Phytochemical and In-Vivo Anti-Arthritic Significance of Aloe thraskii Baker in Combined Therapy with Methotrexate in Adjuvant-Induced Arthritis in Rats
Abstract
1. Introduction
2. Results
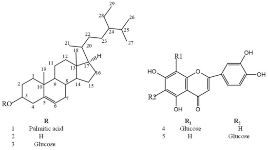
2.1. Characterization of Isolated Compounds
2.2. Identification of Compounds
2.3. Biological Study
2.3.1. Evaluation of Median Lethal Dose (LD50)
2.3.2. Effect of Different Treatments on the Levels of Diagnostic Markers of Rheumatoid Arthritis (RF and Anti-CCP)
2.3.3. Effect of Different Treatments on the Levels of Markers of Inflammation (NF-ĸB, TNF-α and IL-10)
2.3.4. Effect on Oxidative Stress Mediators
2.3.5. Markers of Liver Function (AST, ALT and ALP):
2.3.6. Total Bilirubin and Total Protein
3. Discussion
4. Materials and Methods
4.1. Plant Material
4.2. Phytochemical Analysis
4.2.1. Chemicals and Chromatographic Techniques
4.2.2. Extraction and Fractionation Procedures
4.2.3. Isolation of Compounds
4.3. Biological Study
4.3.1. Experimental Animals
4.3.2. Determination of Median Lethal Dose (LD50)
4.3.3. In Vivo Antiarthritic Activity
4.3.4. Biochemical Parameters
Diagnostic Rheumatoid Arthritis and Inflammation Markers
Determination of Oxidative Stress Mediators
Determination of Markers for Liver Function Parameters
4.3.5. Statistical Analysis
5. Conclusions
Author Contributions
Funding
Institutional Review Board Statement
Data Availability Statement
Conflicts of Interest
Sample Availability
References
- Smolen, J.S.; Aletaha, D.; McInnes, I.B. Rheumatoid arthritis. Lancet 2016, 388, 2023–2038. [Google Scholar] [CrossRef]
- Walsh, D.A.; McWilliams, D.F. Mechanisms, impact and management of pain in rheumatoid arthritis. Nat. Rev. Rheumatol. 2014, 10, 581–592. [Google Scholar] [CrossRef] [PubMed]
- Wahba, M.G.F.; Messiha, B.A.S.; Abo-Saif, A.A. Protective effects of fenofibrate and resveratrol in an aggressive model of rheumatoid arthritis in rats. Pharm. Biol. 2016, 54, 1705–1715. [Google Scholar] [CrossRef] [PubMed]
- Montecucco, F.; Mach, F. Common inflammatory mediators orchestrate pathophysiological processes in rheumatoid arthritis and atherosclerosis. Rheumatology 2009, 48, 11–22. [Google Scholar] [CrossRef] [PubMed]
- Roman-Blas, J.A.; Jimenez, S.A. NF-κB as a potential therapeutic target in osteoarthritis and rheumatoid arthritis. Osteoarthr. Cartil. 2006, 14, 839–848. [Google Scholar] [CrossRef] [PubMed]
- El-Shiekh, R.A.; El-Mekkawy, S.; Mouneir, S.M.; Hassan, A.; Abdel-Sattar, E. Therapeutic potential of russelioside B as anti-arthritic agent in Freund’s adjuvant-induced arthritis in rats. J. Ethnopharmacol. 2021, 270. [Google Scholar] [CrossRef] [PubMed]
