Evaluation of Substituted N-Phenylpiperazine Analogs as D3 vs. D2 Dopamine Receptor Subtype Selective Ligands
Abstract
1. Introduction
2. Results
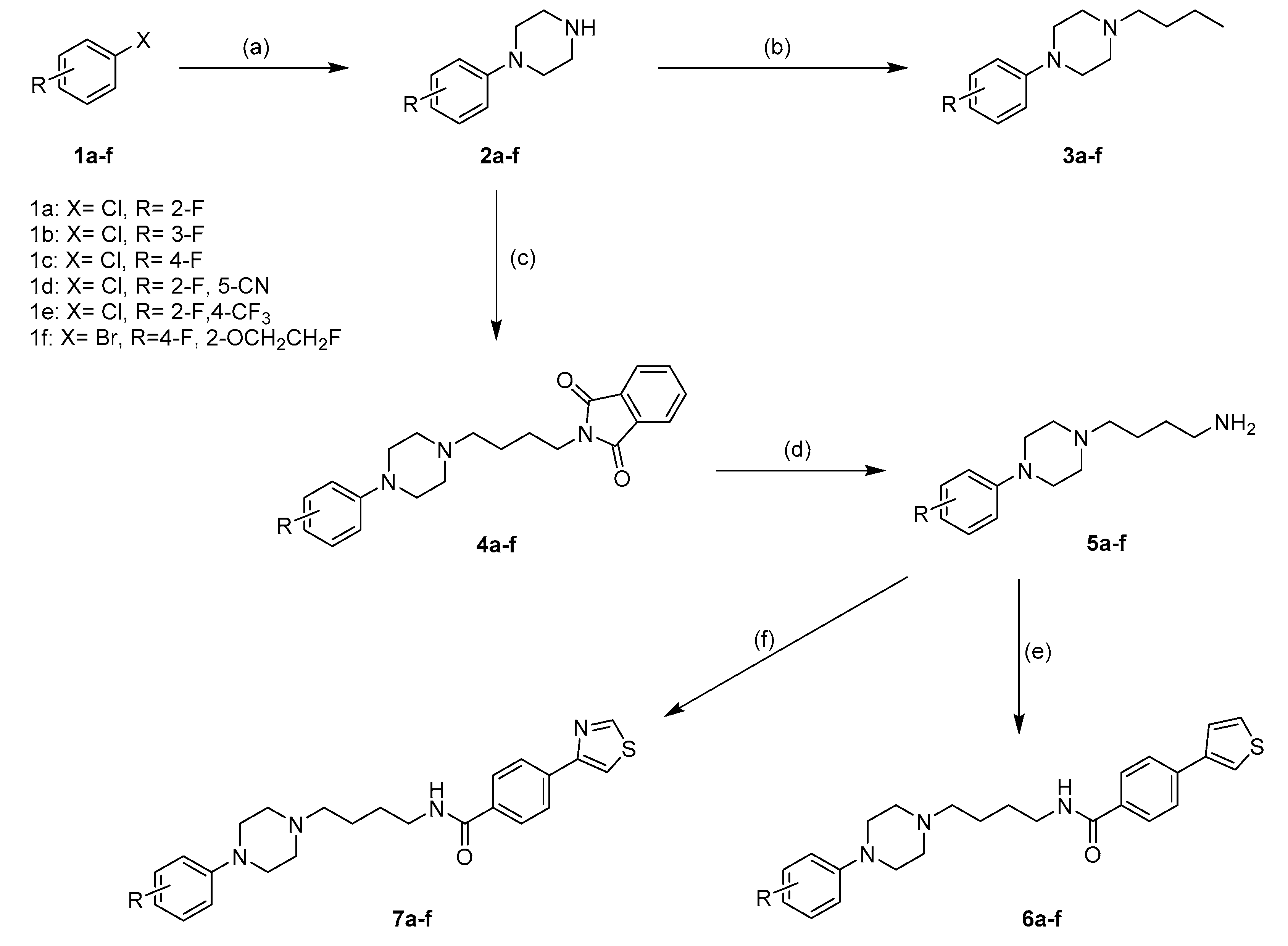
2.1. Chemistry
2.2. Pharmacological Studies
2.2.1. D2-Like Dopamine Receptors
2.2.2. 5-HT1A Receptor Binding
2.2.3. Off-Target Binding Assessment
2.2.4. Ligand Efficacy Analysis
2.3. In-Vivo Analysis of Compound 6a
3. Discussion
4. Materials and Methods
4.1. Chemistry
4.2. D2 and D3 Dopamine Receptor Competitive Radioligand Binding Assays
4.3. 5-HT1A Receptor Binding Assays
4.4. Ligand Efficacy Analysis
4.4.1. Cyclase Inhibition Assay
4.4.2. β-Arrestin Binding Assay
4.5. In-Vivo Studies
4.5.1. Head Twitch Response
4.5.2. AIMs Studies
Supplementary Materials
Author Contributions
Funding
Institutional Review Board Statement
Informed Consent Statement
Data Availability Statement
Conflicts of Interest
Sample Availability
References
- Ustione, A.; Piston, D.W. Dopamine synthesis and D3 receptor activation in pancreatic beta-cells regulates insulin secretion and intracellular [Ca2+] oscillations. Mol. Endocrinol. 2012, 26, 1928–1940. [Google Scholar] [CrossRef] [PubMed]
- Jose, P.A.; Soares-da-Silva, P.; Eisner, G.M.; Felder, R.A. Dopamine and G protein-coupled receptor kinase 4 in the kidney: Role in blood pressure regulation. Biochim. Biophys. Acta 2010, 1802, 1259–1267. [Google Scholar] [CrossRef] [PubMed]
- Basu, S.; Dasgupta, P.S. Dopamine, a neurotransmitter, influences the immune system. J. Neuroimmunol. 2000, 102, 113–124. [Google Scholar] [CrossRef]
- Toth, B.E.; Vecsernyes, M.; Zelles, T.; Kadar, K.; Nagy, G.M. Role of peripheral and brain-derived dopamine (DA) in immune regulation. Adv. Neuroimmune Biol. 2012, 3, 111–155. [Google Scholar] [CrossRef]
- Roeper, J. Dissecting the diversity of midbrain dopamine neurons. Trends Neurosci. 2013, 36, 336–342. [Google Scholar] [CrossRef]
- Jaber, M.; Robinson, S.W.; Missale, C.; Caron, M.G. Dopamine receptors and brain function. Neuropharmacology 1996, 35, 1503–1519. [Google Scholar] [CrossRef]
- Chien, E.Y.; Liu, W.; Zhao, Q.; Katritch, V.; Han, G.W.; Hanson, M.A.; Shi, L.; Newman, A.H.; Javitch, J.A.; Cherezov, V.; et al. Structure of the human dopamine D3 receptor in complex with a D2/D3 selective antagonist. Science 2010, 330, 1091–1095. [Google Scholar] [CrossRef]
