Discovery of Novel Indolealkylpiperazine Derivatives as Potent 5-HT1A Receptor Agonists for the Potential Future Treatment of Depression
Abstract
1. Introduction
2. Results and Discussion
2.1. Compound Design
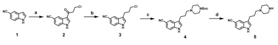
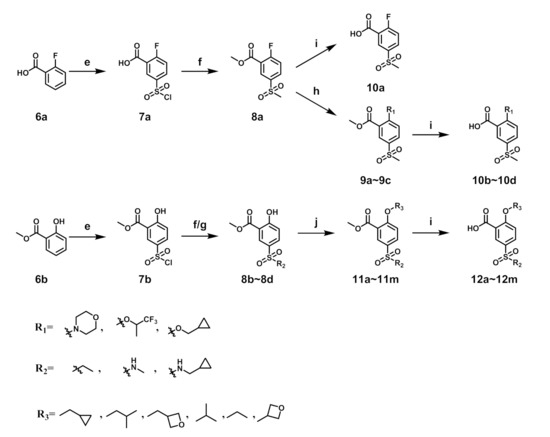
2.2. Chemical Synthesis
2.3. In Vitro Biological Activity Evaluation
2.4. Binding Mode
2.5. 13m Induced Activation Mechanism of 5-HT1AR
3. Experiment Protocols
3.1. Chemistry and Biological Evaluation
3.2. Molecular Modeling
3.2.1. Homology Modeling
3.2.2. Molecular Docking Operations
3.3. Molecular Dynamic Simulations
4. Conclusions
Supplementary Materials
Author Contributions
Funding
Conflicts of Interest
References
- De Oliveira, M.R.; Chenet, A.L.; Duarte, A.R.; Scaini, G.; Quevedo, J. Molecular Mechanisms Underlying the Anti-depressant Effects of Resveratrol: A Review. Mol. Neurobiol. 2017, 55, 4543–4559. [Google Scholar] [CrossRef] [PubMed]
- Cui, R. Editorial (Thematic Selection: A Systematic Review of Depression). Curr. Neuropharmacol. 2015, 13, 480. [Google Scholar] [CrossRef] [PubMed]
- Hawton, K.; I Comabella, C.C.; Haw, C.; Saunders, K.E.A. Risk factors for suicide in individuals with depression: A systematic review. J. Affect. Disord. 2013, 147, 17–28. [Google Scholar] [CrossRef] [PubMed]
- Rihmer, Z. Antidepressants, depression and suicide. Neuropsychopharmacol. Hung. 2013, 15, 157–164. [Google Scholar]
- Lacerda-Pinheiro, S.F.; Junior, R.F.F.P.; De Lima, M.A.P.; Da Silva, C.G.L.; Dos Santos, M.D.S.V.; Júnior, A.G.T.; De Oliveira, P.N.L.; Ribeiro, K.D.B.; Neto, M.L.R.; Bianco, B. Are there depression and anxiety genetic markers and mutations? A systematic review. J. Affect. Disord. 2014, 168, 387–398. [Google Scholar] [CrossRef] [PubMed]
- Vrijsen, J.N.; Van Oostrom, I.; Franke, B.; Becker, E.S.; Speckens, A.; Arias-Vásquez, A. Association between genes, stressful childhood events and processing bias in depression vulnerable individuals. Genes Brain Behav. 2014, 13, 508–516. [Google Scholar] [CrossRef]
- Latendresse, G.; Elmore, C.; Deneris, A. Selective Serotonin Reuptake Inhibitors as First-Line Antidepressant Therapy for Perinatal Depression. J. Midwifery Women’s Health 2017, 62, 317–328. [Google Scholar] [CrossRef]
- Mago, R.; Mahajan, R.E.; Thase, M. Levomilnacipran: A newly approved drug for treatment of major depressive disorder. Expert Rev. Clin. Pharmacol. 2014, 7, 137–145. [Google Scholar] [CrossRef]
- Kornstein, S.G.; McIntyre, R.S.; Thase, M.E.; Boucher, M. Desvenlafaxine for the treatment of major depressive disorder. Expert Opin. Pharmacother. 2014, 15, 1449–1463. [Google Scholar] [CrossRef]
- Yoshinaga, H.; Nishida, T.; Sasaki, I.; Kato, T.; Oki, H.; Yabuuchi, K.; Toyoda, T. Discovery of DSP-1053, a novel benzylpiperidine derivative with potent serotonin transporter inhibitory activity and partial 5-HT 1A receptor agonistic activity. Bioorganic Med. Chem. 2018, 26, 1614–1627. [Google Scholar] [CrossRef]
- Seabrook, E.; Kern, M.L.; Rickard, N.S.; Cha, M.; Rice, S.; Gritton, J. Social Networking Sites, Depression, and Anxiety: A Systematic Review. JMIR Ment. Health 2016, 3, e50. [Google Scholar] [CrossRef] [PubMed]
- Cowen, P.J. Backing into the future: Pharmacological approaches to the management of resistant depression. Psychol. Med. 2017, 47, 2569–2577. [Google Scholar] [CrossRef] [PubMed]
- Penn, E.; Tracy, D.K. The drugs don’t work? Antidepressants and the current and future pharmacological management of depression. Ther. Adv. Psychopharmacol. 2012, 2, 179–188. [Google Scholar] [CrossRef] [PubMed]
