Antiestrogenic Activity and Possible Mode of Action of Certain New Nonsteroidal Coumarin-4-acetamides
Abstract
1. Introduction
2. Results and Discussion
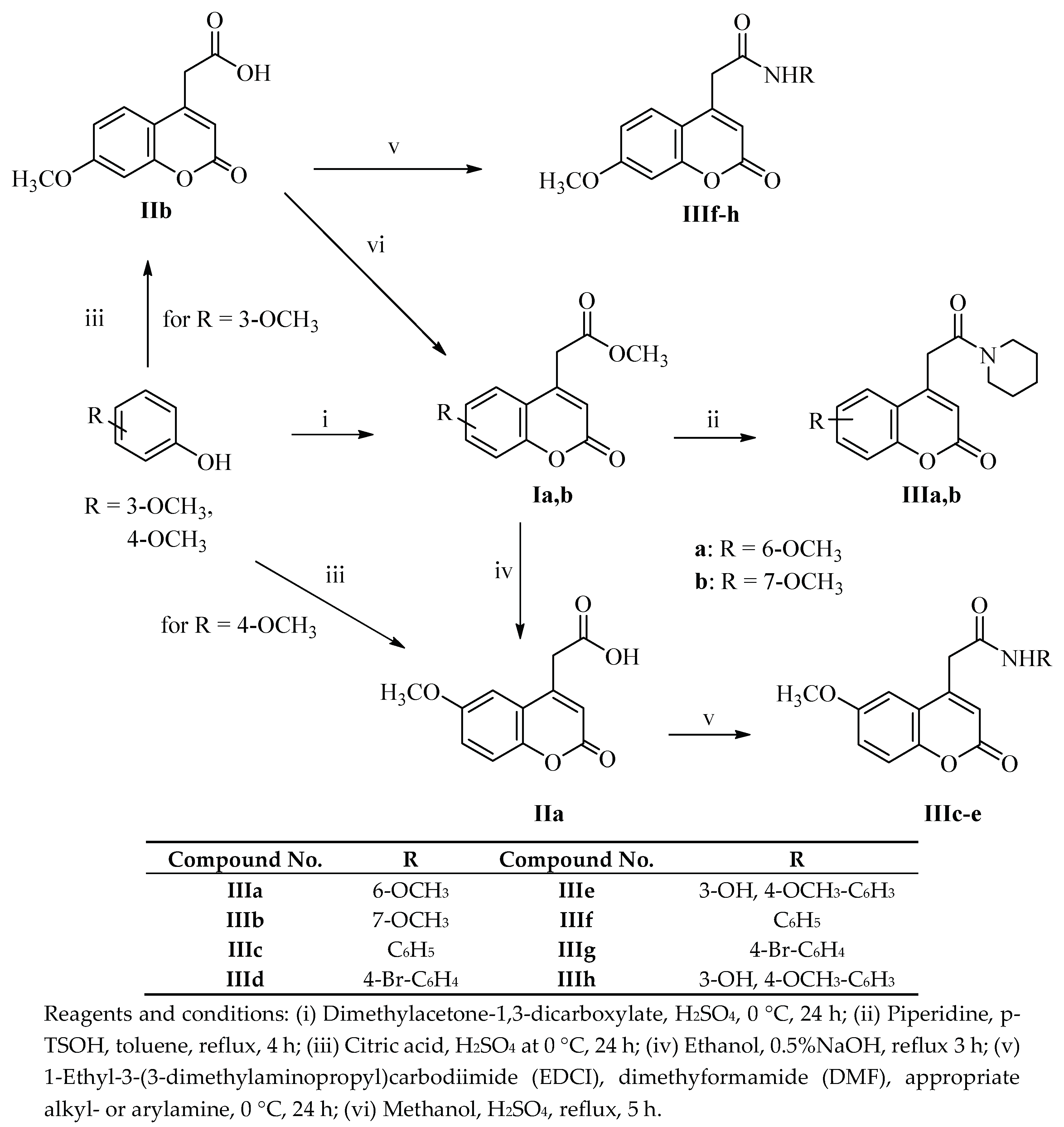
2.1. Chemistry
2.2. Biological Evaluation
2.2.1. In Vitro Cytotoxicity
2.2.2. In Vitro Antiestrogenic Activity
2.2.3. In Vitro Aromatase Inhibition
3. Experimental
3.1. Chemistry
3.1.1. General
3.1.2. General Procedure for the Synthesis of Methyl 2-(2-oxo-2H-chromen-4-yl)acetates Ia,b
3.1.3. General Procedure for the Synthesis of Coumarin-4-Acetic acid Derivatives IIa,b
3.1.4. General Procedure for the Synthesis of 4-(2-oxo-2-(piperidin-1-yl)ethyl)-2H-chromen-2-one derivatives IIIa,b
3.1.5. General Procedure for the Synthesis of 2-(2-oxo-2H-chromen-4-yl)-N-phenylacetamides IIIc-h
3.2. Biological Evaluation
3.2.1. Cytotoxicity Assay (MTT Assay)
3.2.2. Antiestrogenic Activity
3.2.3. Aromatase Inhibition
4. Conclusions
Supplementary Materials
Author Contributions
Funding
Acknowledgments
Conflicts of Interest
References
- Siegel, R.; Miller, K.; Jemal, A. Cancer Statistics, 2017. CA Cancer J. Clin. 2017, 67, 7–30. [Google Scholar] [CrossRef]
- Alotaibi, R.M.; Rezk, H.R.; Juliana, C.I.; Guure, C. Breast cancer mortality in Saudi Arabia: Modelling observed and unobserved factors. PLoS ONE 2018, 13, 0206148. [Google Scholar] [CrossRef]
- Alexieva-Figusch, J.; Van Putten, W.; Blankenstein, M.; Blonk-Van Der Wijst, J.; Klijn, J. The prognostic value and relationships of patient characteristics, estrogen and progestin receptors, and site of relapse in primary breast cancer. Cancer 1988, 61, 758–768. [Google Scholar] [CrossRef]
- Radhi, S. Molecular Changes During Breast Cancer and Mechanisms of Endocrine Therapy Resistance. Prog. Mol. Biol. Transl. Sci. 2016, 144, 539–562. [Google Scholar] [PubMed]
- Powell, E.; Huang, S.-X.; Xu, Y.; Rajski, S.R.; Wang, Y.; Peters, N.; Guo, S.; Xu, H.E.; Hoffmann, F.M.; Shen, B. Identification and characterization of a novel estrogenic ligand actinopolymorphol A. Biochem. Pharmacol. 2010, 80, 1221–1229. [Google Scholar] [CrossRef] [PubMed][Green Version]
- Osborne, C.K.; Hobbs, K.; Clark, G.M. Effect of estrogens and antiestrogens on growth of human breast cancer cells in athymic nude mice. Cancer Res. 1985, 45, 584–590. [Google Scholar] [PubMed]
- Bruneton, J. Pharmacognosy, Phytochemistry, Medicinal Plants, 2nd ed.; Intercept Ltd.: Hampshire, UK, 1999. [Google Scholar]
- Kostova, I.; Raleva, S.; Genova, P.; Argirova, R. Structure-Activity Relationships of Synthetic Coumarins as HIV-1 Inhibitors. Bioinorg. Chem. Appl. 2006, 2006, 1–9. [Google Scholar] [CrossRef]
