Antiplatelet Activity of Coumarins: In Vitro Assays on COX-1
Abstract
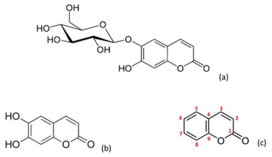
1. Introduction
2. Results
2.1. Antiaggregant Effect of Coumarins by Impedance Platelet Aggregometry
2.2. Platelet MDA Levels and COX Activity
2.3. COX-1 Inhibitory Assay
2.4. TXB2 Levels as COX-1 Activity Indicator
3. Discussion
4. Materials and Methods
4.1. Selected Compounds
4.2. Study Cohort, Inclusion and Exclusion Criteria
4.3. Peripheral Blood Extraction
4.4. Blood Samples Preparation
4.4.1. WB Samples Preparation
4.4.2. PRP Samples Preparation
4.5. Impedance Platelet Aggregometry Assay
4.6. MDA Quantification and COX Activity Assessment
4.7. Procedure for the COX-1 Inhibitory Assay
4.8. Enzyme Immunoassay for the Quantitative Determination of TXB2
4.9. Statistical Analysis
Author Contributions
Funding
Institutional Review Board Statement
Informed Consent Statement
Acknowledgments
Conflicts of Interest
Sample Availability
References
- Stratmann, J.; Karmal, L.; Zwinge, B.; Miesbach, W. Platelet Aggregation Testing on a Routine Coagulation Analyzer: A Method Comparison Study. Clin. Appl. Thromb. Hemost. 2019, 25. [Google Scholar] [CrossRef]
- Zaragozá, C.; Villaescusa, L.; Monserrat, J.; Zaragozá, F.; Álvarez-Mon, M. Potential Therapeutic Anti-Inflammatory and Immunomodulatory Effects of Dihydroflavones, Flavones, and Flavonols. Molecules 2020, 25, 1017. [Google Scholar] [CrossRef]
- Papapanagiotou, A.; Daskalakis, G.; Siasos, G.; Gargalionis, A.; Papavassiliou, G.A. The Role of Platelets in Cardiovascular Disease: Molecular Mechanisms. CPD 2016, 22, 4493–4505. [Google Scholar] [CrossRef]
- Paniccia, R.; Priora, R.; Alessandrello Liotta, A.; Abbate, R. Platelet Function Tests: A Comparative Review. VHRM 2015, 133. [Google Scholar] [CrossRef]
- Golebiewska, E.M.; Poole, A.W. Secrets of Platelet Exocytosis–What Do We Really Know about Platelet Secretion Mechanisms? Br. J. Haematol. 2014, 165, 204–216. [Google Scholar] [CrossRef]
- Rajabi, M.; Hossaini, Z.; Khalilzadeh, M.A.; Datta, S.; Halder, M.; Mousa, S.A. Synthesis of a New Class of Furo[3,2-c]Coumarins and Its Anticancer Activity. J. Photochem. Photobiol. B Biol. 2015, 148, 66–72. [Google Scholar] [CrossRef]
- Hassanein, E.H.M.; Sayed, A.M.; Hussein, O.E.; Mahmoud, A.M. Coumarins as Modulators of the Keap1/Nrf2/ARE Signaling Pathway. Oxidative Med. Cell. Longev. 2020, 2020, 1–25. [Google Scholar] [CrossRef]
- Sarker, S.D.; Nahar, L. Progress in the Chemistry of Naturally Occurring Coumarins. Prog. Chem. Org. Nat. Prod. 2017, 106, 241–304. [Google Scholar] [CrossRef]
- Durazzo, A.; Lucarini, M.; Souto, E.B.; Cicala, C.; Caiazzo, E.; Izzo, A.A.; Novellino, E.; Santini, A. Polyphenols: A Concise Overview on the Chemistry, Occurrence, and Human Health. Phytother. Res. 2019, 33, 2221–2243. [Google Scholar] [CrossRef]
- Robledo-O’Ryan, N.; Matos, M.J.; Vazquez-Rodriguez, S.; Santana, L.; Uriarte, E.; Moncada-Basualto, M.; Mura, F.; Lapier, M.; Maya, J.D.; Olea-Azar, C. Synthesis, Antioxidant and Antichagasic Properties of a Selected Series of Hydroxy-3-Arylcoumarins. Bioorganic Med. Chem. 2017, 25, 621–632. [Google Scholar] [CrossRef]
