Comprehensive Characterization of Linalool-HP-β-Cyclodextrin Inclusion Complexes
Abstract
1. Introduction
2. Results and Discussion
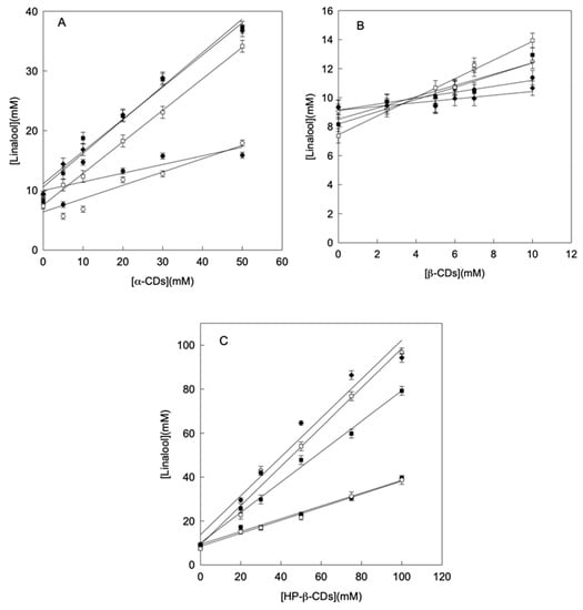
2.1. Complexation of Linalool with CDs
2.2. Obtaining Solid Inclusion Complexes Linalool-HP-β-CDs
Stability of Solid Complexes
2.3. Characterization of Linalool-HP-β-CDs Inclusion Complexes
2.3.1. 1H and 2D NMR Spectroscopy
2.3.2. Molecular Docking
2.3.3. Differential Scanning Calorimetry (DSC) and Thermogravimetric Analysis (TG)
2.3.4. Fourier Transform Infrared Spectroscopy (FTIR)
3. Materials and Methods
3.1. Materials
Reagents and Standards
3.2. Preparation of Inalool-Cyclodextrin Inclusion Complexes
3.2.1. Solubility Studies
3.2.2. Complexation Process by Using Microwave Irradiation (MWI)
3.2.3. Quantification of Linalool by GC-MS Analysis
3.2.4. Complexation Constant (KC) and Complexation Efficiency (CE) Calculation
3.3. Preparation of Linalool-HP-β-Cyclodextrin Inclusion Complexes by Spray Dryer
Field Emission Scanning Electron Microscope (FESEM) Images
3.4. Characterization of Linalool-HP-β-CDs Inclusion Complexes
3.4.1. 1H and 2D NMR Spectroscopy
3.4.2. Molecular Docking
3.4.3. Differential Scanning Calorimetry (DSC) and Thermogravimetric Analysis (TG)
3.4.4. Fourier Transform Infrared Spectroscopy (FTIR)
4. Conclusions
Author Contributions
Funding
Acknowledgments
Conflicts of Interest
References
- El Asbahani, A.; Miladi, K.; Badri, W.; Sala, M.; Addi, E.A.; Casabianca, H.; El Mousadik, A.; Hartmann, D.; Jilale, A.; Renaud, F.N.R.; et al. Essential oils: From extraction to encapsulation. Int. J. Pharm. 2015, 483, 220–243. [Google Scholar] [CrossRef] [PubMed]
- Ribeiro-Santos, R.; Andrade, M.; de Melo, N.R.; Sanches-Silva, A. Use of essential oils in active food packaging: Recent advances and future trends. Food Sci. Technol. 2017, 61, 132–140. [Google Scholar] [CrossRef]
- Burt, S. Essential oils: Their antibacterial properties and potential applications in foods-a review. Int. J. Food Microbiol. 2004, 94, 223–253. [Google Scholar] [CrossRef] [PubMed]
- Maguna, F.P.; Romero, A.M.; Garro, O.A.; Okulik, N.B. Actividad Antimicrobiana de un grupo de Terpenoides. Comunicaciones Científicas y Tecnológicas en Internet. Argent. Fac. Agroind. 2006, 57, 4–5. [Google Scholar]
- Fisher, K.; Phillips, C. The mechanism of action of a citrus oil blend against Enterococcus faecium and Enterococcus faecalis. J. Appl. Microbiol. 2009, 106, 1343–1349. [Google Scholar] [CrossRef] [PubMed]
- Guinoiseau, E.; Luciani, A.; Rossi, P.G.; Quilichini, Y.; Ternengo, S.; Bradesi, P.; Berti, L. Cellular effects induced by Inula graveolens and Santolina corsica essential oils on Staphylococcus aureus. Eur. J. Clin. Microbiol. Infect. Dis. 2010, 29, 873–879. [Google Scholar] [CrossRef] [PubMed]
- Bajpai, V.K.; Baek, K.H.; Kang, S.C. Control of Salmonella in foods by using essential oils: A review. Food Res. Int. 2012, 45, 722–734. [Google Scholar] [CrossRef]
