Preparation and Characterization of MgO-Modified Rice Straw Biochars
Abstract
1. Introduction
2. Materials and Methods
2.1. Preparation of Biochar and MgO-Modified Biochar
2.2. Characterization of Biochar
3. Results and Discussion
3.1. pH and Yield Analysis
3.2. Nitrogen Adsorption–Desorption Curve
3.3. Pore Structure
3.4. Pore Size Distribution
3.5. Surface Morphology
3.6. Chemical Structure
3.7. Crystal Structure
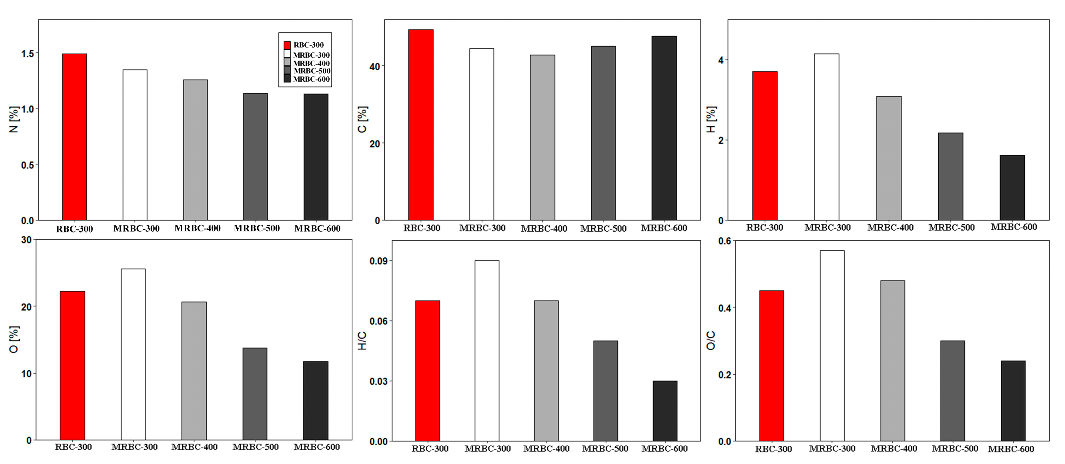
3.8. Elemental Analysis
4. Conclusions
Author Contributions
Funding
Conflicts of Interest
References
- Yu, X.; Gao, L.; Wang, K.; Ying, Z. Fodder utilization technology analysis of rice straw resources in Jiangsu. New Agric. 2020, 6, 44. [Google Scholar]
- Liu, L.; Fan, S. Removal of cadmiumin aqueous solution using wheat straw biochar: Effect of minerals and mechanism. Environ. Sci. Pollut. Res. 2018, 25, 8688–8700. [Google Scholar] [CrossRef]
- Wang, J.; Cao, M.; Jiang, C.; Zheng, Y.; Zhang, C.; Wei, J. Adsorption and coadsorption mechanisms of Hg2+ and methyl orange by branched polyethyleneimine modified magnetic straw. Mater. Lett. 2018, 229, 160–163. [Google Scholar] [CrossRef]
- Zheng, J.L. Bio-oil from fast pyrolysis of rice husk: Yields and related properties and improvement of the pyrolysis system. J. Anal. Appl. Pyrolysis 2007, 80, 30–35. [Google Scholar] [CrossRef]
- Brewer, C.E.; Chuang, V.J.; Masiello, C.A.; Gonnermann, H.; Gao, X.; Dugan, B.; Driver, L.E.; Panzacchi, P.; Zygourakis, K.; Davies, C.A. New approaches to measuring biochar density and porosity. Biomass Bioenergy 2014, 66, 176–185. [Google Scholar] [CrossRef]
- Wang, H.; Xu, M.; Ma, X.; Duan, Y. Rogress of research on microorganisms and ammonia-oxidizing bacteria in Chinese farmland under long-term fertilization. Chin. Soil Fertil. 2018, 2, 1–12. [Google Scholar]
- Manolikaki, I.; Diamadopoulos, E. Ryegrass yield and nutrient status after biochar application in two Mediterranean soils. Arch. Agron. Soil Sci. 2016, 63, 1093–1107. [Google Scholar] [CrossRef]
- Jeffery, S.; Bezemer, T.M.; Cornelissen, G.; Kuyper, T.W.; Lehmann, J.; Mommer, L.; Sohi, S.P.; Van De Voorde, T.F.; Wardle, D.A.; Van Groenigen, J.W. The way forward in biochar research: Targeting trade-offs between the potential wins. Glob. Change Biol. Bioenergy 2015, 7, 1–13. [Google Scholar] [CrossRef]
- Ali, S.; Rizwan, M.; Qayyum, M.F.; Ok, Y.S.; Ibrahim, M.; Riaz, M.; Arif, M.S.; Hafeez, F.; Al-Wabel, M.I.; Shahzad, A.N. Biochar soil amendment on alleviation of drought and salt stress in plants: A critical review. Environ. Sci. Pollut. Res. Int. 2017, 24, 12700–12712. [Google Scholar] [CrossRef] [PubMed]