- Kirsch, G.; Abdelwahab, A.; Chaimbault, P. Natural and Synthetic Coumarins with Effects on Inflammation. Molecules 2016, 21, 1322. [Google Scholar] [CrossRef]
- Ed Nignpense, B.; Chinkwo, K.A.; Blanchard, C.L.; Santhakumar, A.B. Polyphenols: Modulators of Platelet Function and Platelet Microparticle Generation? Int. J. Mol. Sci. 2019, 21, 146. [Google Scholar] [CrossRef]
- Widelski, J.; Luca, S.; Skiba, A.; Chinou, I.; Marcourt, L.; Wolfender, J.-L.; Skalicka-Wozniak, K. Isolation and Antimicrobial Activity of Coumarin Derivatives from Fruits of Peucedanum Luxurians Tamamsch. Molecules 2018, 23, 1222. [Google Scholar] [CrossRef]
- Alshibl, H.M.; Al-Abdullah, E.S.; Haiba, M.E.; Alkahtani, H.M.; Awad, G.E.A.; Mahmoud, A.H.; Ibrahim, B.M.M.; Bari, A.; Villinger, A. Synthesis and Evaluation of New Coumarin Derivatives as Antioxidant, Antimicrobial, and Anti-Inflammatory Agents. Molecules 2020, 25, 3251. [Google Scholar] [CrossRef]
- Venugopala, K.N.; Rashmi, V.; Odhav, B. Review on Natural Coumarin Lead Compounds for Their Pharmacological Activity. BioMed Res. Int. 2013, 2013, 1–14. [Google Scholar] [CrossRef]
- Shokoohinia, Y.; Jafari, F.; Mohammadi, Z.; Bazvandi, L.; Hosseinzadeh, L.; Chow, N.; Bhattacharyya, P.; Farzaei, M.; Farooqi, A.; Nabavi, S.; et al. Potential Anticancer Properties of Osthol: A Comprehensive Mechanistic Review. Nutrients 2018, 10, 36. [Google Scholar] [CrossRef]
- Venkata Sairam, K.; Gurupadayya, B.M.; Chandan, R.S.; Nagesha, D.K.; Vishwanathan, B. A Review on Chemical Profile of Coumarins and Their Therapeutic Role in the Treatment of Cancer. Curr. Drug Deliv. 2016, 13, 186–201. [Google Scholar] [CrossRef]
- Spyropoulos, A.C.; Al-Badri, A.; Sherwood, M.W.; Douketis, J.D. Periprocedural Management of Patients Receiving a Vitamin K Antagonist or a Direct Oral Anticoagulant Requiring an Elective Procedure or Surgery. J. Thromb. Haemost. 2016, 14, 875–885. [Google Scholar] [CrossRef]
- Stehle, S.; Kirchheiner, J.; Lazar, A.; Fuhr, U. Pharmacogenetics of Oral Anticoagulants: A Basis for Dose Individualization. Clin. Pharmacokinet. 2008, 47, 565–594. [Google Scholar] [CrossRef]
- Liu, A.; Shen, Y.; Du, Y.; Chen, J.; Pei, F.; Fu, W.; Qiao, J. Esculin Prevents Lipopolysaccharide/D-Galactosamine-Induced Acute Liver Injury in Mice. Microb. Pathog. 2018, 125, 418–422. [Google Scholar] [CrossRef]
- Kang, K.S.; Lee, W.; Jung, Y.; Lee, J.H.; Lee, S.; Eom, D.-W.; Jeon, Y.; Yoo, H.H.; Jin, M.J.; Song, K.I.; et al. Protective Effect of Esculin on Streptozotocin-Induced Diabetic Renal Damage in Mice. J. Agric. Food Chem. 2014, 62, 2069–2076. [Google Scholar] [CrossRef]
- Wang, Y.-H.; Liu, Y.-H.; He, G.-R.; Lv, Y.; Du, G.-H. Esculin Improves Dyslipidemia, Inflammation and Renal Damage in Streptozotocin-Induced Diabetic Rats. BMC Complement Altern. Med. 2015, 15, 402. [Google Scholar] [CrossRef]
- Liang, C.; Ju, W.; Pei, S.; Tang, Y.; Xiao, Y. Pharmacological Activities and Synthesis of Esculetin and Its Derivatives: A Mini-Review. Molecules 2017, 22, 387. [Google Scholar] [CrossRef]