- Heredia-Guerrero, J.A.; Ceseracciu, L.; Guzman-Puyol, S.; Paul, U.C.; Alfaro-Pulido, A.; Grande, C.; Vezzulli, L.; Bandiera, T.; Bertorelli, R.; Russo, D.; et al. Antimicrobial, antioxidant, and waterproof RTV siliconeethyl cellulose composites containing clove essential oil. Carbohydr. Polym. 2018, 192, 150–158. [Google Scholar] [CrossRef]
- Rodríguez-López, M.I.; Mercader-Ros, M.T.; López-Miranda, S.; Pellicer, J.A.; Pérez-Garrido, A.; Pérez-Sánchez, H.; Nuñez-Delicado, E.; Gabaldón, J.A. Thorough characterization and stability of HP- β-cyclodextrin thymol inclusion complexes prepared microwave technology: A required approach to a successful application in food industry. J. Sci. Food Agric. 2019, 99, 1322–1333. [Google Scholar] [CrossRef]
- Cheng, B.-H.; Lin, C.-Y.; Yeh, T.-F.; Cheng, S.-S.; Chang, S.-T. Potential source of S-(+)-linalool from Cinnamomum osmophloeum ct. linalool leaf: Essential oil profile and enantiomeric purity. J. Agric. Food Chem. 2012, 60, 7623–7628. [Google Scholar] [CrossRef]
- Bakkali, F.; Averbeck, S.; Averbeck, D.; Idaomar, M. Biological effects of essential oils-A review. Food Chem. Toxicol. 2008, 46, 446–475. [Google Scholar] [CrossRef] [PubMed]
- Silva, F.; Ferreira, S.; Duarte, A.; Mendonca, D.I.; Domingues, F.C. Antifungal activity of Coriandrum sativum essential oil, its mode of action against Candida species and potential synergism with amphotericin B. Phytomedicine 2011, 19, 42–47. [Google Scholar] [CrossRef] [PubMed]
- Hussain, A.I.; Anwar, F.; Sherazi, S.T.H.; Przybylski, R. Chemical composition, antioxidant and antimicrobial activities of basil (Ocimum basilicum) essential oils depends on seasonal variations. Food Chem. 2008, 108, 986–995. [Google Scholar] [CrossRef]
- Quintans-Júnior, L.J.; Barreto, R.S.; Menezes, P.P.; Almeida, J.R.; Viana, A.F.S.; Oliveira, R.; Oliveira, A.P.; Gelain, D.P.; Lucca Júnior, W.; Araújo, A.A. β-Cyclodextrin-complexed (-)-linalool produces antinociceptive effect superior to that of (-)-linalool in experimental pain protocols. Basic Clin. Pharmacol. Toxicol. 2013, 113, 167–172. [Google Scholar] [CrossRef]
- Sell, C. A Fragrant Introduction to Terpenoid Chemistry, 1st ed.; Royal Society of Chemistry: Cambridge, UK, 2003; pp. 43–62. [Google Scholar] [CrossRef]
- Casabianca, H.; Graff, J.B.; Faugier, V.; Fleig, F.; Grenier, C. Enantiomeric distribution studies of linalool and linalyl acetate. A powerful tool for authenticity control of essential oils. J. High Resol. Chromatogr. 1998, 21, 107–112. [Google Scholar] [CrossRef]
- Sell, C.S. Kirk-Othmer Encyclopedia of Chemical Technology, 5th ed.; John Wiley: New York, NY, USA, 2007; pp. 468–592. [Google Scholar]
- Guimarães, A.G.; Quintans, J.S.; Quintans-Júnior, L.J. Monoterpenes with analgesic activity-a systematic review. Phytother. Res. 2013, 27, 1–15. [Google Scholar] [CrossRef] [PubMed]
