Selective Extraction of Sinapic Acid Derivatives from Mustard Seed Meal by Acting on pH: Toward a High Antioxidant Activity Rich Extract
Abstract
1. Introduction
2. Results and Discussion
2.1. Comparison of the HPLC Profiles Under Different Operating Conditions
2.2. Comparison of the SAD Contents Under Different Operating Conditions
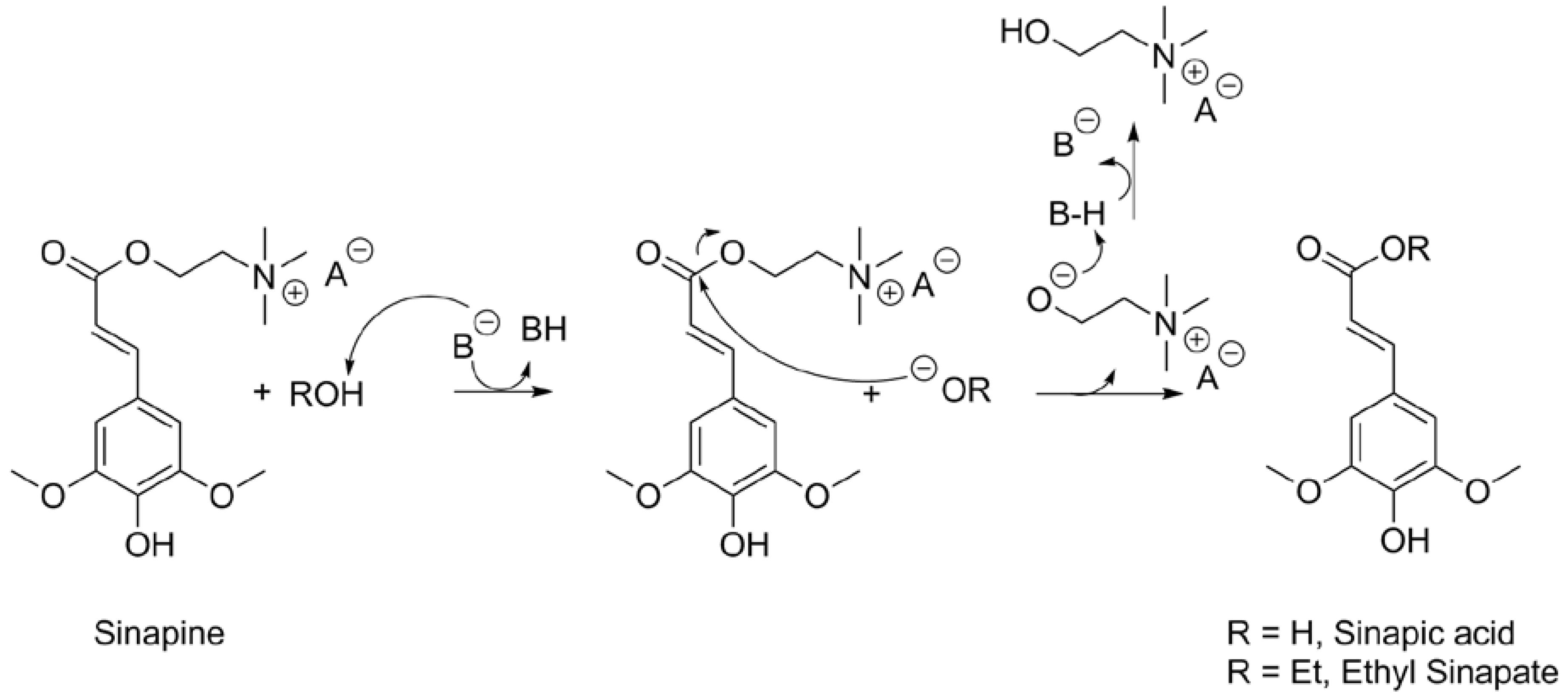
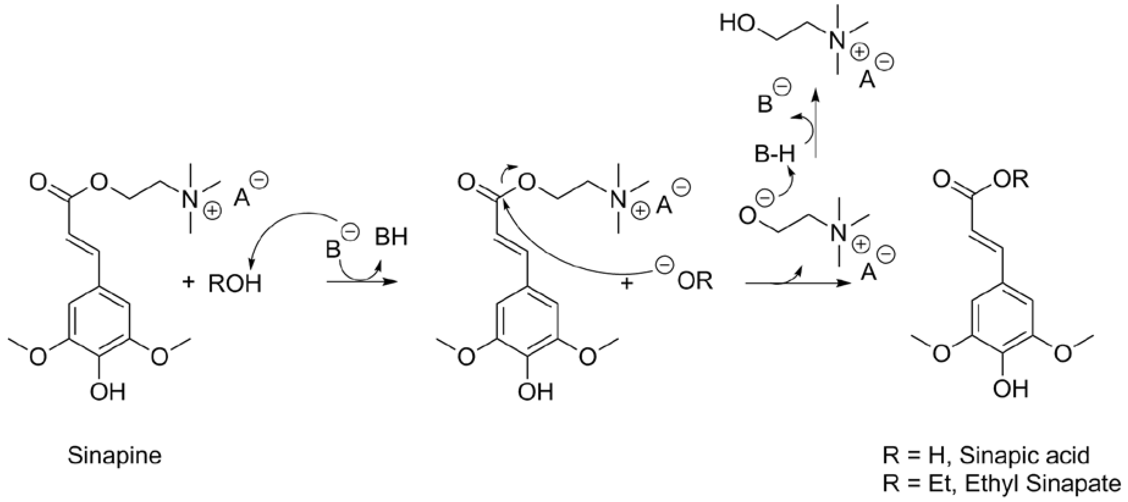
2.2.1. Evolution of the Contents of SAD at Acidic pH
2.2.2. Evolution of the Contents of SAD at pH 12
2.3. Antioxidant Activity
3. Material and Methods
3.1. Chemicals and Materials
3.2. Extraction Process
3.3. Ultra High-Performance Liquid Chromatography (UHPLC) Analyses
3.4. Antioxidant Activity Assay
3.5. Statistical Analysis
4. Conclusions
Supplementary Materials
Author Contributions
Funding
Data Availability Statement
Acknowledgments
Conflicts of Interest
References
- Cory, H.; Passarelli, S.; Szeto, J.; Tamez, M.; Mattei, J. The Role of Polyphenols in Human Health and Food Systems: A Mini-Review. Front. Nutr. 2018, 5. [Google Scholar] [CrossRef] [PubMed]
- Ranilla, L.G.; Kwon, Y.-I.; Apostolidis, E.; Shetty, K. Phenolic compounds, antioxidant activity and in vitro inhibitory potential against key enzymes relevant for hyperglycemia and hypertension of commonly used medicinal plants, herbs and spices in Latin America. Bioresour. Technol. 2010, 101, 4676–4689. [Google Scholar] [CrossRef] [PubMed]
- Mouterde, L.M.M.; Peru, A.A.M.; Mention, M.M.; Brunissen, F.; Allais, F. Sustainable Straightforward Synthesis and Evaluation of the Antioxidant and Antimicrobial Activity of Sinapine and Analogues. J. Agric. Food Chem. 2020. [Google Scholar] [CrossRef] [PubMed]