- Wang, S.; Wacker, D.; Levit, A.; Che, T.; Betz, R.M.; McCorvy, J.D.; Venkatakrishnan, A.J.; Huang, X.P.; Dror, R.O.; Shoichet, B.K.; et al. D4 dopamine receptor high-resolution structures enable the discovery of selective agonists. Science 2017, 358, 381–386. [Google Scholar] [CrossRef] [PubMed]
- Wang, S.; Che, T.; Levit, A.; Shoichet, B.K.; Wacker, D.; Roth, B.L. Structure of the D2 dopamine receptor bound to the atypical antipsychotic drug risperidone. Nature 2018, 555, 269–273. [Google Scholar] [CrossRef] [PubMed]
- Yin, J.; Chen, K.M.; Clark, M.J.; Hijazi, M.; Kumari, P.; Bai, X.C.; Sunahara, R.K.; Barth, P.; Rosenbaum, D.M. Structure of a D2 dopamine receptor-G-protein complex in a lipid membrane. Nature 2020, 584, 125–129. [Google Scholar] [CrossRef]
- Kebabian, J.W.; Greengard, P. Dopamine-sensitive adenyl cyclase: Possible role in synaptic transmission. Science 1971, 174, 1346–1349. [Google Scholar] [CrossRef] [PubMed]
- Monsma, F.J., Jr.; Mahan, L.C.; McVittie, L.D.; Gerfen, C.R.; Sibley, D.R. Molecular cloning and expression of a D1 dopamine receptor linked to adenylyl cyclase activation. Proc. Natl. Acad. Sci. USA 1990, 87, 6723–6727. [Google Scholar] [CrossRef]
- Corvol, J.C.; Valjent, E.; Pascoli, V.; Robin, A.; Stipanovich, A.; Luedtke, R.R.; Belluscio, L.; Girault, J.A.; Herve, D. Quantitative changes in Galphaolf protein levels, but not D1 receptor, alter specifically acute responses to psychostimulants. Neuropsychopharmacology 2007, 32, 1109–1121. [Google Scholar] [CrossRef] [PubMed]
- Neve, K.A.; Seamans, J.K.; Trantham-Davidson, H. Dopamine receptor signaling. J. Recept. Signal Transduct. Res. 2004, 24, 165–205. [Google Scholar] [CrossRef]
- Allen, J.A.; Yost, J.M.; Setola, V.; Chen, X.; Sassano, M.F.; Chen, M.; Peterson, S.; Yadav, P.N.; Huang, X.P.; Feng, B.; et al. Discovery of ꞵ-arrestin-biased dopamine D2 ligands for probing signal transduction pathways essential for antipsychotic efficacy. Proc. Natl. Acad. Sci. USA 2011, 108, 18488–18493. [Google Scholar] [CrossRef]
- Beom, S.; Cheong, D.; Torres, G.; Caron, M.G.; Kim, K.M. Comparative studies of molecular mechanisms of dopamine D2 and D3 receptors for the activation of extracellular signal-regulated kinase. J. Biol. Chem. 2004, 279, 28304–28314. [Google Scholar] [CrossRef] [PubMed]
- Navarro, G.; Moreno, E.; Bonaventura, J.; Brugarolas, M.; Farre, D.; Aguinaga, D.; Mallol, J.; Cortes, A.; Casado, V.; Lluis, C.; et al. Cocaine inhibits dopamine D2 receptor signaling via sigma-1-D2 receptor heteromers. PLoS ONE 2013, 8, e61245. [Google Scholar] [CrossRef] [PubMed]