- Letizia, C.S.; Cocchiara, J.; Lalko, J.; Api, A.M. Fragrance material review on linalool. Food Chem. Toxicol. 2003, 41, 943–964. [Google Scholar] [CrossRef]
- Aprotosoaie, A.C.; Hancianu, M.; Costache, I.-I.; Miron, A. Linalool: A review on a key odorant molecule with valuable biological properties. Flavour Fragr. J. 2014, 29, 193–219. [Google Scholar] [CrossRef]
- Kamatou, G.P.; Viljoen, A.M. Linalool-a review of a biologically active compound of commercial importance. Nat. Prod. Commun. 2008, 3, 1183–1192. [Google Scholar] [CrossRef]
- Çelik, S.; Ozkaya, A. Effects of intraperitoneally administered lipoic acid, vitamin E, and linalool on the level of total lipid and fatty acids in guinea pig brain with oxidative stress induced by H2O2. BMB Rep. 2002, 35, 547–552. [Google Scholar] [CrossRef]
- Anjos, P.J.; Lima, A.O.; Cunha, P.S.; De Sousa, D.P.; Onofre, A.S.; Ribeiro, T.P.; Medeiros, I.A.; Antoniolli, Â.R.; Quintans-Júnior, L.J.; Santos, M.R. Cardiovascular effects induced by linalool in normotensive and hypertensive rats. Z. Naturforsch. C 2013, 68, 181–190. [Google Scholar] [CrossRef] [PubMed]
- Huo, M.; Cui, X.; Xue, J.; Chi, G.; Gao, R.; Deng, X.; Guan, S.; Wei, J.; Soromou, L.W.; Feng, H. Anti-inflammatory effects of linalool in RAW 264.7 macrophages and lipopolysaccharide-induced lung injury model. J. Surg. Res. 2013, 180, 47–54. [Google Scholar] [CrossRef]
- Beier, R.C.; Byrd, J.A.; Kubena, L.F.; Hume, M.E.; McReynolds, J.L.; Anderson, R.C.; Nisbet, D.J. Evaluation of linalool, a natural antimicrobial and insecticidal essential oil from basil: Effects on poultry. Poult. Sci. J. 2014, 93, 267–272. [Google Scholar] [CrossRef]
- Wu, Q.; Yu, L.; Qiu, J.; Shen, B.; Wang, D.; Soromou, L.W.; Feng, H. Linalool attenuates lung inflammation induced by Pasteurella multocida via activating Nrf-2 signaling pathway. Int. Immunopharmacol. 2014, 21, 456–463. [Google Scholar] [CrossRef] [PubMed]
- Prakash, A.; Vadivel, V.; Rubini, D.; Nithyanand, P. Antibacterial and antibiofilm activities of linalool nanoemulsions against Salmonella Typhimurium. Food Biosci. 2019, 28, 57–65. [Google Scholar] [CrossRef]
- Rodríguez-López, M.I.; Mercader-Ros, M.T.; Pellicer, J.A.; Gómez-López, V.M.; Martínez-Romero, D.; Núñez-Delicado, E.; Gabaldón, J.A. Evaluation of monoterpene-cyclodextrin complexes as bacterial growth effective hurdles. Food Control 2020, 108, 106814. [Google Scholar] [CrossRef]
- Ciobanu, A.; Mallard, I.; Landy, D.; Brabie, G.; Nistor, D.; Fourmentin, S. Inclusion interactions of cyclodextrins and crosslinked cyclodextrin polymers with linalool and camphor in Lavandula angustifolia essential oil. Carbohydr. Polym. 2012, 87, 1963–1970. [Google Scholar] [CrossRef]
