Identification of Novel Influenza Polymerase PB2 Inhibitors Using a Cascade Docking Virtual Screening Approach
Abstract
1. Introduction
2. Results
2.1. Virtual Screening Strategy
2.1.1. Virtual Screening Strategy Selected
2.1.2. Receptor Selection and Treatment
2.1.3. Verification of Docking Method
2.1.4. Virtual Screening and Molecular Docking
2.2. Biochemical Assays
3. Discussion
3.1. Binding Models Analysis of Active Compounds to PB2 CBD
3.2. Influenza PB2 CBD Structure and Sequence Alignment and Compound Selectivity Analysis
4. Materials and Methods
4.1. Virtual Screening
4.1.1. Protein Preparation
4.1.2. Ligand Setup
4.1.3. Virtual Screening Using LibDock
4.1.4. Virtual Screening Using LigandFit
4.1.5. Virtual Screening Using GOLD
4.1.6. Refining the Protein–Ligand Complex
4.2. Cell Lines and Virus Strains
4.3. Cytopathic Effect (CPE) Inhibition Assay
4.4. Cytotoxicity Assay
4.5. Surface Plasmon Resonance (SPR) Analysis
5. Conclusions
Supplementary Materials
Author Contributions
Funding
Acknowledgments
Conflicts of Interest
References
- Kiani, M.A.; Ghazanfarpour, M.; Saeidi, M. Influenza: A Unique Disease. Int. J. Pediatrics 2019, 7, 9349–9354. [Google Scholar]
- World Health Organization. Influenza (Seasonal). Fact Sheet No 211. 2014. Available online: https://www.who.int/news-room/fact-sheets/detail/influenza-(seasonal) (accessed on 1 November 2020).
- Mills, C.E.; Robins, J.M.; Lipsitch, M. Transmissibility of 1918 pandemic influenza. Nature 2004, 432, 904. [Google Scholar] [CrossRef] [PubMed]
- Moscona, A. Neuraminidase inhibitors for influenza. N. Engl. J. Med. 2005, 353, 1363–1373. [Google Scholar] [CrossRef] [PubMed]
- Moscona, A. Oseltamivir resistance—Disabling our influenza defenses. N. Engl. J. Med. 2005, 353, 2633–2636. [Google Scholar] [CrossRef]
- Hurt, A.C.; Holien, J.K.; Parker, M.; Kelso, A.; Barr, I.G. Zanamivir-resistant influenza viruses with a novel neuraminidase mutation. J. Virol. 2009, 83, 10366–10373. [Google Scholar] [CrossRef]
- Yoshino, R.; Yasuo, N.; Sekijima, M. Molecular dynamics simulation reveals the mechanism by which the influenza cap-dependent endonuclease acquires resistance against baloxavir marboxil. Sci. Rep. 2019, 9, 17464. [Google Scholar] [CrossRef]
- Checkmahomed, L.; M’hamdi, Z.; Carbonneau, J.; Venable, M.-C.; Baz, M.; Abed, Y.; Boivin, G. Impact of the baloxavir-resistant polymerase acid I38T substitution on the fitness of contemporary influenza A (H1N1) pdm09 and A (H3N2) strains. J. Infect. Dis. 2020, 221, 63–70. [Google Scholar] [CrossRef]