- Liu, Y.; Buck, D.C.; Neve, K.A. Novel interaction of the dopamine D2 receptor and the Ca2+ binding protein S100B: Role in D2 receptor function. Mol. Pharmacol. 2008, 74, 371–378. [Google Scholar] [CrossRef]
- Lane, J.R.; Sexton, P.M.; Christopoulos, A. Bridging the gap: Bitopic ligands of G-protein-coupled receptors. Trends Pharmacol. Sci. 2013, 34, 59–66. [Google Scholar] [CrossRef] [PubMed]
- Rangel-Barajas, C.; Malik, M.; Mach, R.H.; Luedtke, R.R. Pharmacological modulation of abnormal involuntary DOI-induced head twitch response movements in male DBA/2J mice: II. Effects of D3 dopamine receptor selective compounds. Neuropharmacology 2015, 93, 179–190. [Google Scholar] [CrossRef]
- Hayatshahi, H.S.; Xu, K.; Griffin, S.A.; Taylor, M.; Mach, R.H.; Liu, J.; Luedtke, R.R. Analogues of arylamide phenylpiperazine ligands to investigate the factors influencing D3 dopamine receptor bitropic binding and receptor subtype selectivity. ACS Chem. Neurosci. 2018, 9, 2972–2983. [Google Scholar] [CrossRef] [PubMed]
- Chen, P.J.; Taylor, M.; Griffin, S.A.; Amani, A.; Hayatshahi, H.; Korzekwa, K.; Ye, M.; Mach, R.H.; Liu, J.; Luedtke, R.R.; et al. Design, synthesis, and evaluation of N-(4-(4-phenyl piperazin-1-yl)butyl)-4-(thiophen-3-yl)benzamides as selective dopamine D3 receptor ligands. Bioorg. Med. Chem. Lett. 2019, 29, 2690–2694. [Google Scholar] [CrossRef] [PubMed]
- Lane, J.R.; Donthamsetti, P.; Shonberg, J.; Draper-Joyce, C.J.; Dentry, S.; Michino, M.; Shi, L.; Lopez, L.; Scammells, P.J.; Capuano, B.; et al. A new mechanism of allostery in a G protein-coupled receptor dimer. Nat. Chem. Biol. 2014, 10, 745–752. [Google Scholar] [CrossRef]
- Newman, A.H.; Beuming, T.; Banala, A.K.; Donthamsetti, P.; Pongetti, K.; LaBounty, A.; Levy, B.; Cao, J.; Michino, M.; Luedtke, R.R.; et al. Molecular determinants of selectivity and efficacy at the dopamine D3 receptor. J. Med. Chem. 2012, 55, 6689–6699. [Google Scholar] [CrossRef] [PubMed]
- Furman, C.A.; Roof, R.A.; Moritz, A.E.; Miller, B.N.; Doyle, T.B.; Free, R.B.; Banala, A.K.; Paul, N.M.; Kumar, V.; Sibley, C.D.; et al. Investigation of the binding and functional properties of extended length D3 dopamine receptor-selective antagonists. Eur. Neuropsychopharmacol. 2015, 25, 1448–1461. [Google Scholar] [CrossRef] [PubMed]