- Lucas-Abellán, C.; Fortea, M.I.; Gabaldón, J.A.; Núñez-Delicado, E. Complexation of resveratrol by native and modified cyclodextrins: Determination of complexation constant by enzymatic, solubility and fluorimetric assays. Food Chem. 2008, 111, 262–267. [Google Scholar] [CrossRef]
- Mercader-Ros, M.T.; Lucas-Abellan, C.; Gabaldón, J.A.; Fortea, M.I.; Martinez-Cacha, A.; Nuñez-Delicado, E. Kaempferol complexation in cyclodextrins at basic pH. J. Agric. Food Chem. 2010, 58, 4675–4680. [Google Scholar] [CrossRef]
- Ishiguro, T.; Sakata, Y.; Arima, H.; Iohara, D.; Anraku, M.; Uekama, K.; Hirayama, F. Release control of fragrances by complexation with β-cyclodextrin and its derivatives. J. Incl. Phenom. Macrocycl. Chem. 2018, 92, 147–155. [Google Scholar] [CrossRef]
- Kfoury, M.; Landy, D.; Auezova, L.; Greige-Gerges, H.; Fourmentin, S. Effect of cyclodextrin complexation on phenylpropanoids’ solubility and antioxidant activity. Beilstein J. Org. Chem. 2014, 10, 2322–2331. [Google Scholar] [CrossRef] [PubMed]
- Hernández-Sánchez, P.; López-Miranda, S.; Guardiola, L.; Serrano-Martínez, A.; Gabaldón, J.A.; Nuñez-Delicado, E. Optimization of a method for preparing solid complexes of essential clove oil with β-cyclodextrins. J. Sci. Food Agric. 2017, 97, 420–426. [Google Scholar] [CrossRef] [PubMed]
- Rocha, G.A.; Fávaro-Trindade, C.S.; Grosso, C.R.F. Microencapsulation of lycopene by spray drying: Characterization, stability and application of microcapsules. Food Bioprod. Process. 2012, 90, 37–42. [Google Scholar] [CrossRef]
- Dufour, G.; Bigazzi, W.; Wong, N.; Boschini, F.; De Tullio, P.; Piel, G.; Cataldo, D.; Evrard, B. Interest of cyclodextrins in spray-dried microparticles formulation for sustained pulmonary delivery of budesonide. Int. J. Pharm. 2015, 495, 869–878. [Google Scholar] [CrossRef] [PubMed]
- Vehring, R. Pharmaceutical particle engineering via spray drying. Pharm. Res. 2008, 25, 999–1022. [Google Scholar] [CrossRef]
- Alvarenga, D.; Vilela, S.; Fernandes, R.; Viana, A.; Gomes, J.; Marques, G. Evaluation of spray drying conditions on properties of microencapsulated oregano essential oil. Int. J. Food Sci. Technol. 2012, 47, 2289–2296. [Google Scholar] [CrossRef]
- Medina-Torres, L.; Santiago-Adame, R.; Calderas, F.; Gallegos-Infante, J.A.; González-Laredo, R.F.; Rocha-Guzmán, N.E.; Núñez-Ramírez, D.M.; Bernad-Bernad, M.J.; Manero, O. Microencapsulation by spray drying of laurel infusions (Litseaglaucescens) with maltodextrin. Ind. Crops Prod. 2016, 90, 1–8. [Google Scholar] [CrossRef]
- Arpagaus, C.; Schafroth, N. Spray drying of biodegradable polymers in laboratory scale. Respir. Drug Deliv. Eur. 2009, 2019, 269–274. [Google Scholar]
- Loftsson, T.; Jarho, P.; Masson, M.; Järvinen, T. Cyclodextrins in drug delivery. Expert Opin. Drug Deliv. 2005, 2, 335–351. [Google Scholar] [CrossRef]
- Dos Santos, C.; Buera, M.P.; Mazzobre, M.F. Influence of ligand structure and water interactions on the physical properties of β-cyclodextrins complexes. Food Chem. 2012, 132, 2030–2036. [Google Scholar] [CrossRef]