- Dubie, J.; Stancik, A.; Morra, M.; Nindo, C. Antioxidant Extraction from Mustard (Brassica juncea) Seed Meal Using High-Intensity Ultrasound. J. Food Sci. 2013, 78, E542–E548. [Google Scholar] [CrossRef] [PubMed]
- Roy, S.J.; Mainzen Prince, P.S. Protective effects of sinapic acid on cardiac hypertrophy, dyslipidaemia and altered electrocardiogram in isoproterenol-induced myocardial infarcted rats. Eur. J. Pharmacol. 2013, 699, 213–218. [Google Scholar] [CrossRef]
- Li, X.; Lin, J.; Ding, X.; Xuan, J.; Hu, Z.; Wu, D.; Zhu, X.; Feng, Z.; Ni, W.; Wu, A. The protective effect of sinapic acid in osteoarthritis: In vitro and in vivo studies. J. Cell. Mol. Med. 2019, 23, 1940–1950. [Google Scholar] [CrossRef]
- Zare, K.; Eidi, A.; Roghani, M.; Rohani, A.H. The neuroprotective potential of sinapic acid in the 6-hydroxydopamine-induced hemi-parkinsonian rat. Metab. Brain Dis. 2015, 30, 205–213. [Google Scholar] [CrossRef]
- Boulghobra, D.; Grillet, P.-E.; Laguerre, M.; Tenon, M.; Fauconnier, J.; Fança-Berthon, P.; Reboul, C.; Cazorla, O. Sinapine, but not sinapic acid, counteracts mitochondrial oxidative stress in cardiomyocytes. Redox Biol. 2020, 34, 101554. [Google Scholar] [CrossRef]
- Li, Y.; Li, J.; Su, Q.; Liu, Y. Sinapine reduces non-alcoholic fatty liver disease in mice by modulating the composition of the gut microbiota. Food Funct. 2019, 10, 3637–3649. [Google Scholar] [CrossRef]
- Nićiforović, N.; Abramovič, H. Sinapic Acid and Its Derivatives: Natural Sources and Bioactivity: Sinapic acid and its derivatives…. Compr. Rev. Food Sci. Food Saf. 2014, 13, 34–51. [Google Scholar] [CrossRef]
- Koski, A.; Pekkarinen, S.; Hopia, A.; Wähälä, K.; Heinonen, M. Processing of rapeseed oil: Effects on sinapic acid derivative content and oxidative stability. Eur. Food Res. Technol. 2003, 217, 110–114. [Google Scholar] [CrossRef]