- Hersh, E.M.; Wong, V.G.; Henderson, E.S.; Freireich, E.J. Hepatotoxic effects of methotrexate. Cancer 1966, 19, 600–606. [Google Scholar] [CrossRef]
- Jahovic, N.; Çevik, H.; Şehirli, A.Ö.; Yeǧen, B.Ç.; Şener, G. Melatonin prevents methotrexate-induced hepatorenal oxidative injury in rats. J. Pineal Res. 2003, 34, 282–287. [Google Scholar] [CrossRef] [PubMed]
- Park, G.; Lee, S.H.; Han, J.Y.; Oh, D.S. Altered TNF-α response by Aconibal® and methotrexate in a lipopolysaccharide-induced setting of inflammatory conditions: Potential on a synergistic combination. J. Ethnopharmacol. 2018, 213, 191–197. [Google Scholar] [CrossRef] [PubMed]
- Lõpez Mantecõn, A.M.; Garrido, G.; Delgado-Hernández, R.; Garrido-Suárez, B.B. Combination of Mangifera indica L. extract supplementation plus methotrexate in rheumatoid arthritis patients: A pilot study. Phyther. Res. 2014, 28, 1163–1172. [Google Scholar] [CrossRef] [PubMed]
- Li, F.; Li, H.; Luo, S.; Ran, Y.; Xie, X.; Wang, Y.; Zheng, M.; Wang, M.; Zhao, Z.; Li, X. Evaluation of the effect of andrographolide and methotrexate combined therapy in complete Freundʼs adjuvant induced arthritis with reduced hepatotoxicity. Biomed. Pharmacother. 2018, 106, 637–645. [Google Scholar] [CrossRef]
- Grace, O.M. Current perspectives on the economic botany of the genus Aloe L. (Xanthorrhoeaceae). S. Afr. J. Bot. 2011, 77, 980–987. [Google Scholar] [CrossRef]
- Bodede, O.; Prinsloo, G. Ethnobotany, phytochemistry and pharmacological significance of the genus Bulbine (Asphodelaceae). J. Ethnopharmacol. 2020, 112986. [Google Scholar] [CrossRef]
- Christenhusz, M.J.M.; Byng, J.W. The number of known plants species in the world and its annual increase. Phytotaxa 2016, 261, 201–217. [Google Scholar] [CrossRef]
- Sun, Y.N.; Li, W.; Yang, S.Y.; Kang, J.S.; Ma, J.Y.; Kim, Y.H. Isolation and identification of chromone and pyrone constituents from Aloe and their anti-inflammatory activities. J. Funct. Foods 2016, 21, 232–239. [Google Scholar] [CrossRef]
- Sánchez, M.; González-Burgos, E.; Iglesias, I.; Gómez-Serranillos, M.P. Pharmacological update properties of aloe vera and its major active constituents. Molecules 2020, 25, 1324. [Google Scholar] [CrossRef]
- Salehi, B.; Albayrak, S.; Antolak, H.; Kręgiel, D.; Pawlikowska, E.; Sharifi-Rad, M.; Uprety, Y.; Fokou, P.V.T.; Yousef, Z.; Zakaria, Z.A.; et al. Aloe genus plants: From farm to food applications and phytopharmacotherapy. Int. J. Mol. Sci. 2018, 19, 2843. [Google Scholar] [CrossRef]
- El Sayed, A.M.; Ezzat, S.M.; El Naggar, M.M.; El Hawary, S.S. In vivo diabetic wound healing effect and HPLC–DAD–ESI–MS/MS profiling of the methanol extracts of eight Aloe species. Braz. J. Pharmacogn. 2016, 26, 352–362. [Google Scholar] [CrossRef]