- Oliveira, F.R.; Patel, A.K.; Jaisi, D.P.; Adhikari, S.; Lu, H.; Khanal, S.K. Environmental application of biochar: Current status and perspectives. Bioresour. Technol. 2017, 246, 110–122. [Google Scholar] [CrossRef] [PubMed]
- Sheng, Y.; Zhan, Y.; Zhu, L. Reduced carbon sequestration potential of biochar in acidic soil. Sci. Total Environ. 2016, 572, 129–137. [Google Scholar] [CrossRef] [PubMed]
- Deng, Y.; Huang, S.; Dong, C.; Meng, Z.; Wang, X. Competitive adsorption behaviour and mechanisms of cadmium, nickel and ammonium from aqueous solution by fresh and ageing rice straw biochars. Bioresour. Technol. 2020, 303. [Google Scholar] [CrossRef] [PubMed]
- Park, M.H.; Jeong, S.; Kim, J.Y. Adsorption of NH3-N onto rice straw-derived biochar. J. Environ. Chem. Eng. 2019, 7. [Google Scholar] [CrossRef]
- Wu, W.; Yang, M.; Feng, Q.; McGrouther, K.; Wang, H.; Lu, H.; Chen, Y. Chemical characterization of rice straw-derived biochar for soil amendment. Biomass Bioenergy 2012, 47, 268–276. [Google Scholar] [CrossRef]
- Kavitha, B.; Reddy, P.V.L.; Kim, B.; Lee, S.S.; Pandey, S.K.; Kim, K.H. Benefits and limitations of biochar amendment in agricultural soils: A review. J. Environ. Manag. 2018, 227, 146–154. [Google Scholar] [CrossRef]
- Shen, Q.; Wang, Z.; Yu, Q.; Cheng, Y.; Liu, Z.; Zhang, T.; Zhou, S. Removal of tetracycline from an aqueous solution using manganese dioxide modified biochar derived from Chinese herbal medicine residues. Environ. Res. 2020, 183. [Google Scholar] [CrossRef]
- Oginni, O.; Yakaboylu, G.A.; Singh, K.; Sabolsky, E.M.; Unal-Tosun, G.; Jaisi, D.; Khanal, S.; Shah, A. Phosphorus adsorption behaviors of MgO modified biochars derived from waste woody biomass resources. Environ. Chem. Eng. 2020, 8, 103723. [Google Scholar] [CrossRef]
- Wu, L.; Wei, C.; Zhang, S.; Wang, Y.; Kuzyakov, Y.; Ding, X. MgO-modified biochar increases phosphate retention and rice yields in saline-alkaline soil. J. Clean. Prod. 2019, 235, 901–909. [Google Scholar] [CrossRef]
- Yin, Q.; Wang, R.; Zhao, Z. Application of Mg–Al-modified biochar for simultaneous removal of ammonium, nitrate, and phosphate from eutrophic water. J. Clean. Prod. 2018, 176, 230–240. [Google Scholar] [CrossRef]
- Huang, Y.; Chiueh, P.; Shih, C.; Lo, S.; Sun, L.; Zhong, Y.; Qiu, C. Microwave pyrolysis of rice straw to produce biochar as an adsorbent for CO2 capture. Energy 2015, 84, 75–82. [Google Scholar] [CrossRef]
- Chandra, S.; Medha, I.; Bhattacharya, J. Potassium-iron rice straw biochar composite for sorption of nitrate, phosphate, and ammonium ions in soil for timely and controlled release. Sci. Total Environ. 2020, 712. [Google Scholar] [CrossRef] [PubMed]