- Musicki, B.; Periers, A.-M.; Laurin, P.; Ferroud, D.; Benedetti, Y.; Lachaud, S.; Chatreaux, F.; Haesslein, J.-L.; Iltis, A.; Pierre, C. Improved antibacterial activities of coumarin antibiotics bearing 5′, 5′-dialkylnoviose: Biological activity of RU79115. Bioorg. Med. Chem. Lett. 2000, 10, 1695–1699. [Google Scholar] [CrossRef]
- Manolov, I.; Maichle-Moessmer, C.; Nicolova, I.; Danchev, N. Synthesis and Anticoagulant Activities of Substituted 2, 4-Diketochromans, Biscoumarins, and Chromanocoumarins. Arch. Pharm. 2006, 339, 319–326. [Google Scholar] [CrossRef]
- Álvarez-Delgado, C.; Reyes-Chilpa, R.; Estrada-Muñiz, E.; Mendoza-Rodríguez, C.A.; Quintero-Ruiz, A.; Solano, J.; Cerbón, M.A. Coumarin A/AA induces apoptosis-like cell death in HeLa cells mediated by the release of apoptosis-inducing factor. J. Biochem. Mol. Toxicol. 2009, 23, 263–272. [Google Scholar] [CrossRef]
- Marshall, M.; Kervin, K.; Benefield, C.; Umerani, A.; Albainy-Jenei, S.; Zhao, Q.; Khazaeli, M. Growth-inhibitory effects of coumarin (1,2-benzopyrone) and 7-hydroxycoumarin on human malignant cell lines in vitro. J. Cancer Res. Clin. Oncol. 1994, 120, S3–S10. [Google Scholar] [CrossRef] [PubMed]
- Jacquot, Y.; Bermont, L.; Giorgi, H.; Refouvelet, B.; Adessi, G.L.; Daubrosse, E.; Xicluna, A. Substituted benzopyranobenzothiazinones. Synthesis and estrogenic activity on MCF-7 breast carcinoma cells. Eur. J. Med. Chem. 2001, 36, 127–136. [Google Scholar] [CrossRef]
- Brady, H.; Desai, S.; Gayo-Fung, L.M.; Khammungkhune, S.; McKie, J.A.; O’Leary, E.; Pascasio, L.; Sutherland, M.K.; Anderson, D.W.; Bhagwat, S.S. Effects of SP500263, a novel, potent antiestrogen, on breast cancer cells and in xenograft models. Cancer Res. 2002, 62, 1439–1442. [Google Scholar] [PubMed]
- Grese, T.A.; Sluka, J.P.; Bryant, H.U.; Cullinan, G.J.; Glasebrook, A.L.; Jones, C.D.; Matsumoto, K.; Palkowitz, A.D.; Sato, M.; Termine, J.D. Molecular determinants of tissue selectivity in estrogen receptor modulators. Proc. Natl. Acad. Sci. USA 1997, 94, 14105–14110. [Google Scholar] [CrossRef] [PubMed]
- McKie, J.A.; Bhagwat, S.S.; Brady, H.; Doubleday, M.; Gayo, L.; Hickman, M.; Jalluri, R.K.; Khammungkhune, S.; Kois, A.; Mortensen, D. Lead identification of a potent benzopyranone selective estrogen receptor modulator. Bioorg. Med. Chem. Lett. 2004, 14, 3407–3410. [Google Scholar] [CrossRef]
- Cole, M.; Jones, C.; Todd, I. A new anti-oestrogenic agent in late breast cancer: An early clinical appraisal of ICI46474. Br. J. Cancer 1971, 25, 270–275. [Google Scholar] [CrossRef]
- Osborne, C.K. Tamoxifen in the treatment of breast cancer. N. Engl. J. Med. 1998, 339, 1609–1618. [Google Scholar] [CrossRef]