- Ghannam, N.; Kingston, M.; Al-Meshaal, I.A.; Tariq, M.; Parman, N.S.; Woodhouse, N. The antidiabetic activity of aloes: Preliminary clinical and experimental observations. Horm. Res. Paediatr. 1986, 24, 288–294. [Google Scholar] [CrossRef]
- Rainsford, K.D.; Powanda, M.C.; Whitehouse, M.W. Preface. Novel Natural Products: Therapeutic Effects in Pain Arthritis and Gastro-Intestinal Diseases. Prog. Drug Res. 2015, 70. [Google Scholar]
- Mhlongo, L.S.; Van Wyk, B.E. Zulu medicinal ethnobotany: New records from the Amandawe area of KwaZulu-Natal, South Africa. S. Afr. J. Bot. 2019, 122, 266–290. [Google Scholar] [CrossRef]
- Van Wyk, B.E.; Yenesew, A.; Dagne, E. Chemotaxonomic survey of anthraquinones and pre-anthraquinones in roots of Aloe species. Biochem. Syst. Ecol. 1995, 23, 267–275. [Google Scholar] [CrossRef]
- Lindsey, K.L.; Viljoen, A.M.; Jäger, A.K.; van Wyk, B.-E. Screening of Aloe species for antioxidant activity. S. Afr. J. Bot. 2003, 69, 599–602. [Google Scholar] [CrossRef]
- Grace, O.M.; Simmonds, M.S.J.; Smith, G.F.; Wyk, A.E. Van Therapeutic uses of Aloe L. (Asphodelaceae) in southern Africa. J. Ethnopharmacol. 2008, 119, 604–614. [Google Scholar] [CrossRef]
- Ndhlovu, P.T.; Omotayo, A.O.; Otang-Mbeng, W.; Aremu, A.O. Ethnobotanical review of plants used for the management and treatment of childhood diseases and well-being in South Africa. S. Afr. J. Bot. 2021, 137, 197–215. [Google Scholar] [CrossRef]
- Barreiros, M.L.; David, J.M.; Pereira, P.A.D.P.; Guedes, M.L.S.; David, J.P. Fatty acid esters of triterpenes from Erythroxylum passerinum. J. Braz. Chem. Soc. 2002, 13, 669–673. [Google Scholar] [CrossRef]
- Elhassan, G.O.M.; Adhikari, A.; Yousuf, S.; Rahman, H.; Khalid, A.; Omer, H.; Fun, H.; Jahan, H.; Choudhary, M.I.; Yagi, S. Phytochemistry Letters Phytochemistry and antiglycation activity of Aloe sinkatana Reynolds. Phytochem. Lett. 2012, 5, 725–728. [Google Scholar] [CrossRef]
- Saeidnia, S.; Gohari, A.R.; Malmir, M.; Moradi-Afrapoli, F.; Ajani, Y. Tryptophan and sterols from Salvia limbata. J. Med. Plants 2011, 10, 41–47. [Google Scholar] [CrossRef]
- Organisation for Economic Cooperation and Development (OECD). Test No. 423: Acute Oral toxicity—Acute Toxic Class Method. In OECD Guidelines for the Testing of Chemicals; OECD: Paris, France, 2001; pp. 1–14. [Google Scholar]
- Kuncha, M.; Naidu, V.G.M.; Sahu, B.D.; Gadepalli, S.G.; Sistla, R. Curcumin potentiates the anti-arthritic effect of prednisolone in Freund’s complete adjuvant-induced arthritic rats. J. Pharm. Pharmacol. 2014, 66, 133–144. [Google Scholar] [CrossRef]
- Ziqubu, K.; Dludla, P.V.; Joubert, E.; Muller, C.J.F.; Louw, J.; Tiano, L.; Nkambule, B.B.; Kappo, A.P.; Mazibuko-Mbeje, S.E. Isoorientin: A dietary flavone with the potential to ameliorate diverse metabolic complications. Pharmacol. Res. 2020, 158, 104867. [Google Scholar] [CrossRef]