- Zhang, H.; Yue, X.; Li, F.; Xiao, R.; Zhang, Y.; Gu, D. Preparation of rice straw-derived biochar for efficient cadmium removal by modification of oxygen-containing functional groups. Sci. Total Environ. 2018, 631, 795–802. [Google Scholar] [CrossRef] [PubMed]
- Ding, Z.; Wan, Y.; Hu, X.; Wang, S.; Zimmerman, A.R.; Gao, B. Sorption of lead and methylene blue onto hickory biochars from different pyrolysis temperatures: Importance of physicochemical properties. J. Ind. Eng. Chem. 2016, 37, 261–267. [Google Scholar] [CrossRef]
- Keiluweit, M.; Nico, P.S.; Johnson, M.G.; Kleber, M. Dynamic Molecular Structure of Plant Biomass-Derived Black Carbon (Biochar). Environ. Sci. Technol. 2010, 44, 1247–1253. [Google Scholar] [CrossRef] [PubMed]
- Brunauer, S.; Emmett, P.H.; Teller, E. Adsorption of gases in multimolecular layers. J. Am. Chem. Soc. 1938, 60, 309–319. [Google Scholar] [CrossRef]
- Deboer, J.H.; Lippens, B.C.; Linsen, B.G.; Broekhof, J.C.; Vandenhe, A.; Osinga, T.J. T-curve of multimolecular Ng-adsorption. J. Colloid Interf. Sci. 1966, 21, 405–411. [Google Scholar] [CrossRef]
- Jin, Z.; Zhao, G. Porosity Evolution of Activated Carbon Fiber Prepared from Liquefied Wood. Part II: Water Steam Activation from 850 to 950 °C. Bioresources 2014, 9, 2237–2247. [Google Scholar] [CrossRef][Green Version]
- Zhang, J.; Liu, J.; Liu, R. Effects of pyrolysis temperature and heating time on biochar obtained from the pyrolysis of straw and lignosulfonate. Bioresour. Technol. 2015, 176, 288–291. [Google Scholar] [CrossRef]
- Novak, J.M.; Lima, I.; Xing, B.; Gaskin, J.W.; Steiner, C.; Das, K.C.; Ahmedna, M.; Rehrah, D.; Watts, D.W.; Busscher, W.J.; et al. Characterization of designer biochar produced at different temperatures and their effects on a loamy sand. Ann. Environ. Sci. 2009, 3, 195–206. [Google Scholar]
- Wang, Y.; Hu, Y.; Zhao, X.; Wang, S.; Xing, G. Comparisons of biochar properties from wood material and crop residues at different temperatures and residence times. Energy Fuels 2013, 27, 5890–5899. [Google Scholar] [CrossRef]
- Chen, B.; Zhou, D.; Zhu, L. Transitional adsorption and partition of nonpolar and polar aromatic contaminants by biochars of pine needles with different pyrolytic temperatures. Environ. Sci. Technol. 2008, 42, 5137–5143. [Google Scholar] [CrossRef] [PubMed]
- Sun, Y.; Gao, B.; Yao, Y.; Fang, J.; Zhang, M.; Zhou, Y.; Chen, H.; Yang, L. Effects of feedstock type, production method, and pyrolysis temperature on biochar and hydrochar properties. Chem. Eng. J. 2014, 240, 574–578. [Google Scholar] [CrossRef]