- Keck, T.M.; John, W.S.; Czoty, P.W.; Nader, M.A.; Newman, A.H. Identifying medication targets for psychostimulant addiction: Unraveling the dopamine D3 receptor yypothesis. J. Med. Chem. 2015, 58, 5361–5380. [Google Scholar] [CrossRef]
- Mach, R.H.; Luedtke, R.R. Challenges in the development of dopamine D2- and D3-selective radiotracers for PET imaging studies. J. Label. Comp. Radiopharm. 2018, 61, 291–298. [Google Scholar] [CrossRef]
- Pilla, M.; Perachon, S.; Sautel, F.; Garrido, F.; Mann, A.; Wermuth, C.G.; Schwartz, J.C.; Everitt, B.J.; Sokoloff, P. Selective inhibition of cocaine-seeking behaviour by a partial dopamine D3 receptor agonist. Nature 1999, 400, 371–375. [Google Scholar] [CrossRef] [PubMed]
- Bettinetti, L.; Schlotter, K.; Hubner, H.; Gmeiner, P. Interactive SAR studies: Rational discovery of super-potent and highly selective dopamine D3 receptor antagonists and partial agonists. J. Med. Chem. 2002, 45, 4594–4597. [Google Scholar] [CrossRef]
- Chu, W.H.; Tu, Z.; McElveen, E.; Xu, J.B.; Taylor, M.; Luedtke, R.R.; Mach, R.H. Synthesis and in vitro binding of N-phenyl piperazine analogs as potential dopamine D-3 receptor ligands. Bioorg. Med. Chem. 2005, 13, 77–87. [Google Scholar] [CrossRef] [PubMed]
- Kumar, R.; Riddle, L.; Griffin, S.A.; Grundt, P.; Newman, A.H.; Luedtke, R.R. Evaluation of the D3 dopamine receptor selective antagonist PG01037 on L-dopa-dependent abnormal involuntary movements in rats. Neuropharmacology 2009, 56, 944–955. [Google Scholar] [CrossRef] [PubMed]
- Rangel-Barajas, C.; Malik, M.; Taylor, M.; Neve, K.A.; Mach, R.H.; Luedtke, R.R. Characterization of [3H]LS-3-134, a novel arylamide phenylpiperazine D3 dopamine receptor selective radioligand. J. Neurochem. 2014, 131, 418–431. [Google Scholar] [CrossRef]
- Malik, M.; Rangel-Barajas, C.; Mach, R.H.; Luedtke, R.R. The effect of the sigma-1 receptor selective compound LS-1-137 on the DOI-induced head twitch response in mice. Pharmacol. Biochem. Behav. 2016, 148, 136–144. [Google Scholar] [CrossRef]
- Reilly, S.W.; Mach, R.H. Pd-Catalyzed synthesis of piperazine scaffolds under aerobic and solvent-free conditions. Org. Lett. 2016, 18, 5272–5275. [Google Scholar] [CrossRef]
- Cheung, T.H.; Loriaux, A.L.; Weber, S.M.; Chandler, K.N.; Lenz, J.D.; Schaan, R.F.; Mach, R.H.; Luedtke, R.R.; Neisewander, J.L. Reduction of cocaine self-administration and D3 receptor-mediated behavior by two novel dopamine D3 receptor-selective partial agonists, OS-3-106 and WW-III-55. J. Pharmacol. Exp. Ther. 2013, 347, 410–423. [Google Scholar] [CrossRef]