- Marston, O.J.; Garfield, A.S.; Heisler, L.K. Role of central serotonin and melanocortin systems in the control of energy balance. Eur. J. Pharmacol. 2011, 660, 70–79. [Google Scholar] [CrossRef] [PubMed]
- Berger, M.; Gray, J.A.; Roth, B.L. The Expanded Biology of Serotonin. Annu. Rev. Med. 2009, 60, 355–366. [Google Scholar] [CrossRef] [PubMed]
- Nichols, D.E.; Nichols, C.D. Serotonin Receptors. Chem. Rev. 2008, 108, 1614–1641. [Google Scholar] [CrossRef] [PubMed]
- Czopek, A.; Byrtus, H.; Kolaczkowski, M.; Pawłowski, M.; Dybała, M.; Nowak, G.; Tatarczynska, E.; Wesołowska, A.; Chojnacka-Wójcik, E. Synthesis and pharmacological evaluation of new 5-(cyclo)alkyl-5-phenyl- and 5-spiroimidazolidine-2,4-dione derivatives. Novel 5-HT1A receptor agonist with potential antidepressant and anxiolytic activity. Eur. J. Med. Chem. 2010, 45, 1295–1303. [Google Scholar] [CrossRef]
- Shimizu, S.; Tatara, A.; Imaki, J.; Ohno, Y. Role of cortical and striatal 5-HT1A receptors in alleviating antipsychotic-induced extrapyramidal disorders. Prog. Neuro-Psychopharmacol. Biol. Psychiatry 2010, 34, 877–881. [Google Scholar] [CrossRef]
- Blier, P.; Ward, N.M. Is There A Role for 5-HT1A Agonists in the Treatment of Depression? Biol. Psychiatry 2003, 53, 193–203. [Google Scholar] [CrossRef]
- Bara-Jimenez, W.; Bibbiani, F.; Morris, M.J.; Dimitrova, T.; Sherzai, A.; Mouradian, M.M.; Chase, T.N. Effects of serotonin 5-HT1A agonist in advanced Parkinson’s disease. Mov. Disord. 2005, 20, 932–936. [Google Scholar] [CrossRef]
- Blier, P.; De Montigny, C. Current advances and trends in the treatment of depression. Trends Pharmacol. Sci. 1994, 15, 220–226. [Google Scholar] [CrossRef]
- Xu, L.; Zhou, S.; Yu, K.; Gao, B.; Jiang, H.; Zhen, X.; Fu, W. Molecular Modeling of the 3D Structure of 5-HT1AR: Discovery of Novel 5-HT1AR Agonists via Dynamic Pharmacophore-Based Virtual Screening. J. Chem. Inf. Model. 2013, 53, 3202–3211. [Google Scholar] [CrossRef] [PubMed]
- Heinrich, T.; Böttcher, H.; Gericke, R.; Bartoszyk, G.D.; Anzali, S.; Seyfried, C.A.; Greiner, H.E.; Van Amsterdam, C. Synthesis and Structure−Activity Relationship in a Class of Indolebutylpiperazines as Dual 5-HT1A Receptor Agonists and Serotonin Reuptake Inhibitors. J. Med. Chem. 2004, 47, 4684–4692. [Google Scholar] [CrossRef] [PubMed]
- Lian, P.; Li, L.; Geng, C.; Zhen, X.; Fu, W. Higher-Affinity Agonists of 5-HT1AR Discovered through Tuning the Binding-Site Flexibility. J. Chem. Inf. Model. 2015, 55, 1616–1627. [Google Scholar] [CrossRef]
- García-Nafría, J.; Nehmé, R.; Edwards, P.C.; Tate, C.G. Cryo-EM structure of the serotonin 5-HT1B receptor coupled to heterotrimeric Go. Nature 2018, 558, 620–623. [Google Scholar] [CrossRef]
- Kimura, K.T.; Asada, H.; Inoue, A.; Kadji, F.M.N.; Im, D.; Mori, C.; Arakawa, T.; Hirata, K.; Nomura, Y.; Nomura, N.; et al. Structures of the 5-HT2A receptor in complex with the antipsychotics risperidone and zotepine. Nat. Struct. Mol. Biol. 2019, 26, 121–128. [Google Scholar] [CrossRef]
- Wang, S.; Che, T.; Levit, A.; Shoichet, B.K.; Wacker, D.; Roth, B.L. Structure of the D2 dopamine receptor bound to the atypical antipsychotic drug risperidone. Nature 2018, 555, 269–273. [Google Scholar] [CrossRef]
- Wang, W.; Zheng, L.; Li, W.; Zhu, C.; Peng, W.; Han, B.; Fu, W. Design, Synthesis, and Structure–Activity Relationship Studies of Novel Indolyalkylpiperazine Derivatives as Selective 5-HT1A Receptor Agonists. J. Chem. Inf. Model. 2020, 60, 235–248. [Google Scholar] [CrossRef]