- Guo, J.; Jiang, S.; Pang, Y. Rice straw biochar modified by aluminum chloride enhances the dewatering of the sludge from municipal sewage treatment plant. Sci. Total Environ. 2019, 654, 338–344. [Google Scholar] [CrossRef] [PubMed]
- Rizwan, M.; Lin, Q.; Chen, X.; Li, Y.; Li, G.; Zhao, X.; Tian, Y. Synthesis, characterization and application of magnetic and acid modified biochars following alkaline pretreatment of rice and cotton straws. Sci. Total Environ. 2020, 714. [Google Scholar] [CrossRef] [PubMed]
- Creamer, A.E.; Gao, B.; Zimmerman, A.; Harris, W. Biomass-facilitated production of activated magnesium oxide nanoparticles with extraordinary CO2 capture capacity. Chem. Eng. J. 2018, 334, 81–88. [Google Scholar] [CrossRef]
- Zhang, H.; Wang, T.; Sui, Z.; Zhang, Y.; Sun, B.; Pan, W.-P. Enhanced mercury removal by transplanting sulfur-containing functional groups to biochar through plasma. Fuel 2019, 253, 703–712. [Google Scholar] [CrossRef]
- Kim, K.H.; Kim, J.Y.; Cho, T.S.; Choi, J.W. Influence of pyrolysis temperature on physicochemical properties of biochar obtained from the fast pyrolysis of pitch pine (Pinus rigida). Bioresour. Technol. 2012, 118, 158–162. [Google Scholar] [CrossRef]
- Junhao, Q.; Qiwen, L.; Yanqing, L.; Anyi, N.; Chuxia, L. Biochar-driven reduction of As(V) and Cr(VI): Effects of pyrolysis temperature and low-molecular-weight organic acids. Ecotoxicol. Environ. Saf. 2020, 201. [Google Scholar] [CrossRef]
- Bardalai, M.; Mahanta, D.K. Characterisation of Biochar Produced by Pyrolysis from Areca Catechu Dust. Mater. Today Proc. 2018, 5. [Google Scholar] [CrossRef]
- Heredia-Guerrero, J.A.; Benítez, J.J.; Domínguez, E.; Bayer, I.S.; Cingolani, R.; Athanassiou, A.; Heredia, A. Infrared and Raman spectroscopic features of plant cuticles: A review. Front. Plant Sci. 2014, 5. [Google Scholar] [CrossRef]
- Xiao, F.; Cheng, J.; Cao, W.; Yang, C.; Chen, J.; Luo, Z. Removal of heavy metals from aqueous solution using chitosan-combined magnetic biochars. J. Colloid Interface Sci. 2019, 540, 579–584. [Google Scholar] [CrossRef] [PubMed]
- Zheng, Q.; Wang, Z.; Chen, B.; Liu, G.; Zhao, J. Analysis of XRD spectral structure and carbonization of the biochar preparation. Spectrosc. Spectr. Anal. 2016, 36, 3355–3359. [Google Scholar] [CrossRef]
- Zhang, X.; Hou, G.; Zhang, Y.; Zhao, Y. Structural and physico-chemical properties of biochars prepared from different rice straw. Environ. Eng. 2017, 35, 122–126. [Google Scholar]
- Zhao, B.; O’Connor, D.; Zhang, J.; Peng, T.; Shen, Z.; Tsang, D.C.W.; Hou, D. Effect of pyrolysis temperature, heating rate, and residence time on rapeseed stem derived biochar. J. Clean. Prod. 2017, 174, 977–987. [Google Scholar] [CrossRef]