- Gou, K.J.; Zeng, R.; Ren, X.D.; Dou, Q.L.; Yang, Q.B.; Dong, Y.; Qu, Y. Anti-rheumatoid arthritis effects in adjuvant-induced arthritis in rats and molecular docking studies of Polygonum orientale L. extracts. Immunol. Lett. 2018, 201, 59–69. [Google Scholar] [CrossRef]
- Dhakal, H.; Lee, S.; Choi, J.K.; Kwon, T.K.; Khang, D.; Kim, S.H. Inhibitory effects of orientin in mast cell-mediated allergic inflammation. Pharmacol. Rep. 2020, 72, 1002–1010. [Google Scholar] [CrossRef] [PubMed]
- Liu, R.; Hao, D.; Xu, W.; Li, J.; Li, X.; Shen, D.; Sheng, K.; Zhao, L.; Xu, W.; Gao, Z.; et al. β-Sitosterol modulates macrophage polarization and attenuates rheumatoid inflammation in mice. Pharm. Biol. 2019, 57, 161–168. [Google Scholar] [CrossRef] [PubMed]
- World Medical Association declaration of Helsinki: Ethical principles for medical research involving human subjects. JAMA 2013, 310, 2191–2194. [CrossRef] [PubMed]
- Banji, D.; Pinnapureddy, J.; Banji, O.J.F.; Saidulu, A.; Hayath, M.S. Synergistic activity of curcumin with methotrexate in ameliorating Freund’s Complete Adjuvant induced arthritis with reduced hepatotoxicity in experimental animals. Eur. J. Pharmacol. 2011, 668, 293–298. [Google Scholar] [CrossRef]
- Petrovas, C.; Daskas, S.M.; Lianidou, E.S. Determination of tumor necrosis factor-α (TNF-α) in serum by a highly sensitive enzyme amplified lanthanide luminescence immunoassay. Clin. Biochem. 1999, 32, 241–247. [Google Scholar] [CrossRef]
- Hamad, K.M.; Sabry, M.M.; Elgayed, S.H.; El Shabrawy, A.-R.; El-Fishawy, A.M.; Abdel Jaleel, G.A. Anti-inflammatory and phytochemical evaluation of Combretum aculeatum Vent growing in Sudan. J. Ethnopharmacol. 2019, 242, 112052. [Google Scholar] [CrossRef]
- Koracevic, D.; Koracevic, G.; Djordjevic, V.; Andrejevic, S.; Cosic, V. Method for the measurement of antioxidant activity in human fluids. J. Clin. Pathol. 2001, 54, 356–361. [Google Scholar] [CrossRef]
- Chen, Z.; Zhong, B.; Barrow, C.J.; Dunshea, F.R.; Suleria, H.A.R. Identification of phenolic compounds in Australian grown dragon fruits by LC-ESI-QTOF-MS/MS and determination of their antioxidant potential. Arab. J. Chem. 2021, 14, 103151. [Google Scholar] [CrossRef]
- Adeyemi, O.T.; Osilesi, O.; Adebawo, O.O.; Onajobi, F.D.; Oyedemi, S.O.; Afolayan, A.J. Alkaline Phosphatase (ALP), Aspartate Aminotransferase (AST) and Alanine Aminotransferase (ALT) Activities in Selected Tissues of Rats Fed on Processed Atlantic Horse Mackerel (Trachurus trachurus). Adv. Biosci. Biotechnol. 2015, 6, 139–152. [Google Scholar] [CrossRef]

| Group | RF, Percent * | Anti-CCP, Percent * |
