Silane Coupling Agent Modifies the Mechanical Properties of a Chitosan Microfiber
Abstract
1. Introduction
2. Results
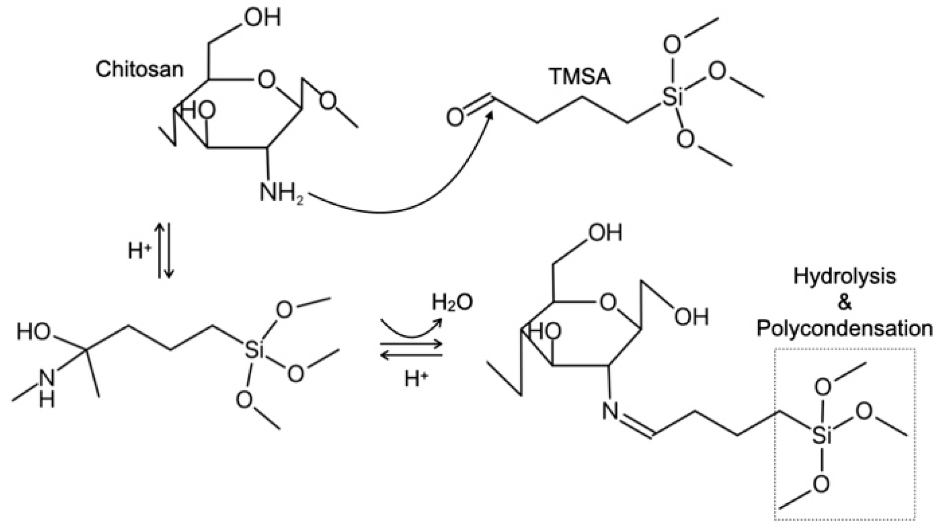
2.1. Structural Characterization
2.2. Mechanical Strength
3. Discussion
4. Materials and Methods
4.1. Preparation of Chitosan Monofibers with Silane Coupling Agent
4.2. Characterization and Mechanical Properties of the Fibers
5. Conclusions
Author Contributions
Funding
Acknowledgments
Conflicts of Interest
References
- Gimbel, H.V.; Raanan, M.G.; DeLuca, M. Effect of suture material on postoperative astigmatism. J. Cataract. Refract. Surg. 1992, 18, 42–50. [Google Scholar] [CrossRef]
- Onoe, H.; Takeuchi, S. Cell-laden microfibers for bottom-up tissue engineering. Drug Discov. Today 2015, 20, 236–246. [Google Scholar] [CrossRef] [PubMed]
- Tuzlakoglu, K.; Reis, R.L. Biodegradable Polymeric Fiber Structures in Tissue Engineering. Tissue Eng. Part B Rev. 2009, 15, 17–27. [Google Scholar] [CrossRef] [PubMed]
- Pillai, C.; Paul, W.; Sharma, C.P. Chitin and chitosan polymers: Chemistry, solubility and fiber formation. Prog. Polym. Sci. 2009, 34, 641–678. [Google Scholar] [CrossRef]
- Ngah, W.W.; Hanafiah, M.; Yong, S. Adsorption of humic acid from aqueous solutions on crosslinked chitosan–epichlorohydrin beads: Kinetics and isotherm studies. Colloids Surf. B. Biointerfaces 2008, 65, 18–24. [Google Scholar] [CrossRef] [PubMed]
- Poon, L.; Wilson, L.D.; Headley, J.V. Chitosan-glutaraldehyde copolymers and their sorption properties. Carbohydr. Polym. 2014, 109, 92–101. [Google Scholar] [CrossRef] [PubMed]
- Zeiger, E.; Gollapudi, B.; Spencer, P. Genetic toxicity and carcinogenicity studies of glutaraldehyde? A review. Mutat. Res. Mutat. Res. 2005, 589, 136–151. [Google Scholar] [CrossRef] [PubMed]
- Shirosaki, Y.; Tsuru, K.; Hayakawa, S.; Osaka, A.; Lopes, A.; Santos, J.D.; Costa, M.A.C.; Fernandes, M.H. Physical, chemical and in vitro biological profile of chitosan hybrid membrane as a function of organosiloxane concentration. Acta Biomater. 2009, 5, 346–355. [Google Scholar] [CrossRef] [PubMed]
- Shirosaki, Y.; Okayama, T.; Tsuru, K.; Hayakawa, S.; Osaka, A. In vitro bioactivity and MG63 cytocompatibility of chitosan-silicate hybrids. Int. J. Mater. Chem. 2013, 3, 1–7. [Google Scholar] [CrossRef]
- Wang, T.; Turhan, M.; Gunasekaran, S. Selected properties of pH-sensitive, biodegradable chitosan–poly(vinyl alcohol) hydrogel. Polym. Int. 2004, 53, 911–918. [Google Scholar] [CrossRef]
- Shirosaki, Y.; Tsuru, K.; Hayakawa, S.; Osaka, A.; Lopes, M.A.; Santos, J.D.; Fernandes, M.H. In vitro cytocompatibility of MG63 cells on chitosan-organosiloxane hybrid membranes. Biomaterials 2005, 26, 485–493. [Google Scholar] [CrossRef] [PubMed]
- Yan, W.; Liu, D.; Tan, D.; Yuan, P.; Chen, M. FTIR spectroscopy study of the structure changes of palygorskite under heating. Spectrochim. Acta Part A Mol. Biomol. Spectrosc. 2012, 97, 1052–1057. [Google Scholar] [CrossRef] [PubMed]