- Gauthier, S.; Caron, B.; Cloutier, J.; Dory, Y.L.; Favre, A.; Larouche, D.; Mailhot, J.; Ouellet, C.; Schwerdtfeger, A.; Leblanc, G. (S)-(+)-4-[7-(2, 2-Dimethyl-1-oxopro-poxy)-4-methyl-2-[4-[2-(1-piperidinyl)-ethoxy]phenyl]-2H-1-benzopyran-3-yl]-phenyl-2,2-dimethylpropanoate (EM-800): A Highly Potent, Specific, and orally active nonsteroidal antiestrogen. J. Med. Chem. 1997, 40, 2117–2122. [Google Scholar] [CrossRef]
- Simard, J.; Labrie, C.; Bélanger, A.; Gauthier, S.; Singh, S.M.; Mérand, Y.; Labrie, F. Characterization of the effects of the novel non-steroidal antiestrogen EM-800 on basal and estrogen-induced proliferation of T-47D, ZR-75-1 and MCF-7 human breast cancer cells in vitro. Int. J. Cancer 1997, 73, 104–112. [Google Scholar] [CrossRef]
- Labrie, F.; Champagne, P.; Labrie, C.; Roy, J.; Laverdière, J.; Provencher, L.; Potvin, M.; Drolet, Y.; Pollak, M.; Panasci, L. Activity and safety of the antiestrogen EM-800, the orally active precursor of acolbifene, in tamoxifen-resistant breast cancer. J. Clin. Oncol. 2004, 22, 864–871. [Google Scholar] [CrossRef][Green Version]
- MacMahon, B. In Overview of studies on endometrial cancer and other types of cancer in humans: Perspectives of an epidemiologist. Semin. Oncol. 1997, 24, S1-122-S1-39. [Google Scholar] [PubMed]
- Martel, C.; Provencher, L.; Li, X.; Pierre, A.S.; Leblanc, G.; Gauthier, S.; Mérand, Y.; Labrie, F. Binding characteristics of novel nonsteroidal antiestrogens to the rat uterine estrogen receptors. Mol. Biol. 1998, 64, 199–205. [Google Scholar] [CrossRef]
- Dahlman-Wright, K.; Cavailles, V.; Fuqua, S.A.; Jordan, V.C.; Katzenellenbogen, J.A.; Korach, K.S.; Maggi, A.; Muramatsu, M.; Parker, M.G.; Gustafsson, J.-Å. International union of pharmacology. LXIV. Estrogen receptors. Pharmacol. Rev. 2006, 58, 773–781. [Google Scholar] [CrossRef] [PubMed]
- Labrie, F.; Labrie, C.; Bélanger, A.; Simard, J.; Gauthier, S.; Luu-The, V.; Mérand, Y.; Giguere, V.; Candas, B.; Luo, S. EM-652 (SCH 57068), a third generation SERM acting as pure antiestrogen in the mammary gland and endometrium. J. Steroid Biochem. Mol. Biol. 1999, 69, 51–84. [Google Scholar] [CrossRef]
- Tremblay, G.B.; Tremblay, A.; Copeland, N.G.; Gilbert, D.J.; Jenkins, N.A.; Labrie, F.; Giguere, V. Cloning, chromosomal localization, and functional analysis of the murine estrogen receptor β. Mol. Endocrinol. 1997, 11, 353–365. [Google Scholar]
- Secky, L.; Svoboda, M.; Klameth, L.; Bajna, E.; Hamilton, G.; Zeillinger, R.; Jäger, W.; Thalhammer, T. The sulfatase pathway for estrogen formation: Targets for the treatment and diagnosis of hormone-associated tumors. J. Drug Deliv. 2013, 2013, 1–13. [Google Scholar] [CrossRef]