- Khattab, R.; Eskin, M.; Aliani, M.; Thiyam, U. Determination of Sinapic Acid Derivatives in Canola Extracts Using High-Performance Liquid Chromatography. J. Am. Oil Chem. Soc. 2010, 87, 147–155. [Google Scholar] [CrossRef] [PubMed]
- Augustyniak, A.; Bartosz, G.; Čipak, A.; Duburs, G.; Horáková, L.; Łuczaj, W.; Majekova, M.; Odysseos, A.D.; Rackova, L.; Skrzydlewska, E.; et al. Natural and synthetic antioxidants: An updated overview. Free Radic. Res. 2010, 44, 1216–1262. [Google Scholar] [CrossRef] [PubMed]
- Chemat, F.; Abert Vian, M.; Ravi, H.K.; Khadhraoui, B.; Hilali, S.; Perino, S.; Fabiano Tixier, A.-S. Review of Alternative Solvents for Green Extraction of Food and Natural Products: Panorama, Principles, Applications and Prospects. Molecules 2019, 24, 3007. [Google Scholar] [CrossRef]
- Alexovič, M.; Andruch, V.; Balogh, I.S.; Šandrejová, J. A single-valve sequential injection manifold (SV-SIA) for automation of air-assisted liquid-phase microextraction: Stopped flow spectrophotometric determination of chromium(VI). Anal. Methods 2013, 5, 2497–2502. [Google Scholar] [CrossRef]
- da Costa Lopes, A.M.; Brenner, M.; Falé, P.; Roseiro, L.B.; Bogel-Łukasik, R. Extraction and Purification of Phenolic Compounds from Lignocellulosic Biomass Assisted by Ionic Liquid, Polymeric Resins, and Supercritical CO2. Acs Sustain. Chem. Eng. 2016, 4, 3357–3367. [Google Scholar] [CrossRef]
- Flourat, A.L.; Willig, G.; Teixeira, A.R.S.; Allais, F. Frontiers|Eco-Friendly Extraction of Sinapine From Residues of Mustard Production|Sustainable Food Systems. Available online: https://www.frontiersin.org/articles/10.3389/fsufs.2019.00012/full (accessed on 10 January 2020).