- Mozgawa, W.; Król, M.; Dyczek, J.; Deja, J. Investigation of the coal fly ashes using IR spectroscopy. Spectrochim. Acta Part A Mol. Biomol. Spectrosc. 2014, 132, 889–894. [Google Scholar] [CrossRef] [PubMed]
- Sanaeishoar, H.; Sabbaghan, M.; Mohave, F. Synthesis and characterization of micro-mesoporous MCM-41 using various ionic liquids as co-templates. Microporous Mesoporous Mater. 2015, 217, 219–224. [Google Scholar] [CrossRef]
- Oh, D.X.; Cha, Y.J.; Nguyen, H.-L.; Je, H.H.; Jho, Y.S.; Hwang, D.S.; Yoon, D.K. Chiral nematic self-assembly of minimally surface damaged chitin nanofibrils and its load bearing functions. Sci. Rep. 2016, 6, 23245. [Google Scholar] [CrossRef] [PubMed]
- Lertworasirikul, A.; Noguchi, K.; Ogawa, K.; Okuyama, K. Plausible molecular and crystal structures of chitosan/HI type II salt. Carbohydr. Res. 2004, 339, 835–843. [Google Scholar] [CrossRef] [PubMed]
- Okada, T.; Nobunaga, Y.; Konishi, T.; Yoshioka, T.; Hayakawa, S.; Lopes, A.; Miyazaki, T.; Shirosaki, Y. Preparation of chitosan-hydroxyapatite composite mono-fiber using coagulation method and their mechanical properties. Carbohydr. Polym. 2017, 175, 355–360. [Google Scholar] [CrossRef] [PubMed]











| Ch | ChTMSA0001 | ChTMSA0005 | ChTMSA001 |
|---|---|---|---|
| 1.0 | 1.0 | 1.0 | 1.0 |
| Ch | ChTMSA0001 | ChTMSA0005 | ChTMSA001 |
|---|---|---|---|
| 100 | 102 ± 4 | 92 ± 2 | 76 ± 1 |
| Ch | ChTMSA0001 | ChTMSA0005 | ChTMSA001 | |
|---|---|---|---|---|
| TMSA/Chitosan | 0 | 0.001 | 0.005 | 0.01 |
Sample Availability: The datasets analysed during the current study available from the corresponding author on reasonable request. |
Publisher’s Note: MDPI stays neutral with regard to jurisdictional claims in published maps and institutional affiliations. |
© 2020 by the authors. Licensee MDPI, Basel, Switzerland. This article is an open access article distributed under the terms and conditions of the Creative Commons Attribution (CC BY) license (http://creativecommons.org/licenses/by/4.0/).
Share and Cite
Shirosaki, Y.; Okabayashi, T.; Yasutomi, S. Silane Coupling Agent Modifies the Mechanical Properties of a Chitosan Microfiber. Molecules 2020, 25, 5292. https://doi.org/10.3390/molecules25225292
Shirosaki Y, Okabayashi T, Yasutomi S. Silane Coupling Agent Modifies the Mechanical Properties of a Chitosan Microfiber. Molecules. 2020; 25(22):5292. https://doi.org/10.3390/molecules25225292
Chicago/Turabian StyleShirosaki, Yuki, Toshinobu Okabayashi, and Saki Yasutomi. 2020. "Silane Coupling Agent Modifies the Mechanical Properties of a Chitosan Microfiber" Molecules 25, no. 22: 5292. https://doi.org/10.3390/molecules25225292
APA StyleShirosaki, Y., Okabayashi, T., & Yasutomi, S. (2020). Silane Coupling Agent Modifies the Mechanical Properties of a Chitosan Microfiber. Molecules, 25(22), 5292. https://doi.org/10.3390/molecules25225292