- Johnson, M.; Zaretskaya, I.; Raytselis, Y.; Merezhuk, Y.; McGinnis, S.; Madden, T.L. NCBI BLAST: A better web interface. Nucleic Acids Res. 2008, 36, w5–w9. [Google Scholar] [CrossRef]
- Laskowski, R.A.; MacArthur, M.W.; Moss, D.S.; Thornton, J.M. PROCHECK—A program to check the stereochemical quality of protein structures. J. Appl. Cryst. 1993, 26, 283–291. [Google Scholar] [CrossRef]
- Hess, B.; Kutzner, C.; van der Spoel, D.; Lindahl, E. GROMACS 4: Algorithms for Highly Efficient, Load-Balanced, and Scalable Molecular Simulation. J. Chem. Theory Comput. 2008, 4, 435–447. [Google Scholar] [CrossRef] [PubMed]
- DeLano, W.L. The PyMOL Molecular Graphics System, version 1.2r3pre; Schrödinger, LLC.: San Carlos, CA, USA, 2002; 3p. [Google Scholar]
Sample Availability: Samples of the compounds are available from the authors. |










| Compound | R1 | R2 | D2R | 5-HT1AR | 5-HT2AR |
|---|---|---|---|---|---|
| IC50 (nM) | EC50 (nM) | IC50 (nM) | |||
| FW01 | - | - | 2161.35 ± 25.55 a | 7 | 206.71 ± 7.46 a |
| 13a | -F | -CH3 | NA | 167.7 | >5000 |
| 13b | ![]() | -CH3 | NA | 989.7 | NA |
| 13c | ![]() | -CH3 | NA | 197.2 | 1144 |
| 13d | ![]() | -CH3 | NA | 88.0 | 887.4 |
| 13e | ![]() | -CH2CH3 | >5000 | 49.2 | 1292 |
| 13f | ![]() | ![]() | NA | 23.6 | 1099 |
| 13g | ![]() | ![]() | 4311 | 5.35 | 2277 |
| Risperidone | - | - | 2.6 | - | 3.2 |
| 8-OH-DPAT | - | - | - | 7.3 | - |

| Compound | R2 | R3 | D2R | 5-HT1AR | 5-HT2AR |
|---|---|---|---|---|---|
| IC50 (nM) | EC50 (nM) | IC50 (nM) | |||
| 13f | ![]() | ![]() | NA | 23.6 | 1099 |
| 13h | ![]() | ![]() | NA | 5.67 | 567.4 |
| 13i | ![]() | ![]() | NA | 400.5 | 4186 |
| 13j | ![]() | ![]() | NA | NA | NA |
| 13k | ![]() | ![]() | NA | 77.5 | 1778 |
| 13l | ![]() | ![]() | NA | 523.9 | NA |
| 13g | ![]() | ![]() | 4311 | 5.35 | 2277 |
| 13m | ![]() | ![]() | >5000 | 1.01 | 1528 |
| 13n | ![]() | ![]() | NA | 31.6 | >5000 |
| 13o | ![]() | ![]() | NA | 22.8 | NA |
| 13p | ![]() | ![]() | NA | 48.2 | 4730 |
| 13q | ![]() | ![]() | NA | 174.7 | NA |
| Risperidone | - | - | 2.6 | - | 3.2 |
| 8-OH-DPAT | - | - | - | 7.3 | - |
Publisher’s Note: MDPI stays neutral with regard to jurisdictional claims in published maps and institutional affiliations. |
© 2020 by the authors. Licensee MDPI, Basel, Switzerland. This article is an open access article distributed under the terms and conditions of the Creative Commons Attribution (CC BY) license (http://creativecommons.org/licenses/by/4.0/).
Share and Cite
Zhu, C.; Li, X.; Peng, W.; Fu, W. Discovery of Novel Indolealkylpiperazine Derivatives as Potent 5-HT1A Receptor Agonists for the Potential Future Treatment of Depression. Molecules 2020, 25, 5078. https://doi.org/10.3390/molecules25215078
Zhu C, Li X, Peng W, Fu W. Discovery of Novel Indolealkylpiperazine Derivatives as Potent 5-HT1A Receptor Agonists for the Potential Future Treatment of Depression. Molecules. 2020; 25(21):5078. https://doi.org/10.3390/molecules25215078
Chicago/Turabian StyleZhu, Chen, Xinwei Li, Weiqing Peng, and Wei Fu. 2020. "Discovery of Novel Indolealkylpiperazine Derivatives as Potent 5-HT1A Receptor Agonists for the Potential Future Treatment of Depression" Molecules 25, no. 21: 5078. https://doi.org/10.3390/molecules25215078
APA StyleZhu, C., Li, X., Peng, W., & Fu, W. (2020). Discovery of Novel Indolealkylpiperazine Derivatives as Potent 5-HT1A Receptor Agonists for the Potential Future Treatment of Depression. Molecules, 25(21), 5078. https://doi.org/10.3390/molecules25215078
