- Powell, G.L.; Bonadonna, J.P.; Vannan, A.; Xu, K.Y.; Mach, R.H.; Luedtke, R.R.; Neisewander, J.L. Dopamine D3 receptor partial agonist LS-3-134 attenuates cocaine-motivated behaviors. Pharmacol. Biochem. Behav. 2018, 171, 46–53. [Google Scholar] [CrossRef] [PubMed]
- Cenci, M.A. Dopamine dysregulation of movement control in L-DOPA-induced dyskinesia. Trends Neurosci. 2007, 30, 236–243. [Google Scholar] [CrossRef] [PubMed]
- Riddle, L.R.; Kumar, R.; Griffin, S.A.; Grundt, P.; Newman, A.H.; Luedtke, R.R. Evaluation of the D3 dopamine receptor selective agonist/partial agonist PG01042 on L-dopa dependent animal involuntary movements in rats. Neuropharmacology 2011, 60, 284–294. [Google Scholar] [CrossRef] [PubMed]
- Neisewander, J.L.; Cheung, T.H.; Pentkowski, N.S. Dopamine D3 and 5-HT1B receptor dysregulation as a result of psychostimulant intake and forced abstinence: Implications for medications development. Neuropharmacology 2014, 76 Pt B, 301–319. [Google Scholar] [CrossRef]
- Tu, Z.; Li, S.; Cui, J.; Xu, J.; Taylor, M.; Ho, D.; Luedtke, R.R.; Mach, R.H. Synthesis and pharmacological evaluation of fluorine-containing D3 dopamine receptor ligands. J. Med. Chem. 2011, 54, 1555–1564. [Google Scholar] [CrossRef] [PubMed]
- Doot, R.K.; Dubroff, J.G.; Labban, K.J.; Mach, R.H. Selectivity of probes for PET imaging of dopamine D3 receptors. Neurosci. Lett. 2019, 691, 18–25. [Google Scholar] [CrossRef]
- Taylor, M.; Grundt, P.; Griffin, S.A.; Newman, A.H.; Luedtke, R.R. Dopamine D3 receptor selective ligands with varying intrinsic efficacies at adenylyl cyclase inhibition and mitogenic signaling pathways. Synapse 2010, 64, 251–266. [Google Scholar] [CrossRef] [PubMed]
- Kenakin, T. New concepts in pharmacological efficacy at 7TM receptors: IUPHAR review 2. Br. J. Pharmacol. 2013, 168, 554–575. [Google Scholar] [CrossRef] [PubMed]
- Kobilka, B.K.; Deupi, X. Conformational complexity of G-protein-coupled receptors. Trends Pharmacol. Sci. 2007, 28, 397–406. [Google Scholar] [CrossRef]
- Kenakin, T. Drug efficacy at G protein-coupled receptors. Annu. Rev. Pharmacol. Toxicol. 2002, 42, 349–379. [Google Scholar] [CrossRef]
- Bock, A.; Bermudez, M.; Krebs, F.; Matera, C.; Chirinda, B.; Sydow, D.; Dallanoce, C.; Holzgrabe, U.; De Amici, M.; Lohse, M.J.; et al. Ligand binding ensembles determine graded agonist efficacies at a G protein-coupled receptor. J. Biol. Chem. 2016, 291, 16375–16389. [Google Scholar] [CrossRef]