- Lee, M.-J.; Chou, F.-P.; Tseng, T.-H.; Hsieh, M.-H.; Lin, M.-C.; Wang, C.-J. Hibiscus Protocatechuic Acid or Esculetin Can Inhibit Oxidative LDL Induced by Either Copper Ion or Nitric Oxide Donor. J. Agric. Food Chem. 2002, 50, 2130–2136. [Google Scholar] [CrossRef]
- Prabakaran, D.; Ashokkumar, N. Protective Effect of Esculetin on Hyperglycemia-Mediated Oxidative Damage in the Hepatic and Renal Tissues of Experimental Diabetic Rats. Biochimie 2013, 95, 366–373. [Google Scholar] [CrossRef]
- Lee, J.-H.; Kim, Y.-G.; Cho, H.S.; Ryu, S.Y.; Cho, M.H.; Lee, J. Coumarins Reduce Biofilm Formation and the Virulence of Escherichia Coli O157:H7. Phytomedicine 2014, 21, 1037–1042. [Google Scholar] [CrossRef] [PubMed]
- Yang, J.; Xiao, Y.-L.; He, X.-R.; Qiu, G.-F.; Hu, X.-M. Aesculetin-Induced Apoptosis through a ROS-Mediated Mitochondrial Dysfunction Pathway in Human Cervical Cancer Cells. J. Asian Nat. Prod. Res. 2010, 12, 185–193. [Google Scholar] [CrossRef] [PubMed]
- Ulloa, J.H. Micronized Purified Flavonoid Fraction (MPFF) for Patients Suffering from Chronic Venous Disease: A Review of New Evidence. Adv. Ther. 2019, 36, 20–25. [Google Scholar] [CrossRef]
- Garelnabi, M.; Gupta, V.; Mallika, V.; Bhattacharjee, J. Platelets Oxidative Stress in Indian Patients with Ischemic Heart Disease. J. Clin. Lab. Anal. 2010, 24, 49–54. [Google Scholar] [CrossRef]
- Liu, M.; Chen, A.; Wang, Y.; Wang, C.; Wang, B.; Sun, D. Improved Solubility and Stability of 7-Hydroxy-4-Methylcoumarin at Different Temperatures and PH Values through Complexation with Sulfobutyl Ether-β-Cyclodextrin. Food Chem. 2015, 168, 270–275. [Google Scholar] [CrossRef]
- Zhao, J.; Yang, J.; Xie, Y. Improvement Strategies for the Oral Bioavailability of Poorly Water-Soluble Flavonoids: An Overview. Int. J. Pharm. 2019, 570, 118642. [Google Scholar] [CrossRef]
- Zaragozá, C.; Monserrat, J.; Mantecón, C.; Villaescusa, L.; Zaragozá, F.; Álvarez-Mon, M. Antiplatelet Activity of Flavonoid and Coumarin Drugs. Vasc. Pharmacol. 2016, 87, 139–149. [Google Scholar] [CrossRef]
- Austermann, K.; Baecker, N.; Stehle, P.; Heer, M. Putative Effects of Nutritive Polyphenols on Bone Metabolism In Vivo-Evidence from Human Studies. Nutrients 2019, 11, 871. [Google Scholar] [CrossRef]
- Hu, M.; Wu, B.; Liu, Z. Bioavailability of Polyphenols and Flavonoids in the Era of Precision Medicine. Mol. Pharm. 2017, 14, 2861–2863. [Google Scholar] [CrossRef]
- Luca, S.V.; Macovei, I.; Bujor, A.; Miron, A.; Skalicka-Woźniak, K.; Aprotosoaie, A.C.; Trifan, A. Bioactivity of Dietary Polyphenols: The Role of Metabolites. Crit. Rev. Food Sci. Nutr. 2020, 60, 626–659. [Google Scholar] [CrossRef] [PubMed]
- Serreli, G.; Deiana, M. In Vivo Formed Metabolites of Polyphenols and Their Biological Efficacy. Food Funct. 2019, 10, 6999–7021. [Google Scholar] [CrossRef]
- Park, S.; Moon, K.; Park, C.-S.; Jung, D.-H.; Cha, J. Synthesis of Aesculetin and Aesculin Glycosides Using Engineered Escherichia Coli Expressing Neisseria Polysaccharea Amylosucrase. J. Microbiol. Biotechnol. 2018, 28, 566–570. [Google Scholar] [CrossRef]