- Uchimiya, M.; Wartelle, L.H.; Lima, I.M.; Klasson, K.T. Sorption of deisopropylatrazine on broiler litter biochars. J. Agric. Food Chem. 2010, 58, 12350–12356. [Google Scholar] [CrossRef]
- Cantrell, K.B.; Hunt, P.G.; Uchimiya, M.; Novak, J.M.; Ro, K.S. Impact of pyrolysis temperature and manure source on physicochemical characteristics of biochar. Bioresour. Technol. 2012, 107, 419–428. [Google Scholar] [CrossRef]
- Wang, S.; Gao, B.; Li, Y.C.; Mosa, A.; Zimmerman, A.R.; Ma, L.Q.; Harris, W.G.; Migliaccio, K.W. Manganese oxide-modified biochars: Preparation, characterization, and sorption of arsenate and lead. Bioresour. Technol. 2015, 181, 13–17. [Google Scholar] [CrossRef]
- Zhang, W.; Tan, X.; Gu, Y.; Liu, S.; Liu, Y.; Hu, X.; Li, J.; Zhou, Y.; Liu, S.; He, Y. Rice waste biochars produced at different pyrolysis temperatures for arsenic and cadmium abatement and detoxification in sediment. Chemosphere 2020, 250. [Google Scholar] [CrossRef]
- Shen, Z.; Hou, D.; Jin, F.; Shi, J.; Fan, X.; Tsang, D.C.W.; Alessi, D.S. Effect of production temperature on lead removal mechanisms by rice straw biochars. Sci. Total Environ. 2019, 655, 751–758. [Google Scholar] [CrossRef]







| Samples | Modifier | Temperature (°C) | Pyrolysis Time (h) | Modifier Concentration (mol/L) |
|---|---|---|---|---|
| RBC-300 | - | 300 | 1 | - |
| MRBC-300 | MgCl2 | 300 | 1 | 1 |
| MRBC-400 | MgCl2 | 400 | 1 | 1 |
| MRBC-500 | MgCl2 | 500 | 1 | 1 |
| MRBC-600 | MgCl2 | 600 | 1 | 1 |
| MRBC-0.5 m | MgCl2 | 500 | 1 | 0.5 |
| MRBC-1 m | MgCl2 | 500 | 1 | 1 |
| MRBC-1.5 m | MgCl2 | 500 | 1 | 1.5 |
| MRBC-2 m | MgCl2 | 500 | 1 | 2 |
| MRBC-0.5 h | MgCl2 | 500 | 0.5 | 1 |
| MRBC-1 h | MgCl2 | 500 | 1 | 1 |
| MRBC-2 h | MgCl2 | 500 | 2 | 1 |
| MRBC-3 h | MgCl2 | 500 | 3 | 1 |
| Samples | Yield (%) | pH |
|---|---|---|
| RBC-300 | 43.90 ± 0.40 | 9.5 ± 0.1 |
| MRBC-300 | 87.80 ± 0.30 | 9.8 ± 0.0 |
| MRBC-400 | 81.10 ± 0.50 | 10.0 ± 0.2 |
| MRBC-500 | 66.95 ± 0.75 | 10.1 ± 0.1 |
| MRBC-600 | 66.50 ± 1.50 | 10.2 ± 0.2 |
| MRBC-0.5 m | 68.43 ± 1.23 | 10.4 ± 0.1 |
| MRBC-1 m | 66.95 ± 1.35 | 10.1 ± 0.1 |
| MRBC-1.5 m | 65.48 ± 0.98 | 10.2 ± 0.0 |
| MRBC-2 m | 64.27 ± 1.17 | 10.2 ± 0.1 |
| MRBC-0.5 h | 67.15 ± 0.65 | 10.2 ± 0.0 |
| MRBC-1 h | 66.95 ± 1.85 | 10.1 ± 0.1 |
| MRBC-2 h | 67.15 ± 0.25 | 10.3 ± 0.1 |
| MRBC-3 h | 66.30 ± 1.30 | 10.4 ± 0.0 |
| Sample | Modified Temperature (°C) | Modifier | Specific Surface Area (m2/g) | Pore Volume (cm3/g) | Mesopore Porosity % | Average Pore Diameter (nm) | ||||
|---|---|---|---|---|---|---|---|---|---|---|
| SBET | Smicro | Smeso | Vtotal | Vmicro | Vmeso | D | ||||