|---|---|---|
| Normal control | 21.6 ± 0.67 a | 7.74 ± 0.36 a |
| Negative control | 78.4 ± 2.27 e, 263.45% (↑) | 43.1 ± 1.45 f, 456.54% (↑) |
| MTX treated group | 46.8 ± 2.31 c, 40.3% (↓) | 22.6 ± 0.75 c, 47.6% (↓) |
| Ethanolic extract (100 mg/kg b.wt) | 84.4 ± 2.22 e, 7.7% (↓) | 36.4 ± 2.91 e, 15.6% (↓) |
| Ethanolic extract (200 mg/kg b.wt) | 67.1 ± 3.11 d, 14.4% (↓) | 29.6 ± 3.05 d, 31.4% (↓) |
| MTX + ethanolic extract (100 mg/kg b.wt) | 41.5 ± 2.40 b, 47% (↓) | 20.4 ± 0.95 c, 52.6% (↓) |
| MTX + ethanolic extract (200 mg/kg b.wt) | 37.6 ± 2.15 bc, 52% (↓) | 15.3 ± 0.52 b, 64.6% (↓) |
| Group | Proinflammatory Markers | Inflammatory Mediator | |
|---|---|---|---|
| NF-ĸB, Percent * | TNF-α, Percent * | IL10, Percent * | |
| Normal control | 4.56 ± 0.18 a | 36.9 ± 1.33 a | 98.6 ± 2.31 e |
| Negative control | 21.2 ± 0.65 e, (364.38% ↑) | 173.2 ± 3.23 e, (370% ↑) | 54.6 ± 1.85 a, (44.69% ↓) |
| MTX treated group | 8.65 ± 0.50 b, (59.2% ↓) | 93.4 ± 3.86 c, (46.1%↑) | 89.6 ± 2.09 d, (64.2% ↑) |
| Ethanolic extract (100 mg/kg b.wt) | 19.2 ± 1.09 d, (9.2% ↓) | 135.7 ± 3.81 d, (21.6% ↓) | 63.4 ± 2.46 b, (16.3% ↑) |
| Ethanolic extract (200 mg/kg b.wt) | 13.8 ± 0.59 c, (35% ↓) | 91.6 ± 3.83 c, (47.1% ↓) | 75.1 ± 3.31 c, (37.7% ↑) |
| MTX + ethanolic extract (100 mg/kg b.wt) | 8.29 ± 0.38 b, (60.9% ↓) | 83.5 ± 4.54 c, (51.8% ↓) | 95.8 ± 3.42 d,e, (75.7%↑) |
| MTX + ethanolic extract (200 mg/kg b.wt) | 7.66 ± 0.45 b, (63.69% ↓) | 69.4 ± 4.56 b, (59.9% ↓) | 99.3 ± 3.99 e, (82% ↑) |
| Groups | TAC, Percent * | GSH, Percent * | MDA, Percent * |
|---|---|---|---|
| Normal control | 0.459 ± 0.023 e | 49.7 ± 1.64 e | 13.4 ± 0.57 a |
| Negative control | 0.379 ± 0.018 c,d, 17.3% (↓) | 39.1 ± 1.68 c, 21.4% (↓) | 24.4 ± 0.92 c, 22.7% (↑) |
| MTX treated group | 0.251 ± 0.011 a, 33.8% (↓) | 24.3 ± 1.98 a, 39.9% (↓) | 32.6 ± 1.39 e, 33.7% (↑) |
| Ethanolic extract (100 mg/kg b.wt) | 0.416 ± 0.021 d,e, 9.8% (↑) | 43.5 ± 1.95 c,d, 11.3% (↑) | 19.6 ± 1.17 b, 19.8% (↓) |
| Ethanolic extract (200 mg/kg b.wt) | 0.436 ± 0.016 e, 15% (↑) | 47.3 ± 2.15 d,e, 21.1% (↑) | 14.8 ± 0.71 a, 39.5% (↓) |
| MTX + ethanolic extract (100 mg/kg b.wt) | 0.289 ± 0.011 a,b, 23.8% (↓) | 28.1 ± 1.26 a,b, 28% (↓) | 30.1 ± 1.31 d,e, 23.2% (↑) |
| MTX + ethanolic extract (200 mg/Kg b.wt) | 0.335 ± 0.012 b,c, 11.8% (↓) | 31.9 ± 1.87 b, 18% (↓) | 28.2 ± 1.80 d, 15.5% (↑) |
| Group | AST, Percent * | ALT, Percent * | ALP, Percent * |
|---|---|---|---|
| Normal control | 22.7 ± 1.28 a | 48.8 ± 1.35 a | 141.3 ± 6.75 a |
| Negative control | 50.8 ± 3.05 d, 122% (↑) | 116 ± 3.27 d, 137.5% (↑) | 232.9 ± 10.5 c, 64.8% (↑) |
| MTX treated group | 66.3 ± 2.52 f, 31.1% (↑) | 159.8 ± 6.58 g, 37.8% (↑) | 378.3 ± 8.85 f, 62.4% (↑) |