- Stefanachi, A.; Favia, A.D.; Nicolotti, O.; Leonetti, F.; Pisani, L.; Catto, M.; Zimmer, C.; Hartmann, R.W.; Carotti, A. Design, synthesis, and biological evaluation of imidazolyl derivatives of 4,7-disubstituted coumarins as aromatase inhibitors selective over 17-α-hydroxylase/C17−20 lyase. J. Med. Chem. 2011, 54, 1613–1625. [Google Scholar] [CrossRef]
- V. Pechmann, H. Neue bildungsweise der cumarine. Synthese des daphnetins. I. Ber. Dtsch. Chem. Ges. 1884, 17, 929–936. [Google Scholar] [CrossRef]
- Ciobanu, L.C.; Boivin, R.P.; Luu-The, V.; Labrie, F.; Poirier, D. Potent Inhibition of Steroid Sulfatase Activity by 3-O-Sulfamate 17α-Benzyl (or 4′-tert-butylbenzyl) estra-1,3,5(10)-trienes: Combination of Two Substituents at Positions C3 and C17α of Estradiol. J. Med. Chem. 1999, 42, 2280–2286. [Google Scholar] [CrossRef]
- Leese, M.P.; Jourdan, F.L.; Gaukroger, K.; Mahon, M.F.; Newman, S.P.; Foster, P.A.; Stengel, C.; Regis-Lydi, S.; Ferrandis, E.; Fiore, A.D. Structure–activity relationships of C-17 cyano-substituted estratrienes as anticancer agents. J. Med. Chem. 2008, 51, 1295–1308. [Google Scholar] [CrossRef]
- Jourdan, F.; Bubert, C.; Leese, M.P.; Smith, A.; Ferrandis, E.; Regis-Lydi, S.; Newman, S.P.; Purohit, A.; Reed, M.J.; Potter, B.V. Effects of C-17 heterocyclic substituents on the anticancer activity of 2-ethylestra-1,3,5 (10)-triene-3-O-sulfamates: Synthesis, in vitro evaluation and computational modelling. Org. Biomol. Chem. 2008, 6, 4108–4119. [Google Scholar] [CrossRef] [PubMed]
- Li, P.-K.; Murakata, C.; Akinaga, S. Steroid Sulfatase Inhibitors and Methods for Making and Using the Same. U.S. Patent No. 6288050B1, 11 September 2001. [Google Scholar]
- Laskowski, S.; Clinton, R. Coumarins. II. Derivatives of coumarin-3-and-4-acetic acids. J. Am. Chem. Soc. 1950, 72, 3987–3991. [Google Scholar] [CrossRef]
- Baker, W.; Haksar, C.; McOmie, J. 37. Fluorescent reagents. Acyl chlorides and acyl hydrazides. J. Chem. Soc. 1950, 170–173. [Google Scholar] [CrossRef]
- Clinton, R.O.; Laskowski, S.C. Basic Esters and Amides of 7-Substituted-Coumarin-4-Acetic Acids and Salts and Processes of Preparation. U.S. Patent No. 2615024A, 21 October 1952. [Google Scholar]
- Okubo, T.; Suzuki, T.; Yokoyama, Y.; Kano, K.; Kano, I. Estimation of estrogenic and anti-estrogenic activities of some phthalate diesters and monoesters by MCF-7 cell proliferation assay in vitro. Biol. Pharm. Bull. 2003, 26, 1219–1224. [Google Scholar] [CrossRef] [PubMed]
- Taxel, P.; Kennedy, D.G.; Fall, P.M.; Willard, A.K.; Clive, J.M.; Raisz, L.G. The effect of aromatase inhibition on sex steroids, gonadotropins, and markers of bone turnover in older men. J. Clin. Endocrinol. Metab. 2001, 86, 2869–2874. [Google Scholar] [CrossRef]
