-2-yl)pyrazolo[3,4-b]pyridines as a New Family of TASK-3 Channel Blockers: A Pharmacophore-Based Regioselective Synthesis. Molecules. 2021; 26(13):3897. https://doi.org/10.3390/molecules26133897
Chicago/Turabian StyleRamírez, David, Melissa Mejia-Gutierrez, Braulio Insuasty, Susanne Rinné, Aytug K. Kiper, Magdalena Platzk, Thomas Müller, Niels Decher, Jairo Quiroga, Pedro De-la-Torre, and et al. 2021. "5-(Indol-2-yl)pyrazolo[3,4-b]pyridines as a New Family of TASK-3 Channel Blockers: A Pharmacophore-Based Regioselective Synthesis" Molecules 26, no. 13: 3897. https://doi.org/10.3390/molecules26133897
APA StyleRamírez, D., Mejia-Gutierrez, M., Insuasty, B., Rinné, S., Kiper, A. K., Platzk, M., Müller, T., Decher, N., Quiroga, J., De-la-Torre, P., & González, W. (2021). 5-(Indol-2-yl)pyrazolo[3,4-b]pyridines as a New Family of TASK-3 Channel Blockers: A Pharmacophore-Based Regioselective Synthesis. Molecules, 26(13), 3897. https://doi.org/10.3390/molecules26133897






