- Marqués, H.M.C. A review on cyclodextrin encapsulation of essential oils and volatiles. Flav. Frag. J. 2010, 25, 313–326. [Google Scholar] [CrossRef]
- Kohata, S.; Jyodoi, K.; Ohyoshi, A. Thermal decomposition of cyclodextrins (α-, β-, γ-, and modified β-CyD) and of metal-(β-CyD) complexes in the solid phase. Thermochim. Acta 1993, 217, 187–198. [Google Scholar] [CrossRef]
- Marini, A.; Berbenni, V.; Bruni, G.; Giordano, F.; Villa, M. Dehydration of β-cyclodextrin: Facts and opinions. Thermochim. Acta 1996, 279, 27–33. [Google Scholar] [CrossRef]
- Wen, J.; Liu, B.; Yuan, E.; Ma, Y.; Zhu, Y. Preparation and physicochemical properties of the complex of naringenin with hydroxypropyl-β-cyclodextrin. Molecules 2010, 15, 4401–4407. [Google Scholar] [CrossRef] [PubMed]
- Menezes, P.P.; Serafini, M.R.; Quintans-Júnior, L.J.; Silva, G.F.; Oliveira, J.F.; Carvalho, F.M.S.; Souza, J.C.C.; Matos, J.R.; Alves, P.B.; Matos, I.L. Inclusion complex of (-)-linalool and β-cyclodextrin. J. Therm. Anal. Calorim. 2014, 115, 2429–2437. [Google Scholar] [CrossRef]
- Fernandes, L.P.; Éhen, Z.; Moura, T.F.; Novák, C.; Sztatisz, J. Characterization of Lippia sidoides oil extract-β-cyclodextrin complexes using combined thermoanalytical techniques. J. Therm. Anal. Calorim. 2004, 78, 557–573. [Google Scholar] [CrossRef]
- Yuan, C.; Jin, Z.; Xu, X. Inclusion complex of astaxanthin with hydroxypropyl-β-cyclodextrin: UV, FTIR, 1H-NMR and molecular modeling studies. Carbohydr. Polym. 2012, 89, 492–496. [Google Scholar] [CrossRef]
- Higuchi, T.K.; Connors, A. Phase-solubility techniques. Adv. Anal. Chem. Instrum. 1965, 4, 117–211. [Google Scholar]
- Loftsson, T.; Brewster, M.E. Cyclodextrins as functional excipients: Methods to enhance complexation efficiency. J. Pharm. Sci. 2012, 101, 3019–3032. [Google Scholar] [CrossRef]
- Morris, G.M.; Huey, R.; Lindstrom, W.; Sanner, M.F.; Belew, R.K.; Goodsell, D.S.; Olson, A.J. AutoDock4 and AutoDockTools4: Automated docking with selective receptor flexibility. J. Comput. Chem. 2009, 30, 2785–2791. [Google Scholar] [CrossRef]
- Trott, O.; Olson, A.J. Auto Dock Vina: Improving the speed and accuracy of docking with a new scoring function, efficient optimization, and multithreading. J. Comput. Chem. 2010, 31, 455–461. [Google Scholar] [CrossRef] [PubMed]










| Cyclodextrin | pH | S0 (mmol L−1) | KC (L mol−1) | CE | Molar Ratio linalool:CDs |
|---|---|---|---|---|---|
| α-CDs | 3.5 | 9.34 ± 0.20 | 17 ± 6 | 0.159 | 1:7 |
| 5.5 | 9.05 ± 0.16 | 25 ± 4 | 0.226 | 1:5 | |
| 6.5 | 8.16 ± 0.11 | 121 ± 9 | 0.987 | 1:2 | |
| 7.0 | 7.37 ± 0.03 | 148 ± 12 | 1.090 | 1:2 | |
| 8.5 | 9.33 ± 0.13 | 105 ± 8 | 0.979 | 1:2 | |
| β-CDs | 3.5 | 9.34 ± 0.20 | 28 ± 4 | 0.261 | 1:5 |
| 5.5 | 9.05 ± 0.16 | 74 ± 5 | 0.670 | 1:2 | |
| 6.5 | 8.16 ± 0.11 | 91 ± 4 | 0.743 | 1:2 | |