- Reungoat, V.; Gaudin, M.; Flourat, A.L.; Isidore, E.; Mouterde, L.M.M.; Allais, F.; Ducatel, H.; Ioannou, I. Optimization of an ethanol/water-based sinapine extraction from mustard bran using Response Surface Methodology. Food Bioprod. Process. 2020, 122, 322–331. [Google Scholar] [CrossRef]
- Shahidi, F.; Wanasundara, U.N.; Amarowicz, R. Natural antioxidants from low-pungency mustard flour. Food Res. Int. 1994, 27, 489–493. [Google Scholar] [CrossRef]
- Dua, A.; Chander, S.; Agrawal, S.; Mahajan, R. Antioxidants from defatted Indian Mustard (Brassica Juncea) protect biomolecules against in vitro oxidation. Physiol. Mol. Biol. Plants 2014, 20, 539–543. [Google Scholar] [CrossRef]
- Terpinc, P.; Čeh, B.; Ulrih, N.P.; Abramovič, H. Studies of the correlation between antioxidant properties and the total phenolic content of different oil cake extracts. Ind. Crop. Prod. 2012, 39, 210–217. [Google Scholar] [CrossRef]
- Thiyam, U.; Stöckmann, H.; Felde, T.Z.; Schwarz, K. Antioxidative effect of the main sinapic acid derivatives from rapeseed and mustard oil by-products. Eur. J. Lipid Sci. Technol. 2006, 108, 239–248. [Google Scholar] [CrossRef]
- Szydłowska-Czerniak, A.; Tułodziecka, A.; Karlovits, G.; Szłyk, E. Optimisation of ultrasound-assisted extraction of natural antioxidants from mustard seed cultivars. J. Sci. Food Agric. 2015, 95, 1445–1453. [Google Scholar] [CrossRef] [PubMed]
- Mayengbam, S.; Aachary, A.; Thiyam-Holländer, U. Endogenous Phenolics in Hulls and Cotyledons of Mustard and Canola: A Comparative Study on Its Sinapates and Antioxidant Capacity. Antioxidants 2014, 3, 544–558. [Google Scholar] [CrossRef] [PubMed]
- Fahmi, R. Antioxidant and Antibacterial Properties of Endogenous Phenolic Compounds from Commercial Mustard Products. Master’s Thesis, University of Manitoba, Winnipeg, MB, Canada, 2016. [Google Scholar]
- Librán Cuervas-Mons, C.M.; Mayor López, L.; García Castelló, E.M.; Vidal Brotons, D.J. Polyphenol extraction from grape wastes: Solvent and pH effect. Agricultural Sciences 2013, 4, 56–62. [Google Scholar] [CrossRef]
- Roselló-Soto, E.; Martí-Quijal, F.J.; Cilla, A.; Munekata, P.E.S.; Lorenzo, J.M.; Remize, F.; Barba, F.J. Influence of Temperature, Solvent and pH on the Selective Extraction of Phenolic Compounds from Tiger Nuts by-Products: Triple-TOF-LC-MS-MS Characterization. Molecules 2019, 24, 797. [Google Scholar] [CrossRef] [PubMed]
- Friedman, M.; Jürgens, H.S. Effect of pH on the Stability of Plant Phenolic Compounds. J. Agric. Food Chem. 2000, 48, 2101–2110. [Google Scholar] [CrossRef] [PubMed]
- Chethan, S.; Malleshi, N.G. Finger millet polyphenols: Optimization of extraction and the effect of pH on their stability. Food Chem. 2007, 105, 862–870. [Google Scholar] [CrossRef]
- Thiyam-Holländer, U.; Eskin, N.A.M.; Matthäus, B. Canola and Rapeseed: Production, Processing, Food Quality, and Nutrition; CRC Press: Boca Raton, FL, USA, 2012; ISBN 978-1-4665-1388-4. [Google Scholar]
- Durkee, A.B.; Thivierge, P.A. BOUND PHENOLIC ACIDS IN Brassica AND Sinapis OILSEEDS. J. Food Sci. 1975, 40, 820–822. [Google Scholar] [CrossRef]
- Putnik, P.; Kovacevic, D.B.; Radojcin, M.; Dragovic-Uzelac, V. Influence of Acidity and Extraction Time on the Recovery of Flavonoids from Grape Skin Pomace Optimized by Response Surface Methodology. Chem. Biochem. Eng. Q. 2016, 30, 455–465. [Google Scholar] [CrossRef]
- Cacace, J.E.; Mazza, G. Optimization of Extraction of Anthocyanins from Black Currants with Aqueous Ethanol. J. Food Sci. 2003, 68, 240–248. [Google Scholar] [CrossRef]
- Bouras, M.; Chadni, M.; Barba, F.J.; Grimi, N.; Bals, O.; Vorobiev, E. Optimization of microwave-assisted extraction of polyphenols from Quercus bark. Ind. Crop. Prod. 2015, 77, 590–601. [Google Scholar] [CrossRef]