- Pascua, P.N.Q.; Marathe, B.M.; Vogel, P.; Webby, R.J.; Govorkova, E.A. Optimizing T-705 (favipiravir) treatment of severe influenza B virus infection in the immunocompromised mouse model. J. Antimicrob. Chemother. 2019, 74, 1333–1341. [Google Scholar] [CrossRef]
- Bouvier, N.M.; Palese, P. The biology of influenza viruses. Vaccine 2008, 26, D49–D53. [Google Scholar] [CrossRef]
- Petrova, V.N.; Russell, C.A. The evolution of seasonal influenza viruses. Nat. Rev. Microbiol. 2018, 16, 47. [Google Scholar] [CrossRef]
- te Velthuis, A.J.; Fodor, E. Influenza virus RNA polymerase: Insights into the mechanisms of viral RNA synthesis. Nat. Rev. Microbiol. 2016, 14, 479. [Google Scholar] [CrossRef] [PubMed]
- Krug, R.M.; Aramini, J.M. Emerging antiviral targets for influenza A virus. Trends Pharmacol. Sci. 2009, 30, 269–277. [Google Scholar] [CrossRef] [PubMed]
- Pflug, A.; Lukarska, M.; Resa-Infante, P.; Reich, S.; Cusack, S. Structural insights into RNA synthesis by the influenza virus transcription-replication machine. Virus Res. 2017, 234, 103–117. [Google Scholar] [CrossRef] [PubMed]
- Koszalka, P.; Tilmanis, D.; Hurt, A.C. Influenza antivirals currently in late-phase clinical trial. Influenza Other Respir. Viruses 2017, 11, 240–246. [Google Scholar] [CrossRef]
- Berg, M.; Temesgen, Z. Polymerase basic protein 2 (PB2)(influenza virus) inhibitor Treatment of influenza A infection. Drugs Future 2019, 44, 339–348. [Google Scholar] [CrossRef]
- Clark, M.P.; Ledeboer, M.W.; Davies, I.; Byrn, R.A.; Jones, S.M.; Perola, E.; Tsai, A.; Jacobs, M.; Nti-Addae, K.; Bandarage, U.K.; et al. Discovery of a novel, first-in-class, orally bioavailable azaindole inhibitor (VX-787) of influenza PB2. J. Med. Chem. 2014, 57, 6668–6678. [Google Scholar] [CrossRef]
- Fradera, X.; Babaoglu, K. Overview of methods and strategies for conducting virtual small molecule screening. Curr. Protoc. Chem. Biol. 2018, 9, 196–212. [Google Scholar] [CrossRef]
- Passeri, G.I.; Trisciuzzi, D.; Alberga, D.; Siragusa, L.; Leonetti, F.; Mangiatordi, G.F.; Nicolotti, O. Strategies of virtual screening in medicinal chemistry. Int. J. Quant. Struct. Prop. Relatsh. (Ijqspr) 2018, 3, 134–160. [Google Scholar] [CrossRef]
- Bensinger, D.; Stubba, D.; Cremer, A.; Kohl, V.; Wassmer, T.; Stuckert, J.; Engemann, V.; Stegmaier, K.; Schmitz, K.; Schmidt, B. Virtual Screening Identifies Irreversible FMS-like Tyrosine Kinase 3 Inhibitors with Activity toward Resistance-Conferring Mutations. J. Med. Chem. 2019, 62, 2428–2446. [Google Scholar] [CrossRef]