| 7.0 | 7.37 ± 0.03 | 241 ± 26 | 1.776 | 1:2 | |
| 8.5 | 9.33 ± 0.13 | 16 ± 5 | 0.149 | 1:7 | |
| HP-β-CDs | 3.5 | 9.34 ± 0.20 | 44 ± 6 | 0.411 | 1:3 |
| 5.5 | 9.05 ± 0.16 | 49 ± 7 | 0.443 | 1:3 | |
| 6.5 | 8.16 ± 0.11 | 225 ± 14 | 1.836 | 1:1 | |
| 7.0 | 7.37 ± 0.03 | 921 ± 21 | 6.788 | 1:1 | |
| 8.5 | 9.33 ± 0.13 | 559 ± 17 | 5.215 | 1:1 |
| H-Atom | δ ppm−1 (Free) | δ ppm−1 (Complexed) | Δδ ppm−1 (Complexed-Free) | |
|---|---|---|---|---|
| Linalool | H-C (3) | 6.566 | 6.577 | −0.011 |
| H-C (4) | 6.619 | 6.611 | 0.008 | |
| H-C (6) | 6.917 | 6.929 | −0.012 | |
| H-C (2′) | 2.740 | 2.758 | −0.018 | |
| H-C (5′) | 2.126 | 2.124 | 0.002 | |
| H-C (2′’) | 1.176 | 1.195 | −0.019 | |
| HP-𝛽-CDs | H-C (1) | 5.074 | 5.121 | −0.047 |
| H-C (2) | 3.723 | 3.730 | −0.007 | |
| H-C (3) | 3.947 | 3.952 | −0.005 | |
| H-C (4) | 3.418 | 3.417 | 0.001 | |
| H-C (5) | 3.534 | 3.533 | 0.001 | |
| H-C (6) | 3.821 | 3.815 | 0.006 | |
| H-C (9) | 1.126 | 1.125 | 0.001 |
Sample Availability: Samples of the compounds Linalool-HP-β-Cyclodextrin Inclusion Complexes are available from the authors. | |
Publisher’s Note: MDPI stays neutral with regard to jurisdictional claims in published maps and institutional affiliations. |
© 2020 by the authors. Licensee MDPI, Basel, Switzerland. This article is an open access article distributed under the terms and conditions of the Creative Commons Attribution (CC BY) license (http://creativecommons.org/licenses/by/4.0/).
Share and Cite
Rodríguez-López, M.I.; Mercader-Ros, M.T.; Lucas-Abellán, C.; Pellicer, J.A.; Pérez-Garrido, A.; Pérez-Sánchez, H.; Yáñez-Gascón, M.J.; Gabaldón, J.A.; Núñez-Delicado, E. Comprehensive Characterization of Linalool-HP-β-Cyclodextrin Inclusion Complexes. Molecules 2020, 25, 5069. https://doi.org/10.3390/molecules25215069
Rodríguez-López MI, Mercader-Ros MT, Lucas-Abellán C, Pellicer JA, Pérez-Garrido A, Pérez-Sánchez H, Yáñez-Gascón MJ, Gabaldón JA, Núñez-Delicado E. Comprehensive Characterization of Linalool-HP-β-Cyclodextrin Inclusion Complexes. Molecules. 2020; 25(21):5069. https://doi.org/10.3390/molecules25215069
Chicago/Turabian StyleRodríguez-López, María Isabel, María Teresa Mercader-Ros, Carmen Lucas-Abellán, José Antonio Pellicer, Alfonso Pérez-Garrido, Horacio Pérez-Sánchez, María Josefa Yáñez-Gascón, José Antonio Gabaldón, and Estrella Núñez-Delicado. 2020. "Comprehensive Characterization of Linalool-HP-β-Cyclodextrin Inclusion Complexes" Molecules 25, no. 21: 5069. https://doi.org/10.3390/molecules25215069
APA StyleRodríguez-López, M. I., Mercader-Ros, M. T., Lucas-Abellán, C., Pellicer, J. A., Pérez-Garrido, A., Pérez-Sánchez, H., Yáñez-Gascón, M. J., Gabaldón, J. A., & Núñez-Delicado, E. (2020). Comprehensive Characterization of Linalool-HP-β-Cyclodextrin Inclusion Complexes. Molecules, 25(21), 5069. https://doi.org/10.3390/molecules25215069