Sample Availability: Samples of the compounds are available from the authors. |






| Compound No. | IC50 (μM) ± S.E.M | IC50 (μM) ± S.E.M |
|---|---|---|
| MCF-7 | MDA-MB-231 | |
| Ia | 13.90 ± 1.15 | 47.45 ± 2.51 |
| Ib | 1.44 ± 0.02 | 1.00 ± 0.04 |
| IIa | 1.00 ± 0.03 | 80.18 ± 4.23 |
| IIb | 8.08 ± 0.25 | 216.35 ± 13.15 |
| Camptothecin | 4.41 ± 0.28 | 19.24 ± 1.14 |
| Compound No. | IC50 (μM) ± S.E.M. | IC50 (μM) ± S.E.M. |
|---|---|---|
| MCF-7 | MDA-MB-231 | |
| IIIa | 1.82 ± 0.03 | 38.21 ±1.52 |
| IIIb | 0.32 ± 0.04 | 12.90 ±1.17 |
| IIIc | 10.92 ± 0.99 | 4.60 ± 0.32 |
| IIId | 2.80 ± 0.04 | 22.77 ±1.54 |
| IIIe | 15.50 ±1.24 | 2.14 ± 0.06 |
| IIIf | 5.69 ± 0.08 | 6.94 ± 0.41 |
| IIIg | 0.72 ± 0.02 | 90.80 ± 3.84 |
| IIIh | 5096.02 ± 241 | 14.06 ± 0.61 |
| Camptothecin | 4.41 ± 0.28 | 19.24 ± 1.14 |
| Compound No. | IC50 (μM) ± S.E.M. |
|---|---|
| MCF-7 | |
| IIIa | 62.01 ± 4.02 |
| IIIb | 29.49 ± 3.25 |
| IIId | 213.86 ± 12.1 |
| IIIf | 99.61 ± 6.39 |
| IIIg | 64.40 ± 4.12 |
| Monoisobutyl phthalate (MIBP) | 46.38 ± 3.14 |
| Compound No. | IC50 (μM) ± S.E.M. |
|---|---|
| Ib | 14.50 ± 1.32 |
| IIa | 32.20 ± 2.39 |
| IIIa | 22.46 ± 3.40 |
| IIIb | 89.06 ± 6.20 |
| IIIc | 1104.00 ± 52.36 |
| IIId | 69.95 ± 3.91 |
| IIIe | 17.38 ± 1.37 |
| IIIf | 332.07 ± 18.20 |
| IIIg | 27.11 ± 1.38 |
| Letrozole | 15.03 ± 1.8 |
© 2020 by the authors. Licensee MDPI, Basel, Switzerland. This article is an open access article distributed under the terms and conditions of the Creative Commons Attribution (CC BY) license (http://creativecommons.org/licenses/by/4.0/).
Share and Cite
Almutairi, M.S.; Al Suwayyid, A.N.; Aldarwesh, A.; Aboulwafa, O.M.; Attia, M.I. Antiestrogenic Activity and Possible Mode of Action of Certain New Nonsteroidal Coumarin-4-acetamides. Molecules 2020, 25, 1553. https://doi.org/10.3390/molecules25071553
Almutairi MS, Al Suwayyid AN, Aldarwesh A, Aboulwafa OM, Attia MI. Antiestrogenic Activity and Possible Mode of Action of Certain New Nonsteroidal Coumarin-4-acetamides. Molecules. 2020; 25(7):1553. https://doi.org/10.3390/molecules25071553
Chicago/Turabian StyleAlmutairi, Maha S., Areej N. Al Suwayyid, Amal Aldarwesh, Omaima M. Aboulwafa, and Mohamed I. Attia. 2020. "Antiestrogenic Activity and Possible Mode of Action of Certain New Nonsteroidal Coumarin-4-acetamides" Molecules 25, no. 7: 1553. https://doi.org/10.3390/molecules25071553
APA StyleAlmutairi, M. S., Al Suwayyid, A. N., Aldarwesh, A., Aboulwafa, O. M., & Attia, M. I. (2020). Antiestrogenic Activity and Possible Mode of Action of Certain New Nonsteroidal Coumarin-4-acetamides. Molecules, 25(7), 1553. https://doi.org/10.3390/molecules25071553