- Damm-Ganamet, K.L.; Arora, N.; Becart, S.; Edwards, J.P.; Lebsack, A.D.; McAllister, H.M.; Nelen, M.I.; Rao, N.L.; Westover, L.; Wiener, J.J.M.; et al. Accelerating Lead Identification by High Throughput Virtual Screening: Prospective Case Studies from the Pharmaceutical Industry. J. Chem. Inf. Modeling 2019, 59, 2046–2062. [Google Scholar] [CrossRef]
- Drwal, M.N.; Griffith, R. Combination of ligand-and structure-based methods in virtual screening. Drug Discov. Today: Technol. 2013, 10, e395–e401. [Google Scholar] [CrossRef] [PubMed]
- Thangapandian, S.; John, S.; Sakkiah, S.; Lee, K.W. Ligand and structure based pharmacophore modeling to facilitate novel histone deacetylase 8 inhibitor design. Eur. J. Med. Chem. 2010, 45, 4409–4417. [Google Scholar] [CrossRef] [PubMed]
- Meng, X.-Y.; Zhang, H.-X.; Mezei, M.; Cui, M. Molecular docking: A powerful approach for structure-based drug discovery. Curr. Comput. Aided Drug Des. 2011, 7, 146–157. [Google Scholar] [CrossRef] [PubMed]
- Rao, S.N.; Head, M.S.; Kulkarni, A.; LaLonde, J.M. Validation studies of the site-directed docking program LibDock. J. Chem. Inf. Modeling 2007, 47, 2159–2171. [Google Scholar] [CrossRef] [PubMed]
- Byrn, R.A.; Jones, S.M.; Bennett, H.B.; Bral, C.; Clark, M.P.; Jacobs, M.D.; Kwong, A.D.; Ledeboer, M.W.; Leeman, J.R.; McNeil, C.F.; et al. Preclinical activity of VX-787, a first-in-class, orally bioavailable inhibitor of the influenza virus polymerase PB2 subunit. Antimicrob. Agents Chemother. 2015, 59, 1569–1582. [Google Scholar] [CrossRef] [PubMed]
- ElGamacy, M.A.; Shalaby, R.A.; Elkodsh, A.T.; Kamel, A.F.; Elsayed, M.S.A.; Abou-El, D.A.E.R. New inhibitors of VEGFR-2 targeting the extracellular domain dimerization process. Bioinformation 2011, 7, 52. [Google Scholar] [CrossRef]
- Vidhya, V.; Bhaskar, A.; Vijayasri, S. Molecular Docking Analysis of Sorbitol Dehydrogenase Using Ligandfit Algorithm. Indian J. Bioinform. Biotechnol. 2013, 2, 95–99. [Google Scholar]






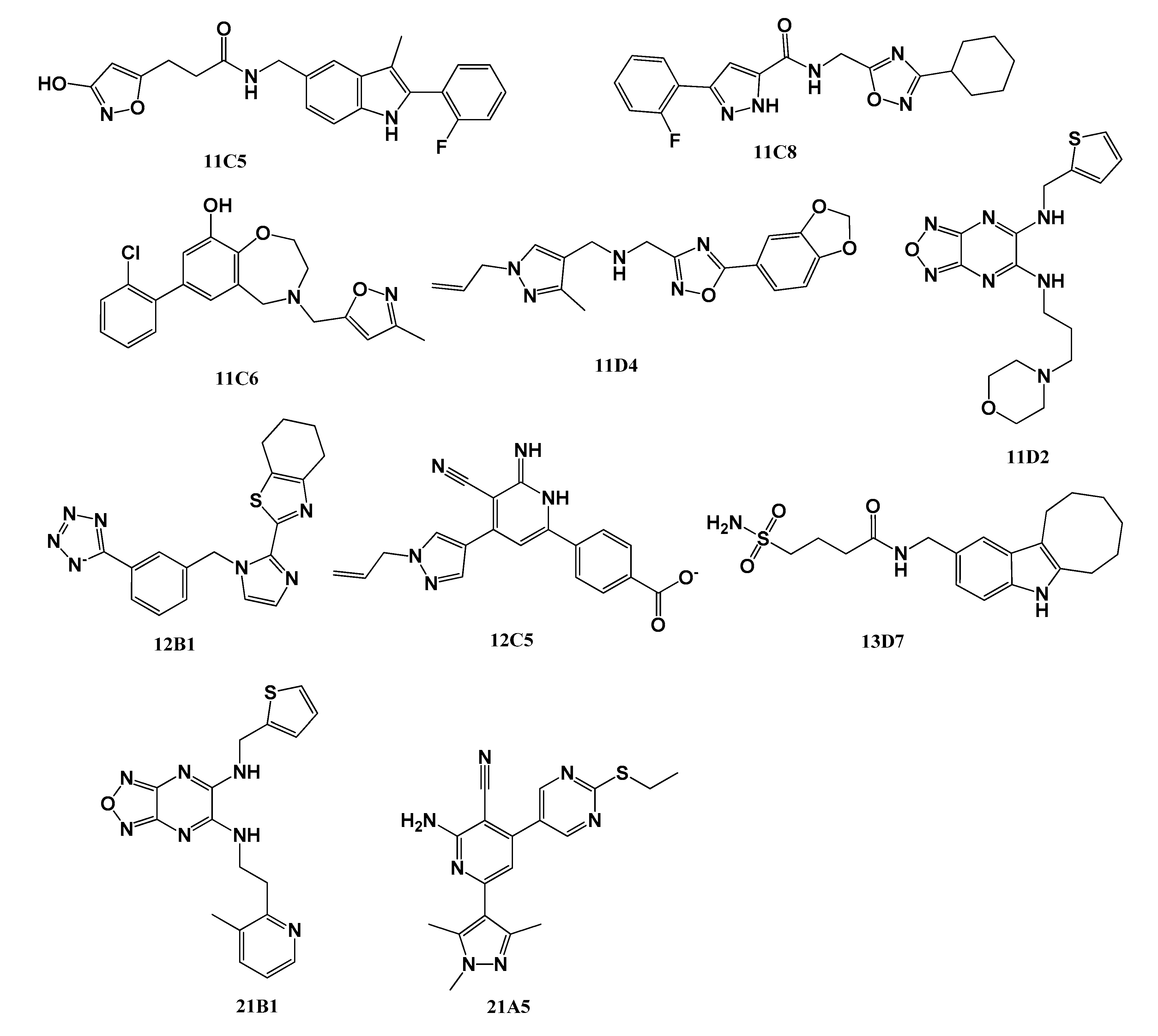
| Compounds | LibDock (LibDock Score) | LigandFit (DOCK SCORE) | GOLD (Gold Score Fitness) | Anti-PR/8 (H1N1), Activities (EC50, μM) | Cytotoxicity (CC50, μM) | Kd for H1N1 PB2 (μM) |
|---|---|---|---|---|---|---|
| 11C5 | 135.11 | 160.86 | 84.78 | 55.50 ± 27.66 | >100 | 2.26 |
| 11C6 | 123.98 | 85.29 | 58.99 | 35.61 ± 1.74 | >100 | 1.70 |
| 11C8 | 129.66 | 85.38 | 74.95 | 26.38 ± 12.04 | >100 | 6.16 |
| 11D2 | 130.29 | 91.66 | 77.89 | 0.30 ± 0.02 | >100 | 0.21 |
| 11D4 | 132.49 | 82.76 | 65.66 | 6.20 ± 2.85 | >100 | 1.87 |
| 12B1 | 136.28 | 156.10 | 68.13 | 53.92 ± 10.36 | >100 | 6.77 |
| 12C5 | 125.19 | 154.16 | 76.52 | 30.88 ± 2.58 | >100 | 2.44 |