- Bock, A.; Schrage, R.; Mohr, K. Allosteric modulators targeting CNS muscarinic receptors. Neuropharmacology 2018, 136, 427–437. [Google Scholar] [CrossRef]
- Reinecke, B.A.; Wang, H.; Zhang, Y. Recent advances in the drug discovery and development of dualsteric/bitopic activators of G protein-coupled receptors. Curr. Top. Med. Chem. 2019, 19, 2378–2392. [Google Scholar] [CrossRef]
- Luedtke, R.R.; Freeman, R.A.; Boundy, V.A.; Martin, M.W.; Huang, Y.; Mach, R.H. Characterization of 125I-IABN, a novel azabicyclononane benzamide selective for D2-like dopamine receptors. Synapse 2000, 38, 438–449. [Google Scholar] [CrossRef]
- Kharkwal, G.; Brami-Cherrier, K.; Lizardi-Ortiz, J.E.; Nelson, A.B.; Ramos, M.; Del Barrio, D.; Sulzer, D.; Kreitzer, A.C.; Borrelli, E. Parkinsonism driven by antipsychotics originates from dopaminergic control of striatal cholinergic interneurons. Neuron 2016, 91, 67–78. [Google Scholar] [CrossRef]
- Cheng, Y.; Prusoff, W.H. Relationship between the inhibition constant (K1) and the concentration of inhibitor which causes 50 per cent inhibition (I50) of an enzymatic reaction. Biochem. Pharmacol. 1973, 22, 3099–3108. [Google Scholar] [CrossRef] [PubMed]
- Dekundy, A.; Lundblad, M.; Danysz, W.; Cenci, M.A. Modulation of L-DOPA-induced abnormal involuntary movements by clinically tested compounds: Further validation of the rat dyskinesia model. Behav. Brain Res. 2007, 179, 76–89. [Google Scholar] [CrossRef] [PubMed]







| # | Structure | Ki Values (nM) 1 | D2:D3 Selectivity | cLogP 2 | ||
|---|---|---|---|---|---|---|
| R1 | R2 | D2 Receptor | D3 Receptor | |||
| 3a | 2-F | − | 384 ± 39.6 | 96.2 ± 16.9 | 4.0 | 4.06 |
| 3b | 3-F | 2516 ± 252 | 1003 ± 118 | 2.5 | 4.06 | |
| 3c | 4-F | 3091 ± 269 | 1176 ± 240 | 2.6 | 4.06 | |
| 3d | 2-F, 5-CN | 5431 ± 1059 | 726 ± 101 | 7.5 | 3.78 | |
| 3e | 2-F, 4-CF3 | 7522 ± 466 | 1413 ± 59.1 | 5.3 | 5.13 | |
| 3f | 2-OC2H4F, 4-F | 349 ± 21.1 | 351 ± 42.1 | 1.0 | 4.31 | |
| 6a | 2-F | ![]() | 648 ± 100 | 1.4 ± 0.2 | 467 | 5.15 |
| 6b | 3-F | 2334 ± 485 | 7.9 ± 1.4 | 296 | 5.15 | |
| 6c | 4-F | 7200 ± 215 | 12.4 ± 1.6 | 579 | 5.15 | |
| 6d | 2-F, 5-CN | 4502 ± 565 | 15.5 ± 1.3 | 290 | 4.87 | |
| 6e | 2-F, 4-CF3 | >75,000 | 43.3 ± 9.2 | >1800 | 6.22 | |
| 6f | 2-OC2H4F, 4-F | 411 ± 27.3 | 6.1 ± 0.2 | 67.4 | 5.40 | |
| 7a | 2-F | ![]() | 478 ± 71.0 | 2.5 ± 0.22 | 190 | 4.16 |
| 7b | 3-F | 3946 ± 146 | 24.0 ± 5.5 | 165 | 4.16 | |