- Peyrot, C.; Mention, M.M.; Fournier, R.; Brunissen, F.; Couvreur, J.; Balaguer, P.; Allais, F. Expeditious and sustainable two-step synthesis of sinapoyl-L-malate and analogues: Towards non-endocrine disruptive bio-based and water-soluble bioactive compounds. Green Chem. 2020, 22, 6510–6518. [Google Scholar] [CrossRef]
- Rioux, B.; Peyrot, C.; Mention, M.M.; Brunissen, F.; Allais, F. Sustainable Synthesis of p-Hydroxycinnamic Diacids through Proline-Mediated Knoevenagel Condensation in Ethanol: An Access to Potent Phenolic UV Filters and Radical Scavengers. Antioxidants 2020, 9, 331. [Google Scholar] [CrossRef] [PubMed]
- Martinović, N.; Poklar Ulrih, N.; Abramovič, H. Sinapic Acid and its Derivatives Increase Oxidative Stability in Different Model Lipid Systems. Eur. J. Lipid Sci. Technol. 2019, 121, 1800326. [Google Scholar] [CrossRef]
- Gaspar, A.; Martins, M.; Silva, P.; Garrido, E.M.; Garrido, J.; Firuzi, O.; Miri, R.; Saso, L.; Borges, F. Dietary Phenolic Acids and Derivatives. Evaluation of the Antioxidant Activity of Sinapic Acid and Its Alkyl Esters. J. Agric. Food Chem. 2010, 58, 11273–11280. [Google Scholar] [CrossRef] [PubMed]
- Brand-Williams, W.; Cuvelier, M.E.; Berset, C. Use of a free radical method to evaluate antioxidant activity. Lwt-Food Sci. Technol. 1995, 28, 25–30. [Google Scholar] [CrossRef]
- R Core Team. R: A Language and Environment for Statistical Computing; R Foundation for Statistical Computing: Vienna, Austria, 2013; Volume 9. [Google Scholar]





| pH Medium | pH Value | Time (h) | Temperature (°C) | Ethanol (v/v%) | |
|---|---|---|---|---|---|
| Acid | 2 | 2 | 70 | 0 | |
| 30 | |||||
| 50 | |||||
| 70 | |||||
| Base | Sodium Carbonate-bicarbonate (NaHCO3/Na2CO3) buffer | 12 | 2 | 70 | 0 |
| 30 | |||||
| 50 | |||||
| 70 | |||||
| NaOH | 12 | 2 | 70 | 0 | |
| 30 | |||||
| 50 | |||||
| 70 | |||||
| KOH | 12 | 2 | 70 | 0 | |
| 30 | |||||
| 50 | |||||
| 70 | |||||
| Uncontrolled (pH of the mustard seed meal) | ~4.5 | 2 | 70 | 0 | |
| 30 | |||||
| 50 | |||||
| 70 | |||||
Publisher’s Note: MDPI stays neutral with regard to jurisdictional claims in published maps and institutional affiliations. |
© 2021 by the authors. Licensee MDPI, Basel, Switzerland. This article is an open access article distributed under the terms and conditions of the Creative Commons Attribution (CC BY) license (http://creativecommons.org/licenses/by/4.0/).
Share and Cite
Chadni, M.; Flourat, A.L.; Reungoat, V.; Mouterde, L.M.M.; Allais, F.; Ioannou, I. Selective Extraction of Sinapic Acid Derivatives from Mustard Seed Meal by Acting on pH: Toward a High Antioxidant Activity Rich Extract. Molecules 2021, 26, 212. https://doi.org/10.3390/molecules26010212
Chadni M, Flourat AL, Reungoat V, Mouterde LMM, Allais F, Ioannou I. Selective Extraction of Sinapic Acid Derivatives from Mustard Seed Meal by Acting on pH: Toward a High Antioxidant Activity Rich Extract. Molecules. 2021; 26(1):212. https://doi.org/10.3390/molecules26010212
Chicago/Turabian StyleChadni, Morad, Amandine L. Flourat, Valentin Reungoat, Louis M. M. Mouterde, Florent Allais, and Irina Ioannou. 2021. "Selective Extraction of Sinapic Acid Derivatives from Mustard Seed Meal by Acting on pH: Toward a High Antioxidant Activity Rich Extract" Molecules 26, no. 1: 212. https://doi.org/10.3390/molecules26010212
APA StyleChadni, M., Flourat, A. L., Reungoat, V., Mouterde, L. M. M., Allais, F., & Ioannou, I. (2021). Selective Extraction of Sinapic Acid Derivatives from Mustard Seed Meal by Acting on pH: Toward a High Antioxidant Activity Rich Extract. Molecules, 26(1), 212. https://doi.org/10.3390/molecules26010212