| 13D7 | 132.24 | 86.26 | 73.07 | 26.33 ± 13.84 | >100 | 1.13 |
| 21B1 | 132.55 | 96.99 | 75.31 | 67.65 ± 43.28 | >100 | 1.95 |
| 21A5 | 115.88 | 89.57 | 65.54 | 22.07 ± 10.99 | >100 | 0.54 |
| VX-787 | <0.005 | >100 | 0.054 | |||
| OC | 1.78 ± 0.72 | >100 |
| Cp. | Cytotoxicity | HK/68 | A/WSN/33 | B/Lee/40 | PR/8-R292K * | ZX/1109 * | PR/8-I38T # |
|---|---|---|---|---|---|---|---|
| CC50 (μM) | EC50 (μM) | EC 50 (μM) | EC 50 (μM) | EC 50 (μM) | EC 50 (μM) | EC50 (μM) | |
| 11D4 | >100 | 25.81 ± 1.89 | 19.25 ± 6.28 | 11.29 ± 0.15 | 21.47 ± 5.49 | 38.37 ± 3.49 | 32.44 ± 1.52 |
| 12C5 | >100 | 30.10 ± 12.76 | 24.11 ± 6.14 | 25.12 ± 2.57 | 28.61 ± 0.99 | 36.66 ± 2.33 | 35.42 ± 1.02 |
| 21B1 | >100 | >100 | 57.43 ± 15.46 | 60.35 ± 1.41 | 14.61 ± 1.44 | 11.83 ± 1.07 | 37.01 ± 0.67 |
| 21A5 | >100 | 25.62 ± 18.79 | 14.79 ± 6.31 | 33.81 ± 0.68 | 9.27 ± 0.55 | 5.71 ± 1.14 | 14.14 ± 0.47 |
| VX-787 | >100 | 1.84 ± 0.19 | ND | >10 | 4.14 ± 0.66 | 2.25 ± 0.05 | 2.34 ± 0.10 |
| Oseltamivir carboxylate | >100 | 0.004 ± 0.001 | 0.09 ± 0.02 | 4.04 ± 0.58 | >100 | >100 | ND |
Sample Availability: Not available. | |
Publisher’s Note: MDPI stays neutral with regard to jurisdictional claims in published maps and institutional affiliations. |
© 2020 by the authors. Licensee MDPI, Basel, Switzerland. This article is an open access article distributed under the terms and conditions of the Creative Commons Attribution (CC BY) license (http://creativecommons.org/licenses/by/4.0/).
Share and Cite
Zhao, L.; Che, J.; Zhang, Q.; Li, Y.; Guo, X.; Chen, L.; Li, H.; Cao, R.; Li, X. Identification of Novel Influenza Polymerase PB2 Inhibitors Using a Cascade Docking Virtual Screening Approach. Molecules 2020, 25, 5291. https://doi.org/10.3390/molecules25225291
Zhao L, Che J, Zhang Q, Li Y, Guo X, Chen L, Li H, Cao R, Li X. Identification of Novel Influenza Polymerase PB2 Inhibitors Using a Cascade Docking Virtual Screening Approach. Molecules. 2020; 25(22):5291. https://doi.org/10.3390/molecules25225291
Chicago/Turabian StyleZhao, Lei, Jinjing Che, Qian Zhang, Yiming Li, Xiaojia Guo, Lixia Chen, Hua Li, Ruiyuan Cao, and Xingzhou Li. 2020. "Identification of Novel Influenza Polymerase PB2 Inhibitors Using a Cascade Docking Virtual Screening Approach" Molecules 25, no. 22: 5291. https://doi.org/10.3390/molecules25225291
APA StyleZhao, L., Che, J., Zhang, Q., Li, Y., Guo, X., Chen, L., Li, H., Cao, R., & Li, X. (2020). Identification of Novel Influenza Polymerase PB2 Inhibitors Using a Cascade Docking Virtual Screening Approach. Molecules, 25(22), 5291. https://doi.org/10.3390/molecules25225291