| RBC-300 | 300 | - | 2.434 | 0.993 | 1.066 | 0.013 | 0.001 | 0.012 | 92% | 20.977 |
| MRBC-300 | 300 | MgCl2 | 9.663 | 9.728 | 7.504 | 0.042 | 0.001 | 0.040 | 95% | 17.210 |
| MRBC-400 | 400 | MgCl2 | 45.468 | 17.953 | 19.636 | 0.071 | 0.009 | 0.058 | 82% | 6.257 |
| MRBC-500 | 500 | MgCl2 | 205.066 | 144.684 | 38.672 | 0.154 | 0.073 | 0.069 | 45% | 2.999 |
| MRBC-600 | 600 | MgCl2 | 204.579 | 151.290 | 34.359 | 0.158 | 0.079 | 0.069 | 44% | 3.094 |
| MRBC-0.5 m | 500 | MgCl2 | 215.684 | 153.592 | 36.052 | 0.153 | 0.080 | 0.059 | 39% | 2.837 |
| MRBC-1 m | 500 | MgCl2 | 205.066 | 144.684 | 38.672 | 0.154 | 0.073 | 0.069 | 45% | 2.999 |
| MRBC-1.5 m | 500 | MgCl2 | 213.556 | 150.243 | 38.329 | 0.165 | 0.076 | 0.076 | 46% | 3.082 |
| MRBC-2 m | 500 | MgCl2 | 188.206 | 130.025 | 37.256 | 0.157 | 0.066 | 0.080 | 51% | 3.347 |
| MRBC-0.5 h | 500 | MgCl2 | 213.163 | 146.942 | 40.740 | 0.162 | 0.076 | 0.072 | 44% | 3.033 |
| MRBC-1 h | 500 | MgCl2 | 205.066 | 144.684 | 38.672 | 0.154 | 0.073 | 0.069 | 45% | 2.999 |
| MRBC-2 h | 500 | MgCl2 | 218.996 | 158.128 | 36.479 | 0.163 | 0.082 | 0.069 | 42% | 2.980 |
| MRBC-3 h | 500 | MgCl2 | 210.827 | 150.767 | 37.844 | 0.163 | 0.076 | 0.075 | 46% | 3.096 |
| KRSB [21] | 400 | FeCl3·6H2O | 69.23 | - | - | 0.194 | - | - | - | - |
| RSB [30] | 500 | AlCl3 | 147 | - | - | 0.062 | - | - | - | |
| BRP [31] | 500 | H3PO4 | 23.37 | |||||||
Sample Availability: Samples of the compounds are not available from the authors. | |
Publisher’s Note: MDPI stays neutral with regard to jurisdictional claims in published maps and institutional affiliations. |
© 2020 by the authors. Licensee MDPI, Basel, Switzerland. This article is an open access article distributed under the terms and conditions of the Creative Commons Attribution (CC BY) license (http://creativecommons.org/licenses/by/4.0/).
Share and Cite
Qin, X.; Luo, J.; Liu, Z.; Fu, Y. Preparation and Characterization of MgO-Modified Rice Straw Biochars. Molecules 2020, 25, 5730. https://doi.org/10.3390/molecules25235730
Qin X, Luo J, Liu Z, Fu Y. Preparation and Characterization of MgO-Modified Rice Straw Biochars. Molecules. 2020; 25(23):5730. https://doi.org/10.3390/molecules25235730
Chicago/Turabian StyleQin, Xianxian, Jixin Luo, Zhigao Liu, and Yunlin Fu. 2020. "Preparation and Characterization of MgO-Modified Rice Straw Biochars" Molecules 25, no. 23: 5730. https://doi.org/10.3390/molecules25235730
APA StyleQin, X., Luo, J., Liu, Z., & Fu, Y. (2020). Preparation and Characterization of MgO-Modified Rice Straw Biochars. Molecules, 25(23), 5730. https://doi.org/10.3390/molecules25235730