| Ethanolic extract (100 mg/Kg b.wt) | 40.3 ± 1.33 c, 19.9% (↓) | 101.5 ± 3.22 c,12.5% (↓) | 176.8 ± 5.92 b, 24.1% (↓) |
| Ethanolic extract (200 mg/Kg b.wt) | 29.8 ± 1.17 b, 40.7% (↓) | 74.2 ± 2.41 b, 36.1% (↓) | 156.6 ± 3.98 a,b, 32.8% (↓) |
| MTX + ethanolic extract (100 mg/Kg b.wt) | 62.3 ± 2.96 e,f, 23.8% (↑) | 145.7 ± 3.80 f, 25.6% (↑) | 328.6 ± 7.33 e, 41.1% (↑) |
| MTX + ethanolic extract (200 mg/Kg b.wt) | 56.7 ± 1.94 e, 12.6% (↑) | 131 ± 5.7 e, 12.6% (↑) | 274.1 ± 13.2 d, 17.1% (↑) |
| Groups | Total Bilirubin, Percent * | Total Protein, Percent * |
|---|---|---|
| Normal control | 0.72 ± 0.03 a | 6.18 ± 0.25 d |
| Negative control | 1.31 ± 0.06 c, 80.7% (↑) | 4.78 ± 0.16 b,c, 22.7% (↓) |
| MTX treated group | 2.06 ± 0.07 f, 58.9% (↑) | 3.92 ± 0.11 a, 18% (↓) |
| Ethanolic extract (100 mg/Kg b.wt) | 1.05 ± 0.04 b, 19% (↓) | 5.08 ± 0.28 c, 6.2% (↑) |
| Ethanolic extract (200 mg/Kg b.wt) | 0.91 ± 0.037 b, 31% (↓) | 5.83 ± 0.22 d, 22% (↑) |
| MTX + ethanolic extract (100 mg/Kg b.wt) | 1.91 ± 0.06 e, 43.1% (↑) | 4.24 ± 0.18 b,c, 11.3% (↓) |
| MTX + ethanolic extract (200 mg/Kg b.wt) | 1.65 ± 0.07 d, 27.1% (↑) | 4.58 ± 0.16 a,b, 4.2% (↓) |
Publisher’s Note: MDPI stays neutral with regard to jurisdictional claims in published maps and institutional affiliations. |
© 2021 by the authors. Licensee MDPI, Basel, Switzerland. This article is an open access article distributed under the terms and conditions of the Creative Commons Attribution (CC BY) license (https://creativecommons.org/licenses/by/4.0/).
Share and Cite
Kamal, R.M.; Sabry, M.M.; Aly, Z.Y.; Hifnawy, M.S. Phytochemical and In-Vivo Anti-Arthritic Significance of Aloe thraskii Baker in Combined Therapy with Methotrexate in Adjuvant-Induced Arthritis in Rats. Molecules 2021, 26, 3660. https://doi.org/10.3390/molecules26123660
Kamal RM, Sabry MM, Aly ZY, Hifnawy MS. Phytochemical and In-Vivo Anti-Arthritic Significance of Aloe thraskii Baker in Combined Therapy with Methotrexate in Adjuvant-Induced Arthritis in Rats. Molecules. 2021; 26(12):3660. https://doi.org/10.3390/molecules26123660
Chicago/Turabian StyleKamal, Rania M., Manal M. Sabry, Zeinab Y. Aly, and Mohamed S. Hifnawy. 2021. "Phytochemical and In-Vivo Anti-Arthritic Significance of Aloe thraskii Baker in Combined Therapy with Methotrexate in Adjuvant-Induced Arthritis in Rats" Molecules 26, no. 12: 3660. https://doi.org/10.3390/molecules26123660
APA StyleKamal, R. M., Sabry, M. M., Aly, Z. Y., & Hifnawy, M. S. (2021). Phytochemical and In-Vivo Anti-Arthritic Significance of Aloe thraskii Baker in Combined Therapy with Methotrexate in Adjuvant-Induced Arthritis in Rats. Molecules, 26(12), 3660. https://doi.org/10.3390/molecules26123660