| 7c | 4-F | 4012 ± 694 | 28.6 ± 2.1 | 140 | 4.17 | |
| 7d | 2-F, 5-CN | 7717 ± 1497 | 28.1 ± 0.8 | 274 | 3.89 | |
| 7e | 2-F, 4-CF3 | >40,000 | 30.9 ± 2.6 | 1390 | 5.24 | |
| 7f | 2-OC2H4F, 4-F | 349 ± 50.3 | 4.8 ± 0.28 | 72.9 | 4.42 | |

| # | Structure | 5-HT1A Receptor Inhibition (%) | |
|---|---|---|---|
| R1 | R2 | ||
| 3a | 2-F | − | 20.3 ± 16.2 |
| 3b | 3-F | 36.1 ± 2.1 | |
| 3c | 4-F | 5.1 ± 11.2 | |
| 3d | 2-F, 5-CN | −18.0 ± 11.1 | |
| 3e | 2-F, 4-CF3 | −11.6 ± 15.4 | |
| 3f | 2-OC2H4F, 4-F | 1.7 ± 21.7 | |
| 6a | 2-F | ![]() | −3.3 ± 15.1 |
| 6b | 3-F | 74.7 ± 1.9 | |
| 6c | 4-F | −7.7 ± 23.5 | |
| 6d | 2-F, 5-CN | 2.5 ± 3.5 | |
| 6e | 2-F, 4-CF3 | 6.1 ± 6.8 | |
| 6f | 2-OC2H4F, 4-F | 16.9 ± 24.4 | |
| 7a | 2-F | ![]() | 65.8 ± 5.0 |
| 7b | 3-F | 74.1 ± 5.3 | |
| 7c | 4-F | 12.2 ± 3.1 | |
| 7d | 2-F, 5-CN | −5.6 ± 18.3 | |
| 7e | 2-F, 4-CF3 | 7.6 ± 6.5 | |
| 7f | 2-OC2H4F, 4-F | 37.1 ± 24.4 | |
Publisher’s Note: MDPI stays neutral with regard to jurisdictional claims in published maps and institutional affiliations. |
© 2021 by the authors. Licensee MDPI, Basel, Switzerland. This article is an open access article distributed under the terms and conditions of the Creative Commons Attribution (CC BY) license (https://creativecommons.org/licenses/by/4.0/).
Share and Cite
Lee, B.; Taylor, M.; Griffin, S.A.; McInnis, T.; Sumien, N.; Mach, R.H.; Luedtke, R.R. Evaluation of Substituted N-Phenylpiperazine Analogs as D3 vs. D2 Dopamine Receptor Subtype Selective Ligands. Molecules 2021, 26, 3182. https://doi.org/10.3390/molecules26113182
Lee B, Taylor M, Griffin SA, McInnis T, Sumien N, Mach RH, Luedtke RR. Evaluation of Substituted N-Phenylpiperazine Analogs as D3 vs. D2 Dopamine Receptor Subtype Selective Ligands. Molecules. 2021; 26(11):3182. https://doi.org/10.3390/molecules26113182
Chicago/Turabian StyleLee, Boeun, Michelle Taylor, Suzy A. Griffin, Tamara McInnis, Nathalie Sumien, Robert H. Mach, and Robert R. Luedtke. 2021. "Evaluation of Substituted N-Phenylpiperazine Analogs as D3 vs. D2 Dopamine Receptor Subtype Selective Ligands" Molecules 26, no. 11: 3182. https://doi.org/10.3390/molecules26113182
APA StyleLee, B., Taylor, M., Griffin, S. A., McInnis, T., Sumien, N., Mach, R. H., & Luedtke, R. R. (2021). Evaluation of Substituted N-Phenylpiperazine Analogs as D3 vs. D2 Dopamine Receptor Subtype Selective Ligands. Molecules, 26(11), 3182. https://doi.org/10.3390/molecules26113182