- Stringlis, I.A.; de Jonge, R.; Pieterse, C.M.J. The Age of Coumarins in Plant–Microbe Interactions. Plant Cell Physiol. 2019, 60, 1405–1419. [Google Scholar] [CrossRef]
- Martel, C.; Cointe, S.; Maurice, P.; Matar, S.; Ghitescu, M.; Théroux, P.; Bonnefoy, A. Requirements for Membrane Attack Complex Formation and Anaphylatoxins Binding to Collagen-Activated Platelets. PLoS ONE 2011, 6, e18812. [Google Scholar] [CrossRef]
- Dell’Agli, M.; Maschi, O.; Galli, G.V.; Fagnani, R.; Dal Cero, E.; Caruso, D.; Bosisio, E. Inhibition of Platelet Aggregation by Olive Oil Phenols via CAMP-Phosphodiesterase. Br. J. Nutr. 2008, 99, 945–951. [Google Scholar] [CrossRef]
- Zhao, L.; Liu, D.; Liu, B.; Hu, H.; Cui, W. Effects of Atorvastatin on ADP-, Arachidonic Acid-, Collagen-, and Epinephrine-Induced Platelet Aggregation. J. Int. Med. Res. 2017, 45, 82–88. [Google Scholar] [CrossRef] [PubMed]
- Frère, C.; Kobayashi, K.; Dunois, C.; Amiral, J.; Morange, P.-E.; Alessi, M.-C. Assessment of Platelet Function on the Routine Coagulation Analyzer Sysmex CS-2000i. Platelets 2018, 29, 95–97. [Google Scholar] [CrossRef] [PubMed]
- Lucas, S. The Pharmacology of Indomethacin: Headache. Headache J. Head Face Pain 2016, 56, 436–446. [Google Scholar] [CrossRef]
- Loke, W.M.; Sing, K.L.M.; Lee, C.-Y.J.; Chong, W.L.; Chew, S.E.; Huang, H.; Looi, W.F.; Quek, A.M.L.; Lim, E.C.H.; Seet, R.C.S. Cyclooxygenase-1 Mediated Platelet Reactivity in Young Male Smokers. Clin. Appl. Thromb. Hemost. 2014, 20, 371–377. [Google Scholar] [CrossRef]
- Gryglewski, R.J. Prostacyclin among Prostanoids. Pharmacol. Rep. 2008, 60, 3–11. [Google Scholar]
- Young, J.M.; Panah, S.; Satchawatcharaphong, C.; Cheung, P.S. Human Whole Blood Assays for Inhibition of Prostaglandin G/H Synthases-1 and-2 Using A23187 and Lipopolysaccharide Stimulation of Thromboxane B2 Production. Inflamm. Res. 1996, 45, 246–253. [Google Scholar] [CrossRef]






Publisher’s Note: MDPI stays neutral with regard to jurisdictional claims in published maps and institutional affiliations. |
© 2021 by the authors. Licensee MDPI, Basel, Switzerland. This article is an open access article distributed under the terms and conditions of the Creative Commons Attribution (CC BY) license (https://creativecommons.org/licenses/by/4.0/).
Share and Cite
Zaragozá, C.; Zaragozá, F.; Gayo-Abeleira, I.; Villaescusa, L. Antiplatelet Activity of Coumarins: In Vitro Assays on COX-1. Molecules 2021, 26, 3036. https://doi.org/10.3390/molecules26103036
Zaragozá C, Zaragozá F, Gayo-Abeleira I, Villaescusa L. Antiplatelet Activity of Coumarins: In Vitro Assays on COX-1. Molecules. 2021; 26(10):3036. https://doi.org/10.3390/molecules26103036
Chicago/Turabian StyleZaragozá, Cristina, Francisco Zaragozá, Irene Gayo-Abeleira, and Lucinda Villaescusa. 2021. "Antiplatelet Activity of Coumarins: In Vitro Assays on COX-1" Molecules 26, no. 10: 3036. https://doi.org/10.3390/molecules26103036
APA StyleZaragozá, C., Zaragozá, F., Gayo-Abeleira, I., & Villaescusa, L. (2021). Antiplatelet Activity of Coumarins: In Vitro Assays on COX-1. Molecules, 26(10), 3036. https://doi.org/10.3390/molecules26103036

